1. Introducción
Los modelos evolutivos propuestos para la formación de los arcos de la Cordillera Occidental son diversos, corresponden a modelos de arcos insulares y de margen continental, con desarrollo de modelos de doble vergencia tanto al este como al oeste a partir de la misma placa oceánica, con dos zonas de subducción paralelas o a partir de una sola zona de subducción de acuerdo al arco en cuestión (Barbosa-Espitia et al., 2019; Cardona et al., 2018; Cetina et al., 2019; Correa et al., 2018; Correa-Restrepo et al., 2023; Duque-Caro, 1990; León et al., 2018; Nivia et al., 2019b; Restrepo y Toussaint, 1989; Rodríguez-García et al., 2023; Rodríguez et al., 2012b; Rodríguez y Arango, 2013; Vallejo et al., 2006; Weber et al., 2015; Zapata-García y Rodríguez-García, 2020; Zapata-Villada et al., 2021).
Sin embargo, aún existen profundas dificultades para obtener consensos entre los investigadores en el número de los arcos y los modelos de subducción y generación. En esta contribución realizamos un ejercicio de integración de datos geoquímicos, petrográficos y geocronológicos de investigaciones anteriores, junto con nuevos datos de geocronología y geoquímica publicados por primera vez aquí.
El objetivo de este trabajo es darle una mirada regional a la historia del magmatismo de arco Jurásico-Mioceno en la Cordillera Occidental y la región norte del Chocó en Colombia (Figura 1). El trabajo abarca la zona| desde la frontera con Ecuador hasta la frontera con Panamá. Adicionalmente, se proponen diferentes opciones evolutivas para explicar el desarrollo de los arcos, acogiendo algunos modelos previamente publicados y en otros casos proponiendo nuevos modelos.

Figura 1 Modificado de Gómez et al. (2015). Polígonos de las Tobas de Caicedo tomado de Correa et al. (2023). Polígono de la Dacita Porfídica del Concilio tomada de Peláez et al. (2022). Los trazos de fallas geológicas regionales son aproximados tomando como base los trazos de fallas de Gómez et al. (2015).
Parte de la información publicada en esta contribución define, a nuestro parecer, nuevos eventos de arcos magmáticos, a la luz del contexto tectónico en el que ocurren y de acuerdo con las definiciones relacionadas con el concepto de arco magmático publicadas por Stern (2002), las cuales tomaremos como base para las discusiones planteadas aquí.
Es necesario mencionar que no hará parte de la información discutida en esta contribución la que se considera está relacionada con el magmatismo producto de procesos de construcción de plateaus oceánicos (Buchs et al., 2018; Correa et al., 2018, 2020; Kerr et al., 1998; Nivia, 1996; Peláez et al., 2022; Rodríguez y Arango, 2013).
2. Marco Geológico Regional
La Cordillera Occidental es una de tres cordilleras en las que se dividen los Andes en Colombia. Desde el punto de vista geográfico, la Cordillera Occidental comprende la cadena montañosa que se levanta entre la cuenca del río Cauca al oriente, la llanura Pacífica y la cuenca del río Atrato al occidente (Figura 1). Como límites geológicos del área de estudio, se consideran, al oriente la Falla Cauca-Almaguer y al occidente las unidades sedimentarias que ocupan el Andén Pacífico y la cuenca del río Atrato. Aunque la mayor parte del área de estudio se encuentra en la Cordillera Occidental, en algunos sectores se analiza la vertiente occidental de la cordillera Central y la cuenca del río Cauca. Adicionalmente, debido a la presencia de unidades Paleocenas en el norte del departamento del Chocó, analizaremos la información geológica de parte del sector conocido como región norte del Chocó, específicamente las unidades volcánicas y plutónicas que ocurren en los municipios de Unguía y Acandí de ese departamento (Figura 1).
El basamento de la Cordillera Occidental, al cual denominaremos en esta contribución Bloque Dagua-Cañasgordas, se encuentra limitado al oeste por la Falla Cauca-Almaguer (Maya y González, 1995) y al occidente por la llanura del pacífico y la falla Dabeiba-Pueblo Rico (Rodríguez y Zapata., 2012), comprende basaltos y gabros de plateau oceánico, intrusivos y rocas volcánicas formadas en arcos volcánicos insulares y continentales (Figura 1).
A las unidades de plateau oceánico se les ha dado nombres diferentes según la posición geográfica a lo largo de la cordillera: de sur a norte se han denominado Grupo Diabásico, Grupo Dagua, Formación Volcánica, Basaltos de La Trinidad, Formación Barroso y Diabasas de San José de Urama (Aspden, 1984; Nelson, 1962; Nivia, 2001; Parra, 1983; Rodríguez y Arango, 2013; Villagómez et al., 2011 y Zapata-García et al., 2017). Los escasos datos geocronológicos que existen sobre la edad de cristalización de las rocas de plateau (U-Pb en zircón y 40Ar-39Ar) han arrojado edades entre ca. 155 Ma y ca. 60 Ma (Correa et al., 2018, 2020; Peláez et al., 2022; Rodríguez y Arango, 2013).
En cuanto a las rocas formadas en ambientes de arco, se han identificado al menos seis cinturones desarrollados entre el Cretácico y el Mioceno. La identificación de cinturones de arco se realizó con base en la distribución espacial, la composición y la edad. Los arcos del Cretácico, Paleoceno, Eoceno y Mioceno (ca. 105 Ma a ca. 65 Ma; ca. 57 Ma a ca. 59 Ma; ca. 59 Ma a ca. 37 Ma; ca. 30 Ma a ca. 15 Ma; ca. 13 Ma a ca. 7 Ma) corresponden a plutones emplazados en rocas de plateau oceánico de la Cordillera Occidental de Colombia y en las rocas de arco más antiguas.
El arco Cretácico se extiende desde Ecuador (Vallejo et al., 2006) hasta el norte de Colombia (Cetina et al., 2019; Correa et al., 2018; Nivia et al., 2019b; Rodríguez-García et al., 2023; Rodríguez y Arango, 2013; Weber et al., 2015), y ha sido denominado en el norte de la cordillera como Arco Barroso-Sabanalarga (ABS; Correa-Restrepo et al., 2023; Rodríguez et al., 2012a; Rodríguez y Arango, 2013). Las rocas de plateau, en el norte de la Cordillera Occidental, se les asignó el nombre de diabasas de San José de Urama (Rodríguez y Arango, 2013). Algunos arcos de margen continental se formaron con posterioridad a la colisión de las rocas de plateau y los arcos insulares contra la margen occidental de Suramérica, colisión que ocurrió inicialmente ca. 70 Ma (Restrepo y Toussaint, 1989; Vallejo et al., 2006; Zapata-Villada et al., 2021).
Posteriormente se formó un cinturón de plutones y rocas volcánicas, que han sido consideradas como desarrolladas en un arco de islas durante el Paleoceno-Eoceno (Arco Chocó-Panamá; Cardona et al., 2018; Duque-Caro, 1990; León et al., 2018; Pindell, 1993; Zapata-García y Rodríguez-García, 2020). Al mismo tiempo, pero en diferente posición geotectónica, inició en la margen continental un arco, caracterizado recientemente por una unidad litoestratigráfica principalmente volcanoclástica del Paleoceno (ca. 57 Ma; Correa-Restrepo et al., 2023).
A finales del Oligoceno y principios del Mioceno, inició en el segmento sur de la Cordillera Occidental, al sur del Sistema de Fallas AguasalAmurrapá de dirección E-W (también llamada falla de San Juan; Arboleda et al., 2009; Figura 1) un nuevo arco de margen continental, el cual migraría a la cordillera Central y está activo actualmente (volcanes Nevado del Ruiz, Nevado del Tolima, Nevado del Huila, Puracé, Azufral, entre otros).
En el segmento norte de la cordillera, al norte del Sistema de Fallas Aguasal-Amurrapá, durante el Mioceno superior (Serravaliano-Tortoniano), se formaron plutones y vulcanitas de arco de afinidad shoshonítica (Arco El Botón; Rodríguez y Zapata, 2012; Zapata y Rodríguez, 2011). El magmatismo del Arco El Botón se limitó a la Cordillera Occidental y la cuenca del río Cauca. Las Fallas Aguasal-Amurrapá corresponden al límite tectónico entre ambos arcos.
Sobre el plateau oceánico y las rocas de arco insular jurásicas y cretácicas reposan unidades sedimentarias pelágicas del Complejo Estructural Dagua, Formación Lázaro y Formación Penderisco (Álvarez y González, 1978; Nivia, 2001; Parra, 1983; Pardo-Trujillo et al., 2020; León et al., 2018). El conjunto de unidades se localiza al norte de la cordillera entre las fallas Cauca-Almaguer al este (Maya y González, 1995) y Dabeiba-Pueblo Rico al oeste (Cetina et al., 2019; Rodríguez y Zapata García, 2012); dentro del bloque Cañasgordas (González, 2001). Al sur de la cordillera las unidades sedimentarias cretácicas ocupan la vertiente oeste de la Cordillera Occidental.
3. Materiales y métodos
Para el desarrollo de la investigación se realizó un muestreo regional que abarcó algunos sectores de la Cordillera Occidental. Adicionalmente, se integraron los datos nuevos con los recopilados de trabajos anteriores (Álvarez y Parra, 1979; Álvarez y Linares, 1979; ANH - U. de Caldas, 2011; Arboleda et al., 2009; Aspden et al., 1987; Barbosa-Espitia et al., 2019; Botero, 1975; Brook, 1984; Buchely et al., 2009; Calle y González, 1980; Cetina et al., 2019; Correa-Restrepo et al., 2023; Correa et al., 2018, 2020; García et al., 2021; Giraldo, 2017; GRP, 2014; Kerr et al., 1997; Leal, 2011; Lesage, 2011; McCourt et al., 1990; Montes et al., 2015; Muñoz et al., 1990; Nivia, et al., 2019b; Pardo-Trujillo et al., 2020; Peláez et al., 2022; Restrepo et al., 1979; Risnes, 1995; Rodríguez-García et al., 2023; Rodríguez y Arango, 2013; Rodríguez-García y Bermúdez-Cordero, 2015; Rodríguez y Zapata García, 2012; Sillitoe et al., 1982; Villagómez, 2010; Villagómez et al., 2011; Weber et al., 2015; Zapata-Villada et al., 2021; Zapata-García y Rodríguez-García, 2020; Zapata y Rodríguez, 2011). Los datos químicos y de geocronología se agrupan de acuerdo con la correlación de unidades de cada pulso magmático de arco (Figura 2).

Figura 2 Mapa geológico con edades que identifican los pulsos magmáticos analizados para la Cordillera Occidental y la región norte del Chocó. Modificado de Gómez et al. (2015). Para la leyenda litológica y referentes geográficos consultar la Figura 1. Las coordenadas, localidades e información complementaria de cada muestra se presentan en la Tabla Suplementaria 1 (TS1). Los resultados isotópicos de las muestras datadas publicadas por primera vez en esta contribución se encuentran en la Tabla Suplementaria 3 (TS3). Las edades presentadas a excepción de las publicadas por primera vez en la presente contribución corresponden a los trabajos de otros autores (Álvarez y Parra, 1979; Álvarez y Linares, 1979; ANH - U. de Caldas, 2011; Arboleda et al., 2009; Aspden et al., 1987; Barbosa-Espitia et al., 2019; Botero Arango, 1975; Brook, 1984; Buchely et al., 2009; Calle y González, 1980; Cetina et al., 2019; Correa-Restrepo et al., 2023; Correa et al., 2018, 2020; D. García et al., 2021; Giraldo, 2017; GRP, 2014; Kerr et al., 1997; Leal, 2011; Lesage, 2011; McCourt et al., 1990; Montes et al., 2015; Muñoz et al., 1990; Nakamura, 1974; Nivia, et al., 2019b; Pardo-Trujillo et al., 2020; Peláez et al., 2022; Restrepo et al., 1979; Risnes, 1995; Rodríguez-García et al., 2023; Rodríguez-García y Bermúdez-Cordero, 2015; Rodríguez y Zapata García, 2012; Sillitoe et al., 1982; Villagómez, 2010; Villagómez et al., 2011; Weber et al., 2015; Zapata-Villada et al., 2021; Zapata-García y Rodríguez-García, 2020; Zapata y Rodríguez, 2011).
3.1. ANÁLISIS QUÍMICO DE ROCA TOTAL
Se recopilaron los análisis químicos de roca total de las unidades que conforman cada arco magmático de la Cordillera Occidental desde el Jurásico hasta el Mioceno (Barbosa-Espitia et al., 2019; Cardona et al., 2018; Correa-Restrepo et al., 2023; Correa et al., 2018, 2020; Geoestudios, 2005; GRP, 2014; Leal, 2011; Lesage, 2011; Nivia et al., 2019b; Peláez et al., 2022; Rodríguez-García y Bermúdez-Cordero, 2015; Rodríguez, et al., 2012; Rodríguez y Zapata, 2014; Rodríguez y Zapata García, 2012; Rodríguez García et al., 2010; Villagómez et al., 2011; Weber et al., 2015; Zapata-García y Rodríguez-García, 2020; Zapata y Rodríguez, 2011). Los análisis químicos se realizaron principalmente por el método ICP-MS en el laboratorio canadiense ActLabs. En algunos plutones se realizaron análisis químicos de roca total en el Laboratorio de Geoquímica Analítica del Servicio Geológico Colombiano, sede Bogotá (Correa et al., 2018, 2020; Peláez et al., 2022), utilizando para el análisis de elementos mayores y algunos elementos menores un espectrómetro de fluorescencia de rayos X, FRX, Panalytical AXIOS Mineral. La cuantificación de los óxidos mayores se realizó en muestra fundida con metaborato y tetraborato de litio, y la cuantificación de elementos menores se llevó a cabo en muestra prensada. Para el análisis de elementos traza, se usó un espectrómetro de masas con plasma inductivamente acoplado, ICP-MS, Perkin Elmer NEXION (Tabla Suplementaria 2-TS2).
3.2. GEOCRONOLOGÍA
Se recopilaron los análisis geocronológicos de las unidades que conforman cada arco magmático de la Cordillera Occidental desde el Jurásico hasta el Mioceno (Álvarez y Parra, 1979; Álvarez y Linares, 1979; ANH-U. de Caldas, 2011; Arboleda et al., 2009; Aspden et al., 1987; Barbosa-Espitia et al., 2019; Botero Arango, 1975; Brook, 1984; Buchely et al., 2009; Calle y González, 1980; Cetina et al., 2019; Correa-Restrepo et al., 2023; Correa et al., 2018, 2020; García et al., 2021; Giraldo, 2017; GRP, 2014; Kerr et al., 1997; Leal, 2011; Lesage, 2011; McCourt et al., 1990; Montes et al., 2015; Muñoz et al., 1990; Nivia, et al., 2019b; Pardo-Trujillo et al., 2020; Peláez et al., 2022; Restrepo et al., 1979; Risnes, 1995; Rodríguez-García et al., 2023; Rodríguez-García y Bermúdez-Cordero, 2015; Rodríguez y Zapata García, 2012; Sillitoe et al., 1982; Villagómez, 2010; Villagómez et al., 2011; Weber et al., 2015; Zapata-Villada et al., 2021; Zapata-García y Rodríguez-García, 2020; Zapata y Rodríguez, 2011). En algunas unidades no descritas se realizaron nuevos análisis por el método U-Pb en circón, mediante ablación laser, junto a espectrometría de masas de acoplamiento inductivo a plasma (LA-ICP-MS, por sus siglas en inglés) y por el método 40Ar-39Ar en roca total.
Los análisis nuevos de U-Pb en circón se realizaron en el Servicio Geológico Colombiano, en esquirlas de roca que fueron trituradas, pulverizadas y tamizadas siguiendo los procedimientos de separación de Castaño et al. (2018), y analizadas en LA-ICP-MS de acuerdo con los procedimientos descritos en Peña et al. (2018).
Los circones fueron concentrados en el Laboratorio Químico del Servicio Geológico Colombiano, sede Medellín, utilizando separación hidrodinámica y magnética, y algunas muestras se concentraron en el campo mediante bateo; luego se seleccionaron manualmente con la ayuda de una lupa binocular Olympus en el Laboratorio de Petrografía de la sede Medellín del Servicio Geológico Colombiano. Las superficies pulidas de los granos de circón fueron fotografiadas en catodoluminiscencia (CL), utilizando un microscopio electrónico de barrido JEOL JSM IT-300LV equipado con un detector de catodoluminiscencia Gatan miniCL EGA 0028. Los resultados isotópicos de los análisis realizados se presentan en la Tabla Suplementaria 3 (TS3).
Los análisis se realizaron en un equipo de ablación Photon Machines con un láser Excimer de 193 nm, acoplado a un espectrómetro de masas tipo Element 2. La corrección por plomo común se realizó de acuerdo con el modelo de evolución según Stacey y Krammers (1975). Los resultados finales corresponden a la media de los datos obtenidos luego de aplicar una discriminación de datos a dos desviaciones estándar.
Las dataciones reportadas corresponden a las obtenidas a partir de la relación 206Pb/238U. La discordancia se calculó con la siguiente fórmula (%) Disc=((207Pb/235U - 206Pb/238U)/206Pb/238U)*100 y el error es el asociado a la edad 206Pb/238U. Todas las edades finales fueron calculadas con el software Isoplot/Ex 3.75-4.15 (Ludwig, 2012). Como patrones de referencia se usaron: Plešovice (Sláma et al., 2008), FC-1 (Coyner et al., 2004), Zircón 91500 (Wiedenbeck et al., 1995, 2004) y Mount Dromedary (Renne et al., 1998). Los puntos analizados en los circones fueron de 20 micrones de diámetro. La reducción de datos se realizó mediante el programa Iolitev2.5® en IGORPro6.3.6.4® (Hellstrom et al., 2008; Paton et al., 2010).
Los análisis de argón fueron realizados en el laboratorio de ActLabs de Canadá por el método 40Ar-39Ar step heating dating en roca total. Las rocas fueron preparadas en un molino no contaminante en malla-200. Las muestras envueltas en papel aluminio se cargaron en un recipiente de cuarzo sellado al vacío con sales de K y Ca y paquetes de biotita LP-6, utilizados como monitor de flujo intercaladas con las muestras. Las muestras fueron irradiadas en el reactor nuclear durante 48 horas. Se colocaron los monitores de flujo cada dos muestras, permitiendo la determinación precisa de los gradientes de flujo dentro del tubo. Después de que se corrieron los monitores de flujo, los valores J fueron calculados para cada muestra, utilizando el gradiente del flujo medido. La biotita LP-6 tiene una edad supuesta de 128.1 Ma. La lectura de gradiente de neutrón no supera 0.5% en tamaño de muestra. La composición isotópica del argón fue medida en un espectrómetro de masas estático Micromass 5400. La lectura del blanco 1200°C de 40Ar no excede n*10-10 cc STP. Las edades plateau obtenidas a partir de los espectros de edades compuestos por las diferentes fracciones de gas liberado por calentamiento gradual de las muestras representan más del 50% del 39Ar liberado por la muestra, y las fracciones liberadas están dentro de un nivel de confianza de 1s.
4. Resultados
En la Figura 2 se muestra la localización actual de los pulsos magmáticos en el área de estudio y en la Tabla 1 se presentan las nuevas edades obtenidas en la presente contribución. Así mismo, en la Tabla Suplementaria 1 (TS1) se resumen las edades de cristalización U-Pb en circón y las edades de cierre 40Ar-39Ar y K-Ar, la fuente de los datos utilizadas para obtener los gráficos de densidad de probabilidad de los arcos magmáticos y de correlación de unidades.
Tabla 1 Nuevas edades publicadas en la presente contribución.
| Muestra | Tipo de roca | Unidad | Long
(WGS84) |
Lat
(WGS84) |
Edad
(Ma) |
MSWD | Método |
| FHO-305 | Cuarzodiorita | Cuarzodiorita de La Pitanjá | -75.9104 | 6.3288 | 163.3 +3.7/2.2 | 0.45 | U-Pb |
| ARO-413 | Tonalita | Tonalita de La Purco | -75.9416 | 6.2479 | 143.6 ± 2.3 | 0.91 | U-Pb |
| MTM-201 | Dacita Porfídica | Dacita porfídica del Concilio | -75.9184 | 5.9815 | 58.6 ± 1.7 | 2.5 | U-Pb |
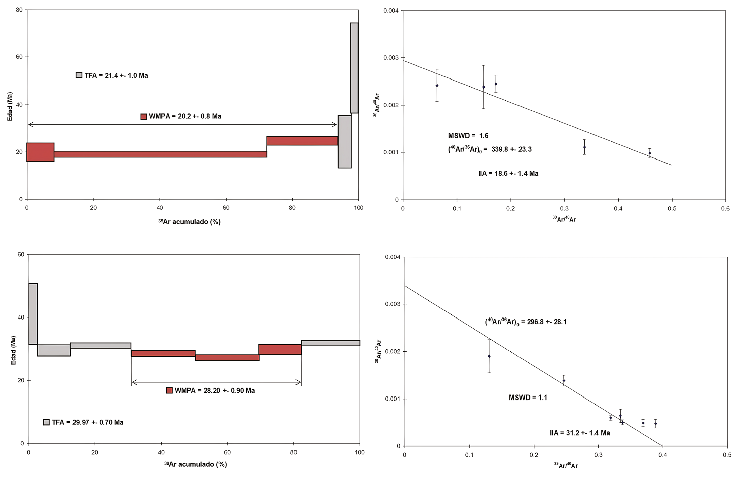
| GZ-6097RR | Cuarzomonzodiorita | Plutón de Torrá | -76.3522 | 4.9243 | 20.2±0.8 | 1.6 | 40Ar-39Ar |
| MIS-115 | Tonalita | Batolito de Piedrancha | -77.8821 | 1.1597 | 28.20±0.90 | 1.1 | 40Ar-39Ar |
| MTM-029 | Andesita | Pórfido Andesítico | -75.9506 | 6.2887 | 8.71 ± 0.11 | 2.1 | U-Pb |
| FHO-199 | Andesita | Pórfido Andesítico | -75.9658 | 6.3585 | 8.08 ± 0.13 | 0.29 | U-Pb |
En la Tabla 2 se resumen las unidades litológicas que conforman cada pulso magmático y la composición general de las unidades. En la Tabla Suplementaria 2 (TS2) se presenta la recopilación de los resultados químicos del área de estudio, la mayoría de los cuales provienen de otros autores, junto con seis nuevos análisis de esta contribución, que en conjunto se utilizaron en los diagramas de clasificación química de cada pulso magmático. Se obtuvieron cinco edades por el método U-Pb en circón (LA-ICP-MS) en un plutón Jurásico (Cuarzodiorita de La Pitanjá), en un plutón Jurásico-Cretácico (Tonalita de La Purco), en un cuerpo porfídico Paleoceno (Dacita Porfídica del Concilio) y en dos cuerpos litológicos sin nombre de edad miocena, uno de composición diorítica y otro de composición andesítica y textura porfídica (Figura 2). Adicionalmente, se obtuvieron dos edades miocenas por el método 40Ar-39Ar en roca total en la Granodiorita de Torrá y en el Batolito de Piedrancha.
Tabla 2 Resumen las unidades litológicas que conforman de cada pulso magmático y la composición general de las unidades.
| Edad del
Magmatismo |
Arco magmático | Unidades | Tipos de roca |
| Jurásico | ? | Cuarzodiorita de La Pitanjá | Cuarzodioritas , gabros, dioritas, monzodioritas y monzonitas |
| Cretácico Temprano | ? | Gabro del Porvenir | Gabro y peridotitas |
| Tonalita de La Purco | Tonalita | ||
| Cretácico Temprano al Cretácico Tardío | Arco BarrosoSabanalarga | Pluton El Palmar | Piroxenitas, gabros, plagiogranito, tonalitas y diorita |
| Plutón de Caicedo | |||
| Plutón de Mistrató | |||
| Tonalita de Buriticá | |||
| Tonalita de Santa Fe de Antioquia | Plagiogranitos, tonalitas, granodioritas, cuarzodioritas, dioritas y gabros | ||
| Batolito de Buga | |||
| Paleoceno | ? | Tobas de Caicedo | Tobas vitreas y lavas basálticas |
| Dacita Porfídica del Concilio | Dacita | ||
| Paleoceno-Eoceno | Arco Chocó-Panamá | Complejo Santa Cecilia - La Equis | Tobas, aglomerados, andesitas, dacitas y basaltos |
| Formación Timbiquí | |||
| Batolito de Acandí | Tonalitas, cuarzodioritas, granodioritas, monzogranitos, dioritas y gabros | ||
| Batolito de Mandé | |||
| Tonalita de Napi | |||
| Plutón del Salto | |||
| Plutón de Balsillas | |||
| Ultramafita de Guapi | Peridotitas y gabros | ||
| Oligoceno-Mioceno | Pulso magmático Piedrancha-Tatamá | Batolitos de Piedrancha | Tonalitas, granodioritas, cuarzodioritas, cuarzomonzodioritas y diotitas |
| Batolito de Anchicayá | |||
| Stock de Arboledas | |||
| Stock de Lerma | |||
| Stock de Cuenbi | |||
| Stock El Vergel | |||
| Stock de Garrapatero | |||
| Stock de Arrayanes-La Playa | |||
| Stock de Suarez | |||
| Stock de Santa Ana | |||
| Stock de Pance | |||
| Stock de El Cobre-Bolivar | |||
| Stock de Santa Rosa | |||
| Stock La Chapa | |||
| Stock La Medina | |||
| Granodiorita de Tatamá | |||
| Granodiorita de Torrá | |||
| Porfido de Dominical | |||
| Complejo zonado Alto Condoto | Peridotitas y gabros | ||
| Mioceno | Arco El Botón | Basaltos de El Botón | Basaltos, andesitas, tobas y aglomerados |
| Andesitas basálticas de El Morito | |||
| Formación Combia | |||
| Monzonita de Nudillales | Monzonitas, monzodioritas, cuarzomonzodioritas, cuarzodioritas, granodioritas, monzogabros, gabros, dioritas, piroxenitas | ||
| Monzodiorita de Carauta | |||
| Cuarzodiorita de Pérdidas | |||
| Gabro de Cerro Frontino | |||
| Granodiorita de Farallones | |||
| Cuarzodiorita de Cerro Plateado | |||
| Monzonita del Páramo de Frontino | |||
| Diorita de San Juan | |||
| Monzodiorita de La Horqueta | |||
| Diorita de Morrogacho | |||
| Andesita de Buriticá |
La Cuarzodiorita de La Pitanjá (muestra FHO305-cuarzodiorita-) fue datada por el método U-Pb en circón. Se realizaron 40 ablaciones para un total de 36 circones; en cuatro circones se hizo dos ablaciones localizadas en el núcleo y el borde de cada cristal. En general, los circones son prismáticos cortos y algunos en forma de prismas largos (Figura 3), de tamaños entre 50 a 180 µm, incoloros. Se excluyeron los datos con discordia> 5% (n=11) y errores > 5.5% (n=1), para un total de 12 datos, teniendo en cuenta los datos cuyas edades oscilan entre ca. 156 y 169 Ma. Los circones son multifacéticos achatados de 50 a 150 µm. Los datos aceptados (n=27) arrojaron resultados de 206Pb/238U entre 147.86 Ma y 486.69 Ma (Figura 4a). Se obtuvo una edad a partir de la mediana de 163.3 +3.7/-2.2 Ma a partir de 26 datos. La muestra FHO-199 se colectó en un cuerpo de andesita porfídica. Para la reducción de los datos no se utilizaron los resultados con discordiancia> 50% o errores> 15%, descartando 43 datos. Los circones son prismáticos largos y cortos, de tamaño entre 50 y 200 µm, con zonación oscilatoria (Figura 3). La edad media ponderada a partir de 28 datos es de 8.08 + 0.13 Ma, con relación Th/U entre 0.18 y 0.61. Tiene un circón ígneo heredado que arrojó una edad de 1009 + 41 Ma (Figura 4b).

Figura 3 Imágenes de Cátodoluminiscencia de circones representativos de las muestras utilizadas para las dataciones por LA-ICP-MS U-Pb en circón.

Figura 4 Diagramas de concordia Wetherill y Tera - Wasserburg, mediana y edad media ponderada para rocas datadas por el método U-Pb en circón. a. Edad hallada para la muestra FHO-305 (Cuarzodiorita de la Pitanjá); b. Edad hallada para la muestra FHO-199 (cuerpo menor de Pórfido Andesítico); c. Edad hallada para la muestra ARO-413 (Tonalita de La Purco); d. Edad hallada para la muestra MTM-029 (cuerpo menor de Pórfido Andesítico); e. Edad hallada para la muestra MTM-201 (Dacita Porfídica del Concilio).
La muestra ARO-413 (tonalita) fue analizada para datar a la Tonalita de La Purco. En esta muestra se realizaron 29 ablaciones en 26 circones incoloros, en cristales prismáticos elongados, ovalados y cristales redondeados con texturas de zonación oscilatoria concéntrica y tamaños desde 20 µm hasta 230 µm (Figura 3). Se excluyeron los datos con discordias >10% o errores >5%. Las edades varían entre 132 Ma y 1063 Ma. La edad de cristalización de la muestra se calculó con 7 datos localizados en bordes de cristales prismáticos con textura oscilatoria en CL, que forman la población más joven, obteniendo una edad media ponderada 206Pb/238U de 143.6 + 2.3 Ma y MSWD= 0.91, con relación Th/U entre 0.42 y 0.73. Se obtuvieron en los núcleos dos poblaciones de herencias, con medias ponderadas de 158 + 11 Ma con un MSWD= 5.0 y relación Th/U entre 0.57 y 1.00 y de 226 + 21 Ma con un MSWD= 8.7 y relación Th/U entre 0.12 y 0.80. Otras herencias son de 464 + 16 Ma, 674.8 + 23.3 Ma y 1032 + 41 Ma (Figura 4c).
La muestra MTM-029 corresponde a un cuerpo de diorita. Se seleccionaron 54 circones con forma de prismas largos y algunos largos y delgados, de tamaños variables entre 50 y 300 µm. En las imágenes de catodoluminiscencia, muy pocos circones muestran texturas de zonación; la mayoría son homogéneos (Figura 3). Se realizaron 67 ablaciones en 53 circones, de las cuales se tuvieron en cuenta 21 ablaciones para la interpretación luego de excluir los datos con discordias > 50% o errores > 6%. Las edades obtenidas y aceptadas varían en un rango entre 8.26 Ma y 9.86 Ma. La edad de cristalización interpretada a partir de la media ponderada es de 8.71 + 0.11 Ma, MSWD= 2,1 con relación Th/U entre 0.35 y 0.82 (Figura 4d).
Para la datación de la Dacita Porfídica del Concilio se extrajeron 57 circones (MTM-201dacita porfídica) y se realizaron un total de 54 ablaciones. Los cristales de circón son subhedrales a euhedrales, traslúcidos, incoloros a amarillo pálido, con formas de prismas largos, algunos achatados, y tamaño entre 50 µm y 200 µm. En imágenes de CL se observa zonación concéntrica (Figura 3). Para la reducción de los datos se usaron aquellos análisis cuyo valor de discordancia es < 10.5 % o error < 5.5 %.
En el diagrama de concordia, los datos aceptados (n=40) forman una población con edades del Cretácico Superior y otra agrupación con edades paleógenas. Con base en la edad media ponderada del grupo más joven se interpreta una edad de cristalización de 58.6 + 1.7 Ma (MSWD = 2.5) para la unidad (Figura 4e).
El Plutón de Torrá se fechó por el método 40Ar-39Ar (roca total) usando la muestra GZ-6097RR, clasificada como cuarzomonzodiorita, la cual arrojó un espectro de edad de tres pasos caracterizada por 93.7 % de 39Ar, que dieron una media ponderada de 20.2 ± 0.8 Ma. En la gráfica de isócrona inversa, los puntos forman una tendencia lineal, caracterizada por un valor de edad de 18.6 ± 1.4 Ma, MSWD = 1.6 (Figura 5a).

Figura 5 Edades 40Ar-39Ar halladas en el Plutón de Torrá y en el Batolito de Piedrancha. a. Muestra IGM-707258 (Plutón de Torrá); b. Muestra IGM-900214 (Batolito de Piedrancha).
Del Batolito de Piedrancha se fechó una muestra por el método 40Ar-39Ar (roca total), la muestra MIS-115 clasificada como tonalita, la cual arrojó un espectro de edad con meseta de tres pasos caracterizada por 51.3 % de 39Ar, valor de edad plateaude 28.20 ± 0.90 Ma. En la gráfica isócrona inversa, los puntos forman una tendencia lineal, caracterizada por un valor de edad de 31.2 ± 1.4 Ma, MSWD = 1.1 (Figura 5b).
5. Discusión
La asignación de los plutones y unidades volcánicas a cada arco magmático se basa en su localización, contexto geológico, composición química y edad de cristalización. Algunos eventos magmáticos de arco fueron obtenidos a partir de las edades de cristalización U-Pb y de las edades de cierre 40Ar-39Ar y K-Ar. Los eventos magmáticos de cada pulso se representan mediante gráficos de densidad de Kernel, donde se muestran la mayor cristalización durante la formación del arco. Además, cuando fue posible se muestra la correlación de unidades que definen el arco insular o de margen continental, y la composición litológica (Tabla 2), y química general que representan el arco magmático.
5.1. ARCOS MAGMÁTICOS INSULARES Y DE MARGEN CONTINENTAL EN LA CORDILLERA OCCIDENTAL DE COLOMBIA
5.1.1. ACTIVIDAD MAGMÁTICA DEL JURÁSICO MEDIO Y DEL CRETÁCICO TEMPRANO (CA. 163 MA A CA. 143 MA)
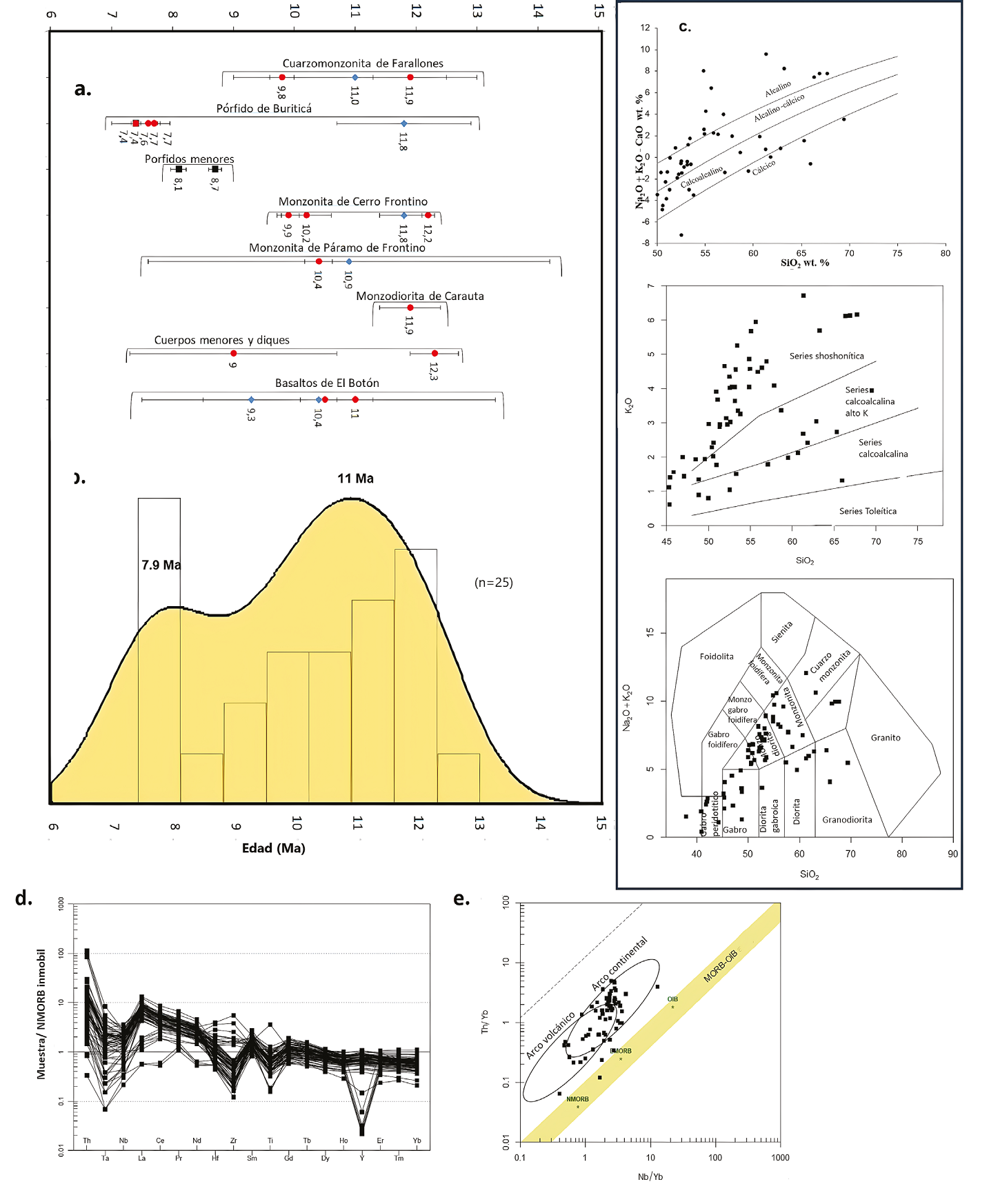
A finales del Jurásico Medio (163.1 ± 3.0 Ma; este trabajo) se formó la unidad Cuarzodiorita de La Pitanjá, que corresponde a una unidad local en el sector norte de la Cordillera Occidental (Figura 1), sin que se tenga hasta la fecha otros registros de este evento magmático en otros sitios de la cordillera. Durante el magmátismo del Jurásico Medio cristalizó un plutón heterogéneo compuesto por cuarzodioritas, gabros, dioritas, monzodioritas y monzonitas de las series calcoalcalina alta en K a shoshonítica, de carácter metaluminoso, composición litológica que sugiere generación de diversos tipos de magmas en su formación (Figura 6a). El perfil de elementos trazas de estas rocas presenta un significativo paralelismo entre ellas, con una marcada pendiente negativa desde los elementos traza de radio iónico grande-LILE (por sus siglas en inglés) hacia los elementos traza de radio iónico pequeño-HFSE (por sus siglas en inglés) y anomalías negativas de Nb y Ti. Adicionalmente, los valores de Th/Yb vs Nb/Yb (1.45-3.70 vs 1.573.27) sugieren que estas rocas fueron formadas en un ambiente de arco magmático posiblemente continental (Figura 6b).

Figura 6 Diagramas de análisis geoquímico de la actividad magmática de las rocas formadas en el Jurásico Medio y el Cretácico Temprano. a. Diagrama de SiO2 vs K2O (Peccerillo y Taylor, 1976); b. Diagrama A/CNK vs A/NK (Shand, 1943); c. Diagrama normalizado al N-MORB de (Sun y McDonough, 1989); d. Diagrama Nb/Yb vs Th/Yb con campos discriminatorios de tipo de arco (Pearce, 2014).
Posteriormente, luego de una brecha geocronológica de ca. 20 Ma, se formaron las unidades Gabro del Porvenir (149.7 ± 1.2 Ma; Ramírez-Cárdenas et al., 2021) y Tonalita de La Purco (143.6 ± 2.3 Ma). La primera se localiza en una ventana tectónica al interior de rocas sedimentarias neógenas al norte de la Cordillera Occidental, y la segunda en una posición cercana a la Cuarzodiorita de La Pitanjá, en el segmento norte de la Cordillera Occidental (Figura 1). De acuerdo con los datos publicados por Ramírez-Cárdenas et al. (2021), el Gabro del Porvenir es una unidad de suprasubducción compuesta por piroxenitas asociada a fragmentos de la zona de transición corteza-manto pertenecientes a una paleolitósfera oceánica. Por su parte, la Tonalita de La Purco es una unidad compuesta principalmente por tonalitas de la serie calcoalcalina y de carácter peraluminoso (Figura 6c; Tabla 2), con relaciones Th/ Yb entre 0.43 y 0.69 y Nb/Yb entre 1.98 y 3.74. Al igual que la Cuarzodiorita de La Pitanjá, sus características geoquímicas sugieren que se formó en un ambiente de suprasubducción posiblemente continental (Figura 6d).
Debido a la limitada disponibilidad de datos geocronológicos y geoquímicos existentes relacionados con esta temprana actividad magmática en la Cordillera Occidental, la mayoría de los cuales se presentan por primera vez en este estudio, no consideramos adecuado establecer las características del evento magmático específico para este período de tiempo, hasta no tener más datos que soporten modelos evolutivos; por ahora consideramos que se trata de slivers tectónicos amalgamados con el Plateau Oceánico Colombiano-Caribeño (CCOP por sus siglas en inglés, ver discusión del modelo evolutivo abajo).
Sin embargo, el reporte de las características geoquímicas y geocronológicas de estas unidades es de suma importancia para futuras reconstrucciones de la evolución del norte de los Andes. El origen de arco continental que sugieren los resultados analíticos no es compatible con los modelos evolutivos de los movimientos de placas tectónicas globales disponibles para el Jr-K (Clennett et al., 2020; Merdith et al., 2021), teniendo en cuenta la localización del límite entre rocas oceánicas y rocas continentales representado por el sistema de Fallas Cauca Romeral (Figura 1). Adicionalmente, estos resultados podrían explicar al menos en parte la presencia de circones heredados que han sido reportados en unidades más jóvenes de la Cordillera Occidental (Barbosa-Espitia et al., 2019; Cetina et al., 2019; Correa-Restrepo et al., 2023; Correa et al., 2018).
5.1.2. CRETÁCICO TEMPRANO AL CRETÁCICO TARDÍO (CA. 101 MA A CA.65 MA)
A finales del Cretácico Tempranoca. 100.9 ± 0.85 Ma y hasta finales del Cretácico Tardíoca. 76.5 ± 1.1 ocurrió actividad magmática de arco de islas al occidente de la margen continental del norte de Suramérica (evento magmático de ca. 25 Ma, Figuras 7b y 7e), en una corteza oceánica tipo plateau. Se formaron grandes volúmenes de derrames lávicos, rocas volcanoclásticas y cuerpos plutónicos emplazados en rocas de plateau (diabasas de San José de Urama, Grupo Diabásico) y en las rocas volcánicas del mismo arco insular (Formación Barroso; Rodríguez-García et al., 2023; Rodríguez y Arango, 2013). El arco de islas se localiza en la margen oriental del bloque de corteza oceánica, actualmente amalgamado a la margen occidental de Suramérica, amalgama que ocurrió aproximadamente hace ca.70 Ma (Vallejo et al., 2006; Zapata-Villada et al., 2021), y cuyo límite con las rocas metamórficas de la margen continental en Colombia es la falla Cauca-Almaguer (Maya y González, 1995; Figura 1).

Figura 7 Edad y composición de los plutones del arco insular Barroso - Sabanalarga. a. Diagrama de correlación de plutones; b. Diagrama de densidad de probabilidad a partir de las edades U-Pb de los plutones; c. Diagramas de clasificación de muestras de plutones; d. Diagrama de elementos trazas inmóviles normalizados al N-MORB; e. Diagrama de ambiente tectónico según Pearce (2008).
Al comienzo del arco de islas cristalizaron pequeños cuerpos gabroicos, andesitas subvolcánicas, rocas volcánicas basálticas y cuerpos de plagiogranito de afinidad toleítica subalcalina (Rodríguez-García et al., 2023). Los primeros fundidos gabroicos cristalizaron entre 100.9 ± 0.85 y 91.1 ± 4.1 Ma, y están representados por plutones como El Palmar, Caicedo y Mistrató (Correa et al., 2018; Pardo-Trujillo et al., 2020; Rodríguez-García et al., 2023; Villagómez et al., 2011). La generación de plagiogranitos y cuerpos gabroicos contemporáneos corresponde a fundidos con composiciones diferentes y contrastantes (Tonalita de Buriticá). La generación de magmas contrastantes continuó entre ~90 Ma y ~76 Ma con la formación de batolitos de composición heterogénea (Tabla 2), como la tonalita de Santa Fe de Antioquia (Correa et al., 2018; Rodríguez-García et al., 2023; Rodríguez et al., 2012b; Weber et al., 2015; Zapata-Villada et al., 2021) y el batolito de Buga (Nivia et al., 2019a, b). Estos dos cuerpos intrusivos resultaron de la cristalización de magmas máficos y félsicos, que permitió la generación de plutones con estructura de brecha intrusiva, constituidos por bloques máficos (gabros y dioritas) rodeados por rocas félsicas (tonalitas, granodioritas, cuarzodioritas, plagiogranitos) y localmente rocas híbridas, que probablemente se formaron a partir de recargas sucesivas de la cámara magmática a partir de material que se encontraba debajo de la cámara (Rodríguez-García et al., 2023). La formación de enclaves y su preservación fue controlada por contrastes de composición y térmicos entre la recarga y el magma huésped y la dinámica de mezcla (Ruprecht et al., 2020; Wiebe, 2016). Las edades U-Pb obtenidas a partir de las rocas gabroicas y tonalíticas sugieren la cristalización durante el mismo periodo de gabros y tonalitas, entre 86.7 ± 1.6 Ma y 78.4 ± 6.4 Ma (TS1). Estos grandes plutones se desarrollaron a partir de múltiples pulsos magmáticos con diferentes edades de cristalización (Figuras 7a y 7b), probablemente a partir de recargas sucesivas de la cámara magmática, como sugieren los patrones de elementos trazas que se cruzan entre sí (Figura 7d). Durante el plutonismo de arco hay evidencias de vulcanismo lávico y piroclástico, como se deduce de las edades de cristalización U-Pb en circón obtenidas en rocas de la Formación Barroso (edades entre 94.8 ± 1.4 Ma y 76.5 ± 1.1 Ma, -TS1-).
Al mismo tiempo, en una posición más oriental, dentro de la margen continental del norte de Suramérica, se formó otro arco, el cual dio origen a grandes plutones calcoalcalinos (Batolito Antioqueño, Cuarzodiorita de Sabanalarga, Gabro de Altavista, entre otros), que se emplazaron en el basamento de la actual cordillera Central, constituido por rocas metamórficas de edades ordovicidas, Triásicas, Berrasianas y Albianas (Martens et al., 2014; Restrepo y Toussaint, 2020; Correa-Martínez et al., 2020; Restrepo et al., 2011; Rodríguez et al., 2005; Rodríguez et al., 2016).
El registro geocronológico indica dos periodos de actividad magmática en el arco; el principal se dio entre 100.9 ± 0.85 Ma y 76.5 ± 1.1 Ma (pulso magmático con duración de ca. 25 Ma), con dos eventos principales de cristalización a ca. 86 Ma y 91 Ma (Figura 7b) previo al choque entre el plateau y la margen continental de Suramérica. El segundo evento de magmatismo ocurrió durante la colisión. Es un evento tardío reconocido en el sector norte del Batolito de Buga (Nivia et al., 2019b), entre 70.55 ± 0.40 Ma y 67.24 ± 0.69 Ma, donde la mayor parte del volumen de este pulso cristalizó a ca. 69.6 Ma (Figuras 7a y 7b).
Las rocas del arco de islas que intruyeron el plateau oceánico, al occidente de la margen continental, corresponden a granitoides cálcicos (Figura 7c) de la serie toleítica, con algunas rocas de la serie calcoalcalina (Figura 7c), metaluminosas, con algunas rocas que alcanzan el campo peraluminoso, probablemente por fusión y contaminación de sedimentos (Figura 7c), con anomalía negativa de Nb y Ti en los diagramas multielementales normalizados al N-MORB (Figura 7d). Estos rasgos geoquímicos son típicos de rocas generadas en ambientes de arco. Rodríguez-García et al. (2023) analizaron la distribución espacial de las edades de cristalización en los plutones del arco que afloran al norte de la Cordillera Occidental, y establecieron que las edades de los plutones del arco insular son en general más viejas hacia el oeste y más jóvenes hacia el este, es decir, la migración de las edades de cristalización es en sentido oeste-este, así como el aumento de la profundidad de generación de los fundidos con valores de Sm/Yb entre 0.94 y 3.36, y mayores valores de esta relación en los plutones más jóvenes (He et al., 2010).
5.1.3. PALEOCENO: TOBAS DE CAICEDO Y DACITA PORFÍDICA DEL CONCILIO (CA. 57 MA A CA. 59 MA)
A finales del Paleoceno, y luego de una brecha de ca. 10 Ma posterior a la acreción del Plateau Oceánico Colombiano-Caribeño al bloque Andino (ocurrido a finales del Cretácico;Zapata-Villada et al., 2021), comenzaron a formarse rocas volcánicas submarinas y algunas rocas porfídicas que afloran en el borde oriental del sector norte de la Cordillera Occidental. Estas rocas afloran al oriente de la Falla Dabeiba-Pueblo Rico, la cual separa al bloque del Arco Chocó-Panamá (discutido más adelante) del Bloque Cañasgordas (sensuZapata-García y Rodríguez-García, 2020; Figura 1). Todas las rocas de esta agrupación son metaluminosas, tienen anomalías negativas de Nb y Ti, y enriquecimiento de LILE respecto a HFSE (Figuras 8b y 8c).

Figura 8 Diagramas de análisis geoquímico de la actividad magmática de las rocas formadas en el Paleoceno (Tobas de Caicedo y Dacita Porfídica del Concilio). a. Diagrama de SiO2 vs K2O (Peccerillo y Taylor, 1976); b. Diagrama A/CNK vs A/NK (Shand, 1943); c. Diagrama normalizado al N-MORB de Sun y McDonough (1989); d. Diagrama Nb/Yb vs Th/Yb con campos discriminatorios de tipo de arco (Pearce, 2014).
Las rocas volcánicas submarinas de este arco magmático han sido llamadas Tobas de Caicedo (Correa-Restrepo et al., 2023) y son principalmente fragmentales, de composición vítrea con algunas lavas subordinadas, toleíticas a calcoalcalinas, metaluminosas, con una afinidad boninítica, con anomalía positiva de Zr y Hf, y edades entre ca. 57 Ma y 59 Ma (Correa-Restrepo et al., 2023). Por su parte las rocas porfídicas (Dacita Porfídica del Concilio) son más diferenciadas que las Tobas de Caicedo (Figuras 8a y 8c), presentan también una composición toleítica a calcoalcalina, afinidad metaluminosa, y una edad U-Pb en circón de 58.6 ± 1.7 Ma (este trabajo).
Los valores de Th/Yb vs Nb/Yb sugieren un ambiente de arco continental para este pulso magmático (Figura 8e). Los datos geocronológicos y geoquímicos que hasta ahora se conocen de este arco, definen un magmatismo local (Figura 2), geoquímicamente diverso y de corta duración. La presencia de rocas boniníticas con las que inicia cronológicamente este pulso magmático, podrían estar indicando el comienzo de una nueva subducción luego de la acreción del Plateau Oceánico Colombiano-Caribeño al bloque Andino (Correa-Restrepo et al., 2023; ver discusión del modelo genético más abajo) sin embargo, no se descarta la posibilidad de que existan más unidades de este arco magmático en otros sectores a lo largo de la Cordillera Occidental que hasta ahora no hayan sido separadas de las rocas cretácicas volcánicas (Grupos Dagua y Cañasgordas). Tampoco se descarta la posibilidad de que el período de actividad magmática de este arco sea más largo de lo actualmente establecido, teniendo en cuenta que solo hasta ahora se comienza a establecer su existencia y sus características.
5.1.4. PALEOCENO-EOCENO: ARCO CHOCÓ-PANAMÁ (CA. 59 MA A CA. 37 MA)
Durante el Paleoceno-Eoceno se desarrolló el Arco Chocó-Panamá, uno de los mayores arcos de isla que afloran en la Cordillera Occidental de Colombia y que se extiende hasta Panamá. En Colombia este arco está representado por tres bloques constituidos por plutones batolíticos, derrames de lavas, rocas piroclásticas y cuerpos subvolcánicos porfídicos: en el bloque norte afloran el Complejo Santa Cecilia - La Equis y el Batolito de Acandí; en la zona central afloran el Complejo Santa Cecilia - La Equis y el Batolito de Mandé, y en el bloque sur aflora la unidad volcano sedimentaria denominada Formación Timbiquí, la Tonalita de Napi, los plutones del Salto y Balsillas, y la Ultramafita de Guapi (Tistl y Salazar, 1994;Zapata-García y Rodríguez-García, 2020; Figura 1). En todos los segmentos de este arco se generaron cuerpos subvolcánicos tipo pórfido de Cu-Au. En este mismo intervalo de tiempo, al oriente del Arco Chocó-Panamá, sobre la margen noroccidental de Suramérica (cordillera Central), se formó un arco de margen continental representado por plutones de edades entre 60 Ma y 45 Ma (Bayona et al., 2012; Bustamante et al., 2017; Cardona et al., 2011, 2014).
La actividad magmática del Arco ChocóPanamá, de acuerdo con las edades K-Ar, 40Ar-39Ar y U-Pb, inició alrededor de 59 Ma y continuó hasta al menos ca. 37 Ma, con algunas edades K/Ar alrededor de 33 Ma que sugieren posible pérdida de Ar radigénico (pulso magmático de ca. 59 Ma a 37 Ma; Figura 9a). Los primeros datos indican que este arco se emplazó en rocas oceánicas con afinidad deplateau de la Gran provincia del Caribe (Buchs et al., 2010; Cardona et al., 2018; Montes et al., 2012). Los datos del basamento del arco en el bloque central presentados por Zapata-García y Rodríguez-García (2020), sugieren un basamento tipo T-MORB, diferente a las rocas que conforman el basamento del plateau Colombia de la Cordillera Occidental. El Arco Chocó-Panamá está representado por un cinturón de rocas volcánicas y plutones que se localizan actualmente al occidente de las unidades de plateau oceánico de la Cordillera Occidental de Colombia y de las secuencias sedimentarias turbidíticas del Cretácico Superior-Paleoceno que reposan sobre los basaltos de plateau, siendo el contacto del Arco Chocó-Panamá fallado con estas unidades (Falla Dabeiba-Pueblo Rico).

Figura 9 Edad y composición de los plutones y unidades volcánicas del arco Chocó-Panamá. Rojo unidades volcánicas y amarillo resultados en rocas plutónicas. a. Diagrama de correlación de plutones; b. Diagrama de densidad de Kernel partir de las edades U-Pb, 40Ar-39Ar y K/Ar de los plutones y unidades volcánicas; c. Diagramas de clasificación de muestras de plutones; d. Diagrama de SiO2 vs. K2O (Peccerillo y Taylor, 1976); e. Diagrama de ambiente tectónico (Pearce, 2008); f. Diagrama de elementos trazas normalizados al N-MORB.
Las edades y la correlación de unidades se resumen en la Figura 9a, Tabla 2 y en la TS1. El registro geocronológico presenta una amplia variedad de métodos (K/Ar, 40Ar-39Ar, U-Pb), obteniendo, con base en los datos, una mayor cristalización de rocas a ca. 42 Ma y ca. 48 Ma (Figura 9b). La composición de los cuerpos plutónicos es similar en los tres bloques (Tabla 2). Junto a los plutones se presentan pórfidos de composición andesítica y dacítica que intruyen las rocas plutónicas e incluyen zonas de mineralización de Cu-Au y Cu-Mo (Álvarez y Parra, 1979; Guarín y Álvarez, 1977; Ramírez. et al., 1979; Sillitoe et al., 1982).
Las rocas volcánicas y volcanoclásticas que conforman el Complejo Santa Cecilia-La Equis y la Formación Timbiquí son composicionalmente similares (Tabla 2). También ocurren algunas intercalaciones de limolitas y chert.
Desde el punto de vista geoquímico, los plutones del Arco Chocó-Panamá grafican dentro del campo de los granitoides cálcicos (Figura 9c), son granitoides magnesianos, que probablemente están relacionados con magmas de arco de islas siguiendo tendencias de diferenciación relativamente oxidantes e hidratadas (Zapata-García y Rodríguez-García, 2020). Las rocas plutónicas y volcánicas son de la serie toleítica a calcoalcalina (Figura 9c), metaluminosas con algunas rocas peraluminosas (Barbosa-Espitia et al., 2019; Cardona et al., 2018; Zapata-García y Rodríguez-García, 2020), estas últimas probablemente debido a contaminación del magma por sedimentos. Los diagramas de tierras raras normalizados al N-MORB muestran patrones paralelos y similares en los tres bloques, con anomalías negativas de Nb, Ti y Zr, y positiva de Pb (Figura 9f). Los datos sugieren que el arco se formó en un ambiente de arco de islas (Figura 9e). La distribución en los diagramas de discriminación de ambiente tectónico de las unidades volcánicas y plutónicas del Arco Chocó-Panamá se ubican en el campo de los arcos de isla y en la interfaz con los arcos continentales (Barbosa-Espitia et al., 2019; Cardona et al., 2018; Zapata-García y Rodríguez-García, 2020). Las relaciones Eu/Eu* para las muestras de los batolitos de Acandí y Mandé, y la Tonalita Napi están entre 1.45 y 0.71, muchas de ellas cercanas a 1. Los valores de (La/Yb)N están entre 1 y 5.5 para la mayoría de rocas, con algunas excepciones del Batolito de Mandé y en algunas rocas de la Tonalita de Napi (La/Yb)N <1. Los valores de (La/Yb)N, son comparables en los tres plutones: 0.56 a 4.19 en Napi, 1.15 a 8.43 en Mandé y 0.89 a 5.32 en Acandí.
Algunos autores consideran que el Arco ChocóPanamá se inició a lo largo del margen occidental del plateau ca. 72 Ma, en concordancia con los datos bioestratigráficos y geocronológicos de secuencias de arco temprano in situ en Panamá (Buchs et al., 2010; Wegner et al., 2011). En Colombia los datos del Arco Chocó-Panamá sugieren que la cristalización de rocas del arco inició ca. 59 Ma y continuó hasta al menos ca. 37 Ma, sin que se reconozca migración del magmatismo. Al mismo tiempo en la Cordillera Occidental, pero en una posición más oriental, cristalizaron rocas volcánicas y volcanoclásticas formadas en un arco de margen continental de afinidad boninítica, denominadas Tobas de Caicedo (Correa-Restrepo et al., 2023), emplazadas en basaltos de plateau y en vulcanitas del arco de islas Cretácico (Arco Barroso Sabanalarga). Ambos arcos (Chocó-Panamá y las rocas boniníticas) iniciaron su actividad al tiempo, pero en diferentes posiciones geotectónicas. Más al oriente sobre la Cordillera Central, pero ligeramente posterior a la cristalización de las rocas boniníticas, cristalizaron plutones con afinidad de arco de margen continental. Lo que muestra la compleja historia magmática poscolisional entre el plateau oceánico y la margen continental en el norte de los Andes y la dificultad que existe para proponer los modelos geológicos con los pocos datos existentes. La edad y la composición química de las rocas volcánicas y plutónicas que conforman el arco es comparable (bloques Acandí-Santa Cecilia La Equis, Mandé-Santa Cecilia La Equis y NapiTimbiquí; Zapata-García y Rodríguez-García, 2020). Estas unidades ocupan una posición geotectónica similar.
5.1.5. OLIGOCENO-MIOCENO: PULSO MAGMÁTICO PIEDRANCHA-TATAMÁ (CA. 30 MA A CA. 15 MA)
Durante el Oligoceno y Mioceno se desarrollaron en la Cordillera Occidental de Colombia dos cinturones de plutones de arco de diferente edad, composición y localización espacial (Figura 2). El primer cinturón se formó al sur del Sistema de Fallas Aguasal-Amurrapá (Figura 1), el cual divide la Cordillera Occidental en dos segmentos: segmento sur y segmento norte. El segmento sur tiene como límites al oeste la llanura pacífica y al este el río Cauca o la Falla Cauca - Almaguer en el sentido de Maya y González (1995), al norte lo limita el Sistema de Fallas Aguasal-Amurrapá y al sur continua el bloque en Ecuador (Figura 1). La Cordillera Occidental en el segmento sur tiene una dirección general NNE. Al norte del Sistema de Fallas Aguasal-Amurrapá inicia el segmento norte, limitado al oriente por la Falla Cauca-Almaguer (Maya y González, 1995), al occidente por la cuenca del río Atrato, al sur por el Sistema de Fallas Aguasal-Amurrapá y al norte está cubierto por los sedimentos cenozoicos del Cinturón Sinú-San Jacinto y el Grupo Sincelejo. En este segmento se formó el Arco El Botón (Rodríguez y Zapata García, 2012; Zapata y Rodríguez, 2011). La Cordillera Occidental en el segmento norte adquiere una tendencia general N-S (Figura 1).
Se propone el nombre de pulso magmático Piedrancha-Tatamá, el cual representa el magmatismo de arco del Mioceno en el segmento sur de la Cordillera Occidental, y su nombre corresponde al Batolito de Piedrancha que aflora al sur del segmento y a la Tonalita de Tatamá que aflora al norte del segmento. El pulso magmático Piedrancha-Tatamá está constituido por stocks y algunos cuerpos batolíticos epizonales a subvolcánicos (Tabla 2), dispersos a lo largo del segmento sur (Figura 1). Asociado al magmatismo de este arco se presentan mineralizaciones epitermales de Au. La Tabla 2 resume las unidades conocidas como parte del pulso magmático occidental de este arco (Figura 10a). Además, el segmento sur incluye otros cuerpos menores sin denominación. La actividad magmática del pulso Piedrancha - Tatamá, de acuerdo con las edades K-Ar, 40Ar-39Ar y U-Pb, inició alrededor de ca. 30 Ma hasta ca. 15 Ma en la Cordillera Occidental (pulso de 15 Ma, Figuras 10a y 10b). El magmatismo de este arco se extendió posteriormente a la cuenca del río Cauca (pórfidos del Cauca Medio y norte del Departamento del Cauca), a la cordillera Central (cuerpos porfídicos y vulcanismo actual), y probablemente alcanzó el Valle Superior del río Magdalena (vulcanismo monogenético alcalino del Valle Superior del Magdalena y el Macizo Colombiano), generando plutones subvolcánicos y el vulcanismo activo de los Andes Centrales de Colombia. Los primeros cuerpos en cristalizar en la Cordillera Occidental fueron el Batolito de Piedrancha y el plutón de Cuembi (entre ca. 21 Ma y ca. 23 Ma), posteriormente los demás cuerpos se formaron alrededor de 18 Ma en un corto periodo de cristalización.

Figura 10 Edad y composición de los plutones del pulso magmático Piedrancha-Tatamá. a. Diagrama de correlación de plutones; b. Diagrama de densidad de Kernel a partir de las edades U-Pb, 40Ar-39Ar y K/Ar de los plutones y unidades volcánicas; c. Diagramas de clasificación de muestras de plutones; d. Diagrama de elementos trazas normalizados al N-MORB; e. Diagrama de ambiente tectónico (Pearce, 2008).
Los plutones de este pulso magmático se emplazaron en rocas sedimentarias del Complejo Estructural Dagua, en rocas oceánicas de plateau y probablemente en rocas volcánicas del Arco Cretácico (Arco Barroso-Sabanalarga).
La mayor cristalización de rocas de este pulso magmático de arco es ca. 18 Ma. Al mismo tiempo que se formaron los plutones del pulso magmático Piedrancha-Tatamá, ocurrió el emplazamiento del Complejo Zonado del Alto Condoto (Tistl et al., 1994; Tistl y Salazar, 1994), cerca al Sistema de Fallas Aguasal-Amurrapá, límite norte del segmento sur, intruyendo rocas del Arco ChocóPanamá. El Complejo Zonado del Alto Condoto ha sido considerado como un complejo máfico-ultramáfico tipo Alaska, el cual arrojó edades K/Ar entre 19 Ma y 21 Ma (TS1; Figuras 10a y 10b). El origen del complejo se ha relacionado a inyecciones magmáticas tipo pipe de magmas ultrabásicos, relacionado con el arco (Tistl y Salazar, 1994). Las rocas del Complejo Zonado del Alto Condoto tiene composición toleítica y su procedencia se ha considerado de dos fuentes: fusión parcial de alto grado del manto (20%) moderadamente empobrecido sobre una zona de subducción (la mayor parte) y modificación por un líquido metasomático abundante en LILE y ligeramente enriquecido con LREE, que pudo haberse originado por deshidratación de la losa en subducción (Tistl et al., 1994). La intrusión del Complejo Zonado del Alto Condoto a ca. 21 Ma, limita la edad de amalgamación del Arco Chocó-Panamá a la margen continental dentro del intervalo entre 37 Ma y 21 Ma (intervalo entre el final del magmatismo del Arco Chocó-Panamá y la intrusión del Complejo Zonado del Alto Condoto en rocas del Arco Chocó-Panamá).
Los plutones del pulso magmático PiedranchaTatamá son granitoides cálcicos y algunas muestras alcanzan el campo calcoalcalino (Figura 10c), son granitoides que se formaron en un arco de margen continental (Figura 10e). Las rocas son subalcalinas de la serie calcoalcalina a calcoalcalina alta en K (Figura 10c), metaluminosas con algunas rocas peraluminosas, magnesianas. Los patrones de tierras raras normalizados al N-MORB muestran anomalías negativas de Nb y Ti, y positiva de Sr y K (Figura 10d). Las relaciones Eu/Eu* son cercanas a 1. Los valores de (La/Yb)N están entre 2.13 y 6.4, con algunas excepciones en el Pórfido Dominical y el Stock El Vergel, con rocas con valores de 10 a 11. A la fecha no se han determinado unidades volcánicas relacionadas con este pulso magmático, pero deben existir y responde probablemente a un problema de falta de datos geocronológicos asociado a rocas volcánicas en la mayor parte de la Cordillera Occidental de Colombia.
Mientras en el segmento sur de la Cordillera Occidental el pulso magmático PiedranchaTatamá finalizó aca. 15 Ma, la actividad del arco ha continuado hasta el presente y migró hacia la cuenca del río Cauca, la cordillera Central y el Valle Superior del Magdalena, formando cinturones de plutones y rocas volcánicas más jóvenes.
5.1.6. MIOCENO: ARCO EL BOTÓN (CA. 13 MA A CA. 7 MA)
Al norte del Sistema de Fallas Aguasal-Amurrapá, en el segmento norte de la Cordillera Occidental de Colombia, comenzó un nuevo pulso magmático de arco alrededor de 13 Ma, durante el Mioceno (Serravaliano-Tortoniano), representado por cuerpos plutónicos (stocks), derrames de lavas, rocas piroclásticas y cuerpos subvolcánicos porfídicos, que ha sido llamado Arco El Botón (Zapata y Rodríguez, 2011; Rodríguez y Zapata., 2012). Asociado a este magmatismo se formaron importantes depósitos tipo pórfido y mineralizaciones epitermales de Au. (mina de Au de Buriticá). El Arco El Botón está formado por plutones que intruyen el bloque central del Arco ChocóPanamá, la zona de sutura del Arco ChocóPanamá con el Bloque Cañasgordas y el Bloque Cañasgordas, que en conjunto forman el segmento norte de la Cordillera Occidental (Figura 1). Los derrames de lavas y rocas piroclásticas se localizan al interior del Bloque Chocó-Panamá, en las zonas de amalgamación con el Bloque Cañasgordas (basaltos de El Botón; Zapata y Rodríguez, 2011) y en la zona de amalgamación de las rocas oceánicas de plateau con la corteza continental (Andesitas basálticas de El Morito y Formación Combia; Rodríguez y Zapata, 2014; Weber et al., 2020).
LaTabla 2resume los plutones identificados en este arco y la composición general de las rocas que lo conforman; además se presentan cuerpos porfídicos andesíticos y plutones menores sin nombre (Álvarez y González, 1978; Calle y González, 1980; Correa et al., 2018, 2020; González y Londoño, 2002; Peláez et al., 2022; Rodríguez y Zapata García, 2012; Figura 11a). La mineralogía de las facies básicas (gabros y piroxenitas) tienen biotita en cantidades que pueden llegar hasta el 17% (Gabro de Cerro Frontino). La presencia de biotita en las facies más básicas es indicativa de magmas hidratados con contenidos altos de potasio que reflejan la composición alcalina primitiva de los magmas (Figura 10c). Algunos cuerpos presentan olivino junto a orto- y clinopiroxeno, este último de tipo augita-egirina (Rodríguez y Zapata, 2012).

Figura 11 Edad y composición de los plutones del Arco El Botón. a. Diagrama de correlación de plutones; b. Diagrama de densidad de Kernel a partir de las edades U-Pb, 40Ar-39Ar y K/Ar de los plutones y unidades volcánicas; c. Diagramas de clasificación de muestras de plutones; d. Diagrama de elementos trazas normalizados al N-MORB; e. Diagrama de ambiente tectónico (Pearce, 2008).
Las edades obtenidas para los plutones y las rocas volcánicas del Arco El Botón en la Cordillera Occidental se resumen en la Figura 10a y en la TS1. El registro geocronológico de este magmatismo en la Cordillera Occidental presenta edades entre 12.3 ± 0.4 Ma y 7.41 ± 0.40 Ma (pulso magmático de ca. 5 Ma), con dos eventos de mayor cristalización a 11 Ma y a 7.9 Ma (Figura 11b). El magmatismo del arco continuó activo, más al oriente, en la parte central de la cuenca del río Cauca donde se presentan lavas basálticas y depósitos piroclásticos (Formación Combia) y cuerpos subvolcánicos de andesitas y dacitas porfídicas. En este trabajo nos limitaremos a discutir las características que tuvo este magmatismo en la Cordillera Occidental.
La composición química de los cuerpos intrusivos y las rocas volcánicas y piroclásticas son en su mayoría de las series shoshonítica, con alto contenido de álcalis (Na2O + K2O > 5 %), altas razones K2O/Na2O (> 0.6 a los 50% de SiO2, >1.0 a los 55% de SiO2), bajo TiO2 (<1.3 %), alto pero variable Al2O3 (14-19 %). Las rocas ultrabásicas y básicas tienen generalmente alto contenido de MgO entre 8% y 14% y en las facies ácidas el MgO<3.6 % (Figura 11c). Algunos cuerpos como la Diorita del río San Juan, la Granodiorita de Farallones y pequeños cuerpos de gabros emplazados en el Complejo Santa Cecilia-La Equis tienen afinidad con la serie calcoalcalina (Rodríguez y Zapata, 2012).
Los plutones se localizan en el campo de las rocas alcalinas y únicamente la Granodiorita de Farallones tiene algunas muestras dentro de las rocas subalcalinas. Las rocas se distribuyen dentro de los campos de los gabros, sienodioritas, sienitas y granitos alcalinos, mientras la Granodiorita de Farallones, además de presentar las litologías normales de los otros cuerpos, tiene dioritas, granodioritas y cuarzodioritas subalcalinas. Las rocas son metaluminosas y solo algunas rocas localizadas en los bordes de los plutones y hacia los contactos con unidades sedimentarias grafican en el campo peraluminoso por contaminación. El arco ha sido clasificado como un arco de margen continental (Rodríguez y Zapata, 2012; Figuras 11c y 11e).
Los diagramas multielementales de elementos trazas normalizados al N-MORB (Figura 11d) presentan anomalías negativas de Nb-Ta-Ti y algunas rocas de la Granodiorita de Farallones tienen anomalía en Y (Rodríguez y Zapata, 2012; Zapata y Rodríguez, 2013), la cual sugiere una fuente de magma profundo y presencia de granate (Winter, 2001).
Las rocas que forman el Arco El Botón en el límite sur del segmento norte presentan variaciones composicionales notorias. La Granodiorita de Farallones está constituida por rocas alcalinas de la series shoshonítica al norte del cuerpo y rocas subalcalinas de la serie calcoalcalina al sur del cuerpo; este mismo cambio en la composición química se presenta en las secuencias volcánicas y volcanoclásticas localizadas en el mismo sector en la cuenca del río Cauca entre la Andesita basáltica de El Morito formada por rocas alcalinas y shoshoníticas, y las rocas volcánicas toleíticas y calcoalcalinas de la Formación Combia. Weber et al. (2020) sugieren que el vulcanismo de la Formación Combia es heterogéneo y comprende series magmáticas toleíticas, calcoalcalinas y shoshoníticas que coexistieron entre 12 Ma y 6 Ma, resultado de diferentes procesos. Las rocas toleíticas se formaron a partir de una fuente de manto primitivo modificada, con limitado suministro de contaminante sedimentario o continental. Las rocas y magmas calcoalcalinos son principalmente adakíticos y se formaron del fraccionamiento de granate y anfíbol a altas presiones a partir de un fundido hidratado proveniente de una fuente enriquecida.
Los magmas shoshoníticos se formaron a partir de una fuente mantélica con aporte sedimentario o continental, en el campo de estabilidad de la plagioclasa. Estos autores consideran que el vulcanismo del Combia fue acentuado por el Caldas Tear (desgarre de Caldas), una ventana en la placa desarrollada por la subducción del Sandra Ridge (dorsal asísmica) bajo la Placa de Suramérica.
Tanto el vulcanismo como el plutonismo del Arco El Botón cambió su composición cerca al límite sur del segmento norte de la Cordillera Occidental. El limite sur del segmento está representado en superficie por el Sistema de Fallas Aguasal-Amurrapá de dirección SW-NE, y coincide con el trazo del llamado Caldas Tear. En superficie el Sistema de Fallas Aguasal-Amurrapá forma una depresión transversal en la Cordillera Occidental (depresión de 20 km de ancho en superficie), depresión localizada entre el Páramo de Tatamá y los Farallones de Citará.
Este cambio composicional pudo ser causado por un doblez de la placa subducida contra el límite tectónico representado en superficie por el Sistema de Fallas Aguasal-Amurrapá (Figura 1), generándose magmas a menor profundidad y dando como resultado el cambio en un corto trayecto de magmas shoshoníticos de fuente mantélica profundos a magmas toleíticos y calcoalcalinos menos profundos.
La composición y la edad de los plutones miocenos en el segmento sur de la Cordillera Occidental, es notablemente diferente a la edad y composición de los cuerpos plutónicos del segmento norte. Al sur son granitoides cálcicos y calcoalcalicos, subalcalinos de la serie calcoalcalina a calcoalcalina alta en K, magnesianos (pulso magmático Piedrancha-Tatamá), que cristalizaron entre 30 Ma y 15 Ma. Al norte los plutones son calcoalcalinos, alcalinocálcicos y alcalinos, de la serie alcalina y shoshonítica, magnesianos y ferrosos que cristalizaron entre 13 Ma y 7.5 Ma.
5.2. ESPESOR DE LA CORTEZA
Con el fin de inferir los cambios en el espesor de la corteza durante los diferentes pulsos magmáticos discutidos en la presente contribución, se utilizaron los resultados geocronológicos y geoquímicos compilados en las tablas TS1 y TS2 (respectivamente) para calcular el espesor de corteza de acuerdo con la metodología propuesta por Profeta et al. (2015), la cual utiliza únicamente los datos normalizados de La y Yb de las muestras con contenidos de MgO <4 % y de 55% < SiO2 < 68 %. A partir de estos datos se construyeron la Tabla 3 y la Figura 12, que contienen la información geoquímica de las muestras datadas que cumplen con los parámetros de la metodología referida, a excepción de las muestras del pulso magmático Jurásico Medio-Cretácico Temprano (FHO-305-Cuarzodiorita de La Pitanjá- y ARO413 -Tonalita de La Purco-) para las que se usaron los datos geoquímicos de muestras no datadas de estas unidades (ARO-414, Tonalita de La Purco y MGO-322, Cuarzodiorita de La Pitanjá). Para el pulso Jurásico Medio-Cretácico Temprano solo se tienen dos datos que indican una variación significativa entreca. 163 Ma y 143 Ma, con valores de espesor de corteza que describen un adelgazamiento importante, pasando de 47 km a 11 Km (Figura 12) y que sugerirían un posible proceso de rifting o de delaminación.
Para las muestras del pulso magmático Cretácico Temprano al Cretácico Tardío (Arco Barroso-Sabanalarga), los valores de espesor de corteza calculados a partir de la TS2 varían entre 17 km y 61 km con un promedio de 28 km, el cual es similar a la muestra datada representativa de este pulso de 34 km (Tabla 3). Estos valores sugerirían una corteza anómalamente engrosada, posiblemente debido al hecho de que este arco de islas se emplazó en un plateau oceánico. Las dos muestras representativas del pulso Paleoceno Tobas de Caicedo y Dacita Porfídica del Concilio indican un engrosamiento importante de la corteza entre ca. 42 km y 49 km para este período, lo cual sumado a las características geoquímicas descritas arriba, sugiere que la actividad magmática de este arco ocurrió en un ambiente de arco continental. Los cálculos de espesor de corteza a partir de la TS2 para el Arco Chocó-Panamá arrojaron valores de espesores similares en los tres bloques, para la Tonalita de Napi entre ca. 13 km y 31 km, para el Batolito de Mandé entre ca. 12 km y 40 km y para el Batolito de Acandí entre ca.11 km y 30 km. Estos valores indican que la corteza era similar en espesor en los tres bloques al momento de emplazar los plutones. Los valores calculados para muestras datadas de este pulso magmático que cumplen con los parámetros de Profeta et al. (2015) corresponden a muestras del Batolito de Acandí, con espesores de 24 km y 25 km (Tabla 3), que en comparación con las muestras de la Dacita Porfirítica del Concilio, sugieren un adelgazamiento importante de la corteza (Figura 12). Para el pulso magmático Piedrancha-Tatamá los cálculos del espesor de corteza arrojaron valores de entre ca. 29 y 51 km, con un espesor de corteza promedio de 36 km. Los valores de las muestras datadas de este pulso (Tabla 3) indican valores de entre 33 km y 39 km, los cuales indicarían una corteza de espesor normal para una margen continental.
Tabla 3 Espesores de corteza de muestras con datación representativas de los diferentes pulsos magmáticos.
| Muestra | Tipo de roca | Unidad | Pulso magmático | Edad (Ma) | LaN | YbN | LaN/YbN | Espesor de
corteza (Km) |
| MTM-201 | Dacita | Dacita del Concilio | Arco El Botón | 8.71 + 0.11 | 16.8 | 2.3 | 7.3 | 43 |
| 706727 | Monzodiorita | Cuarzomonzonita de Farallones | Arco El Botón | 9.8±0.2 | 27.2 | 2.8 | 9.8 | 49 |
| KD-WR-230 | Tonalita | Pluton de Cuembí, La Llanada suite, Cumbitara | Piedrancha-Tatamá | 23.1 ± 0.4 | 25.3 | 4.1 | 6.2 | 39 |
| KD-WR-229 | Granodiorita | Batolito de Piedrancha | Piedrancha-Tatamá | 23.4 ± 0.5 | 16.8 | 3.7 | 4.5 | 33 |
| MIS-115 | Tonalita | Batolito de Piedrancha | Piedrancha-Tatamá | 28.20±0.90 | 18.8 | 3.7 | 5.1 | 35 |
| AB-02 | Diorita | Batolito de Acandí | Arco Chocó-Panamá | 45.9±1.1 | 12.4 | 3.9 | 3.2 | 25 |
| VM-003 | Granitoide | Batolito de Acandí | Arco Chocó-Panamá | 49.5±1.6 | 12.2 | 4.1 | 3.0 | 24 |
| MTM-201 | Dacita | Dacita porfídica del Concilio | Paleoceno, Tobas de Caicedo y Dacita Porfídica del Concilio | 58.6 ± 1.7 | 16.8 | 2.3 | 7.3 | 43 |
| TCR-732 | Granodiorita | Tonalita de Santa Fe de Antioquia | Arco Barroso-Sabanalarga | 85.5 ± 2.3 | 16.5 | 3.4 | 4.9 | 34 |
| ARO-414 | Microtonalita | Tonalita de La Purco | Jurásico Medio-Cretácico Temprano | 143.6 ± 2.3* | 10.8 | 6.5 | 1.7 | 11 |
| MGO-322 | Cuarzodiorita | Cuarzodiorita de La Pitanjá | Jurásico Medio-Cretácico Temprano | 163.1 ± 3.0** | 30.9 | 3.5 | 8.9 | 47 |
* Edad de la muestra ARO-413
** Edad de la muestra FHO-305

Figura 12 Variaciones en el espesor de corteza de los diferentes pulsos magmáticos. Basado en la metodología de Profeta et al. (2015).
Finalmente, los cálculos de espesor de corteza para el pulso correspondiente al Arco del Botón arrojaron valores de entre ca. 30 km y 49 km, con un espesor promedio de 40 km. Los cálculos de las muestras datadas de este pulso (Tabla 3) arrojaron valores de espesor de corteza de 43 y 49, sugiriendo una corteza continental gruesa para el emplazamiento de los plutones.
5.3. MODELOS EVOLUTIVOS DEL JURÁSICO AL MIOCENO
Como se mencionó anteriormente para el pulso entre el Cretácico Temprano y el Jurásico Medio, más allá de sugerir que las rocas formadas previo a ca. 105 Ma en la Cordillera Occidental están relacionados con una actividad magmática de suprasubducción posiblemente continental, no existen aún suficientes datos que permitan aventurarse a proponer un modelo que incorpore estas unidades geológicas más antiguas. Por lo anterior, solo podemos sugerir que se trata posiblemente de slivers tectónicos acrecionados (obducidos?) con/sobre el basamento (plateau). La Figura 13 resume nuestro modelo para la evolución geotectónica de los arcos y pulsos magmáticos de arco de la Cordillera Occidental entre el Jurásico y el Mioceno, en concordancia con los datos de geocronología y los datos de química de roca total que se compilaron.

Figura 13 Propuesta de reconstrucción tectónica de los arcos y pulsos magmáticos de arco entre el Jurásico y el presente en la Cordillera Occidental de Colombia
5.3.1. CRETÁCICO TEMPRANO A CRETÁCICO TARDÍO (CA. 101 MA A CA. 75 MA) ARCO BARROSO - SABANALARGA
Para explicar el magmatismo de arco de islas que se encuentra en la margen oriental de la Cordillera Occidental y que fue activo entre el Cretácico Temprano (ca. 100.9 ± 0.85 Ma) y el Cretácico Tardío (ca. 76.5 ± 1.1 Ma), se han planteado dos modelos de subducción. El primero propone dos zonas de subducción con buzamiento hacia el este, es decir, las placas del Caribe y Farallón debajo de América del Sur y el plateau respectivamente, que corresponde con dos zonas de subducción paralelas en el tiempo, las cuales causaron el cierre de los océanos marginales en el Cretácico TardíoPaleógeno Temprano (Botero-Garcia et al., 2023; Taboada et al., 2000). La posterior colisión del plateau con la margen continental y el desarrollo de los dos arcos al mismo tiempo, uno insular y el otro de margen continental. El segundo modelo considera una zona de subducción de doble divergencia (tipo Moluca), donde la placa del Caribe se inclina hacia el este debajo de América del Sur y a su vez debajo del plateau, con inclinación hacia el oeste (Villagómez y Spikings, 2013; Figura 13).
En ninguno de los dos modelos se ha tenido en cuenta que, durante el pulso magmático del arco insular cretácico, también ocurrió magmatismo de pluma alrededor de 90 Ma, generando pequeños plutones (gabros de Altamira y Niverengo- Correa et al., 2018;2020) y derrames de basaltos con afinidad de plateau, cuyas edades indican un periodo corto de magmatismo que ocurrió al mismo tiempo que se presentaba el magmatismo del arco que perduró por más tiempo. El emplazamiento de los plutones del arco insular ocurrió en una corteza oceánica anterior a los plutones, probablemente de afinidad deplateau, de acuerdo con los datos geocronológicos (Rodríguez y Arango, 2013, Correa et al., 2018; Nivia et al., 2019b; Rodríguez et al., 2023).
5.3.2. PALEOCENO-EOCENO; ARCO CHOCÓ-PANAMÁ (CA. 59-37 MA), TOBAS DE CAICEDO Y DACITA PORFÍDICA DEL CONCILIO (CA. 59 MA A CA. 55 MA)
Entre ca. 70 Ma y ca. 60 Ma, prácticamente no hay registro de magmatismo de arco en la Cordillera Occidental. Algunos trabajos consideran que en este espacio de tiempo geológico ocurrió la colisión del plateau oceánico con la margen suramericana (Restrepo y Toussaint, 1989; Vallejo et al., 2006; Zapata-Villada et al., 2021), causando el estrangulamiento de los arcos. Reaparece el magmatismo a ca. 59 Ma, con dos frentes magmáticos diferentes en posición geotectónica y en composición: el Arco Chocó-Panamá y las Tobas de Caicedo.
El Arco Chocó-Panamá ha sido descrito como un arco de islas desarrollado a partir de una subducción con inclinación hacia el oeste (Salazar et al., 1991; Tistl y Salazar, 1994). Cardona et al. (2018) y Barbosa-Espitia et al. (2019) consideran que los complejos Santa Cecilia-La Equis y San Blas probablemente se originaron en un entorno de arco de islas intra oceánico, cerca al margen sudamericano antes de su acreción al margen andino. Respecto a la Formación Timbiquí, estos autores consideran que se formó en un arco moderadamente maduro de margen continental sobre escamas de la corteza oceánica previamente acrecionadas y se engrosó durante el desarrollo del complejo. También proponen que la Formación Timbiquí y los plutones asociados no hacen parte del Arco Chocó-Panamá y que ambos arcos son semejantes al de las islas Aleutianas, en el que el arco continental cambia lateralmente a un sistema puramente oceánico, a lo largo del borde posterior de la placa del Caribe, como consecuencia de la subducción hacia el este de la placa Farallón (Cardona et al., 2018).
La revisión de los datos aquí analizados sugiere que los tres segmentos del arco se emplazaron en una corteza engrosada de espesor similar (ca. 25 km), donde se formaron cuerpos con una composición química y edad comparable desde el norte hasta el sur del arco en los tres bloques.
Se proponen dos probables alternativas de modelo tectónico para el Arco Chocó-Panamá, semejantes al modelo del Arco BarrosoSabanalarga: un primer modelo con dos zonas de subducción paralelas al tiempo y con vergencia hacia el oriente. La más occidental debajo del plateau oceánico formó el Arco Chocó-Panamá en una corteza de plateau engrosada (ca. 25 km) y la más oriental debajo del plateau oceánico y el arco Barroso acrecionados a la margen continental ca. 70 Ma, en la cual se formó la Dacita Porfídica del Concilio y probablemente las Tobas de Caicedo durante el Paleógeno en una corteza engrosada de entre ca. 42 km y 49 km (Figura 13).
La segunda alternativa considera una zona de subducción de doble vergencia (tipo Moluca), donde la placa se inclina hacia el este debajo de la margen continental de América del Sur y a su vez debajo del plateau, con inclinación hacia el oeste (Figura 13).
5.3.3. OLIGOCENO - MIOCENO: PULSO MAGMÁTICO PIEDRANCHA - TATAMÁ (CA. 30 MA A CA. 15 MA)
El modelo propuesto para el pulso magmático Piedrancha-Tatamá es un modelo de subducción de margen continental, donde la placa oceánica se subdujo por debajo de la margen continental suramericana.
La diferencia de edad entre los plutones del pulso magmático Piedrancha-Tatamá y los del Arco El Botón, podría deberse a diferencias en el ángulo de subducción y la profundidad de la placa subducida bajo la margen continental en los segmentos sur y norte de la Cordillera Occidental, siendo el límite entre ambos magmatismos la rasgadura de la placa oceánica a lo largo del Sistema de Fallas Aguasal-Amurrapá. Los plutones del segmento sur se emplazaron en una corteza con un espesor promedio de 36 km, menos gruesa que la corteza del segmento norte con espesor promedio de 40 km.
El ángulo de subducción pudo ser influenciado por las diferencias en el espesor cortical en ambos segmentos de la margen continental y por la presencia en el norte de la Cordillera Occidental de un bloque amalgamado más grueso, amplio y continuo relacionado con el Arco Chocó-Panamá.
La subducción bajo la margen continental parece que fue menos profunda al sur y más profunda al norte, siendo el límite entre ambas la Falla Aguasal-Amurrapá, que segmentó la placa de Nazca subducida.
La configuración ortogonal de la subducción de Sandra Ridge explicaría las diferencias en los productos y composición magmática a cada lado de las placas de subducción como proponen Thorkelson y Breitsprecher (2005) para otros arcos. Además, podría explicar la migración del vulcanismo y plutonismo del Mioceno hasta el presente en los Andes del sur de Colombia, migrando de la Cordillera Occidental hacia la cordillera Central y el valle del río Magdalena.
5.3.4. MIOCENO-ARCO EL BOTÓN (CA. 13 MA A CA. 7 MA)
La placa subducida que generó los plutónes alcalinos y shoshoníticos del Arco El Botón (placa de Nazca) en el norte de la Cordillera Occidental sugiere una subducción profunda y plana por debajo de la margen continental, debajo del Bloque Chocó-Panamá (Batolito de Mandé y Formación Santa Cecilia) y del Bloque Cañasgordas (plateau oceánico + arco insular Barroso-Sabanalarga).
En el segmento norte de la Cordillera Occidental se emplazaron plutones y rocas volcánicas alcalinas durante el Mioceno entre ca. 13 Ma y ca. 7 Ma, en una corteza con espesor promedio de 40 km.
La ausencia de plutones y vulcanismo reciente al oriente, en la cordillera Central de Colombia, probablemente se deba al agotamiento de los fundidos por la profunda subducción de la placa de Nazca debajo de la margen continental.
6. Conclusiones
Los arcos y pulsos magmáticos de arco que están representados en la Cordillera Occidental de Colombia corresponden a arcos insulares que fueron acoplados a la margen durante el Cretácico Tardío-Paleoceno y el Oligoceno-Mioceno. Además, se desarrollaron arcos de margen continental, sobre rocas de plateau y sobre las rocas de arcos insulares acrecionadas a la margen occidental del norte de Suramérica. Ello ocurrió durante el Oligoceno-Mioceno y en el Mioceno.
El registro de la actividad magmática de los arcos en la Cordillera Occidental de Colombia comienza en el Jurásico (ca. 163.1 ± 3.0 Ma a ca. 160.3 ± 1.5 Ma); los pocos datos conocidos sugieren ambientes de arco de margen continental y de arco de islas. Se vuelve a registrar actividad de arco entre el Jurásico Tardío y el Cretácico Temprano (ca. 149.7 ± 1.2 Ma a ca. 143.6 ± 2.3 Ma) en un contexto de arco de margen continental.
Posteriormente se registra un arco insular (Arco Barroso-Sabanalarga) en la margen oriental de la Cordillera Occidental de Colombia, que inicia su actividad magmática a finales del Cretácico Temprano, extendiéndose hasta finales del Cretácico Tardío (ca. 100.9 ± 0.85 Ma a ca. 76.5 ± 1.1 Ma), con una duración de ca. 25 Ma a ca. 30 Ma, previa a la colisión del plateau con la margen occidental de Suramérica. Asociado al Arco Barroso-Sabanalarga se registra actividad magmática del arco durante la colisión, como un evento tardío entre ca. 70.55 ± 0.40 Ma y ca. 67.24 ± 0.69 Ma (Batolito de Buga).
Entre el Paleoceno y el Eoceno, se presenta el mayor de los arcos insulares (Arco ChocóPanamá), en la margen occidental de la Cordillera Occidental de Colombia. Este inició su actividad hace ca. 59 Ma y continuó hasta al menos ca. 37 Ma (arco magmático con duración de ca. 32 Ma a 36 Ma).
Contemporáneo con el inició del Arco ChocóPanamá, comenzó un frente magmático en la margen continental a finales del Paleoceno, en el que se formaron rocas volcánicas submarinas de composición boninítica y algunas rocas porfídicas que afloran en el borde oriental del sector norte de la Cordillera Occidental (Tobas de Caicedo y Dacita Porfídica del Concilio).
La actividad magmática de arco volvería a la margen continental luego de la acreción del Bloque Chocó-Panamá: en el sector sur de la Cordillera Occidental iniciaría a ca. 30 Ma y se extendería hasta ca. 15 Ma (pulso magmático Piedrancha-Tatamá), con la mayor cristalización de rocas hace ca. 18 Ma.
Al norte de la Cordillera Occidental, el magmatismo de margen continental fue predominantemente alcalino y shoshonítico (Arco El Botón), formado durante el Mioceno (ca. 13 Ma a ca. 7 Ma).
Nuevas dataciones U-Pb en circón presentadas en esta investigación dan a conocer nuevos registros de magmatismo de arco Jurásico y Cretácico Temprano, que sugieren una historia compleja de formación de la margen noroccidental de Suramérica, y que invita a abrir nuevos frentes de investigación para su entendimiento.














