1. IntroduccIón1
En el presente trabajo se investiga el impacto del nearshoring en la actividad económica de México, entre los años 2020 y 2023, en particular en la actividad industrial manufacturera estatal,2 la Inversión Extranjera Directa (IED) y los trabajadores registrados ante el Instituto Mexicano del Seguro Social (IMSS). En este sentido, el crecimiento de las variables anteriores ha sido mayor en las entidades colindantes con Estados Unidos y en las del Bajío, las cuales tienen una integración más robusta en las Cadenas Globales de Valor (CGV), como lo sugieren Hanson (2001) y Campos y Campos (2023). Es a partir del segundo semestre de 2020 que se observan en México los impactos del conflicto comercial entre China y Estados Unidos, las interrupciones en las cadenas de suministros por la contingencia por Covid-19 y la entrada en vigor del Tratado entre México, Estados Unidos y Canadá (T-MEC).
Este estudio tiene como base teórica las CGV, que señalan que la producción se diversifica en varias etapas que agregan valor a un producto o servicio, es decir, cuando al menos dos etapas se realizan en diferentes países entonces se forman las CGV (Antràs, 2020). En la actualidad, la reubicación de estas etapas se ve impulsada por el aumento de los costos de producción en China, lo que ha generado una tendencia hacia el retorno de los procesos a los países de origen (Martínez-Mora y Merino, 2014). Además, la dependencia global de insumos producidos en el país asiático, que de acuerdo con datos del Banco Mundial (2024) en 2019 ocupó el segundo lugar entre los países exportadores de insumos intermedios,3 impactó negativamente al mundo por las medidas implementadas para contener la contingencia sanitaria. Ello provocó la interrupción de las cadenas globales de suministro, y junto con la incertidumbre derivada de los conflictos entre grandes potencias económicas, han reforzado la tendencia de reubicación de las CGV. Un ejemplo concreto es el caso de México y China, donde los costos laborales en el sector manufacturero chino han aumentado en mayor medida en comparación con México, es decir, entre 2013 y 2023 los costos laborales de China se incrementaron en promedio 8.7% anual, mientras que en México lo hicieron en 2.9%. Adicional a esto, la relocalización de los procesos productivos está también justificada por la intensificación de los conflictos geopolíticos que, entre 2013 y 2019, incrementaron el número de disputas comerciales que solicitaron la formación de un panel y la formación de procedimientos de cumplimiento en 84%, de acuerdo con datos de la Organización Mundial del Comercio (OMC). Finalmente, tras el estallido del conflicto entre Rusia y Ucrania se crearon bloques comerciales basados en la geografía, reduciendo la IED entre países de distintos bloques (Gopinath et al., 2024). Esta situación tuvo consecuencias positivas para México. De acuerdo con datos de la Oficina del Censo de Estados Unidos, la participación de las importaciones de México hacia Estados Unidos aumentó, y pasó de representar el 13% del total entre 2013 y 2019 a 14.2% entre 2020 y 2023. En resumen, desde la perspectiva de las CGV, los bajos salarios relativos, el T-MEC y la formación de los bloques geográficos, México es un país atractivo para la relocalización de procesos productivos.
Para evaluar el impacto del nearshoring en la economía mexicana, se optó por utilizar como inicio del periodo de análisis la entrada en vigor del T-MEC (julio de 2020), fecha que es significativa, ya que representa un punto de inflexión al proporcionar certidumbre en las reglas comerciales con sus socios estratégicos en un contexto marcado por la guerra comercial entre Estados Unidos y China, así como por la problemática derivada de la contingencia sanitaria en las cadenas globales de suministro, debido a la concentración de la producción manufacturera en China. Aunque México ya contaba con un Tratado de Libre Comercio (TLC) con Estados Unidos y Canadá, la firma del nuevo acuerdo garantizó las reglas en el comercio para los tres países. La literatura especializada muestra que la finalización de los tratados bilaterales disminuye la afluencia de la IED (Kotyrlo y Kalachyhin, 2023), mientras que su promulgación, incentiva su entrada (Cavallo, 2019).
Para medir el impacto del nearshoring en la economía mexicana se utilizó la metodología de Controles Sintéticos Generalizados (CSG) (Xu, 2017). Como resultado se obtuvo que la actividad industrial y la IED en las entidades impactadas por el nearshoring tuvieron un efecto positivo y estadísticamente significativo de 5.2 puntos porcentuales (pp) y 11.4 pp respectivamente, en comparación con el control sintético. En el caso de los puestos de trabajo, el impacto fue positivo, más no es significativo, lo que bien puede deberse a la contratación de trabajadores especializados en el sector manufacturero.
Para el desarrollo de este análisis, se abordó en la primera parte el contexto internacional y nacional de la evolución de la IED, así como del comercio internacional de Estados Unidos. Posteriormente, se revisó la literatura especializada sobre las CGV y cómo su reconfiguración favorece la relocalización hacia México. Después, la metodología describe el enfoque de CSG utilizado para evaluar el impacto del nearshoring en un grupo de tratamiento y control. En la parte de datos se detallan fuentes y características de los indicadores clave, como la actividad manufacturera, la IED y el empleo. Los hallazgos del análisis empírico se exponen en los resultados, destacando los efectos positivos y significativos en la producción industrial y la IED. Finalmente, se presentan las conclusiones, que examinan las implicaciones de política pública, las limitaciones metodológicas del estudio y sugieren además direcciones para futuras investigaciones.
2. Contexto internacional y nacional
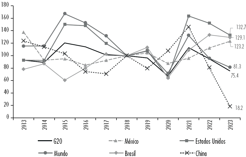
Como se señaló, el nearshoring se originó por un conjunto de eventos internacionales que le dieron a México ventajas comparativas en el comercio con Estados Unidos. En la Figura 1 se observa que, a partir del 2020, la IED en México creció a una velocidad mayor que el resto del mundo y de los países que conforman el grupo G-20. En 2023 la variación anual de de IED en México fue de 9.8%, mientras que en el mundo, en el G-20 y China, la tendencia fue a la baja y con caídas anuales de 15.0, 20.7 y 77.5%, respectivamente. Esta última caída en China refleja los efectos de la guerra comercial, ya que pasó del tercer lugar en 2013 como receptor de IED al décimo en 2023, periodo en que la inversión disminuyó 85.3%. En 2013 México ocupó el octavo lugar como receptor de flujos de IED (entre los países que conforman el G-20) y en 2023 pasó a ocupar el séptimo lugar. Ello implicó que en este último año México recibiera el 4.7% de la IED destinada a estos países. Si bien el flujo de la IED hacia México disminuyó 10.5% en este mismo periodo, se debió al estancamiento observado entre 2015 y 2019, así como al efecto provocado por la contingencia sanitaria en 2020. Sin embargo, a partir de 2021, la tendencia de crecimiento fue positiva.

Fuente: elaboración propia con información de la OCDE (2024).
Figura 1 Inversión Extranjera Directa (IED). Índice 100 = 2018
El conflicto comercial entre Estados Unidos y China, así como la firma del tratado del T-MEC, coincidieron con el aumento en la participación de las importaciones realizadas por Estados Unidos procedentes de México. Entre 2015 y 2017 las importaciones de Estados Unidos provenientes de China, México y Canadá representaron 47.6% del total (véase Figura 2). China ocupó el primer lugar al representar 21.5%, mientras que México ocupó el segundo lugar con 13.3% de las importaciones. Durante 2023, las importaciones de Estados Unidos provenientes de China, México y Canadá representaron el 42.9% del total y México desplazó a China en el primer lugar, con una representación del 15.5% de las importaciones totales y con una tendencia creciente. En segundo lugar, China pasó a representar 13.8% con una tendencia decreciente en su participación.

Fuente: elaboración propia con información de the U.S. Census Bureau (2024).
Figura 2 Importaciones de Estados Unidos por país. Porcentaje respecto al total
En el mismo sentido, al analizar el comportamiento de la IED en México, se observó que entre 2015 y 2019 decreció a un ritmo promedio del -0.7%, mientras que entre 2021 y 2023 creció a un promedio de 2.8%. Al desglosar las inversiones por tipo (véase Figura 3), se encontró que las reinversiones, en promedio crecieron, 10.4% anual entre 2015 y 2019, y entre 2021 y 2023 lo hicieron a una tasa anual promedio del 35.4%. Como resultado este componente representó en 2023 el 73.4% del total de la IED. Lo anterior refleja la intención de las empresas ya establecidas en México de continuar y expandir sus operaciones en el país.

Fuente: elaboración propia con información de la SE (2024).
Figura 3 Inversión Extranjera Directa en México. Miles de millones de dólares
Por ejemplo, la IED destinada al sector manufacturero ha crecido consistentemente a un ritmo promedio de 8% anual desde 2021, lo que podría ser un indicador del aumento en la producción de bienes en México para sustituir la demanda de productos chinos en Estados Unidos. Sin embargo, es importante destacar que las nuevas inversiones se desaceleraron en 2023, posiblemente a causa de la incertidumbre generada por las elecciones presidenciales en Estados Unidos, ya que en 2026 se renegociará el T-MEC. Además, de un contexto de altas tasas de interés a nivel global, y una perspectiva económica negativa en el corto plazo, especialmente en Estados Unidos.
3. Revisión de literatura
Las CGV implican etapas de producción distribuidas en varios países, pero también pueden realizarse completamente dentro de un solo país (Antràs, 2020; Kogut, 1985). Un cambio en la localización de las CGV ha sido impulsado por la reducción de las brechas de costos laborales y energéticos, que ha llevado a algunas empresas a regresar procesos a sus países de origen (Martínez-Mora y Merino, 2014; Sirkin et al., 2014). En 2020, los costos laborales en China superaron a los de México por 1.7 USD$/hr (Garrido, 2022). Además, las tensiones entre Estados Unidos y China han generado un ambiente proteccionista, aumentando las restricciones al comercio de 3 190 en 2012 a 5 019 en 2023, según datos presentados en Global Trade Alert (2024).
Siguiendo a Jones y Kierzkowski (1990), en el lado izquierdo de la Figura 4, se ilustran los costos a los que se enfrentaba una empresa antes de la reestructuración de las cadenas de valor al producir una cantidad: la producción en China resultaba ser la opción más eficiente, presentando costos más bajos en comparación con México y con las empresas en el país doméstico.4 Sin embargo, en el lado derecho de la Figura 4, los costos en China se incrementan debido a factores como el aumento en los costos laborales y la imposición de impuestos arancelarios por parte de Estados Unidos. Como consecuencia, este aumento en los costos reduce la eficiencia de producir en China, y se observa que la producción en México se vuelve más competitiva.

Fuente: elaboración propia con base en Inomata (2017, cap. I).
Figura 4 Reconfiguración de los costos de producción
Desde el estallido de la guerra entre Rusia y Ucrania, se formaron dos bloques comerciales: uno liderado por Estados Unidos y otro por China. La IED entre países del mismo bloque ha disminuido menos que entre países de diferentes bloques (Gopinath et al., 2024). Debido a la integración de México en las CGV, salarios bajos y el T-MEC, la IED de Estados Unidos a México pasó del 38% (2013-2019) al 44.9% (2020-2023). Es importante resaltar que la relocalización de producción en general traslada trabajos menos especializados a países en desarrollo (Feenstra y Hanson, 1995). Además, la evidencia muestra que los tratados comerciales impulsan la IED (Kotyrlo y Kalachyhin, 2023; Cavallo, 2019). En México, también se observó que el entonces TLC con Estados Unidos y Canadá tuvo un impacto positivo en el Productor Interno Bruto (PIB) per cápita (Colla-De-Robertis y Garduno, 2021). Campos y Campos (2023) muestran que la llegada de empresas automotrices en la zona del Bajío mexicano (2007-2014) generó cinco empleos adicionales por cada empleo automotriz, reduciendo la pobreza laboral y aumentando la matrícula de la educación media superior.
Para evaluar el impacto del nearshoring en la actividad económica a partir de julio de 2020, se adoptó la metodología de CSG, propuesta por propuesta por Xu (2017), que se basa en el trabajo previo de Abadie et al. (2015). Este enfoque metodológico permite comparar los resultados de un conjunto de entidades federativas que han experimentado el nearshoring con un grupo de control similar que no lo ha hecho, lo que facilita la identificación de los efectos del nearshoring en la producción industrial manufacturera, IED y puestos de trabajo reportados por el IMSS.
4. Metodología
Para evaluar el impacto del nearshoring en la actividad económica, se empleó la metodología de CSG propuesta por Xu (2017),5 que tiene su antecedente en los trabajos de Abadie y Gardeazabal (2003), Abadie et al. (2007) y Abadie et al. (2015). Este enfoque permite construir un contrafactual que estima lo que hubiera ocurrido en ausencia del tratamiento, tomando en cuenta unidades no tratadas que sirvan de referencia. De acuerdo con el método, se asume la existencia de J + 1 unidades, donde j = 1 representa a la unidad tratada, y j = 2, … , J + 1 representan a las unidades no tratadas. El horizonte temporal se divide en dos periodos: T0, que corresponde al tiempo previo al tratamiento, y T1, que representa el periodo posterior al tratamiento.
El objetivo de este ejercicio es construir un contrafactual plausible que capture la
evolución de la unidad tratada (Y1t) si
no hubiera sido intervenida, permitiendo compararla con la tendencia observada en
las unidades no tratadas (
La metodología estándar propone determinar un vector de ponderaciones W = (w2 , … , wj + 1), con 0 ≤ wj ≤ 1, que minimice las diferencias entre la unidad tratada y un promedio ponderado de las unidades no tratadas. Las ponderaciones se eligen de modo que el grupo de control sintético resultante refleje las características de la unidad tratada antes de la intervención.
Sin embargo, en el contexto de este estudio, la metodología de CSG resulta más adecuada. Esto se debe a que uno de los supuestos de esta metodología es que las series tengan tendencias paralelas antes del inicio del tratamiento, lo que es difícil de cumplir en la práctica. En Tabla A1 del anexo, se presenta la evidencia sobre paralelismo imperfecto de las series, por lo que es más apropiado utilizar la metodología de CSG, que relaja el supuesto de paralelismo perfecto, al ampliar el enfoque tradicional incorporando el uso de factores dinámicos, múltiples unidades tratadas y periodos de tiempo. De esta manera, los CSG permiten incorporar la heterogeneidad no observada entre las unidades tratadas y de control a lo largo del tiempo, lo que mejora la precisión y robustez de las estimaciones.
En este caso, la metodología de CSG asume que los resultados potenciales pueden
descomponerse en factores observados y no observados para las unidades de control y
tratamiento en su conjunto. Por lo tanto, las unidades del grupo control y
tratamiento se enumeran del 1 a Nco y
Nco + 1 hasta N
respectivamente. Entonces la forma funcional para cada unidad se puede expresar
como:
Donde
La ventaja de los CSG es que no sólo permiten la inclusión de múltiples unidades tratadas, sino que también optimizan la selección del grupo de control y permiten realizar inferencia estadística. Esta última característica se realiza a partir de una técnica de remuestreo que permite calcular las desviaciones estándar de las estimaciones, lo que refuerza la validez de los resultados obtenidos. Esta metodología es oportuna en el contexto de políticas como el nearshoring, donde las decisiones afectan múltiples unidades económicas de manera heterogénea.
En este ejercicio se implementó el método de CSG para evaluar el impacto del nearshoring en indicadores clave como la actividad industrial manufacturera, la IED y el empleo en las regiones fronterizas y el Bajío. El indicador de interés es el efecto medio del tratamiento sobre los tratados (ATT), que mide el efecto promedio del tratamiento sobre las unidades afectadas, expresado como:
En donde
5. Datos
Para analizar el impacto del nearshoring en la economía de la frontera norte (Baja California, Chihuahua, Coahuila, Nuevo León, Sonora y Tamaulipas ) y del Bajío (Aguascalientes, Durango, Guanajuato, Jalisco, Querétaro y San Luis Potosí) se consideraron los siguientes indicadores para el periodo 2013-2023:6 la actividad industrial manufacturera reportada por el Instituto Nacional de Geografía y Estadística (INEGI, 2024), la IED publicada por la Secretaría de Economía (SE, 2024) y los puestos de trabajo registrados por el IMSS (2024).
En la Tabla 1 se presentan las estadísticas generales de los indicadores utilizados en el estudio y se puede observar que la actividad industrial manufacturera, la IED y el número de puestos de trabajo se recuperaron respecto al periodo de la contingencia sanitaria por Covid-19 y, más aún, para el caso de la actividad industrial y la IED, su ritmo de crecimiento fue mayor al periodo 2013-2019. En el caso de la actividad industrial se puede observar que, en 2021, 2022 y 2023 se tuvo un crecimiento anual de 8.9, 5.6 y 0.9% respectivamente, es importante resalar que los incrementos de 2021 y 2022 fueron mayores a los de observados entre 2014 y 2019. Respecto al flujo anual acumulado de la IED se evidenció que después de 2020 aceleró su crecimiento, lo que es relevante en el contexto señalado anteriormente, en donde esta variable muestra una tendencia decreciente a nivel mundial y en el grupo de los países del G-20. Por último, para el número de puestos de trabajo, se observa que en 2021 el crecimiento del empleo fue de 4.3%, que es similar a los crecimientos de 2014 y 2017, sin embargo, el número de puestos de trabajo en ese año incrementó 846.4 mil, el más alto desde que se tiene registro.
Tabla 1 Estadística descriptiva nacional
| Años |
Actividad industrial
manufacturera* Índice 2018=100 |
IED** Miles de millones de dólares |
Puestos de
trabajo registrados en el IMSS*** Millones |
|||
|---|---|---|---|---|---|---|
| Promedio |
Variación porcentual anual |
Final de
periodo |
Variación porcentual anual |
Final de
periodo |
Variación porcentual anual |
|
| 2013 | 88.7 | 48.4 | 16.5 | |||
| 2014 | 92.2 | 3.9 | 30.4 | -37.2 | 17.2 | 4.3 |
| 2015 | 95.4 | 3.5 | 35.9 | 18.4 | 17.9 | 3.7 |
| 2016 | 96.1 | 0.8 | 31.2 | -13.2 | 18.6 | 4.1 |
| 2017 | 98.8 | 2.8 | 34.0 | 9.1 | 19.4 | 4.3 |
| 2018 | 100.1 | 1.3 | 34.1 | 0.2 | 20.1 | 3.4 |
| 2019 | 100.0 | -0.1 | 34.6 | 1.5 | 20.4 | 1.7 |
| 2020 | 91.6 | -8.3 | 28.2 | -18.5 | 19.8 | -3.2 |
| 2021 | 99.8 | 8.9 | 33.5 | 18.7 | 20.6 | 4.3 |
| 2022 | 105.4 | 5.6 | 36.3 | 8.4 | 21.4 | 3.7 |
| 2023 | 106.3 | 0.9 | 36.3 | 0.0 | 22.0 | 3.0 |
Nota: * el indicador de la actividad industrial es un índice que tiene frecuencia mensual que promedió cada uno de sus registros por año; ** Para el dato de la IED se considera el flujo acumulado de cada año; ***Se considera el dato del cierre de cada año.
Fuente: elaboración propia con información del IMSS (2024), INEGI (2024) y SE (2024).
Grupos de control y tratamiento
El grupo de tratamiento se conformó por aquellas entidades cuyas economías tienen un mayor grado de integración a la de Estados Unidos, ya que con la política de relocalización de las empresas se espera que sean las receptoras de una mayor demanda de bienes y de mayores inversiones, lo que a su vez podría traducirse en la contratación de un mayor número de trabajadores y el crecimiento o instalación de nuevas empresas. En este sentido, los indicadores de la IED y de las exportaciones muestran que los estados de la frontera norte y los del Bajío son los que están más integrados a Estados Unidos. Entre 2013 y 2020, ambas regiones registraron 54.3% del total de las inversiones y reinversiones y 74.9% del total de las exportaciones,7 cuando se desagrega por región, se observa que entre 2015 y 2023 las exportaciones de la frontera norte representan 57.8% del total de su PIB, y en el Bajío representan 21.2%. En contraste, para el resto del país sólo representan el 15.8%.8
A pesar de no compartir frontera con Estados Unidos, se decidió considerar a los estados del Bajío como parte del grupo de tratamiento debido a las características antes mencionadas y a que existe una red territorial productiva, con grupos industriales especializados, núcleos urbanos y de empleo, y servicios especializados que integran la región (Téllez, 2009). Estas características son valoradas por los directivos empresariales, quienes señalan, además, el costo de la mano de obra, la certificación de los proveedores y la certidumbre jurídica (BANXICO, 2016). Es probable que por estas razones se instalaran 13 plantas automotrices entre 2013 y 2019 (Campos y Campos, 2023).
Para agrupar la actividad industrial manufacturera por entidades federativas fue necesario ponderar el índice por la participación de cada entidad en el PIB manufacturero total, considerando los datos del Producto Interno Bruto Estatal (PIBE) del 2018. A partir de este tratamiento de los datos, se observó que el comportamiento de la actividad industrial manufacturera en el grupo de tratamiento,9 tuvo trayectorias que presentaron una menor varianza respecto al grupo de control10 (véase Figura 5). Entre 2013 y 2019 el crecimiento promedio anual de este grupo fue de 2.9% y entre julio de 2020 y diciembre de 2023 fue de 5.3%. Respecto al indicador de los trabajadores registrados en el IMSS, el crecimiento promedio anual fue de 4.3% y entre julio de 2020 y diciembre de 2023 fue de 2.7%, no obstante, a partir de abril de 2021, comienza a registrar tasas de crecimiento positivas promedio de 4%.

Fuente: elaboración propia con información del INEGI (2024) e IMSS (2024).
Figura 5 Evolución de la actividad industrial manufacturera y de los puestos de trabajo registrados en el IMSS
Como se puede observar, en el grupo de control, los estados de Campeche y Tabasco presentaron un comportamiento diferente al resto de las entidades, esto podría deberse a la relación de estas entidades con la industria petrolera. Por otra parte, en el grupo de tratamiento, las trayectorias son más homogéneas. Para ejemplificar este comportamiento, se observa que entre 2013 y 2019 la trayectoria de Campeche y Tabasco en la actividad industrial del grupo de control difiere del resto (se representan con líneas con marcas en puntos) (véase Figura 6). En este periodo la caída promedio anual de estos estados fue de 2.7 y 0.5% para Tabasco y Campeche, respectivamente, mientras que en el resto de los estados del grupo de control el crecimiento promedio anual fue de 1.4%. Respecto a los trabajadores registrados en el IMSS se observa que nuevamente el comportamiento de Campeche y Tabasco difieren del resto. Entre 2013 y 2019 se registró un decremento promedio anual de ambas entidades de 1%, mientras que en el grupo de control hubo un incremento de 3.3%. Entre julio de 2020 y diciembre de 2023, el crecimiento promedio anual de Campeche y Tabasco fue de 10.8%, mientras que en el grupo de control fue de 2.4%. Por esta razón, con la finalidad de evitar que estos estados sesgaran el control sintético, se optó por eliminarlos del grupo de donantes (Abadie y Gardeazabal, 2003).

Fuente: elaboración propia con información del INEGI (2024) e IMSS (2024).
Figura 6 Evolución de la actividad industrial manufacturera y de los puestos de trabajo registrados en el IMSS
El comportamiento de las nuevas inversiones y reinversiones de las entidades del grupo de tratamiento y control antes del inicio del tratamiento presentan una menor varianza en comparación con el periodo posterior a julio de 2020 (véase Figura 7). En relación con el grupo de tratamiento, entre 2013 y 2019 registró un crecimiento promedio anual de 14.6%, mientras que a partir de julio de 2020 y hasta diciembre de 2023 creció 8.2%. En particular, la entidad con mayor crecimiento posterior al tratamiento fue Durango con un incremento promedio de 15.4%, aunque es importante mencionar que esta entidad representa 2.2% de las nuevas inversiones y reinversiones en este grupo. En tanto, el crecimiento anual promedio del grupo de control entre 2013 y 2019 fue de 14.3%; el menor crecimiento corresponde a Quintana Roo, que creció 11.2% y el mayor crecimiento corresponde a Oaxaca, que creció 32.5%, es decir, 2.9 veces más. Después del periodo de tratamiento el crecimiento promedio anual del grupo de control fue de 6.3% y el menor crecimiento lo registró Oaxaca con un crecimiento promedio de 2.9%. Destaca también el caso de Guerrero, que entre 2013 y 2019 en promedio creció 26.6% anual, 1.8 veces más que el promedio del grupo, mientras que entre julio de 2020 y diciembre de 2023 creció a un ritmo promedio de 6.6% anual. Es importante resaltar que se decidió excluir a la Ciudad de México del estudio, por ser el centro financiero y económico del país, esto hace que la IED se registre administrativamente en esta entidad, a pesar de que el destino es hacia otras entidades.11

Fuente: elaboración propia con información de la SE (2024).
Figura 7 Evolución de las nuevas inversiones y reinversiones
A partir de julio de 2020 se observan distintas velocidades de crecimiento entre los grupos de tratamiento y control. En la Tabla 2 se registra la diferencia más grande en las inversiones y reinversiones de 1.9 pp sobre el crecimiento anual de ambos grupos. Destaca que el crecimiento anual promedio del grupo de control, entre 2013 y 2019, fue de 14.7%, y entre julio de 2020 y diciembre de 2023 de 6.3%. Por otra parte, la producción industrial aceleró su crecimiento entre julio de 2020 y diciembre de 2023, con relación a lo observado entre 2013 y 2019 en ambos grupos. No obstante, los puestos de trabajo se desaceleraron, esto es en parte, porque se considera el periodo de julio de 2020 a abril de 2021, en donde las variaciones eran negativas, por el impacto de la contingencia sanitaria en el mercado laboral.
Tabla 2 Variación porcentual anual promedio en la actividad industrial manufacturera, nuevas inversiones y reinversiones y puestos de trabajo registrados en el IMSS
| Grupo | Periodo |
Actividad
industrial manufacturera |
Inversiones y
reinversiones |
Puestos de trabajo |
|---|---|---|---|---|
| Tratamiento | 2013-2019 | 2.9 | 14.6 | 4.3 |
| (2.6) | (5.8) | (0.9) | ||
| julio 2020-diciembre 2023 | 5.3 | 8.2 | 2.7 | |
| (11.4) | (1.0) | (2.5) | ||
| Control | 2013-2019 | 1.4 | 14.7 | 3.3 |
| (4.5) | (10.6) | (1.0) | ||
| julio 2020-diciembre 2023 | 5.6 | 6.3 | 2.4 | |
| (13.5) | (0.8) | (3.7) |
Nota: entre paréntesis se presentan las desviaciones estándar de cada serie.
Fuente: elaboración propia con información del IMSS (2024), INEGI (2024) y SE (2024).
En la Figura 8 se visualiza la evolución de los indicadores antes analizados contrastando el grupo de control y tratamiento. En ella se puede observar que, en la actividad industrial, la diferencia entre las entidades de control y tratamiento al mes de diciembre de 2023 fue de 3.3 pp. Lo que se explica porque en mayo de 2020 las entidades del grupo de control cayeron en promedio 8.7 pp más que las de tratamiento, probablemente porque sus economías no se encontraban tan integradas en las CGV, como sí lo están las unidades tratadas. En relación con el indicador de las nuevas inversiones y reinversiones, la diferencia al mes de diciembre de 2023 fue de 12.2 pp. Esto se explica porque entre julio de 2020 y diciembre de 2023, el crecimiento promedio anual de este indicador fue de 6.3% para el grupo de control y 8.2% para el grupo de tratamiento. Finalmente, para el número de puestos de trabajo la diferencia al mes de diciembre de 2023 fue de 2.2 pp. La explicación es similar a la de la actividad industrial (véase Figura 8), el grupo de control presentó una mayor caída, probablemente porque los puestos de trabajo de las entidades no tratadas se encuentran en el sector servicios, los cuales no se declararon actividades esenciales y además dependen en mayor medida de la demanda interna.

Fuente: elaboración propia con información del INEGI (2024), SE (2024) e IMSS (2024).
Figura 8 Evolución de la producción industrial, IED y puestos de trabajo registrados en el IMSS en el grupo de control y tratamiento
En resumen, para el grupo de tratamiento se eligieron los estados fronterizos y los del Bajío debido a la mayor integración que tienen con Estados Unidos. Para el grupo de control, se eligieron a los estados restantes, con excepción de Ciudad de México, Campeche y Tabasco. En total, el grupo de tratamiento estuvo integrado por 12 entidades federativas, mientras que el grupo de control por 19. Dada la estadística descriptiva presentada en esta parte del estudio, se puede observar que existe una diferencia entre los niveles observados en diciembre de 2023 para los grupos formados en todos los indicadores, lo que da indicio de que existe un efecto del nearshoring en México. En el mismo sentido, además de la guerra comercial entre Estados Unidos y China, y la problemática global en las cadenas de suministro debido a la dependencia de insumos provenientes de Asia, particularmente de China, en México también hubo políticas públicas que pudieron impactar ciertos sectores, como el mercado laboral. Un ejemplo es la reforma de subcontratación implementada en 2021, la cual prohíbe a las empresas subcontratar personal que realice actividades directamente relacionadas con su objeto comercial, así como el incremento en el salario mínimo, el cual subió en términos reales 12.8% entre 2019 y 2023.
6. Resultados
A partir de la metodología de CSG se analiza el comportamiento que hubiera tenido la producción industrial, la IED, y el número de puestos de trabajo registrados en el IMSS, en ausencia del nearshoring. Para ello se realizan distintos ejercicios con las variables de interés considerando el periodo 2013-2023. En todos los ejercicios, la fecha de tratamiento fue la entrada en vigor del T-MEC, en julio de 2020. En el primer ejercicio, se aplica la metodología de CSG al grupo de tratamiento sin considerar variables de control y en los consecuentes sí se incluyeron.12 Los resultados obtenidos fueron positivos y significativos para la producción industrial y para la IED, sin embargo, para los puestos de trabajo, el efecto fue positivo, más no significativo, muy probablemente debido a que el impacto es directo, es decir, sólo afecta a la empresa a la que llega la IED (Saucedo et al., 2020), además, la reforma a la subcontratación laboral y el incremento en el salario mínimo pudo contrarrestar el efecto del nearshoring. Finalmente, para las variables en donde los resultados fueron estadísticamente positivos y significativos en todos los ejercicios la magnitud del efecto es similar.
Tabla 3 Resumen de resultados
| Variables |
Producción industrial |
p-value | IED | p-value |
Puestos de trabajo |
p-value |
|---|---|---|---|---|---|---|
| Sin controles | 7.00 | 0.00*** | 11.40 | 0.02*** | 0.94 | 0.66 |
| Controles | ||||||
| Producción industrial | 11.23 | 0.02*** | 0.95 | 0.66 | ||
| IED | 6.52 | 0.00*** | 0.97 | 0.65 | ||
| Puestos de trabajo | 6.67 | 0.00*** | 11.36 | 0.06** | ||
| IED y puestos de trabajo | 5.19 | 0.03*** | ||||
| IED y producción industrial | 0.97 | 0.65 | ||||
| Producción industrial y puestos de trabajo |
11.36 | 0.06** |
Notas: *** significancia al 99% de confianza; ** significancia al 95% de confianza, y ** significancia al 90% de confianza.
Fuente: elaboración propia con información del IMSS (2024), INEGI (2024) y SE (2024).
En la Figura 9 se representa la evaluación del impacto del nearshoring para el indicador de la producción industrial. Se observa que después de julio de 2020, es decir, tras la intervención, el att experimentó un aumento de 5.2 pp en promedio. Entre julio de 2020 y julio de 2021, el att promedio fue de 3.7 pp, no obstante, en este periodo los intervalos de confianza cruzaban el cero, por lo que en algunos casos esta diferencia no era significativa. A partir del segundo semestre de 2022 la diferencia entre el grupo de tratamiento y el contrafactual se hizo más amplia, esto es, promedió 7.6 pp; es importante resaltar que dicha diferencia tiene una tendencia creciente. Asimismo, cabe destacar que el punto máximo de diferencia se observa en el tercer trimestre de 2023, periodo durante el cual, el att fue de 10.3 pp.

Nota: * diferencia en pp entre el efecto medio del tratamiento sobre los tratados y el indicador.
Fuente: elaboración propia con datos del INEGI (2024).
Figura 9 Estimación del control sintético para la producción industrial
Para el caso de la producción industrial, se encontró que las entidades más beneficiadas con el nearshoring fueron Chihuahua, San Luis Potosí y Sonora, mismas que han tenido un crecimiento con mayor aceleración en la parte manufacturera de su economía, es decir, mientras que en promedio las unidades tratadas incrementaron 5.6% entre julio de 2020 y diciembre de 2023, las entidades que resultaron más beneficiadas lo hicieron en 7.9%. Por otra parte, Querétaro no tuvo efecto, incluso su resultado fue negativo, es decir, a partir del inicio de tratamiento su crecimiento fue menor al esperado en 6.7 pp, mientras que Tamaulipas tuvo resultados mixtos, en particular, en 2023 creció 2.0 pp menos que su contrafactual.
La estimación del crecimiento promedio acumulado de la IED en las entidades tratadas y en el control sintético se presenta en la Figura 10, donde se observa que el ATT es positivo y significativo, con una diferencia promedio de 11.36 pp tras el inicio del tratamiento. Además, la tendencia muestra que la brecha entre el control sintético y las entidades tratadas se amplía con el tiempo, lo que sugiere un efecto sostenido y creciente. La evidencia empírica respalda la idea de que las entidades con una mayor integración a las cadenas productivas de Estados Unidos han logrado captar un flujo creciente de IED desde julio de 2020. En conclusión, durante el periodo comprendido entre julio de 2020 y diciembre de 2023, las entidades tratadas recibieron un flujo adicional de USD$16.9 mil millones en nuevas inversiones y reinversiones, lo que equivale a un incremento de 4.8% en el flujo total de IED a nivel nacional.

Nota: * diferencia en puntos porcentuales entre el efecto medio del tratamiento sobre los tratados y el indicador.
Fuente: elaboración propia con datos de la SE (2024).
Figura 10 Estimación del control sintético de las nuevas inversiones y reinversiones
Respecto a la IED en cada uno de los estados estudiados, se identificó que 10 de las 12 entidades consideradas en el grupo de tratamiento registraron un efecto positivo. En particular la zona del Bajío fue la que registró un mayor flujo, en relación con lo que hubiera sucedido en ausencia de nearshoring; esto es: Aguascalientes, Durango y San Luis Potosí recibieron en conjunto USD$4.5 billones adicionales en relación con su control sintético. Para el caso de la frontera norte, Baja California, Sonora y Chihuahua fueron las entidades con un mayor efecto, ya que entre las tres acumularon un flujo adicional de USD$4.4 billones respecto a su control sintético. Además, entre 2022 y 2023 el crecimiento de la Inversión Fija Bruta (IFB) fue superior a lo observado en promedio entre 2013 y 2019, tanto para el indicador total, como para sus componentes. Por un lado, la maquinaria y equipo han aumentado, en promedio 12.9%, mientras que entre 2013 y 2019 crecieron sólo 1.1%. En cuanto a la construcción, el crecimiento fue de 25.4% en el sector no residencial, en contraste con la variación promedio negativa de 3.4% observada entre 2013 y 2019. Sin embargo, los datos sobre la Formación Bruta de Capital total no están disponibles a nivel estatal, lo que imposibilita realizar un ejercicio comparativo similar al presentado en este estudio.
Considerando que se logró observar un impacto positivo en la actividad industrial, se analiza si el mismo fenómeno se transfirió al mercado laboral, debido a la mayor demanda de empleo. Por este motivo, se estimó la metodología para el número de puestos de trabajo, en donde se observa que, una vez entrado en vigor el T-MEC, la tendencia del att tuvo una trayectoria positiva entre julio de 2020 y diciembre de 2021, con una diferencia promedio de 0.97 pp; sin embargo, no es significativa. Este resultado es en línea con la literatura, en donde se ha observado empíricamente que el impacto de la IED en el sector manufacturero tiene un efecto positivo, especialmente en trabajadores con un empleo manual (Nunnenkamp y Alatorre, 2007). En futuros estudios se propone analizar el comportamiento del número de puestos de trabajo en el sector manufacturero, con el fin de identificar un efecto positivo y significativo.

Nota: *diferencia en puntos porcentuales entre el efecto medio del tratamiento sobre los tratados y el indicador.
Fuente: elaboración propia con datos del IMSS (2024).
Figura 11 Estimación del control sintético para el número de puestos de trabajo
7. Conclusiones
En la literatura especializada se observó que los tratados de libre comercio (para el caso mexicano, la firma del T-MEC) aumentan los flujos de IED. En México este tratado coincidió con la política de relocalización de las empresas debido a las disputas comerciales observadas entre China y Estados Unidos a partir de 2017 y las medidas de contingencia implementadas por China. El presente trabajo arrojó resultados positivos y significativos del efecto del nearshoring en la producción industrial y la IED, ya que de acuerdo con la metodología aplicada se obtuvo un crecimiento por arriba del control sintético.
A partir de dichos modelos se identificó que en la producción industrial manufacturera la diferencia promedio entre las entidades tratadas y el contrafactual fue de 5.19 pp y para las nuevas inversiones y reinversiones fue de 11.36 pp. En el caso particular de las nuevas inversiones y reinversiones, se observa que la diferencia ha incrementado en el tiempo, esto podría prolongarse debido a la paulatina realización de los anuncios de IED hechos particularmente en las entidades fronterizas con Estados Unidos, como Pacific Limited (USD$14 billones) y Lingong Machinery Group (USD$5 billones), proyectos que iniciaron su desarrollo en 2024.
A partir de los resultados obtenidos, desde una perspectiva de política pública, se podría promover la integración de más entidades en las CGV. Tal como se plantea en este estudio, esto podría traducirse en un mayor crecimiento de su producción industrial lo que, según Campos y Campos (2023), es un mecanismo clave para reducir la desigualdad, aumentar el empleo y mejorar los niveles de escolaridad en la población. En el contexto del nearshoring es crucial que los tres niveles de gobierno aprovechen las oportunidades para atraer empresas extranjeras a México, proporcionando la infraestructura necesaria para su operación y fomentando el desarrollo del capital humano capaz de responder a la demanda laboral como lo señala BANXICO (2016). Adicionalmente, la renegociación del T-MEC que se llevará a cabo en 2026, puede generar certidumbre a las empresas en el mediano plazo.
Entre las limitantes es que no se conoce el destino específico de la IED, y esto puede dificultar la inferencia de este estudio, este fue uno de los motivos por el cual se decidió no considerar dentro del análisis a la Ciudad de México, ya que en esta entidad es donde se encuentran la mayoría de los corporativos y donde se registra la inversión. Además, esta metodología es correcta para medir el impacto que tuvo un evento, sin embargo, cuando se busca explicar los motivos del efecto, no se encuentra con una interpretación clara de los parámetros del modelo.
En un futuro este trabajo se podría desarrollar desagregado la información a una geografía más pequeña con la finalidad de estudiar con mayor precisión los efectos directos sobre las empresas extranjeras, las ciudades y el sector económico a donde la IED llegó y los efectos indirectos sobre las empresas locales, las ciudades vecinas y otros sectores económicos. Además, el ejercicio también puede desagregar el efecto en el empleo por nivel salarial, ya que la literatura señala que los efectos se observan sobre todo en los trabajadores más calificados. Asimismo, el ejercicio se podría robustecer incluyendo otras variables de control como las exportaciones o aplicando una metodología que permita desagregar de manera espacial a la IFB.














