1. Introducción1
El sector de servicios predomina en las economías y en la generación de empleo en América Latina y el Caribe (ALC), representando entre la mitad y dos tercios de estos agregados en los países de la región (UNCTAD, 2019). Desde el inicio de este siglo se ha observado un crecimiento sostenido en el comercio mundial de servicios, superior al comercio de bienes. Este hecho se evidencia con mayor fuerza en los denominados servicios digitales (SD).
A los SD también se les denomina servicios basados en el conocimiento, ya que se definen en general como aquellos para los que las Tecnologías de Información y Comunicaciones (TIC) desempeñan un papel importante en la facilitación de su comercio (Borga y Koncz-Bruner, 2012; Bamber et al., 2022). En términos generales, en el presente estudio se entiende por SD (habilitados o suministrados digitalmente) al conjunto de: a) servicios de telecomunicaciones, informática e información; b) servicios financieros; c) servicios de seguros y pensiones; d) cargos por el uso de propiedad intelectual; y e) otros servicios empresariales (Loungani et al., 2017; Liberatore y Wettstein, 2021).
De acuerdo con la Comisión Económica para América Latina y el Caribe (CEPAL, 2023), los SD (o servicios modernos) es la categoría más dinámica del comercio mundial en los últimos 20 años, a causa de la revolución digital y a la introducción masiva de la banda ancha a partir de la década del 2000. Esta innovación facilita el comercio transfronterizo de diversos servicios que hasta entonces eran considerados poco transables, como los empresariales, financieros, de ingeniería, de diseño, educativos y médicos.
La importancia relativa de las restricciones al comercio de SD se ha documentado en varios estudios, aunque con datos de países miembro de la Organización para la Cooperación y el Desarrollo Económicos (OCDE), donde se incluyen pocos de ALC (principalmente Chile y México). Ayudar a cerrar esta brecha de conocimiento es uno de los principales objetivos del presente estudio, utilizando una base de datos sobre restricciones al comercio de SD en 17 países de ALC para el periodo 2014-2021.2 Se analizan también otros obstáculos e impulsores del comercio de SD, con el objeto de contar con elementos de juicio para la elaboración de una agenda preliminar de integración comercial basada en SD, la cual pueda constituirse en un nuevo motor de integración de ALC.
Para el desarrollo del estudio, se presenta en la segunda sección, después de la introducción, un balance del comercio de SD de la región. La tercera sección resume la literatura sobre obstáculos e impulsores del comercio de SD. En la cuarta sección se describe la metodología utilizada, más la estrategia empírica y los datos empleados para el ejercicio econométrico. Una quinta sección presenta los resultados del análisis. Finalmente, se dan las conclusiones del estudio.
2. Balance sobre el comercio regional de SD
Ante profundos cambios en la velocidad y la forma del desarrollo económico, aportados por la revolución tecnológica e industrial -en particular por el avance en las tecnologías de la información digital como internet, big data e inteligencia artificial-, la economía digital ha aumentado su participación en la economía. Una característica importante de este nuevo contexto es el crecimiento de las exportaciones de SD por parte de los países de ALC (véase Figura 1).

Fuente: elaboración propia con datos de Balanced Trade in Services (BaTIS) dataset.
Figura 1 Exportaciones de servicios y SD de ALC (en miles de millones de USD$)
Las exportaciones de SD de ALC pasaron de USD$ 19 412 millones en 2005 a USD$ 55 434 millones en 2019 y a USD$ 57 240 millones en 2021, mostrando una tasa de crecimiento promedio anual entre 2005 y 2021 del 7%. Este resultado es superior al crecimiento de las exportaciones de servicios totales, que pasaron de USD$ 87 563 millones a USD$ 195 150 millones, durante el mismo periodo (tasa de crecimiento promedio anual del 5.1%). Además, el crecimiento de las exportaciones de SD de ALC fue ligeramente inferior al observado para todo el mundo (7.7%) durante el periodo 2005-2021.
Por otra parte, la participación de las exportaciones de SD en el total de exportaciones de servicios pasó del 22 al 29% durante el periodo 2005-2021 (véase Figura 2). Este último resultado contrasta con lo observado a nivel mundial, donde la participación de las exportaciones de SD en el total de servicios pasó de un 44 a 62%, en el mismo periodo. Estas diferencias podrían deberse a obstáculos particulares que enfrentan los países de la región.

Fuente: elaboración propia con datos de Balanced Trade in Services (BaTIS) dataset.
Figura 2 Participación de las exportaciones de SD (2005, 2019 y 2021)
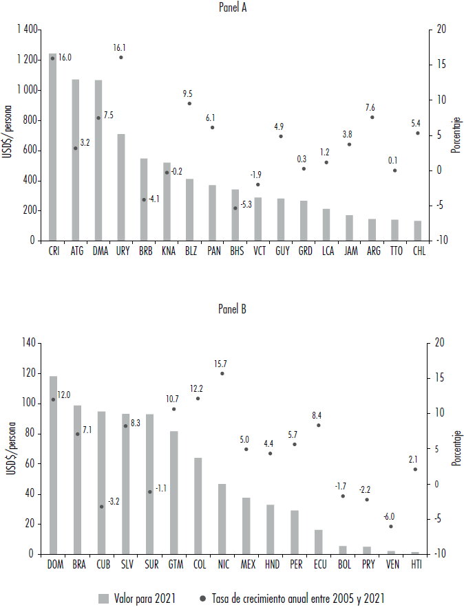
Al analizar la dinámica de las exportaciones de SD en la región (véase Figura 3), se aprecia que Brasil, Argentina, Costa Rica, México y Colombia se ubican como países líderes en exportaciones de SD en la región (Panel A). Por otra parte, Uruguay, Costa Rica, Nicaragua, Colombia y República Dominicana son los países con mayores tasas de crecimiento del comercio de SD, mostrando valores de 16.1, 16, 15.7, 12.2 y 12%, respectivamente.

Fuente: elaboración propia con datos de Balanced Trade in Services (BaTIS) dataset.
Figura 3 Exportaciones por habitante y tasas de crecimiento de SD en ALC, 2021
La CEPAL (2023) señala a Costa Rica y Uruguay como los países de América Latina con mayor crecimiento del valor de exportaciones de SD. Por ejemplo, Costa Rica se ha especializado en las exportaciones de servicios de consultoría profesional y de gestión, así como de servicios técnicos, y es sede además de varias empresas transnacionales que prestan servicios a todas sus sucursales en América y cada vez más a otros continentes. Mientras tanto, Uruguay se concentra en exportar servicios de informática (software y otros servicios), la mayoría de los cuales son exportados por empresas transnacionales. El éxito de ambos países en esta área se sustenta principalmente en la formación altamente especializada de profesionales del ámbito de servicios de consultoría profesional, de gestión, técnicos e informáticos, y en la presencia de empresas extranjeras que se ven atraídas, en parte, por los incentivos vinculados a las zonas francas. En estos países, además, la coordinación y ejecución de políticas está a cargo de entidades altamente especializadas en la atracción de Inversión Extranjera Directa (IED), la promoción de exportaciones de SD y la política comercial.
3. Revisión de literatura sobre obstáculos e impulsores del comercio de SD
En la revisión de la literatura sobre comercio de SD, Di et al. (2022) señalan tres características importantes de este tipo de comercio: en primer lugar, su transacción se basa en la tecnología de internet; en segundo lugar, el objeto del comercio son los conocimientos intangibles y SD intensivos en tecnología; y, en tercer lugar, los costos marginales de producción y transporte son casi nulos. Estas características tienen implicaciones importantes a la hora de estudiar los obstáculos e impulsores del comercio de SD, toda vez que señalan la importancia relativa de contar con la infraestructura digital apropiada, el desarrollo de recursos humanos calificados y la irrelevancia de la distancia física como obstáculo para el comercio de estos servicios.
Por otra parte, el comercio de SD se ve afectado por un complejo sistema de normas y reglamentos, tanto internacionales como nacionales. Las normas comerciales internacionales están ancladas a las normas y acuerdos de la Organización Mundial del Comercio (OMC) que cubren aspectos de comercio digital, así como en acuerdos comerciales regionales que incorporan cada vez más una gama amplia de medidas digitales (López González y Ferencz, 2018). La apertura comercial en materia de comercio de SD es un factor clave para el incremento e integración comercial en este tipo de comercio (Crenshaw y Robison, 2006).
Todo lo anterior puede constituir un serio obstáculo para el comercio y la integración regional en este tipo de servicios en ALC. Varios estudios con datos de países miembros de la OCDE muestran la importancia relativa de este tipo de obstáculos. Estos estudios, que incluyen pocos países de ALC (generalmente Chile y México), señalan que las naciones con mayores restricciones al comercio de servicios importan y exportan menos servicios, así como que la contracción de las exportaciones, producto de estas restricciones, es el doble que en el caso de las importaciones (Nordas y Rouzet, 2017; Ciuriak y Lysenko, 2016). Además, se ha encontrado que las restricciones al comercio de servicios son mucho más limitantes que las barreras al comercio de los bienes (Hoekman y Shepherd, 2021).
Por otro lado, en ALC las barreras al comercio de servicios son superiores a las estimadas para otras regiones del mundo y están por encima del promedio mundial en todos los sectores analizados, lo que significa que la competitividad de la región está rezagada en la materia. Además, los índices de restricción al comercio de servicios (Services Trade Restrictiveness Index, STRI, por sus siglas en inglés) muestran una gran heterogeneidad entre sectores, donde incluso se observa a países como México y Costa Rica por debajo del promedio mundial en las restricciones a los servicios habilitados digitalmente (Giordano y Ortiz de Mendívil, 2021).
Por otra parte, la literatura especializada indica que cada uno de los componentes del grado de preparación (readiness) para el comercio de servicios puede representar tanto un obstáculo como un impulsor de este tipo de comercio, dependiendo si dicho componente constituye una debilidad o una fortaleza en los países bajo consideración. Por ejemplo, el grado de desarrollo de la infraestructura física y digital; la disponibilidad de recursos humanos calificados; la adopción de nuevas tecnologías e IED en servicios. En adición a estas variables, también lo son el contar con acuerdos de libre comercio (TLC) con capítulos de servicios;3 la importancia relativa de las exportaciones de bienes; la contigüidad de los países que comercian; contar con un idioma común; una religión de origen común; una historia colonial similar; y la intensidad del tránsito de pasajeros en vuelos bilaterales y mediante el transporte aéreo (Gervais, 2018; Borchert y Yotov, 2017; Anderson et al., 2018; Benz y Jaax, 2020; Gupta et al., 2022; Benz et al., 2022).
En el caso específico de los SD se han identificado otros componentes clave de la preparación digital para el comercio de este tipo de servicios (digital readiness), entre los que cabe señalar la disponibilidad de capital humano (Reddy y Gairola, 2002); la conectividad digital (penetración y velocidad de la internet) (Wang, 2021); la inversión y adopción de tic por parte de empresas y personas (Freund y Weinhold, 2002), y las políticas y el ambiente regulatorio relacionado con el ecosistema para el comercio de SD (Woo Kang et al., 2022).
Con relación a los determinantes de las exportaciones de SD, Nasir y Kalirajan (2016) calibran un modelo gravitacional de frontera estocástico con una muestra de 25 países, para explorar los determinantes de las exportaciones bilaterales de SD en tres subgrupos: 1) servicios de telecomunicaciones, 2) servicios TIC, y 3) servicios empresariales y personales. Los resultados muestran que el número de graduados (educación terciaria) y la calidad de la infraestructura de TIC en las economías emergentes se encuentran entre los factores clave para aumentar la exportación de SD, así como el uso de internet en la población. Contrariamente, el índice de restricciones al comercio de servicios (el STRI estimado por OECD) muestra una relación negativa con las exportaciones de los tres subgrupos de servicios.
Por su parte, Fraser (2021) explora una metodología de modelización gravitacional para estimar el efecto de las restricciones al comercio de SD y simula su impacto comercial, con énfasis en el nivel de restricciones al comercio de servicios en los acuerdos de libre comercio. Se analiza el efecto del STRI (estimado por OECD) junto con los acuerdos comerciales, concluyendo que las restricciones impactan negativamente las exportaciones de SD.
Por otra parte, Woo Kang et al. (2022) estudian las exportaciones de SD de los países de la Región de Asia-Pacífico, utilizando un modelo gravitacional con pares de países (exportador-importador), evaluando el potencial impacto de variables relacionadas con el capital humano, la conectividad digital, las inversiones en tic, y el ambiente de políticas y regulaciones del comercio. Adicionalmente, incorporan controles como la distancia entre países, la contigüidad, y el idioma oficial común, así como una variable indicadora de acuerdos comerciales regionales (RTA). Los resultados indican que el capital humano, un ancho de banda de internet internacional más rápido, las inversiones relacionadas con telecomunicaciones, y una mayor libertad en internet, tienen una asociación positiva y significativa con las exportaciones de SD. Contrario a esto, la variable dummy de RTA parece no tener relación.
Respecto a una muestra de 33 países, Di et al. (2022) utilizan un modelo de regresión lineal múltiple para evaluar la interrelación de las exportaciones de SD con la inversión en infraestructura de telecomunicaciones, el capital humano, la innovación, los flujos de IED y los derechos de propiedad intelectual. El estudio indica que se da una relación positiva y significativa entre infraestructura digital, capital humano, ciencia y tecnología y capacidades de innovación con la competitividad del comercio de SD. Más aún, las capacidades de ciencia, tecnología e innovación tienen el efecto más fuerte en el comercio de SD en comparación con la infraestructura digital y el capital humano.
Utilizando un modelo gravitacional, López-González et al. (2023) encuentran que la creciente conectividad digital a nivel global genera un doble dividendo, al aumentar tanto el comercio nacional como el internacional. Asimismo, concluyen que el comercio digital tiene el potencial de duplicar el efecto de los acuerdos comerciales, mientras que las reducciones de las barreras internas que afectan el comercio digital tienen un fuerte efecto de mejora de las exportaciones de SD. En general, los resultados sugieren que la conectividad digital y las políticas comerciales digitales desempeñan un papel importante y creciente en la reducción de los costos del comercio y el aumento del comercio internacional.
Enfocando la integración comercial de países de África, UNECA (2023) calibra un modelo gravitacional para investigar cómo la heterogeneidad regulatoria se relaciona con el comercio de SD intrarregionales, identificando una alta heterogeneidad, asociada con una menor integración comercial. Esto sugiere que los esfuerzos por armonizar la reglamentación en las negociaciones sobre comercio de SD beneficiarían los flujos intrarregionales en el comercio, con un impacto más fuerte a medida que los países se vuelven más abiertos al comercio.
Con base en la evidencia arriba descrita, es importante estudiar el posible impacto de las variables analizadas en la literatura sobre en el comercio bilateral de SD entre los países de ALC, así como otros potenciales determinantes de ese comercio. El tema se aborda a continuación.
4. Metodología
En el presente estudio se estima un modelo gravitacional para identificar los obstáculos e impulsores del comercio de SD entre los países de ALC. El modelo de gravedad del comercio ha sido el “caballo de batalla” para estimar el impacto de diversas políticas comerciales y otros determinantes de los flujos comerciales, incluidos los efectos de los acuerdos comerciales, gracias a sus fundamentos teóricos y al éxito empírico (Yotov, 2022), así como a la representación de microfundamentos (Arkolakis et al., 2012). Asimismo, ya no se utiliza exclusivamente para el análisis del comercio de mercancías, sino que se aplica con éxito en el estudio del comercio de servicios (Nordas y Rouzet, 2017; Fraser, 2021; Khachaturian y Oliver, 2021).
Siguiendo el sistema de ecuaciones del modelo de gravedad estructural, derivado inicialmente por Anderson (1979) y refinado por Anderson y van Wincoop (2003):
Donde
Estrategia empírica para la estimación del modelo de gravedad
Existe un consenso en la literatura que cuando se estima el impacto de políticas comerciales sobre los flujos de comercio de servicios, se debería utilizar una estrategia empírica con la aplicación del modelo gravitacional estructural, siguiendo el método Poisson Pseudo-Maximum-Likelihood (PPML). Santos y Tenreyro (2006) muestran que el estimador PPML permite la inclusión directa de flujos comerciales de valor 0 y evita sesgos en el coeficiente en presencia de un término de error heterocedástico. Fally (2015) muestra, además, que el estimador PPML es consistente con los supuestos teóricos que sustentan los modelos de gravedad:
Donde Xijt es el valor de las exportaciones de SD del país i hacia el país j en el año t; Z´ es un vector k × 1 de variables independientes específicas por pares de país exportador-importador en el año t que pueden tener efecto sobre las exportaciones; mientras que βk es el vector k × 1 de coeficientes de regresión a estimar.
El vector Z´ contiene dos conjuntos de variables. El primero incluye variables explicativas del monto de exportaciones de SD por pares de país exportador-importador, usadas comúnmente en modelos de gravedad. El segundo conjunto de variables incluye variables de política comercial que ayudan a explicar los flujos de comercio de SD.
Un desafío con la estimación de la ecuación de gravedad de la ecuación (4) es que los términos de resistencia multilateral Pj y Πi son construcciones teóricas y, como tales, no son directamente observables por el investigador y/o por el responsable de la formulación de políticas. En tanto, Baldwin y Taglioni (2006) enfatizan la importancia de un control adecuado para los términos de resistencia multilateral.
Hummels (1999) y Feenstra (2016) sugieren tener en cuenta completamente los términos de resistencia multilateral utilizando efectos fijos direccionales (exportador e importador) en las estimaciones transversales (exporting country-year (vit) and importing country-year (pjt) fixed effects). Olivero y Yotov (2012) demuestran que los términos de resistencia multilateral pueden tenerse en cuenta mediante efectos fijos de tiempo de exportación y tiempo de importador en un marco de estimación dinámica de gravedad con datos de panel. Cabe señalar que, además de tener en cuenta los términos de resistencia multilateral no observables, los efectos fijos tiempo exportador y tiempo importador también absorberán las variables de tamaño (Ej y Yi) del modelo de gravedad estructural, así como todas las demás características observables e inobservables específicas de cada país, que varían según estas dimensiones, incluidas diversas políticas nacionales, instituciones y tipos de cambio.
Debido a lo anterior, se incluyeron en la estimación de la ecuación (4) efectos fijos por país exportador-año (vit) y país importador-año (pjt) para controlar por la resistencia multilateral hacia el exterior y la resistencia multilateral interna, respectivamente; mientras que (ϵijt) es el residuo usual.4
De manera complementaria, para evitar el sesgo de endogeneidad de las variables de política comercial debido a factores bilaterales, se incluyen en la estimación efectos fijos por par de países(γij) -country -pair fixed effects (Baier y Bergstrand, 2009). Cabe señalar que el conjunto de efectos fijos por par de países absorberá todas las covariables bilaterales invariantes en el tiempo (por ejemplo, distancia bilateral), que se utilizan de manera estándar en las regresiones de gravedad. Sin embargo, los efectos fijos por par de países no impedirán la estimación de los efectos de la política comercial bilateral, ya que las políticas comerciales varían en el tiempo por definición. Además, los efectos fijos por par de países también tendrán en cuenta cualquier componente de costo comercial invariante en el tiempo no observable (Yotov et al., 2016).
Es importante tomar en cuenta la restricción de introducir en el modelo de la ecuación (4) variables relacionadas con políticas comerciales no discriminatorias, como es el caso del Digital Services Trade Restrictiveness Index (DSTRI) (estimado por la OCDE y CEPAL). El problema con las covariables de política comercial no discriminatorias es que son específicas del exportador y/o del importador y, por lo tanto, serán absorbidas, respectivamente, por los efectos fijos de tiempo de exportación y de tiempo de importador que deben utilizarse para controlar las resistencias multilaterales en el modelo de gravedad estructural (Yotov et al ., 2016). En términos generales, en presencia de efectos fijos de importador y exportador, el modelo de gravedad ya no puede estimar el impacto de ninguna variable i) que afecte a la propensión de los exportadores a exportar a todos los destinos (por ejemplo, una isla); ii) que afecten a las importaciones sin tener en cuenta el origen (por ejemplo, DSTRI aplicados a nivel de país); y iii) representar sumas, promedios y diferencias de variables específicas de cada país (Head y Mayer, 2014).
Por tanto, en la estimación del modelo de gravedad de la ecuación (4) se procede a utilizar como variables de política comercial el DSTRI Heteroeneity Index (HDSTRI) y la variable binaria sobre la existencia de un capítulo de servicios en los acuerdos comerciales, en regresiones aparte. Estas son así, las dos variables de política comercial a estimar en el modelo de gravedad de manera insesgada y eficiente. El HDSTRI se construye a partir de evaluar, para cada par de países y cada medida, si los países tienen o no la misma regulación en materia de comercio de SD. Tal y como se señaló con anterioridad, para cada par de países, los índices reflejan la proporción (ponderada) de medidas para las cuales los dos países tienen una regulación diferente. El índice HDSTRI toma el valor de 0 a 1. El HDSTRI será igual a 0 si los dos países bajo análisis tienen la misma regulación en términos del DSTRI (regímenes homogéneos), o 1 si los dos países tienen totalmente diferente dicha regulación (regímenes heterogéneos) (Ferencz, 2019) . En el caso de la variable binaria, esta es igual a 1 si ambos países (exportador e importador) tienen un tratado de libre comercio en bienes el cual incluye un capítulo sobre servicios, y 0 de otra manera.
Finalmente, cabe señalar que los coeficientes asociados a las variables explicativas en el vector Z´ de la ecuación (4) pueden cALCularse en términos porcentuales, cuando las variables son binarias, de la siguiente manera:
Donde βk es la estimación de los efectos de cualquier variable de gravedad indicadora, especificada en el modelo de gravedad. Por ejemplo, la estimación de los efectos de los TLC en las regresiones gravitatorias encontrada en la bibliografía empírica, βTLC = 0.76, implica que los TLC que entraron en vigor entre 1960 y 2000, en promedio, han aumentado el comercio en [e0.76 - 1] × 100 = 114% (Baier y Bergstrand, 2009).
En el caso de variables continuas la interpretación del coeficiente asociado a dicha variable es la elasticidad del valor de las exportaciones con respecto a la variable continua. Es decir, el cambio porcentual en el valor de las exportaciones ante un cambio del 1% en la variable continua.
Datos
Se utilizó un panel de datos para 89 países, de los cuales 17 son de ALC, para el periodo 2005-2021.5 El análisis sobre los determinantes de las exportaciones de SD se basa en la revisión de la literatura sobre los factores que parecen incidir en el comportamiento exportador de dichos servicios en los países.
Para efectos del análisis estadístico, la variable dependiente fue el monto en dólares de las exportaciones de SD de cada país exportador hacia sus distintos socios comerciales (países importadores). Los datos sobre exportaciones de SD provienen de la última versión (abril 2023) de la base OECD-WTO Balanced Trade in Services ([Batis]; Liberatore y Wettstein, 2021).6 Como covariables comúnmente empleadas en modelos de gravedad, se utilizan las siguientes:7
Distancia: distancia en kilómetros entre los países.
Límite fronterizo: variable binaria igual a 1 si los países i y j tienen una frontera común, 0 en caso contrario.
Lenguaje común: variable binaria igual a 1 si los países i y j tienen un idioma común, 0 en caso contrario.
Historia colonial común: variable binaria igual a 1 si los países i y j tienen vínculos coloniales iguales, 0 de lo contrario.
Adicionalmente se emplearon las siguientes covariables incluyendo variables de política comercial:
e) Heterogeneidad del DSTRI (HDSTRI): el Heterogeneity Digital Services Trade Restrictiveness Index se construye a partir de evaluar, para cada par de países y cada medida, si los países tienen o no la misma regulación en materia de comercio de SD. Para cada par de países y cada sector, los índices reflejan la proporción (ponderada) de medidas para las cuales los dos países tienen una regulación diferente. El índice HDSTRI toman el valor de 0 a 1. El HDSTRI será igual a 0 si los dos países bajo análisis tienen la misma regulación en términos del DSTRI (regímenes homogéneos), o 1 si los dos países tienen una regulación totalmente diferente (regímenes heterogéneos; Ferencz, 2019).8
f) Tratados de libre comercio que contienen un capítulo de servicios: variable binaria igual a 1 si los países i y j tienen un tratado de libre comercio en bienes con un capítulo sobre comercio de servicios.9
g) Capital humano: promedio de años de escolaridad de los países, con base en datos de Programa de las Naciones Unidas para el Desarrollo (PNUD). Se utiliza el valor tanto del país exportador de SD como del país o países importadores.
h) Inversión en telecomunicaciones: inversión en infraestructura de telecomunicaciones. El monto anual en USD, según la Unión Internacional de Telecomunicaciones (ITU) de las Naciones Unidas. Se utiliza el valor tanto del país exportador de SD como del país o países importadores.
i) Uso de banda ancha: por cada usuario de internet, con base en datos de la ITU de las Naciones Unidas. Se utiliza el valor tanto del país exportador de SD como del país o países importadores.
5. Resultados
La ecuación 4 se estima mediante el método PPML, tanto para todos los países incluidos en la muestra (todo el mundo), como para el comercio intrarregional en ALC (ALC intrarregional) y para el comercio de ALC con el resto del mundo (ALC extrarregional) (véase Tabla 1). Allí se muestra que el modelo de gravedad estimado mediante el método PPML y empleando las variables que tradicionalmente se utilizan para este tipo de ejercicios, es robusto. Además de las variables relacionadas con el costo del comercio, siguiendo a Nordas y Rouzet (2017), se incluyen cuatro covariables de política comercial: el índice de heterogeneidad HDSTRI, las interacciones entre el HDSTRI y el DSTRI del país exportador y del país importador, y la variable “tratado de libre comercio con capítulo de servicios”. Cabe señalar que las interacciones entre el HDSTRI y el DSTRI permite ver si la heterogeneidad regulatoria de los distintos países tiene mayor o menor importancia, dado el nivel general de restricción del comercio digital de un país (UNECA, 2023).
Tabla 1 Resultados del modelo gravitacional con variables de costo del comercio y heterogeneidad de regulaciones (variable dependiente: exportaciones de SD)
| Todo el mundo | ALC con ALC | ALC con resto del mundo | |
| Log distancia | -.461*** | -.658*** | -.925*** |
| (.012) | (.045) | (.067) | |
| Límite fronterizo | .04 | .031 | -1.17*** |
| (.049) | (.073) | (.123) | |
| Lenguaje común | .289*** | (Omitida) | .769*** |
| (.038) | (.068) | ||
| Historia colonial común | .13** | (Omitida) | (Omitida) |
| (.052) | |||
| TLC (con Capítulo de Servicios) | .25*** | .421*** | -.285*** |
| (.027) | (.047) | (.061) | |
| Heterogeneidad DSTRI | -.231 | -3.465*** | -.045 |
| (.334) | (.616) | (.591) | |
| Heterogeneidad DSTRI*DSTRIExp | 1.9 | -9.729*** | 8.971*** |
| (1.352) | (3.466) | (2.595) | |
| Heterogeneidad DSTRI*DSTRIImp | -2.495* | 25.445*** | 2.069 |
| (1.373) | (3.256) | (2.662) | |
| Constante | 25.875*** | 22.527*** | 28.231*** |
| (.09) | (.332) | (.601) | |
| Observaciones | 53 136 | 1 920 | 8 448 |
| Pseudo R2 | .961 | .943 | .973 |
| Exportador-año FE | SI | SI | SI |
| Importador-año FE | SI | SI | SI |
Nota: se omiten algunas variables por colinealidad. Errores estándar entre paréntesis. *** p < .01; ** p < .05; * p < .1.
Fuente: elaboración propia.
Los resultados de la Tabla 1 muestran que, en el caso del comercio de ALC con ALC, la heterogeneidad de regulaciones toma un valor negativo, estadísticamente significativo. Este resultado indica que la heterogeneidad en las restricciones al comercio de SD entre los países de la región reduce efectivamente el comercio intrarregional en SD. Así, una reducción en la heterogeneidad de las restricciones comerciales podría mejorar sustancialmente el flujo de comercio entre los países de la región. Por ejemplo, una reducción del índice HDSTRI de 1% (0.01) podría provocar un aumento del 3.5% en las exportaciones de SD entre los países de ALC.
Las interacciones entre la heterogeneidad regulatoria y el DSTRI del país exportador y del país importador, por otra parte, arrojan resultados estadísticamente significativos, pero con signos distintos. Así, el impacto marginal de la heterogeneidad regulatoria en las exportaciones de servicios varía positivamente con el DSTRI del país importador y negativamente con el del país exportador. Esto pareciera indicar que, si bien la heterogeneidad regulatoria está asociada con niveles más bajos de comercio digital (coeficiente de HDSTRI), el resultado positivo en el término de interacción (HDSTRI*DSTRI) sugiere que esta heterogeneidad es más importante cuando un país tiene una menor restricción en el comercio digital (en el caso del país importador) y viceversa (en el caso del país exportador).
Por otro lado, se observa un impacto positivo de los tratados de libre comercio con capítulo de servicios (TLC) sobre las exportaciones de SD en el comercio intrarregional (ALC con ALC). Este resultado sugiere que la existencia de un ALC con capítulo de servicios permite tener un mayor comercio de SD en la región (52%) a pesar de las regulaciones existentes (véase Tabla 1). Siendo ALC una región con alto grado de restricciones al comercio de SD, especialmente entre los países de la región, este resultado refuerza la importancia de promover más la liberalización del comercio intrarregional de SD.
Al analizar los resultados anteriores en el caso de toda la muestra (todo el mundo) y el comercio de ALC con el resto del mundo, se observa que únicamente el coeficiente relacionado con TLC con capítulo de servicios muestra un valor positivo y significativo. Reforzando así la importancia de este tipo de instrumento para facilitar el comercio de SD.
Los resultados de la Tabla 1 muestran la importancia del libre comercio en materia de SD entre los países de ALC y entre ellos y otros países fuera de la región. Sin embargo, es necesario corregir de estas estimaciones del sesgo de endogeneidad de las variables de política comercial debido a factores bilaterales. Para ello, se sigue a Baier y Bergstrand (2009) y se utiliza en la estimación de la ecuación 4 los efectos fijos de pares de países10. Cabe recordar que el conjunto de efectos fijos de pares de países absorberá todas las covariables bilaterales invariantes en el tiempo como las que se muestran en la Tabla 1 (v.g. distancia bilateral, lenguaje común, etc.). Sin embargo, los efectos fijos de pares de países no impedirán la estimación de los efectos de la política comercial bilateral, ya que las políticas comerciales por definición varían en el tiempo. Además, los efectos fijos de pares de países también toman en cuenta cualquier componente de costo comercial no observable e invariante en el tiempo (Yotov et al., 2016) (véase Tabla 2).
Tabla 2 Resultados del modelo con heterogeneidad y variables de política comercial y política pública (variable dependiente: exportaciones de SD de América Latina)
|
(1) Todo el mundo |
(2) ALC con ALC |
(3) ALC con resto del mundo |
|
| TLC (con Capítulo de Servicios) | .055 | .365** | .004 |
| (.036) | (.165) | (.115) | |
| Heterogeneidad DSTRI | .049 | -8.122*** | 1.589** |
| (.318) | (2.814) | (.669) | |
| Heterogeneidad DSTRI*DSTRIExp | -1.142 | 11.146** | -10.787*** |
| (1.049) | (5.603) | (3.427) | |
| Heterogeneidad DSTRI*DSTRIImp | 1.121 | 12.288* | 4.146 |
| (.925) | (6.783) | (2.865) | |
| Escolaridad promedio (años) | .002 | .095* | -.01 |
| (.007) | (.056) | (.028) | |
| Uso de internet de banda ancha | 0.01*** | 0.03*** | 0.0 |
| (.01) | (.01) | (.02) | |
| Constante | 21.957*** | 9.966** | 21.533*** |
| (1.029) | (4.59) | (2.942) | |
| Observaciones | 3 0452 | 1 170 | 5 067 |
| Pseudo R2 | .998 | .991 | .998 |
| Exportador-año FE | SI | SI | SI |
| Importador-año FE | SI | SI | SI |
| Exportador-Importador FE | SI | SI | SI |
Notas: errores estándar entre paréntesis. *** p < .01; ** p < .05; * p < .1.
Fuente: elaboración propia.
Además de las variables de heterogeneidad HDSTRI, las interacciones entre el HDSTRI y el DSTRI del país exportador y del país importador, y la existencia de TLC con capítulo de servicios, se incluyen dos variables adicionales que, según la literatura, podrían explicar también los flujos de comercio en el caso de los SD. Estas dos variables son variables de política pública, específicamente: capital humano (años de escolaridad) y el uso de internet de banda ancha.
En el caso del comercio entre los países de América Latina (ALC con ALC), todos los coeficientes del modelo son estadísticamente significativos y muestran el signo esperado. Caso contrario se muestra en el comercio de toda la muestra (todo el mundo) y de América Latina con el resto del mundo, donde la mayoría de los coeficientes no son significativos. Además, el modelo de gravedad estimado mediante el método PPML es robusto.
En el comercio intrarregional de ALC (ALC con ALC) la existencia de tratados de libre comercio con un capítulo de servicios tiene un impacto importante en el comercio de SD parta los países de la región. De hecho, de acuerdo con los resultados de la Tabla 2, se puede concluir que la existencia de un tratado de libre comercio con capítulo de servicios ha permitido que el comercio de SD entre los países de la región sea un 44% más alto.
El coeficiente asociado con la variable HDSTRI muestra que la heterogeneidad en las regulaciones comerciales en este tipo de comercio, entre los países de la región, obstaculiza de manera importante los flujos comerciales. Así, una reducción en la heterogeneidad de las restricciones comerciales podría mejorar sustancialmente el flujo de comercio de SD entre los países de la región. Por ejemplo, una reducción del índice HDSTRI de 1% (0.01) podría provocar un aumento del 8.1% en las exportaciones de SD entre los países de ALC.11
Las interacciones entre la heterogeneidad regulatoria y el DSTRI del país exportador y del país importador, por otra parte, arrojan resultados estadísticamente significativos y con el signo esperado (positivo). Este resultado indica que el impacto marginal de la heterogeneidad regulatoria en las exportaciones de servicios varía positivamente con el DSTRI del país importador y del país exportador. En otras palabras, la heterogeneidad en las regulaciones es más importante cuando un país tiene una menor restricción en el comercio digital, tanto en el caso del país importador como del país exportador (UNECA, 2023). Finalmente, el nivel de escolaridad, así como la penetración de internet de banda ancha parecieran ser factores importantes para favorecer el comercio de SD entre los países de ALC.
Cabe resaltar la importancia de promover la reducción en el grado de heterogeneidad en las regulaciones del comercio de SD (HDSTRI) entre los países de ALC, ya que ello aumentaría significativamente la integración comercial. Así, por ejemplo, si se toma en cuenta que el HDSTRI entre los países de ALC tiene un promedio de 0.234 (y un rango entre 0.021 y 0.462), reducir las regulaciones al comercio de SD en el equivalente al valor del promedio del HDSTRI, equivaldría a aumentar el comercio en SD en la región en un más de 200%.
6. Conclusiones
Las exportaciones de SD de ALC crecieron 7% como promedio anual entre 2005 y 2021, más que el total de las exportaciones de servicios (5.1%). La participación de los SD en las exportaciones totales de servicios en ALC pasó del 22 al 29% en el mismo periodo; lo que contrasta con las cifras de todo el mundo (44 a 62%).
Los países de ALC difieren ampliamente en su desempeño exportador de SD, siendo Brasil, Argentina, Costa Rica, México y Colombia los mayores exportadores. Países pequeños como Uruguay, Costa Rica, Chile, Colombia y República Dominicana, muestran tasas de crecimiento más altas en las exportaciones de SD.
Existe una baja integración regional en SD en ALC. Sólo para Argentina y Paraguay ALC representa más del 25% del mercado de destino. Para Santa Lucía, Uruguay, San Vicente y las Granadinas, Granada, Colombia y Costa Rica, ALC representa entre 15 y 25%. Para el resto de los países de la región (25), ALC representa menos del 15% del mercado.
Los resultados del modelo econométrico indican que reducir en 1% la heterogeneidad en las regulaciones al comercio de SD (HDSTRI) entre los países de ALC, podría incrementar el comercio intrarregional de estos servicios hasta en un 8%. Asimismo, la existencia de acuerdos de libre comercio que incluyen un capítulo sobre servicios entre los países de ALC, habría permitido que el comercio intrarregional de SD fuera 44% más alto.
Aumentar el capital humano (años de escolaridad) es una política que puede fortalecer o impulsar el comercio de SD entre los países de ALC. Igualmente, es importante incrementar la conectividad entre estos países para fomentar el comercio intrarregional de SD tanto entre los países de la región, como entre ALC y el resto del mundo.
En términos generales, se puede afirmar que la promoción de las exportaciones intrarregionales de SD en ALC podría fortalecerse con la implementación de un enfoque de políticas de desarrollo productivo, basado en cuatro pilares: 1) reducir y nivelar las barreras regulatorias al comercio intrarregional de SD; 2) promover, entre los países de la región, la inclusión de un capítulo de servicios en los acuerdos de libre comercio; 3) incrementar la conectividad a la internet de banda ancha; y 4) aumentar la inversión en capital humano.














