Introducción
El nardo es una planta ornamental originaria de México (Trueblood, 1973), que fue dispersada alrededor del mundo en el siglo XVI (Barba et al.., 2012). En México y Cuba, actualmente se utiliza mayoritariamente como flor de corte para adornar diferentes eventos sociales, en arreglos florales y apreciada por su peculiar aroma (González, 2016). En la República Mexicana la mayor parte de la producción se concentra en los estados de Morelos, Oaxaca, Guerrero, Veracruz y Puebla donde se cultivan 306.15 hectáreas de esta especie y que generan 61.9 millones de pesos en ventas anualmente, en el estado de Morelos el nardo se ubica entre los principales cultivos de flores de corte (SIAP, 2020). En los sistemas de producción de nardo en Morelos, la variedad con flores sencillas se le llama ‘Mexicano’ y a las de flores dobles se le conoce como ‘Perla’ (Vázquez, 2004).
En poscosecha las flores de corte son colocados en agua, soluciones pulso o soluciones hidratantes para mantener por más tiempo su vida en florero. Las soluciones pulso de acondicionamiento se refieren a diferentes tratamientos postcosecha de saturación de los tejidos, en los que se aplican soluciones de azúcar, ácidos orgánicos, inhibidores de la síntesis o acción del etileno y/o bactericidas, inmediatamente después de la cosecha o después del almacenamiento en temperatura baja de flores o follajes de corte; el tratamiento de acondicionamiento es de corta duración alcanzando un máximo de 48 horas (Días et al.., 2005). Las soluciones hidratantes, por otra parte, mejoran el consumo de agua al disminuir drásticamente el pH (entre 3 y 3.5) y trabajan mejor sin adicionarle azúcares (Maree y Van-Wyk, 2010).
Diversos investigadores indican que la aplicación de soluciones pulso de 10 ó 20 % de sacarosa (Sac) por 6 a 24 h, incrementan la vida poscosecha de las espigas de nardo (Pérez et al.., 2019) debido a que la sacarosa ayuda a mantener el balance hídrico y ayuda a mantener la integridad de la membrana plasmática y de la mitocondria (Hutchinson et al.., 2003). La aplicación de soluciones hidratantes con ácido gibérelico (AG3: 40 mg L-1) por 24 h retrasa la senescencia de flores e incrementa la vida poscosecha de nardo (Abbasi y Hassanpour, 2011). La benciladenina (BA; 10-50 mM) combinada con solución pulso de 20 % de sacarosa incrementó la vida útil de flores de nardo (Uthairatanakij et al.., 2007). El ácido cítrico (AC), se utiliza ampliamente en soluciones preservadoras, debido a que mejora el balance y reduce la obstrucción del tallo, al disminuir el pH disminuye el crecimiento de bacterias (Arief, 2016). El ácido amino-oxiacético (AOA) se adiciona como un inhibidor de la síntesis de etileno (Arief, 2016).
El objetivo del presente trabajo fue determinar respuestas físicas, químicas y fisiológicas de variedades de nardo nativas mexicanas: ‘Mexicano’ y ‘Perla’ en poscosecha, previa aplicación de soluciones hidratantes conteniendo AC, AG3, BA o AOA; esta información puede ser utilizada para posteriormente ofrecer alternativas para incrementar la vida útil en esta especie nativa de México.
Materiales y métodos
Se cosecharon aproximadamente 300 espigas de cada una de las variedades ‘Mexicano’ y ‘Perla’ a las 8:00 a.m. en una huerta comercial de nardo en Cuahuchichinola, Mazatepec, Morelos, México (18°38’54’’, 99°22’’56’, 996 m) y se trasladaron en seco al laboratorio de Producción Agrícola de la Facultad de Ciencias Agropecuarias en la Universidad Autónoma del Estado de Morelos donde se seleccionaron espigas que no presentaran daños mecánicos visibles. La variedad ‘Mexicano’ tuvo en promedio 5 flores basales abiertas, en tanto que la variedad ‘Perla’ tenían aproximadamente 1 flor basal abierta. Las espigas fueron recortadas a 80 cm y se formaron seis lotes con 50 inflorescencias para cada tratamiento (Tabla 1). Se realizaron experimentos individuales en cada variedad de nardo.
Tabla 1 Soluciones hidratantes evaluadas en nardo ‘Mexicano’ y ‘Perla’.
Table 1. Hydrating solutions tested in ‘Mexicano’ and
‘Perla’ tuberose.
| Tratamiento | Tiempo (h) | Sacarosa (%) | AG3 (mg L-1) | BA (mg L-1) | AOA (mM) | HQC (mg L-1) | Ácido cítrico (٪) |
| I | 12 | 0 | 0 | 0 | 0 | 0 | 4 |
| II | 12 | 0 | 20 | 0 | 0 | 200 | 0 |
| III | 12 | 10 | 0 | 25 | 0 | 0 | 0 |
| IV | 12 | 2 | 0 | 0 | 0 | 200 | 4 |
| V | 12 | 0 | 20 | 10 | 5 | 0 | 0 |
| Control (VI) | 0 | 0 | 0 | 0 | 0 | 0 | 0 |
AG3: Ácido giberélico; BA: Benciladenina; AOA: Ácido amino-oxiacético; HQC: 8- citrato de hidroxiquinoleína.
AG3: Gibberelic acid; BA (Benzyladenine), AOA: Aminooxyacetic acid; HQC: 8-hydroxyquinoline citrate.
Los tratamientos consistieron en colocar los 50 tallos de cada tratamiento en soluciones hidratantes que contenían diferentes concentraciones de Sac, AG3, BA, AOA, HQC y AC durante 12 h (Cuadro 1). Adicionalmente se utilizó un grupo de 50 espigas de nardo como testigo las cuales se mantuvieron en agua destilada (Cuadro 1). Posteriormente se colocaron en probetas de vidrio de 1000 mL para evaluar su vida poscosecha algunas variables físicas, químicas y fisiológicas. En cada cultivar se utilizaron ocho tallos para medir variables no destructivas y seis tallos para variables destructivas efectuándose las mediciones cada dos días. El diseño experimental fue completamente al azar.
El número de flores abiertas y senescentes acumuladas se determinaron a partir del día en que las espigas fueron colocadas en probetas, el conteo se realizó de la parte basal hasta el ápice. El consumo de agua se determinó cada dos días, para esto se colocaron individualmente espigas de nardo en probetas de 1000 mL, donde se adicionó un volumen conocido de agua corriente de la llave. Después de evaluar el consumo de agua se realizó un cambio de agua. El peso fresco relativo se calculó al medir el peso de la espiga cada dos días y hasta que se consideró terminada su vida en florero, es decir cuando 50 % de las flores de la espiga estaban marchitas; el peso inicial de la espiga se determinó como el 100 %. La apariencia se evaluó con ayuda de una escala hedónica donde 5 fue excelente: las espigas tenían todas las flores turgentes y sin presencia de daños mecánicos visibles, 4 buena: la espigas presentaban un par de flores basales con inicios de marchitez y sin daños mecánicos, 3 regular: las flores basales presentaban marchitez y se observaban daños mecánicos en otras flores, 2 mala: más de dos pares de flores basales marchitas y más síntomas de daño mecánico y 1 se consideró senescente: cuando 50 % de las flores de la espiga presentaban marchitez y mayores síntomas de daños mecánicos. Los parámetros de color luminosidad (L*), ángulo matiz (h= arctan-1 b*/a*) y cromaticidad (C*= (a2 + b2)1/2) fueron evaluados en cuatro flores por espiga con un espectrofotómetro manual (X-Rite 3290®, USA) (Neguerula, 2012).
La respiración se cuantificó mediante un sistema estático (Pérez et al.., 2015). Los azúcares totales se determinaron por la metodología de Antrona (Whitam et al.., 1971). La determinación de la actividad enzimática de peroxidasa (EC 1.11.1.7; POD), catalasa (EC 1.11.1.6; CAT) y superóxido dismutasa (EC. 1.15.1.1; SOD) se realizó a partir de polvo de acetona, el cual se preparó al homogenizar pétalos frescos y se molieron con acetona fría (4 °C) en un Ultraturrax (IKA®, EUA) y el homogenizado se filtraba al vacío en un embudo Buchner, el residuo vegetal que se retenía en el papel filtro se utilizó para determinar la actividad enzimática. La extracción y cuantificación POD y CAT se determinó como lo indica Pérez et al.. (2014) y de SOD como lo indican Beyer y Fridovich (1987). La actividad de las enzimas se reporta por mg de proteína, por lo que la determinación de proteína soluble fue necesaria y se realizó con el método de Bradford (1976) . Estas variables fueron destructivas y se evaluaron en seis espigas, cado dos días después de aplicar las soluciones hidratantes.
Los datos fueron sometidos a un análisis de varianza y comparación de medias de acuerdo con la prueba de Tukey con un 5% de probabilidad. Se utilizó el paquete estadístico SAS para los análisis de datos utilizando los comandos GLM, MEANS y CORR (Castillo, 2011).
Resultados
‘Mexicano’
El peso fresco relativo se incrementó significativamente al tercer día de evaluación, en las espigas donde se aplicó solución hidratante con AC, AC + Sac + HQC y BA + AG3 + AOA se incrementó entre 5 y 8 %, mientras que el resto de los tratamientos entre 1 y 3 % (Figura 1A). Entre el tercer y séptimo día, el peso fresco relativo disminuyó constantemente hasta valores cercanos al inicio del experimento, a excepción de las espigas hidratadas con AC, quienes mantuvieron un incremento de 2.0 % (Figura 1A). El consumo de agua mayor se determinó al quinto día, donde las espigas pulsadas con AC, AC + Sac + HQC y BA + Sac absorbieron entre 18 y 20 mL espiga-1, el resto de los tratamientos absorbieron significativamente menos agua, entre 12 y 14 mL espiga-1 (Figura 1B). Posteriormente el consumo de agua disminuyó significativamente en todos los tratamientos a 7 y 10 mL espiga-1 (Figura 1B).

Figura 1 Comportamiento de relaciones hídricas y calidad en inflorescencias nardo: ‘Mexicano’
con diferentes soluciones hidratantes durante poscosecha. Cada punto
representa la media de ocho observaciones y su error estándar. ns,
*, ** y ***: no significativo, significativo al 0.05, 0.01 y <0.0001.
Figure 1. Behavior of some parameters of water
relations and quality in Polianthes spikes: ‘Mexicano’ with
different hydrating solutions during postharvest. Each point
represents the mean of eight observations and standar error. ns, *,
** and ***: not significant, significant at 0.05, 0.01 and <
0.0001.
La apariencia de las espigas de nardo fue buena durante cinco días cuando se hidrataron con AC o BA + Sac, después de siete días, solo las espigas pulsadas con AC mantuvieron una apariencia cercana a buena (Figura 1C). Las espigas testigo alcanzaron una calidad regular al quinto día de evaluación (Figura 1C).
Al inicio del experimento las espigas de nardo en todos los tratamientos tuvieron en promedio 5.4 flores abiertas, alcanzado hasta 24.6 flores en promedio abiertas en las espigas hidratadas con BA + Sac después de siete días; y entre 18.1 y 19.6 flores abiertas en las espigas donde se aplicó la solución hidratante con AC o BA + AG3 + AOA (Figura 1D). Las espigas hidratadas con AG3 + HQC ó AC + Sac +HQC, y testigo alcanzaron a abrir entre 15 y 16 flores por espiga al quinto día de evaluación (Figura 1D). No se observaron diferencias significativas entre tratamientos en el número de flores senescentes (Figura 1E). Así al quinto día de evaluación se tenían entre 8 y 10 flores senescentes, y en séptimo días hasta 16 y 19 flores senescentes en las espigas pulsadas con AC, BA + Sac, y BA + AG3 + AOA (Figura 1E).
En los parámetros de color, la luminosidad fue el único parámetro donde se determinaron diferencias entre los tratamientos evaluados, en general la luminosidad disminuyó en todos los tratamientos de valores entre L*= 43 y L*= 54 a valores entre L*= 17.5 y L*= 22.1 después de siete días (Figura 1 F). Las espigas hidratadas con AC mostraron significativamente menor velocidad en la disminución de la luminosidad (Figura 1F). La cromaticidad mostró poco cambio durante la poscosecha y no se detectaron diferencias entre tratamientos, a excepción del último día de evaluación donde las espigas hidratadas con BA + AG3 + HQC fueron menos opacas (Figura 1G). El matiz se incrementó durante el periodo de evaluación, sin observarse diferencias significativas entre tratamientos (Figura 1H).
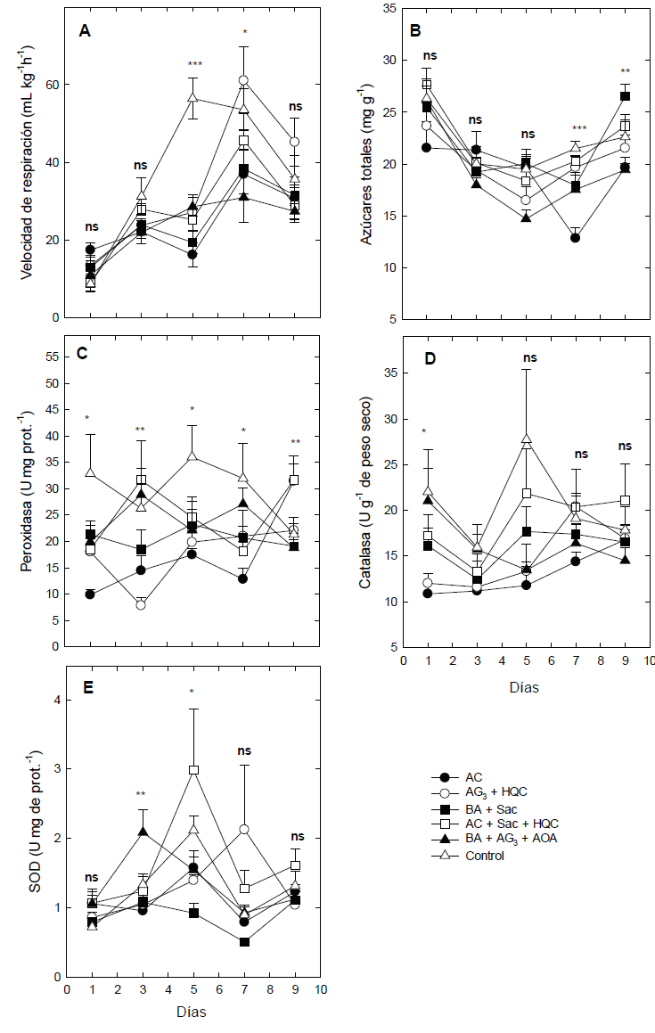
La velocidad de respiración fue significativamente mayor al quinto día de evaluación en las espigas hidratadas con BA + Sac y testigo (Figura 2A). Las espigas hidratadas con AC mostraron significativamente la menor respiración durante el periodo de evaluación (Figura 2A). Los azúcares totales en las flores de las espigas tratadas con AC, fueron bajos durante todo el periodo de senescencia, entre 18 y 24 mg g-1 de peso fresco (Figura 2B). Las espigas testigo e hidratadas con BA + AG3 + AOA, AC+ Sac +HQC disminuyeron la concentración de azúcares de entre 31.8 y 39.5 mg g-1 de peso fresco al inicio del experimento hasta entre 20.5 y 26.9 mg g-1 de peso fresco después de 5 ó 7 días (Figura 2B). Los tratamientos donde se mantuvo la concentración de azúcares totales entre 27.5 y 31.9 mg g-1 de peso fresco en las espigas fue aquellas donde se aplicó BA + Sac y testigo (Figura 2B).

Figura 2 Comportamiento de algunas variables fisiológicas y bioquímicas en inflorescencias de
nardo: ‘Mexicano’ con diferentes soluciones hidratantes durante
poscosecha. Cada punto representa la media de seis observaciones y
su error estándar. ns, *, ** y ***: no significativo, significativo
al 0.05, 0.01 y <0.0001.
Figure 2. Behavior of some physiological and
biochemical parameters in Polianthes spikes: ‘Mexicano’ with
different hydrating solutions during postharvest. Each point
represent the mean of six observations and standar error. ns, *, **
y ***: not significant, significant at 0.05, 0.01 and
<0.0001.
La actividad específica de POD fue significativamente mayor al inicio del experimento (entre 42.7 y 61.7 U mg prot.-1) en las espigas tratadas con BA + Sac, AC y AG3 + HQC (Figura 2C). No así, en las espigas testigo y las hidratadas con BA + AG3 + AOA y AC + Sac + HQC donde la actividad especifica se mantuvo entre 21.8 y 31.9 U g-1 mg prot.-1 (Figura 2C). En los días posteriores la actividad especifica de POD fue similar en todos los tratamientos manteniendo la tendencia a disminuir conforme avanzo la senescencia (Figura 2C). La actividad de CAT fue significativamente mayor al inicio del experimento en las espigas hidratadas con BA + Sac, AG3 + HQC y AC, entre 25.38 y 27.6 U g-1 de p.f, comparado con las espigas control, AC + Sac + HQC y BA + AG3 + AOA (Figura 2D). Posteriormente la actividad de CAT fue similar en todos los tratamientos, entre 7.2 y 14.9 U g-1 de p.f, manteniendo una actividad constante durante la evaluación (Figura 2D). La actividad de SOD fue significativamente mayor en las espigas hidratadas con BA + AG3 + AOA durante cinco días, similares tendencias mostraron las espigas testigo (Figura 2E). El resto de los tratamientos mostro de baja a mediana actividad durante los primeros cinco días, a excepción de las espigas hidratadas con BA + Sac quienes alcanzaron su máxima actividad en ese muestreo (Figura 2E). Las espigas hidratadas con AC mostraron su mayor actividad en el séptimo día de muestreo (Figura 2E ).
‘Perla’
El peso fresco relativo se incrementó posterior a la aplicación de los tratamientos evaluados, así en el séptimo día las espigas colocadas en solución hidratante de AC, AC + Sac + HQC alcanzaron un máximo de entre 22 y 23 % con respecto a los valores iniciales (Figura 3A), las espigas tratadas con BA + AG3 + AOA alcanzaron un máximo de 21 % después de cinco días (Figura 3A), finalmente las espigas testigo o tratadas con BA + Sac alcanzaron un máximo de entre 12 y 14 % después de siete días (Figura 3A). A pesar de estas diferencias numéricas el análisis de varianza no detectó diferencias significativas (Figura 3A). El máximo consumo de agua fue significativamente mayor al tercer día de evaluación en las espigas donde se aplicaron las soluciones hidratantes conteniendo AC, BA, AG3, Sac o AOA, entre 13.6 y 16.5 mL; no así en las espigas control donde el consumo no superó los 9.2 mL (Figura 3B). En los días posteriores de evaluación, entre 5 y 9 días, las espigas tratadas con BA + Sac mantuvieron un consumo mayor de agua entre 9 y 10 mL (Figura 3B).

Figura 3 Comportamiento de las relaciones hídricas y calidad en inflorescencias de nardo:
‘Perla’ con diferentes soluciones hidratantes durante poscosecha.
Cada punto representa la media de ocho observaciones y su error
estándar. ns, *, ** y ***: no significativo, significativo al 0.05,
0.01 y <0.0001.
Figure 3. Behavior some variables of water relations
and quality of tuberose spikes: ‘Perla’ with different hydrating
solutions during postharvest. Each point represents the mean of
eight observations and standar error. ns, *, ** and ***: not
significant, significant at 0.05, 0.01 and <0.0001.
La apariencia fue buena al séptimo día de evaluación en las espigas donde se aplicó solución hidratante con AC, BA, AG3, Sac o AOA, mientras que las espigas testigo su calidad fue regular (Figura 3C)
Las espigas testigo abrieron 4.3 flores en promedio durante los nueve días, en tanto que las espigas colocadas en BA + AG3 + AOA ó BA + Sac, abrieron significativamente más flores, en promedio 15.6 flores; y las espigas pulsadas con AC, AC + Sac + HQC ó AG3 + HQC abrieron entre 8.6 y 11.4 flores (Figura 3D). El número de flores senescentes en las espigas donde se aplicó solución hidratante fue entre 7.6 y 10; mientras en las espigas testigo alcanzaron la senescencia en promedio 4.5; sin embargo, no se determinaron diferencias significativas (Figura 3E).
La luminosidad de las flores de nardo disminuyó durante la poscosecha de entre L* =27 y L* = 33.3 al inicio del experimento a entre L* = 15.8 y L* = 19.4, después de nueve días (Figura 3F). Las espigas hidratadas con AG3 + HQC ó AC mantuvieron por más tiempo los valores de L* (Figura 3F). La cromaticidad disminuyó drásticamente del inicio al tercer día, posteriormente la cromaticidad mostró un incremento significativo y las espigas tratadas con AC mantuvieron el color más vivido (Figura 3G). Finalmente, el matiz se incrementó durante poscosecha de valores entre h = 90 al inicio del experimento hasta h=96 en las espigas testigo (Figura 3H). El resto de los tratamientos mostró un comportamiento similar y no se detectaron diferencias entre tratamientos (Figura 3H).
La respiración de las espigas de nardo se incrementó en poscosecha en todos los tratamientos evaluados (Figura 4A). Las espigas testigo alcanzaron los valores máximos después de cinco días, mientras que en el resto de los tratamientos se alcanzó su máxima producción después de siete días (Figura 4A). Las espigas hidratadas con AG3 + HQC y testigo mostraron significativamente la mayor velocidad de respiración, y las espigas pulsadas con BA + AG3 + AOA, BA + Sac ó AC tuvieron la menor velocidad de respiración (Figura 4A). Los azúcares totales en las flores de nardo perla disminuyeron durante la poscosecha, durante los primeros cinco días no se determinaron diferencias significativas entre los tratamientos y el control; en los días posteriores, las espigas donde se aplicó AC tuvieron los valores menores de azúcares totales (Figura 4B).

Figura 4 Comportamiento de algunas variables fisiológicas y bioquímicas en inflorescencias de
nardo: ‘Perla’ con diferentes soluciones hidratantes durante
poscosecha. Cada punto representa la media de seis observaciones y
su error estándar. ns, *, ** y ***: no significativo, significativo
al 0.05, 0.01 y <0.0001.
Figure 4. Behavior of some physiological and
biochemical variables Polianthes spikes: ‘Perla’ with different
hydrating solutions during postharvest. Each point represents the
mean of six observations and standar error. ns, *, ** y ***: not
significant, significant at 0.05, 0.01 and <0.0001.
Las espigas testigo mostraron la mayor actividad de peroxidasa durante el periodo de evaluación (Figura 4C). En tanto que las espigas hidratadas con AC, AG3 + HQC y BA + Sac tuvieron menor actividad y constante durante el periodo de evaluación (Figura 4C ). La actividad de catalasa en las espigas de nardo ‘Perla’ un día después de aplicar la solución pulso mostró un gradiente: control, BA + AG3 + AOA> BA +Sac y AC + Sac + HQC > AC y AG3 + HQC, posteriormente a pesar de no detectarse diferencias entre tratamientos las espigas hidratadas con AC tuvieron la menor actividad con un ligero incremento al final de las evaluaciones (Figura 4D). La actividad de SOD tuvo máximos de actividad durante el periodo de evaluación; así las espigas hidratadas con BA + AG3 + AOA alcanzaron su máxima actividad después de tres días, en tanto que las espigas control, AC, AC + Sac + HQC alcanzaron su mayor actividad después de cinco días, y las espigas hidratadas con AG3 + HQC alcanzaron la máxima actividad después de siete días, y notablemente las espigas hidratadas con BA + sacarosa, no mostraron ningún máximo (Figura 4E).
Discusión
Reid (2009) indica que una vida larga en las flores de corte depende de forma casi absoluta de un constante suministro de agua, si esta se interrumpe se presenta un marchitamiento rápido de los pétalos y hojas. En el presente experimento la aplicación de solución hidratante conteniendo AC ó BA + Sac ó HQC incrementó el consumo de agua y el peso fresco relativo en ambas variedades (Figuras 1A, B y 2A, B). Choudhury y Barooah (2011) sugieren que el ácido cítrico ayuda a disminuir el crecimiento bacterial y previene el bloqueo vascular, por lo que ayuda a incrementar la vida en florero y mejora la turgencia de las espigas de nardo. Wawrzyncza y Goszczynska (2003) indican que la aplicación de BA en flores de corte mejora el consumo de agua. Longo et al.. (1978) indican que la BA favorece el consumo de agua en cotiledones de melón, al incrementar los solutos y la plasticidad de la pared celular.
La apariencia buena (entre 5 y 7 días) y el mayor número de flores abiertas en ambas variedades al aplicar las soluciones hidratantes con BA + Sac ó BA + AG3 + AOA, son consecuencia de una mejor hidratación; en específico la apariencia mostró cierta asociación positiva y significativa con el consumo de agua r= 0.60***- 0.43***. Hutchinson et al.. (2003) y Uthairatanakij et al.. (2007) e indican que la aplicación de BA en dosis de 25 mg L-1 o entre 10 y 20 mM en nardo, mejoran la apertura de flores en nardo debido a un mejor balance hídrico y un efecto protector de las citocininas en la turgencia celular probablemente asociado a una disminución de salida de iones. Pérez et al.. (2015) reportan una apariencia regular después de 5 días en flores de nardo ‘Perla’, en el presente trabajo las soluciones hidratantes evaluadas alcanzaron buena apariencia hasta por siete días.
La luminosidad y la cromaticidad fueron los parámetros de color que mostraron diferencias entre tratamientos, por lo que se pueden considerar como variables para posteriormente determinar el efecto de tratamientos en la calidad de nardo. En ambas variedades la luminosidad y cromaticidad mostraron cierta asociación positiva significativa con la apariencia, r = 0.47 ***- 0.67*** en ‘Mexicano’ y r= 0.20***- 0.63*** en ´Perla’. Las espigas donde se aplicó AC mantuvieron el color con mayor tendencia al blanco y menos opaco en ambas variedades; como se ha mencionado anteriormente una mejor hidratación en las flores donde se aplicó AC ayuda a mantener estos parámetros de color de la luminosidad y cromaticidad.
La respiración puede utilizarse como un índice excelente para predecir la duración en florero en las flores de corte, ya que, si hay una velocidad de respiración alta, la disminución en calidad del producto será más rápida (Finger et al.., 2016). Los resultados indican que las soluciones hidratantes retrasaron la aparición del pico climatérico en dos días en ‘Mexicano’ y que el pulsado con BA + AG3 + AOA o el AC reducen la velocidad de respiración en ambas variedades. Wawrzynczak y Goszcznska (2003) indican que la aplicación de citocininas en flores de corte reduce la velocidad de respiración. Sin embargo, no se reporta el mecanismo de acción donde la BA o el AC reduzcan la velocidad de respiración. Aspecto, interesante es que las espigas que fueron hidratadas con AC, los azúcares totales se mantuvieron en los niveles menores y las espigas tratadas con BA + Sac, mostraron una mayor concentración de azúcares totales (Figura 2B y 4 B). Lo anterior sugiere que en las espigas donde se aplicó AC, probablemente fue el sustrato utilizado para respiración y en el caso de las espigas donde se aplicó BA + Sac, el azúcar adicionado mantuvo por más tiempo los niveles de carbohidratos solubles en los pétalos. Es necesario en posteriores trabajos determinar los cambios de los azúcares en los pétalos y su traslocación con otros órganos de la planta, así como la relación con la velocidad de respiración.
Durante la senescencia de flores como Gladiolus, Hemerocallis y Chrysanthemum se han reportado altos niveles de radicales libres y H2O2 en los pétalos; y se indica que contribuyen en acelerar los procesos de senescencia (Ahmad y Tahir, 2016). Las enzimas SOD, CAT y POD están involucradas en el atrapamiento de radicales libres de las plantas (Gutiérrez-Martínez et al.., 2020). En el presente experimento en las espigas de ‘Mexicano’ la actividad específica de CAT y POD fueron altas al inicio del experimento y posteriormente disminuyeron drásticamente, en tanto que en ‘Perla’ la actividad específica de CAT y POD alcanzaron máximos días después de aplicar las soluciones hidratantes (Figura 4 C y D), esto se atribuye a que las flores de ‘Mexicano’ estaban en una etapa más avanzada de apertura floral que ‘Perla. En general, las espigas hidratadas con AC y BA mantuvieron la menor actividad en ‘Perla’, lo que sugiere que CAT y POD se mantuvieron en niveles bajos ya que los radicales libres no estaban en niveles que indujeran al estrés oxidativo. González-Fuentes et al.. (2020) sugieren que el incremento en el contenido de H2O2 ocasiona una mayor síntesis de la enzima CAT para evitar el daño oxidativo.
Finalmente, la actividad de SOD en las espigas de ‘Mexicano’ y ‘Perla’ alcanzaron máximos de actividad; donde las espigas control mantuvieron los valores mayores y las espigas donde se aplicó la solución hidratante conteniendo AC ó BA mantuvieron los valores menores. En flores de corte, se reporta que la actividad específica de SOD disminuye constantemente en los pétalos, perdiendo la capacidad de defensa con radicales libres y se incrementan la degradación de membranas en los tejidos florales y eventualmente ocasiona el marchitamiento (Bailly et al.., 2001). En Phaseolus vulgaris el estrés por cadmio inhibe la actividad de SOD atribuido a un incremento en H2O2 (Gutiérrez-Martínez et al.., 2020). Singh et al.. (2008) mencionan que varios autores han reportado que la BA incrementa la vida poscosecha de las flores al mejorar la estabilidad de la membrana, retrasar la peroxidación de lípidos de membrana y disminución de la fuga de iones; sin embargo, actualmente no se conocen los mecanismos de acción. No se tienen reportes de los efectos de AC sobre los procesos enzimáticos en senescencia, por lo que en trabajos posteriores es importante abordarlos con mayor profundidad.
Conclusiones
Las soluciones hidratantes conteniendo ácido cítrico (4 %) o benciladenina + Sac (25 mg L-1 + 10 %) favorecen los procesos físicos de consumo de agua, apariencia y componentes del color; fisiológicos como una mejor menor velocidad de respiración y bioquímicos con menor actividad de las enzimas antioxidativas de CAT, POD y SOD, por lo que pueden ser utilizados para incrementar la vida útil de nardo ‘Mexicano’ y ‘Perla’.










nueva página del texto (beta)


