Introducción
Orchidaceae es una de las familias de plantas más grandes, con entre 22,075 y 26,567 especies distribuidas en 880 géneros, destacándose por su diversidad en estrategias reproductivas y adaptaciones ecológicas especializadas. Las especies del género Phalaenopsis son especialmente populares como plantas ornamentales en todo el mundo, apreciadas por su elegante apariencia y prolongada longevidad, lo que les confiere una gran importancia económica en la industria floral (Khatun et al., 2020).
En 2019, la importación global de flores cortadas alcanzó los 8.490 millones de dólares, una caída del 6,1% respecto al año anterior, pero con un crecimiento promedio anual del 3,0% entre 2015 y 2019. Las importaciones de orquídeas cortadas representaron 214 millones de dólares (2,5% del total), disminuyendo un 13,5% desde 2018 y con un descenso anual promedio del 1,4% en los últimos cinco años (Yuan et al., 2021).
Como planta monopodial, Phalaenopsis se propaga tradicionalmente mediante el corte o la división de retoños; sin embargo, estos métodos resultan en una baja tasa de multiplicación. Además, la propagación vegetativa de esta especie es difícil y requiere al menos tres años para florecer bajo condiciones de invernadero, lo que representa un desafío en su producción comercial (Khatun et al., 2020). Por ello, el cultivo de tejidos ha surgido como una herramienta alternativa y eficiente para su propagación. Mediante este método, Phalaenopsis puede multiplicarse rápidamente a través de la formación de cuerpos similares a protocormos (PLBs, por sus siglas en inglés) a partir de explantes, en lugar de regenerarse directamente.
La formulación de medios de cultivo es crucial para optimizar el vigor de las orquídeas en el cultivo de tejidos (Samala & Thipwong, 2023). Tradicionalmente, la adición de auxinas y citocininas ha sido una práctica común para regular el crecimiento y desarrollo de tejidos vegetales. No obstante, debido al alto costo de estos compuestos tradicionales, se han explorado alternativas naturales que aporten minerales, aminoácidos, vitaminas y azúcares esenciales para el cultivo (de Menezes Gonçalves et al., 2016).
Entre estas alternativas, el agua de coco ha demostrado ser un suplemento eficaz en el cultivo in vitro de orquídeas como Rhynchostylis retusa (Thomas & Michael, 2007), Acampe papillosa (Hossein et al., 2013), Cypripedium macranthos (Huh et al., 2016) y Paphiopedilum wardii (Zeng et al., 2012), mejorando la germinación de sus semillas y el desarrollo de plántulas. Además, en el cultivo in vitro de Phalaenopsis sp., la incorporación de 10 mL-L de pulque -una bebida fermentada derivada del aguamiel del agave- y 50 mL-L de aguamiel - el néctar dulce y nutritivo extraído de la planta de agave- en el medio de cultivo incrementó significativamente las tasas de multiplicación de PLBs, logrando la regeneración de plantas completas y una tasa de sobrevivencia del 100% tras 21 días de adaptación (Arzate-Fernández et al., 2023) .
A pesar del potencial de muchos sustitutos naturales, varios de ellos no han sido explorados a fondo en el cultivo in vitro. Un ejemplo es el uso de los “gorgojos chinos” (o “gorgojos del maíz”), también conocidos popularmente como “bichitos del amor”, que son empleados en medicina tradicional para aliviar síntomas de enfermedades como el asma, problemas gástricos y el cáncer (Moreno et al., 2019). Este insecto, clasificado científicamente como Ulomoides dermestoides (Fairm) (Coleoptera: Tenebrionidae), es común en regiones templadas y tropicales de todo el mundo. A pesar de que puede causar daños en las cosechas y el almacenamiento de granos, como el maíz y el maní (Deloya & Deloya, 2014), también se investiga su posible aprovechamiento en la producción de plantas en cultivo in vitro.
Por ello, el objetivo de la presente investigación fue evaluar el efecto de las heces del escarabajo del maní (Ulomoides dermestoides), agua de coco y pulque en la proliferación de PLBs y la regeneración de plántulas de Phalaenopsis var. Dudu.
Materiales y métodos
Material vegetal
Como explantes se utilizaron clústers de cinco PLBs, sin disgregarse, con un diámetro aproximado de 5 mm (Figura 1A) que fueron obtenidos, previamente, a partir de la germinación de semillas de Phalaenopsis var. Dudu.

Figura 1 Proliferación in vitro de PLBs de Phalaenopsis var. Dudu a partir de explantes de PLBs. A) Clúster de cinco PLBs utilizado como explante; B) PLBs en medio con 10 g L-1 de heces del escarabajo del maní (HEM)+100 mL L-1 de agua de coco (AC); C) PLBs en medio sin complejos orgánicos; D) PLBs con 10 g L-1 de HEM; E) PLBs con 7.5 g L-1 de HEM+10 mL L-1 de pulque (PUL); y F) PLBs con 10 g L-1 de HEM+100 mL L-1 AC+10 mL L-1 de PUL, a los 45 días.
Preparación de complejos orgánicos
Como complejos orgánicos se utilizaron heces del escarabajo del maní (HEM), agua de coco (AC) y pulque (PUL). Las heces del escarabajo del maní se obtuvieron de escarabajos criados en recipientes de plástico (34 cm x 21 cm x 11.6 cm) y alimentados tres veces al día con una dieta basada en pan integral, rodajas de pepino y cáscara de plátano. La composición química de las heces del escarabajo del maní fue analizada en el Laboratorio de Suelos de la Facultad de Ciencias Agrícolas de la UAEMéx (Tabla 1).
Tabla 1 Composición química de las heces del escarabajo del maní (Ulomoides dermestoides)Table 1. Chemical composition of peanut beetle (Ulomoides dermestoides) feces
| Propiedades | Concentración |
|---|---|
| pH | 5.55 |
| Nitrógeno Total | 0.0555 % |
| Fósforo | 3928.9 ppm |
| Potasio | 1576.7 ppm |
| Calcio | 4415.9 ppm |
| Magnesio | 740.1 ppm |
| Sodio | 102.5 ppm |
| Hierro | 385.71 ppm |
El agua de coco se obtuvo de cocos naturales adquiridos en el mercado local y el pulque se adquirió en un centro de abastecimiento de los productores de pulque de Jocotitlán, Estado de México. El agua de coco y el pulque se filtraron, por separado, a través de un filtro de cafetera y posteriormente en un filtro millipore de 0.20µm, se almacenaron a -20°C y se agregaron después de descongelarlos al medio según se requería.
Condiciones de cultivo in vitro
Cinco explantes fueron cultivados asépticamente en recipientes de 500 mL de capacidad, cada recipiente contenía 30 mL de medio de cultivo compuesto por sales MS al 50%, 20 g L-1 de sacarosa, vitaminas MS, 4 g L-1 de agar, 0.5 g L-1 de carbón activado suplementado con HEM (0, 2.5, 5.0, 7.5 y 10 g L-1) solo y en combinación de AC (100 mL L-1) y PUL (10 mL L-1). El pH del medio de cultivo se ajustó a 5.5±0.1 con HCl y NaOH, antes de adicionar el agar, y después se esterilizó en autoclave, a una temperatura de 121 °C y 1.1 kg cm-2 de presión por 20 minutos. Para garantizar la asepsia de los medios de cultivo, se añadieron 20 mL L-1 de nanopartículas de plata, sintetizadas siguiendo la metodología descrita por (Martínez Martínez et al., 2024).
Los explantes se incubaron a 25±2°C y condiciones de luz usando lámparas de luz blanca (25 µmol m-2s-1 de intensidad lumínica) durante 16 horas por 90 días.
Aclimatación de plántulas
Plántulas regeneradas in vitro, después de 90 días, se transfirieron a domos de plástico y como sustrato se utilizó una mezcla de fibra de coco y tepojal (1:1). Cada tercer día se realizaron pequeños orificios en las tapas de los domos de plástico y a los 21 días se retiraron las tapas.
Análisis estadístico
Los explantes fueron distribuidos en un diseño experimental completamente al azar, con tres repeticiones, con un arreglo trifactorial 5x2x2 con los siguientes niveles por factor: factor A con cinco niveles (0, 2.5, 5.0, 7.5, y 10 g L-1 de HEM), factor B (0 y 100 mL L-1 AC), y factor C (0 y 10 mL L-1 PUL). Las variables evaluadas fueron: número de PLBs obtenidos a los 45 días, número de plántulas regeneradas in vitro de Phalaenopsis var. Dudu, número y longitud (cm) de hoja y raíz por tratamiento a los 90 días. Los datos obtenidos se sometieron a un análisis de varianza (ANOVA) multifactorial para evaluar la significancia estadística de los efectos de los tratamientos probados; la comparación de medias entre los tratamientos con efecto significativamente diferente se realizó mediante la prueba de Tukey con ≤ 0.05. Además, se graficaron las interacciones de los sustitutos de origen natural. Se usó el programa estadístico StatGraphics® versión 5.0 Windows® para los procedimientos.
Resultados y discusión
En este estudio, la proliferación de PLBs se realizó en un medio MS sólido, suplementado con heces del escarabajo del maní (HEM), agua de coco (AC) y pulque (PUL). Los tipos y concentraciones de estos complejos orgánicos influyeron en la respuesta de los PLBs en términos de proliferación y regeneración.
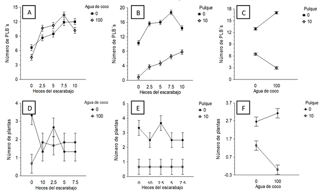
El mayor número de PLBs se obtuvo en medios de cultivo suplementados con heces del escarabajo del maní (HEM) y la adición de agua de coco (AC). Las HEM a 2.5, 5 y 7.5 g L-1 adicionado con 100 mL L-1 de AC mejoró significativamente el número de PLBs en 20.8, 21.1 y 22.2 PLBs (Tabla 2, Figura 1B y Figura 2A), respectivamente, en comparación con el control 12.7 PLBs por explante (Tabla 2 y Figura 1C), además, los PLBs obtenidos presentaron una coloración verde y forma globular. La adición únicamente de HEM en una concentración de 7.5 y 10 g L-1 favoreció significativamente el número de PLBs en 15.2 y 15.6 (Figura 1D), respectivamente, con respecto al medio sin sustitutos de origen natural (testigo) y en bajas concentraciones de HEM, el número de PLBs se disminuyó significativamente (Tabla 2). Esto concuerda con los hallazgos de Samala & Thipwong (2023), quienes observaron que la formación de PLBs fue mayor en medios con solo AC (47.38 ± 7.17 %) y en combinación de AC y homogeneizado de papa (52.13 ± 6.20%).
Tabla 2 Efecto de complejos orgánicos: heces del escarabajo del maní (HEM), agua de coco (AC) y pulque (PUL) en la proliferación de PLBs a los 45 días y regeneración in vitro de plántulas de Phalaenopsis var. Dudu, a los 90 días.Table 2. Effect of organic complexes: peanut beetle feces (HEM), coconut water (AC) and pulque (PUL) on the proliferation of PLBs at 45 days and in vitro regeneration of Phalaenopsis var. Dudu seedlings, at 90 days.
| HEM | AC | PUL | N° de PLBs | N° de
plántulas |
N° de hojas | Longitud de hojas (cm) |
N° de
raíces |
Longitud de raíces (cm) |
|---|---|---|---|---|---|---|---|---|
| (g L-1) | (mL L-1) | (mL L-1) | ||||||
| 0 | 0 | 0 | 12.7±1.33cd | 5.3±0.58a | 2.5±0.50a | 12.4±0.72cde | 2.5±0.50a | 5.6±0.15d |
| 2.5 | 0 | 0 | 10.4±0.05ef | 4.0±1.00b | 2.0±1.00abc | 15.6±0.72b | 1.5±0.50b | 9.4±0.60bc |
| 5 | 0 | 0 | 10.8±0.04de | 1.3±0.58c | 2.0±1.00abc | 11.0±0.72de | 1.5±0.50b | 6.6±0.70cd |
| 7.5 | 0 | 0 | 15.2±0.05b | 1.3±0.58c | 2.0±0.00abc | 12.6±0.72cd | 0.8±0.72c | 6.6±2.00cd |
| 10 | 0 | 0 | 15.6±0.04b | 1.3±0.58c | 1.5±0.50cd | 14.4±0.72bc | 1.0±0.00bc | 12.8±1.80a |
| 0 | 100 | 0 | 7.9±0.67g | 1.3±0.58c | 2.0±0.00abc | 12.4±0.72cde | 1.5±0.50b | 5.2±1.20d |
| 2.5 | 100 | 0 | 20.8±0.44a | 3.3±0.58b | 1.6±0.53bc | 17.8±0.72a | 1.0±0.00bc | 9.4±1.20bc |
| 5 | 100 | 0 | 21.1±0.87a | 3.7±0.58b | 2.0±0.00abc | 12.4±0.72cde | 1.5±0.50b | 5.2±0.90d |
| 7.5 | 100 | 0 | 22.2±0.35a | 3.7±0.58b | 1.6±0.53bc | 17.8±0.72a | 1.0±0.00bc | 9.4±1.20bc |
| 10 | 100 | 0 | 13.2±0.59c | 3.7±0.58b | 0.7±0.58de | 11.2±0.72de | 0.8±0.72c | 1.2±0.90f |
| 0 | 0 | 10 | 0.5±1.00i | 1.3±0.58c | 0.7±0.58de | 10.5±0.72e | 1.0±0.00bc | 3.0±1.00e |
| 2.5 | 0 | 10 | 6.9±0.61g | 1.3±0.58c | 1.6±0.53bc | 12.4±0.72cde | 1.5±0.50b | 10.8±0.70b |
| 5 | 0 | 10 | 8.1±0.65g | 1.3±0.58c | 0.7±0.58de | 12.8±0.72cd | 1.0±0.00bc | 5.4±1.10d |
| 7.5 | 0 | 10 | 8.5±0.48fg | 1.3±0.58c | 1.6±0.53bc | 12.4±0.72cde | 1.0±0.00bc | 5.4±1.00d |
| 10 | 0 | 10 | 8.4±0.58g | 1.3±0.58c | 2.4±0.53ab | 13.0±0.72cd | 1.5±0.50b | 8.0±2.00cd |
| 0 | 100 | 10 | 1.3±0.57i | 0.0±0.00d | 0.0±0.00e | 0.0±0.00f | 0.0±0.00d | 0.0±0.00f |
| 2.5 | 100 | 10 | 0.5±1.00i | 0.0±0.00d | 0.0±0.00e | 0.0±0.00f | 0.0±0.00d | 0.0±0.00f |
| 5 | 100 | 10 | 1.3±0.51i | 0.0±0.00d | 0.0±0.00e | 0.0±0.00f | 0.0±0.00d | 0.0±0.00f |
| 7.5 | 100 | 10 | 4.6±0.15h | 0.0±0.00d | 0.0±0.00e | 0.0±0.00f | 0.0±0.00d | 0.0±0.00f |
| 10 | 100 | 10 | 7.2±0.64g | 0.0±0.00d | 0.0±0.00e | 0.0±0.00f | 0.0±0.00d | 0.0±0.00f |
En Phalaenopsis, Tanaka & Sakanishi (1977) informaron que la exudación fenólica, que ocurre cuando se extrae un explante de la planta madre, limita la proliferación y regeneración de los tejidos. Este fenómeno provoca el oscurecimiento tanto del tejido (Figura 1C) como del medio circundante, lo que disminuye la respuesta del explante e incluso puede llevar a su muerte. Para mantener la capacidad de proliferación y regeneración de los explantes, es esencial la aplicación de agentes antioxidantes o absorbentes que contrarresten los efectos de los exudados fenólicos. En este contexto, los extractos de las heces del escarabajo del maní (HEM) han mostrado actividad antioxidante. Dary et al., (2013) sugirieron que compuestos como el ácido oleico y el 4-etil-resorcinol podrían ser los responsables de esta actividad en el extracto metanólico de Ulomoides dermestoides. En consecuencia, el aumento en el número de PLBs observado en este estudio a altas concentraciones de HEM podría atribuirse a esta capacidad antioxidante. Sin embargo, se requieren más estudios para comprender en profundidad el mecanismo de acción de HEM.
El análisis estadístico reveló diferencias significativas en las interacciones de HEM, AC y PUL sobre el número de PLBs. En concentraciones menores a 7.5 g L-1 de HEM, la adición de AC mejoró de manera significativa el número de PLBs. Este efecto podría estar relacionado, en parte, con la capacidad antioxidante tanto de las HEM como del AC. Murdad et al., (2006) reportaron que en Phalaenopsis gigantea, altas concentraciones de AC en los medios de cultivo redujeron los exudados fenólicos y favorecieron la proliferación de PLBs. Además, Utami & Hariyanto (2020) señalaron que el agua de coco contiene azúcares solubles como fuente natural de carbono, así como aminoácidos, vitaminas (tiamina, piridoxina, ácido ascórbico) y minerales. También está compuesta por varios iones orgánicos como fósforo, magnesio, potasio, calcio, hierro y manganeso, los cuales favorecen la proliferación de PLBs. Estos mismos iones orgánicos también se encuentran presentes en las HEM (Tabla 1).
La adición exclusiva de pulque al medio de cultivo provocó una disminución significativa en el número de PLBs. Sin embargo, en la interacción de HEM+PUL, se observó un aumento en la proliferación de PLBs (Figura 2B). Por otro lado, la combinación de pulque con agua de coco tuvo un efecto negativo sobre el número de PLBs (Figura 3C).

Figura 2 Interacción de los complejos orgánicos: heces del escarabajo del maní (HEM), agua de coco (AC) y pulque (PUL) en la proliferación de PLBs a los 45 días y regeneración in vitro de plántulas de Phalaenopsis var. Dudu, a los 90 días.

Figura 3 Proceso de regeneración de plántulas de Phalaenopsis var. Dudu. A) Plántulas regeneradas a partir de PLBs en condiciones in vitro; B) Plántula regenerada in vitro a los 90 días; C) Plántulas en condiciones ex vitro en charola con domo de plástico, bajo condiciones de invernadero D) Plántula de Phalaenopsis var. Dudu, 21 días después del proceso de aclimatación.
Estos resultados son consistentes con lo reportado por Samala & Thipwong, (2023), quienes observaron que el crecimiento y vigor de Dendrobium aumentaron al agregar plátano machacado al medio; sin embargo, el homogenizado de plátano no fue efectivo para la proliferación y el mantenimiento de PLBs a largo plazo, causando necrosis en concentraciones más altas. Esto se alinea con los hallazgos de Ichihashi & Islam, (1999), quienes informaron que altas concentraciones de aditivos orgánicos pueden inducir necrosis en el material vegetal. Estudios en Dendrobium también revelaron que concentraciones elevadas de agua de coco inhibieron la regeneración temprana, lo que coincide con los hallazgos de Gnasekaran et al., (2010), quienes reportaron un efecto inhibidor en el crecimiento de PLBs con concentraciones de 20% y 30% de agua de coco.
El mayor número de hojas y raíces también se obtuvo en el medio de cultivo sin complejos orgánicos (control), mientras que la mayor longitud de hojas y raíces se alcanzó en medios suplementados con HEM. En particular, la mayor longitud de hojas se registró en medios con 2.5 g L⁻¹ de HEM y 100 mL L⁻¹ de AC, así como con 7.5 g L⁻¹ de HEM y 100 mL L⁻¹ de AC. La mayor longitud de raíces, en cambio, se observó en el tratamiento con 10 g L⁻¹ de HEM.
Aclimatación de plantas a condiciones ex vitro
Las plantas regeneradas a los 90 días en condiciones in vitro presentaron una longitud de 10-17 cm (Figura 3B), posteriormente fueron transferidas a un domo de plástico (Figura 3C) en condiciones de ambiente controladas por un periodo de 21 días. El porcentaje de sobrevivencia de las plántulas fue del 94% y se observó el cambio de intensidad del color verde de las hojas y el aumento de longitud de raíces (Figura 3D).
Conclusión
Este estudio evidenció que la combinación de HEM y AC favorece la proliferación de PLBs en Phalaenopsis var. Dudu. El tratamiento con 7.5 g L-1 de HEM y 100 mL L-1 de AC produjo el mayor número de PLBs. No obstante, el tratamiento sin la adición de complejos orgánicos favoreció la regeneración de plantas. Estos resultados sugieren que, aunque la combinación de HEM y AC estimula la proliferación de PLBs, la regeneración de plantas completas parece ser más eficiente en medios sin estos aditivos. Este hallazgo ofrece la oportunidad de optimizar los medios de cultivo para mejorar tanto la proliferación como la regeneración de plantas en Phalaenopsis.














