SciELO - Scientific Electronic Library Online

 
vol.27 número especialAlmacenamiento de carbono aéreo en un bosque templado de Oaxaca: manejo de alta y baja intensidadEquivalencia entre modelos alométricos y alometría pantropical flexible índice de autoresíndice de materiabúsqueda de artículos
Home Pagelista alfabética de revistas  

Servicios Personalizados

Revista

Articulo

Indicadores

Links relacionados

  • No hay artículos similaresSimilares en SciELO

Compartir


Madera y bosques

versión On-line ISSN 2448-7597versión impresa ISSN 1405-0471

Madera bosques vol.27 no.spe Xalapa  2021  Epub 21-Feb-2022

https://doi.org/10.21829/myb.2021.2742442 

Artículos científicos

Alometría generalizada para la estimación de la biomasa aérea total de plantas leñosas: marco teórico general y aplicaciones

Generalized allometry for the estimation of total aerial biomass of woody plants: Theoretical general framework and its applications

Fernando Paz Pellat1  * 

Alma Velázquez Rodríguez2 

Cristóbal Sánchez Sánchez3 

Víctor Salas Aguilar4 

Jorge Méndez González5 

Miguel Acosta Mireles6 

Juan Abel Nájera Luna7 

1GRENASER, Colegio de Postgraduados. Campus Montecillo. Montecillo, Estado de México, México.

2Universidad Autónoma del Estado de México. Campus El Cerrillo. Facultad de Ciencias. Toluca, Estado de México, México.

3Colegio de Postgraduados. Campus Montecillo. Postgrado en Ciencias Forestales. Montecillo, Estado de México, México.

4Universidad Autónoma de Ciudad Juárez. Geoinformática. Cuauhtémoc, Chihuahua, México.

5Universidad Autónoma Agraria Antonio Narro. Departamento Forestal, Saltillo, Coahuila, México

6Instituto Nacional de Investigaciones Forestales, Agrícolas y Pecuarias. Campo Experimental Valle de México. Texcoco, Estado de México, México.

7Instituto Tecnológico de El Salto. División de Estudios de Posgrado e Investigación. Durango, Durango, México.


Resumen

La cuantificación de la biomasa aérea y carbono total es importante en el contexto de los mercados del carbono y la productividad forestal, por lo que es necesario el desarrollo de métodos cuantitativos costo-efectivos que reduzcan la incertidumbre en sus estimaciones. El uso de ecuaciones alométricas entre la biomasa aérea total y volumen del fuste o total y entre el diámetro normal y la altura total es práctica común en la evaluación de recursos forestales, donde se usan modelos específicos y generalizados, con diferentes niveles de incertidumbre. En la literatura se han propuesto diversas metodologías para simplificar el uso de tales relaciones alométricas, sugiriendo algunas con bases correctas, pero sin explorar sus implicaciones y matemáticas asociadas. En este trabajo se presenta un marco teórico general de las relaciones entre constantes y exponentes, así como entre exponentes, de ciertas ecuaciones alométricas, usando bases matemáticas relativamente simples. Seguido del desarrollo del marco teórico, se usa una base de parámetros de relaciones alométricas y un conjunto de bases de datos de mediciones de campo. Con lo anterior se obtiene, como resultado las estimaciones que son comparables a las ecuaciones alométricas clásicas, pero con el uso de solo la relación altura total-diámetro normal. Se exploran las consecuencias de la propuesta teórica y se generan recomendaciones para cambiar el paradigma en los desarrollos alométricos tradicionales para plantas leñosas.

Palabras clave: carbono; estimaciones locales y generalizadas; relación entre constantes y exponentes; unidades de medida

Abstract

Estimates of total aerial biomass and carbon are important in relation to carbon markets and forest productivity, so it is important to develop cost-effective methods that reduce the uncertainty in the estimates. The use of allometric equations between total aerial biomass, and trunk or total volume, and normal diameter and total height is common practice in forest inventories, with the use of specific and generalized models, with different levels of uncertainty. In the literature, various methodologies have been proposed to simplify the use of allometric relationships, with some proposals with correct bases, but without exploring their implications and understanding the associated mathematics. In this paper a general theoretical framework of the relations between the exponents and constants and, between exponents of the allometric equations is presented, using as a base simple mathematics. The theoretical framework is applied to a base of parameters of allometric relationships and a set of data bases of field measurements, resulting in estimations comparable to the classic allometric equations, but only with the use of the relationship between total height and normal diameter. The theoretical proposal is explored in its consequences, generating recommendations for a paradigm shift in the allometric developments for woody plants.

Keywords: carbon; local and generalized estimations; relations among constants and exponents; measurement units

Introducción

La estimación de la biomasa aérea de los árboles (especies leñosas) es necesaria para evaluar el contenido de carbono aéreo y su dinámica (Brown, 1997; Peterson et al., 2012); además, es crítica para el entendimiento de los ciclos de nutrimentos en la productividad forestal (Hughes, Kauffman y Jaramillo, 1999; Augusto, Ranger, Ponette y Rapp, 2000). Debido a lo anterior, es importante desarrollar métodos costo-efectivos que permitan aprovechar íntegramente la información de los inventarios forestales entre otros esquemas de muestreo.

Con relación a los mercados de carbono, para el mecanismo REDD (Reducción de emisiones por deforestación y degradación forestal evitada), la evaluación de la incertidumbre de los almacenes y flujos de carbono es un factor crítico, sin el cual su implementación no es posible (Nickless, Scholes y Archibald, 2011; Pelletier, Kirby y Potvin, 2010). Los errores de estimación de la biomasa o carbono en los inventarios forestales y otros tipos de muestreo son, principalmente, función de errores de muestreo, de medición, de selección del modelo de estimación, de estimación de los parámetros del modelo y de representatividad espacial (Parresol, 1999; Chave et al., 2004; Picard, Henry, Mortier, Trotta y Saint-Andre, 2012; Picard, Boyemba y Rossi, 2015a; Sileshi, 2014; Temesgen, Affleck, Poudel, Gray y Sessions, 2015). La incertidumbre asociada a la selección de un modelo matemático para estimar la biomasa y carbono de las plantas es la principal fuente de incertidumbre (Pelletier et al., 2010; Molto, Rossi y Blanc, 2013; Picard et al., 2015a).

La biomasa aérea de las plantas leñosas puede estimarse usando el concepto de alometría (Gayon, 2000) que establece relaciones del tipo Y = kXz (Huxley, 1924, 1932) entre la variable a estimar y la usada en forma indirecta para la estimación, que generalmente es más fácil de medir en campo. En el caso de la biomasa aérea, las variables que se usan para la estimación son el diámetro a la altura del pecho o diámetro normal (D) y la altura total (H) de las plantas, estableciéndose relaciones funcionales para evaluar la biomasa aérea (B) (Brown, Gillespie y Lugo, 1989; Chave et al., 2005; Vargas et al., 2017) en las que destacan las expresiones: (1) B = aDb; (2) B = p(D2H)q y (3) B= rDsHt. El argumento de la inclusión de la altura de las plantas en las ecuaciones alométricas es porque contribuye a la disminución de los errores de estimación (Feldpausch et al., 2012; Chave et al., 2005 y 2014), aunque otros autores argumentan que la mejora no es significativa (Molto et al., 2013; Paul et al., 2016). La relación entre la altura (H) y el diámetro normal (D) es generalmente del tipo potencial (Niklas, 1994; O´Brien, Hubell, Spiro, Condit y Foster, 1995; Feldpausch et al., 2011 y 2012; Hulschof, Swenson y Weiser, 2015): (4) H=mDn, aunque los modelos asintóticos se ajustan bien a la relación H-D (Thomas, 1996; Feldpausch et al., 2012; Hulschof et al., 2015), reflejando la condición de no crecimiento en H en árboles maduros, con D continuando en crecimiento.

Las ecuaciones alométricas generalmente se desarrollan para especies y lugares específicos, por lo que su uso fuera de este contexto conlleva alta incertidumbre (Jenkins, Chojnacky, Heath y Birdsey, 2003; Temesgen et al., 2015), dada la dependencia de los parámetros de las ecuaciones en el tipo de vegetación, clima, estructura de la población, arquitectura de las plantas, condición del sitio, ontogenia, entre otras (Nuno, Tomé, Tomé, Soares y Foster, 2007; Wutzler, With y Schumacher, 2008; Genet et al., 2011; Chave et al., 2014; Paul et al., 2016; Forrester et al., 2017). Para poder realizar inventarios de biomasa y carbono a escala regional o nacional se han realizado compendios de ecuaciones alométricas (Ter-Mikaelian y Korzukhin, 1997; Jenkins, Chojnacky, Heath y Birdsey, 2004; Lambert, Ung y Raulier, 2005; Henry et al., 2011; Návar, Ríos, Pérez, Rodríguez y Domínguez, 2013; Rojas-García, de Jong, Martínez y Paz, 2015) susceptibles de usarse en inventarios forestales. En lo general, el modelo de la ecuación B = aDb es el más usado en las compilaciones nacionales o regionales; aunque existen modelos más complejos que aparentemente fueron seleccionados por tener menores errores de estimación que el potencial. Por lo general, en la práctica de inventarios de biomasa y carbono se selecciona el modelo con menor error de estimación, para realizar las “mejores” estimaciones dada la especie y región de análisis; aunque la selección del “mejor” modelo depende de la métrica de incertidumbre usada: coeficiente de determinación, raíz del error cuadrático medio, error estándar de los residuales, entre otros (Goodman, Phillips y Baker, 2014; Picard et al., 2015a).

Una alternativa al uso de ecuaciones alométricas específicas es el uso de ecuaciones generalizadas (Brown et al., 1989; Chave et al., 2005 y 2014; Feldpausch et al., 2012) a nivel global o pantropical, que habitualmente son del tipo de la ecuación B = p(D2H) q. Estas ecuaciones han sido criticadas por no representar condiciones locales (van Breugel, Ransijn, Craven, Bongers y Hall, 2011; Ngomanda et al., 2013; Paul et al., 2016) y por generar errores mayores al uso de ecuaciones alométricas especificas locales. No obstante, algunos trabajos muestran que las ecuaciones generalizadas no dependen de condiciones locales (Chave et al., 2014), por lo que pueden dar estimaciones razonables (Case y Hall, 2008).

La ecuación alométrica Y = kXz tiene la propiedad de pasar por el origen (0, 0), lo que induce patrones de sesgo y mayor peso a valores pequeños cercanos al origen cuando no se cumple esta condición (Huxley, 1932; Zar, 1968; Pattyn y van Huele, 1998; Packard y Boardman, 2008). Por lo general, esta ecuación se ajusta a datos empíricos usando la transformación logarítmica ln (Y) = ln(k) + zln(X), pero induce sesgos al realizar la transformación inversa (Bakersville, 1972; Sprugel, 1983; Miller, 1984). La ecuación transformada logarítmicamente reduce la influencia de valores extremos (“outliers”) (Packard, 2009; Packard et al., 2011), por lo que se debe tener cuidado con las estimaciones y con los sesgos asociados a estos valores. El uso de la transformación logarítmica cambia el problema de estimación en un proceso no lineal (Packard, 2009), donde los ajustes estadísticos por mínimos cuadrados (minimización del error cuadrático de estimación) en el espacio aritmético y el logarítmico son procesos diferentes (Zar, 1968). Al usar el método de mínimos cuadrados ordinario, la transformación logarítmica junto con el requerimiento de que la ecuación alométrica pase por (0, 0) en el espacio aritmético, produce estimaciones donde los valores pequeños (cercanos al origen) tienen mayor peso que los valores altos (Zar, 1968; Packard y Boardman, 2008; Packard, 2009; Packard et al., 2011), lo que provoca un sesgo en la estimación del exponente z, rotación de la línea de ajuste (Packard y Boardman, 2008; Packard, Birchard y Board-man, 2011), particularmente cuando la variable X tiene errores de medición o muestreo (Warton, Wright, Falster y Westoby, 2006), produciendo buenos ajustes para los valores pequeños y malos para los valores altos.

La corrección de los sesgos estadísticos inducidos por la transformación inversa, aun cuando matemáticamente es correcta, siempre se aproxima bajo diferentes consideraciones e hipótesis (Finney, 1941; Bradu y Mundlak, 1970; Baskerville, 1972; Beauchamp y Olson, 1973; Duan, 1983; Snowdon, 1991; El-Shaarawi y Viveros, 1997; Shen y Zhu, 2008). La evaluación de los métodos de corrección de sesgos (Lee, 1982; Smith, 1993; Hui, Terblanche, Chown y McGeoch, 2010; Sheng y Zheng, 2011; Clifford, Cressie, England, Roxburgh y Paul, 2013) presenta información de buenos y malos resultados, lo que depende de las propiedades de los datos usados y su conformación a las hipótesis y consideraciones de los métodos evaluados. Para evitar el problema de corrección de sesgos se argumenta fuertemente que debe preferirse un proceso de regresión no lineal para el ajuste de la ecuación alométrica (Packard, 2017) sin el uso de la transformación logarítmica. El uso de técnicas de regresión no lineal es relativamente fácil de implementar (Motulsky y Ransnas, 1987).

Otra propuesta para generar ecuaciones alométricas generalizadas es a través del uso de los parámetros de los modelos de ajuste, como el modelo potencial B = aDb, de donde se extraen puntos (D, B) (uniformemente espaciados en relación con D, generalmente) para las especies a agrupar y así ajustar un modelo alométrico a los puntos generados (Pastor, Aber y Melillo, 1984). Este enfoque de construcción de ecuaciones alométricas generalizadas se ha utilizado en los Estados Unidos (Jenkins et al., 2003) y Europa (Muukkonen, 2007), pero el problema es que la ecuación generalizada representa valores promedio de las ecuaciones específicas, particularmente cuando las ecuaciones específicas se obtienen mediante la transformación logarítmica ln(B) = ln(a) + bln(D), la cual genera estimaciones sesgadas que requieren corrección. El uso de datos uniformemente espaciados de los modelos alométricos específicos es un procedimiento sesgado, ya que no considera que el modelo potencial (transformación logarítmica) da mayor peso a los valores pequeños que a los altos (Zar, 1968; Packard, 2009). La evidencia experimental (Cunia, 1987; Chave, Riéra y Dubois, 2001; Zianis, 2008) muestra que la varianza de B condicional a D varía con D, soportando la necesidad de usar esquemas de regresiones ponderadas por D (mayor peso para D grande) (Cunia, 1987). Lo ideal es utilizar los datos originales D y B para el ajuste, pero generalmente esta información no está disponible, sino solo métricas parciales del error de estimación (p.ej. el coeficiente de determinación), por lo que no es posible estimar los intervalos de confianza de los modelos. Un esquema posible es utilizar simulaciones condicionadas al coeficiente de determinación, para generar un punto (D, B) y ajustar la ecuación general a la nube de puntos multies-pecie o multisitio de muestreo generados (Wayson, Carillo y Birdsey, 2015).

Las diferencias en los resultados de las estimaciones cuando se usan ecuaciones alométricas generalizadas que incorporan H, en relación con el uso de ecuaciones locales, se atribuyen a las diferencias en la alometría entre H y D (Ngomanda et al., 2013), por lo que es importante considerar este factor en las estimaciones simplificadas y generalizadas.

El desarrollo de ecuaciones alométricas locales (en una zona o región particular) a través de métodos destructivos es un proceso intensivo en tiempo y recursos, por lo que su generalización se limita a la escala de interés (p.ej. regional o nacional). Para poder realizar estimaciones a escala local, en forma equivalente al desarrollo de ecuaciones alométricas locales usando métodos destructivos, es necesario replantear el problema de estimación usando relaciones que simplifiquen los requerimientos de información, manteniendo los niveles de incertidumbre de los enfoques convencionales (alometría local). En esta perspectiva, el análisis y comprensión de los patrones matemáticos asociados a la alometría permite generar conocimientos con una base sólida, para replantear el problema de estimación alométrico.

La interpretación de los parámetros k y z de la ecuación alométrica Y = kXz ha sido discutida desde hace tiempo (Lumer, 1939; Lumer, Anderson y Hersh, 1942; White y Gould, 1965), concluyéndose que el parámetro z está relacionado con el proceso en análisis, pero la constante k no tiene una interpretación biológica y su valor es dependiente de las unidades de medida utilizadas. Con relación a la constante k, Kaitaniemi (2008) ha argumentado que esta representa efectos ambientales, los cuales son enmascarados por el método de ajuste. La relación entre los parámetros a y b de la ecuación B = aDb ha sido analizada empíricamente usando un conjunto de ecuaciones alométricas para la misma especie (diferentes sitios de muestreo) o para un conjunto de especies diferentes para establecer una relación potencial a = Ab-B (Zianis y Mencuccini, 2004; Návar, 2009a,b y 2010a; Méndez, Turlan, Ríos y Nájera, 2012; Sileshi, 2014; Tjeuw, Mulia, Slingerland y van Noordwijk, 2015), donde A y B son constantes del ajuste estadístico. Adicionalmente se ha establecido una relación exponencial a=Aexp(-Bb) (Fehrmann y Kleinn, 2006; Zapata-Cuartas, Sierra y Alleman, 2012; Zhang et al., 2016), donde A y B son constantes del ajuste estadístico.

En el caso de la relación entre H y D, H=mDn, se han establecido también relaciones entre los parámetros m y n, pero con mayor variación (Djomo, Ibrahima, Saborowski y Gravenhorst, 2010; Lines, Zavala, Purves y Coomes, 2012; Zhang et al., 2016; Fayolle et al., 2016)

El establecimiento de una relación entre los parámetros de la ecuación B = aDb y H = mDn, permite simplificar el proceso de estimación, ya que solo se requiere un parámetro (constante o exponente) para estimar el otro. En el caso de los exponentes de las relaciones alométricas, Ketterings, Coe, van Noordwijk, Ambagau y Palm (2001) mostraron que para el caso de la relación B = uDvH, el uso de la ecuación H = mDn, ecuación (4), sustituida en esta, genera la relación b = v + n de su comparación con B = aDb, ecuación (1). Algo similar se estableció para el caso de la relación planteada por Schumacher y Hall (1933) V= gDhHj (Zianis y Mencuccini, 2004; Návar, 2010b), donde V es volumen, por lo que al sustituir H = mDn en esta ecuación se establece b = h + jn con relación a B = aDb. En el contexto de la teoría de escalamiento metabólico o modelo WBE (West, Brown y Enquist, 1999), Price, Enquist y Savage (2007), Návar (2010b) y Zhang et al. (2016) establecieron las relaciones entre los exponentes (b, d y n) de B = aDb, B = cHd y H = mDn, permitiendo estimar el exponente b o d con el conocimiento del exponente n, el cual puede estimarse en forma rutinaria de los datos de inventarios forestales que tomen mediciones de D y H.

El uso conjunto de las relaciones entre los parámetros de las relaciones alométricas, ecuaciones (1) a (4), además de las relaciones entre sus exponentes, permite simplificar el problema de estimación a requerimientos de información mínimos. Este enfoque se ha utilizado en forma empírica por Zianis y Mencuccini (2004) y Zianis (2008), obteniendo resultados relativamente aceptables. Algo similar realizaron Zhang et al. (2016), con buenos resultados. No obstante estos antecedentes de modelos conceptuales (teóricos y empíricos), el marco teórico general no se ha explorado para explicar los resultados o sus alcances y limitaciones, para poder extenderlo más allá de hipótesis o modelos subyacentes; con la excepción de Návar (2010b) que planteó el enfoque en términos de la reducción de la dimensionalidad del problema.

Objetivos

En este trabajo se presenta un marco teórico generalizado (“relaciones de relaciones”; Gavrikov, 2017) para el establecimiento de las relaciones entre los parámetros (constantes y exponentes) de las relaciones alométricas, así como entre los exponentes, sin considerar hipótesis alguna. Los desarrollos se ejemplifican con evidencia experimental de un conjunto de bases de datos de mediciones de biomasa, altura y diámetro (basal y normal) de diferentes especies y de diferentes sitios de muestreo de una misma especie, así como compilaciones de parámetros de modelos alométricos ajustados.

Materiales y métodos

Relación entre constantes y exponentes de ecuaciones alométricas relacionadas

Para la comprensión de las relaciones alométricas es necesaria una breve introducción a los conceptos forestales de estimación del material leñoso aéreo (tronco y ramas, considerando la corteza) de un árbol, tales como su volumen (VL) en metros cúbicos y biomasa (BL) en kilogramos, los cuales pueden relacionarse como (Schumacher y Hall, 1933; Cannell, 1984):

BL=ρVL  (1)

donde ρ medida (kg m-3) es la densidad del material leñoso, supuesta igual para el fuste y ramas.

El volumen del tronco o fuste (VF), en metros cúbicos y supuesto como de forma cilíndrica, se aproxima como (Cannell, 1984)

VF=CMABH=CMπ4D2H=avfD2H (2)

AB=πD24 (3)

donde a vf es una constante que integra los factores definidos en la ecuación (2), AB es el área basal (m2) suponiendo una forma cilíndrica del fuste, D (m) es el diámetro normal medido (altura de medición a 1.3 m), H la altura total medida (m) y CM un coeficiente mórfico en relación con un cilindro que típicamente está entre 0.4 y 0.6 (Dawkins, 1961; Cannell, 1984).

La biomasa total aérea (B, en kg) de un árbol puede establecerse como:

B=ρVFFEBFU (4)

B=ρπ4CMFEBFUD2H=av0(D2H (5)

donde FEB es el factor de expansión de la biomasa del fuste a la del total del árbol (incluyendo hojas) y FU es un factor de unidades (cuando no son dimensionalmente correctas). La constante av0 engloba los factores definidos en la ecuación (5) . Con relación a las unidades de medida, es práctica común que D se mida en cm, por lo que FU debe definirse en relación con esta unidad. La relación (5) se usa para estimar la biomasa a partir de (D2H) (Chave et al., 2005).

Cuando se aplica la ecuación (5) o la ecuación (2) en (4), se consideran las desviaciones del modelo mediante el uso de una ecuación potencial:

B=avf(VF)bvf  (6)

B=av(D2H)bv (7)

donde avf, av, bvf, bv son parámetros del ajuste empírico por regresión estadística. El exponente bv habitualmente tiene valores menores o iguales a 1.0 (Cannell, 1984; Brown et al., 1989; Chave et al., 2005 y 2014; Feldpausch et al., 2012).

En el contexto de aproximaciones empíricas, la biomasa total aérea B puede estimarse de:

B=adDbd  (8)

B=ahHbh  (9)

con relaciones empíricas asociadas:

H=ahdDbhd (10)

D=(1ahd)1bhd 1Hbhd=adhHbdh (11)

La relación entre los exponentes de las relaciones (7) a (11) se puede establecer fácilmente de la siguiente manera:

Al sustituir la ecuación (10) en la (7) se obtiene

B=(avahd)Dbv(2+bhd) (12)

la cual, al compararla con la ecuación (8) permite establecer:

ad=av(ahd)bv  (13)

bd=bv(2+bhd) (14)

Algo similar se obtiene al sustituir la ecuación (11) en la (7) y comparar el resultado con la ecuación (9):

ah=av(1ahd)2bvahd   (15)

bh=bvbhd+2bhd=bv(1+2bhd) (16)

Si se parte de que el objetivo es estimar B con la ecuación (8) o (9) , las relaciones (13) y (14) o (15) y (16) establecen que para el caso bv = 1 es posible obtener el valor del parámetro bd o bh del parámetro bhd. Si se desconocen av y bv, entonces no es posible establecer una relación simple con ad y bd, o ah y bh. Price et al. (2007), Návar (2010b) y Zhang et al. (2016), encontraron las mismas relaciones en el contexto del modelo WBE de ramificación fractal de plantas vasculares (West et al., 1999) y, bajo la consideración de bv = 1. A diferencia de este enfoque teórico, los desarrollos que se presentan son consecuencia directa del sistema de ecuaciones definido, sin ninguna consideración de tipo teórico, solo derivaciones matemáticas simples.

Además, del modelo de la ecuación (7), en la práctica también se usa el siguiente:

B=apDbpHcp (17)

por lo que se puede usar el procedimiento previo para determinar:

ad=ap(ahd)cp (18)

bd=bp+cpbhd (19)

ah=av(1ahd)bpbhd (20)

bh=cp+bpbhd (21)

La relación (19) fue establecida por Zianis y Mencuccini (2004) mediante un procedimiento similar al que se presenta.

Se pueden realizar desarrollos similares para el caso del volumen total o del fuste de las plantas, ecuaciones (1) y (6).

Relación entre los parámetros de una relación alométrica: intersección en un punto común

Para establecer una relación entre la constante (a) y el exponente (b) para un conjunto de parámetros del modelo alométrico B = aDb de diferentes especies de plantas o de la misma especie y diferentes sitios de muestreo, se puede partir de la propiedad de que los parámetros de un conjunto de líneas rectas que se intersectan en un punto común tienen una relación lineal entre ellos (Paz, Odi, Cano, Bolaños y Zarco, 2009). En el caso de las relaciones alométricas discutidas previamente, particularmente la ecuación (8) , se tiene que con una transformación logarít-mica se consigue:

InB=Inad+In(D)bd (22)

que es una línea recta en el espacio log-log. En este espacio transformado para un conjunto de líneas rectas con intersección en un punto común, los parámetros se relacionan como (Lumer, 1936):

ad=B0exp[-InD0bd] (23)

Inad=InB0-In(D0)bd (24)

donde el punto de intersección en el espacio log-log estará dado por [ln(Do), ln(Bo)] y en el aritmético por (Do, Bo). Al sustituir las ecuaciones (13) y (14) en la ecuación (24) se obtiene la relación entre las constantes y exponentes av, ahd, bv y bhd:

Inav+bvInahd=InB0-bvIn(D0)(2+bhd) (25)

La relación (23) o (24) se observó desde hace tiempo en el campo de la alometría (Hersh, 1931) y se ha discutido ampliamente (Lumer, 1942; White y Gould, 1965), pero en la literatura actual se ha olvidado y raramente se considera como respuesta a la relación (23) en el campo de la alometría de plantas leñosas; con excepción de Fehrmann y Kleinn (2006) quienes la proponen como posible explicación de la intersección en un punto común, pero sin explorar sus consecuencias o entender sus causas. Ademas, Picard et al. (2015b) discuten estas relaciones en un marco teórico similar al presentado, pero sin investigar sus propiedades para reducir la dimensionalidad del problema de ajustes en alometría.

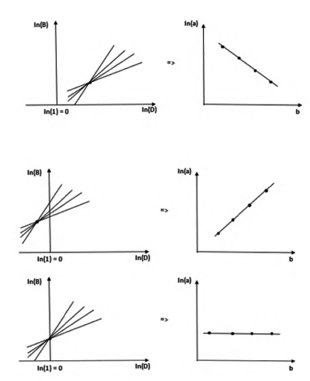
En la relación (24), el signo de ln(Do) es positivo si Do <1, dado que ln(Do) < 1; negativo si Do > 1, dado que ln(Do) > 1 y, para Do = 1, ln(Do) = 0, por lo que ln(a d) es constante para cualquier valor de Bo; es decir, a d es independiente de b d. La figura 1 muestra las relaciones para los tres casos, las cuales se basan, parcialmente, en White y Gould (1965).

Figura 1 Diferentes patrones de intersección de un conjunto de líneas rectas en el espacio log-log con relación a ln(1) = 0 y relación entre los parámetros  

Para el caso de la relación (7), líneas rectas en el espacio log-log que se intersectan en un punto, se tiene:

Inav=InB0-In[D2H)0bv (26)

donde [ln(D2H)o, ln(Bo)] representa el punto de intersección en el espacio D2H - B transformado logarítmicamente.

Al sustituir las ecuaciones (13) y (14), después de despejarlas para av y bv en la ecuación (26) y, después del proceso algebraico, se pueden establecer las siguientes relaciones entre las constantes y los exponentes (Figura 1):

Inad=InB0+bvInahd-In[(D2H)0](2+bhd)bd (27)

Inad=InB0-bd2+bhdInD2H)0-bvInahd (28)

bd=2InB0+2bvInahd-2InadIn[(D2H)0]+InB0+bvInahd-InadIn[(D2H)0]bhd (29)

Relación entre los parámetros de una relación alométrica: unidades de medida

En los ajustes a datos experimentales, la relación (23) o (24) generalmente muestra dispersión (R2 < 1), lo que denota que el punto de intersección de las líneas rectas es una zona común (Lumer et al., 1942; White y Gould, 1965). Dadas las unidades generalmente usadas en las relaciones alométricas (p.ej. cm para D), la intersección (zona) es para valores mayores que 1, por lo que el signo de la relación (23) o (24) es negativo.

Lumer et al. (1942) y White y Gould (1965), observaron que al cambiar las unidades de medida (incremento; p.ej. de m a cm) la correlación de lasrelaciónes (23) o (24) se incrementa, destacando su dependencia. La relación alométrica general Y = k o(Xo) z , con unidades originales Xo y constante ko (z es independiente de las unidades de medida), puede plantearse como función de las unidades de medida de X y Y (Lumer, 1939; Lumer et al., 1942; White y Gould; 1965; Dralle et al., 2015). Un cambio en las unidades de X puede presentarse como un cambio de Xo a qXo (= Xq), por lo que se obtiene:

Y=k0XOZ=kO(qX0q)z=(k0qz)(qX0)z=kqX0Z (30)

Al usar q > 1 en la ecuación (30), el coeficiente de correlación R2 se incrementa. Para valores de q < 1, para el punto o zona de intersección negativa (Figura 1), el signo de la relación (23) o (24) se vuelve positivo.

Ajuste estadístico del modelo alométrico

El modelo potencial Y = kXz, con constante k y exponente z, generalmente se ajusta mediante el uso de una transformación logarítmica:

InY=Ink+zInX (31)

El coeficiente de determinación (R2) de la regresión lineal del modelo potencial de la relación logarítmica es diferente del que se obtiene al ajustar directamente el modelo de la relación original por regresión no lineal.

Un punto importante de enfatizar es que los desarrollos algebraicos presentados para las relaciones entre los parámetros de los modelos alométricos es estrictamente válido para regresiones lineales, donde se consideran los errores de estimación (errores de medición entre variables y de ajuste de los modelos). En términos generales, el procedimiento planteado es aplicable para modelos alométricos más complejos después de transformaciones lineales.

Para corregir el sesgo de la transformación logarítmica bajo el supuesto de varianza constante de la variable transformada Y´ = ln(Y), el modelo puede ponerse como:

InY=Y´=Ink+zInX+Inε (32)

donde el error ε se distribuye normalmente:

N(0,σ2) (33)

con media cero y varianza del error (error estándar residual o EER) definida por:

σ2=1n-pi=1n(Y´-Y^i´)2  (34)

donde es el valor estimado, el valor medido, n el número de datos y p los parámetros del modelo (p = 2). El modelo de la ecuación (32) está dado por:

Y=kXZε (35)

Las estimaciones de Y corregidas por el sesgo de la transformación logarítmica están dadas por (Baskerville, 1972; Crow y Shimizu, 1988):

Y^=[kexpσ22]Xiz (36)

El término exponencial de la relación (36) es el factor de corrección (FC) que debe usarse para compensar el sesgo de usar la transformación logarítmica de la relación potencial para los ajustes por regresión lineal. El factor de corrección solo se aplica a la constante k y no al exponente z, por lo que los resultados obtenidos en esta corrección son diferentes a los obtenidos por el proceso de regresión no lineal directa en Y = k Xz, donde ambos parámetros se modifican en el ajuste estadístico (minimización del error cuadrático de estimación).

El modelo alométrico ajustado por regresión no lineal, sin transformación logarítmica, está definido por:

Y=KXZ+ε (37)

Adicional al uso del coeficiente de correlación R2 en el espacio aritmético, no el logarítmico, el ajuste estadístico de los modelos puede analizarse usando la raíz del error cuadrático medio (RECM), S = Ln(Y):

RECM=1ni=1n(Si-S^i)2   (36)

y por el error absoluto medio (EAM), en porcentaje:

EAM=1001ni=1n|SI-S^iSI| (37)

Bases de datos de exponentes

Para analizar las ecuaciones (14) y (16) entre los exponentes de las ecuaciones (8) a (11) con respecto a la ecuación (7) , se usó la compilación de Zianis y Mencuccini (2004) (Tablas 1 y 2, 23 datos) y la de Price et al. (2007) (material suplementario, 39 datos, solo especies leñosas), para generar una base de datos con 62 pares de parámetros.

Tabla 1 Bases de datos utilizadas para los análisis 

Número Especie Lugar Número de datos Referencia
1 Alnus glabrata Fernald. 10 Acosta-Mireles,
2 Quercus peduncularis Née. 8 Vargs-Hernández,
3 Rapanea myricoides (Schl.) Lundell. Oaxaca, México 6 Velázquez-Martínez
4 Clethra hartwegii Britt. 6 y Etchevers-Barra,
5 Liquidambar macrophylla Oerst. 10 2002; Acosta-Mireles, 2003
6 Inga sp. 12
Avendaño, Acosta, Carrillo y Etchevers,2009
7 Abies religiosa (H.B.K.) Schl. et Cham. Tlaxcala, México 26
8 Prosopis laevigata (Humb. Bonpl. ex Wild) M.C. Johnst. Durango, México 9
9 Prosopis laevigata (Humb. Bonpl. ex Wild) M.C. Johnst. 30
10 Prosopis laevigata (Humb. Bonpl. ex Wild) M.C. Johnst. Zacatecas, México 14 Turlan, 2011; Méndez et al., 2012
11 Prosopis laevigata (Humb. Bonpl. ex Wild) M.C. Johnst. 15
12 Prosopis laevigata (Humb. Bonpl. ex Wild) M.C. Johnst. Chihuahua, México 27
13 Prosopis laevigata (Humb. Bonpl. ex Wild) M.C. Johnst. 22
14 Prosopis laevigata (Humb. Bonpl. ex Wild) M.C. Johnst. Coahuila, México 27
15 Cordia boissieri DC 16
16 Helietta parvifolia Beneth 15
17 Condalia hoockeri Johnst. 15
18 Diospyros texana Eastw. 15
19 Acacia rigidula Benth. Nuevo León, México 15 Nájera, 1999;
20 Celtis pallida Torr. 15 Návaret al., 2001 y 2002
21 Acacia berlandieri Benth. 15
22 Acacia farnesiana (L.) Willd. 15
23 Pithecellobium pallens Standl. 15
24 Eysenhardtia texana Scheele. 15
25 Populos tremuloides Michx. Minnesota, E.U.A. 32 Woods, Feiveson,y
26 Picea mariana (Mill.) B.S.P. 31 Botkin, 1991
Vanninen, Ylitalo,
Sievänen y Mäkelä,
27 Pinus sylvestris L. Sureste de Finlandia 18 1996
Minnesota, E.U.A. Jokela, Shannon y
28 Betula papyrifera Marsh. 15 White, 1981

Tabla 2 Parámetros de las ecuaciones alométricas de las bases de datos, regresión no lineal. 

No. a d b d RECM a h b h RECM a hd b hd RECM a v b v RECM
1 0.0862 2.3614 11.3135 0.0142 3.7161 17.9478 2.7156 0.4432 1.2703 0.0659 0.8794 9.7552
2 0.0330 2.8020 12.2783 0.0466 3.4927 37.6844 1.7941 0.5621 0.9555 0.0076 1.1975 8.5599
3 0.2465 2.0453 2.4537 0.0000 7.5337 8.8951 2.3296 0.5529 0.7485 0.0715 0.8729 1.3651
4 0.4468 1.6931 2.9277 0.3094 2.0758 10.4073 2.6512 0.4512 1.2306 0.0634 0.8770 1.2169
5 0.2417 2.1903 17.2370 0.0020 3.9045 12.8059 1.9777 0.7435 0.9576 0.0834 0.8574 13.8504
6 0.0890 2.4959 10.9732 0.0913 2.9092 35.9820 1.7524 0.6556 1.2371 0.0585 0.9267 11.2680
7 0.2682 2.1772 149.9879 0.0048 3.5322 343.9630 2.9364 0.6292 3.5749 0.0743 0.8619 111.9377
8 0.6030 1.4966 11.0876 6.1439 1.7193 7.8769 0.2598 0.8687 0.3248 1.1303 0.5318 9.3758
9 0.0567 2.3818 9.9719 0.0963 4.1577 23.0464 1.2682 0.4397 0.5771 0.0755 0.9088 9.9507
10 0.1074 2.2029 33.9422 2.1220 2.2475 46.0811 1.1856 0.5046 0.9248 0.0671 0.9185 27.4543
11 0.1262 2.1633 26.7414 0.5654 3.6821 43.5201 1.3231 0.3636 0.5223 0.2040 0.8235 23.6788
12 0.0407 2.5128 37.4293 1.8661 2.5487 47.2520 0.9593 0.5366 0.8730 0.1427 0.8483 27.6226
13 0.0183 2.7673 22.5274 0.1021 3.9818 37.9316 1.5035 0.4295 0.7258 0.0409 0.9897 21.3337
14 0.7507 1.4578 7.6170 0.5971 2.4741 18.3551 2.3247 0.2870 0.8003 0.4169 0.6454 6.8281
15 0.0017 3.6085 3.2398 0.0013 6.9829 5.2828 1.5852 0.3291 0.4968 0.0038 1.3148 3.0679
16 0.1560 1.9233 3.5160 1.8097 1.1676 5.7887 3.3635 0.1265 0.6277 0.0343 0.9745 3.1915
17 0.1347 2.0952 2.7138 0.3341 2.4444 5.7241 1.9259 0.3895 0.4886 0.1107 0.8151 3.0289
18 1.6578 0.9738 5.3663 0.2382 2.8062 8.5214 3.1256 0.1522 0.5456 0.9146 0.4648 5.1395
19 0.0870 2.3521 0.5686 0.6636 1.6340 3.6295 2.3072 0.3007 0.5491 0.0237 1.1076 0.8736
20 0.0192 3.3010 2.5069 0.0219 3.5987 1.9416 2.0463 0.5060 0.6199 0.0202 1.1415 1.4932
21 0.0130 3.2822 2.1514 0.0004 6.6941 4.2658 3.7992 0.0701 0.2456 0.0037 1.4333 1.6427
22 0.0619 2.5090 2.5857 1.0873 1.5943 7.9386 1.6221 0.5064 0.9274 0.0403 0.9921 3.0878
23 0.8283 1.0674 2.8285 0.3759 2.0070 3.8375 2.5384 0.2958 0.6217 0.5288 0.4674 2.7428
24 0.2251 1.7210 1.9936 0.0259 3.3588 5.3686 4.1131 0.1416 0.5796 0.0618 0.8275 1.9541
25 0.1498 2.3313 26.5410 0.0002 4.6453 78.6365 2.9959 0.6158 1.7934 0.0126 1.0472 20.8802
26 0.1271 2.2983 12.7990 0.0900 2.5272 20.4510 1.8942 0.7273 1.7146 0.0533 0.8821 8.7446
27 0.0364 2.7017 53.4034 0.0262 3.0752 88.5031 1.0491 0.8924 2.1238 0.0255 0.9632 52.8659
28 0.1435 2.1577 5.5766 0.0092 3.1360 22.8925 4.6646 0.4536 1.5237 0.0267 0.9175 6.8772

La relación entre los exponentes de la ecuación (17) para volumen (68 datos) y biomasa (13 datos) se analizó con la base de datos de Zianis, Muukkonen, Mäkipää y Mencuccini (2005). Los datos correspondientes a las relaciones B-D, B-H y H-D no estuvieron disponibles en esta fuente de la literatura. Adicionalmente, Goussanou et al. (2016) muestran los exponentes (caso de volumen y biobiomasa) de las ecuaciones (8) y (17) para 18 especies, por lo que es posible analizar la ecuación (19) .

La base de datos de Zhang et al. (2016) contiene 24 datos de los exponentes de las relaciones D-V, H-V y H-D, lo que permitió un análisis completo de los desarrollos que se presentan.

Base de datos de parámetros de ecuaciones alométricas B = aDb

La relación entre a y b se analizó con la base de datos de Zianis y Mencuccini (2004) (269 datos) y Rojas-García et al. (2015) (137 datos). Esta última base de datos corresponde a una compilación de ecuaciones alométricas para México. En ambas bases solo se consideraron las relaciones B = aDb sin tomar en cuenta otro tipo de relaciones o restricciones.

La base de datos de Zhang et al. (2016) contiene 24 datos de los parámetros (constantes y exponentes) de las relaciones D-B, H-B y H-D, lo que permitió un análisis completo de las relaciones entre constantes y exponentes, además de únicamente exponentes.

Bases de datos de mediciones de D, H y B

Con el objetivo de realizar estimaciones mediante las relaciones que se presentan en este trabajo se usó una base de datos de mediciones fuera y dentro de México que incluyó mediciones de D, H y B. En el caso de arbustos y árboles con tallos múltiples o con ramificaciones cerca de la base, se utilizó el diámetro en la base (Db) (No. 8 a 14 de la Tabla 1: Turlan, 2011; Méndez et al., 2012. No. 15 a 24 de la Tabla 1: Najera, 1999; Návar, Nájera y Jurado, 2001; Návar, Nájera y Jurado 2002) en vez del diámetro normal (D). Todas las bases de datos se estandarizaron a las siguientes unidades de medida: D (Db) en cm, H en m, V en m3 y B en kg.

La tabla 1 muestra en forma resumida las bases de datos utilizadas en los análisis del presente trabajo (469 datos, 28 bases de datos).

Análisis de resultados

Bases de datos de exponentes y constantes de las ecuaciones alométricas

La relación entre los exponentes, definida por las ecuaciones (14) y (16) , se revisó usando los datos de Zianis y Mencuccini (2004) y Price et al. (2007), usando los exponentes estimados por ajustes estadísticos y bajo la consideración de b v = 1.0. La figura 2 muestra los resultados obtenidos, en donde para el caso del exponente b d, ecuación (14) se observó una gran dispersión con un valor de b v alrededor de 0.9. En el caso de la ecuación (16) la dispersión fue menor con un valor de b v alrededor de 0.95.

Figura 2 Relación entre b d (n = 62) y b h (n = 39) estimada directamente de ajustes estadísticos, con relación a las estimaciones de los exponentes con b v = 1.0, ecuaciones (14) y (15) , respectivamente. Fuente: Zianis y Mencuccini (2004) con datos de b d y b hd y Price et al. (2007) con datos de b d, b h y b hd

Tal como se discute más adelante, la relación definida por las ecuaciones (14) y (16) es dependiente del método de ajuste estadístico que se utilice en las regresiones de los datos originales, por lo que los patrones analizados reflejan esta fuente de incertidumbre.

En el caso de la ecuación (17) la relación entre sus exponentes se analizó con la base de exponentes de Zianis et al. (2005) para volumen y biomasa. La figura 3 muestra los resultados obtenidos (b p versus c p y (b p + c p) versus c p) para el caso de volumen, donde se presentó una alta dispersión con relación al patrón promedio. La figura 4 muestra el resultado para el caso de la biomasa (b p + c p) versus c p, con patrones con dispersión. Desafortunadamente la base de exponentes de Zianis et al. (2005) no cuenta con los exponentes adicionales para evaluar la ecuación (19) o (21).

Figura 3 Relación entre el exponente b p y c p, y (b p + c p) y c p, ecuación (17) , para la base de datos de Zianis et al. (2005) para el caso del volumen (n = 68). 

Figura 4 Relación entre el exponente (b p + c p) y c p, ecuación (17) para la base de datos de Zianis et al. (2005) para el caso de la biomasa (n = 13). 

Con base en los datos de Goussanou et al. (2016), que contienen información de los exponentes b p, c p y b d, se elaboró la figura 5, que muestra la relación entre (b d - b p) y c p, para volumen y biomasa; se observa un patrón congruente con la ecuación (19) , con dispersión, relativamente similar al encontrado en la figura 2, lo que implica que b hd tiene un valor alrededor de 0.56.

Figura 5 Relación entre el exponente (b d - d p) y c p, ecuación (19) , para la base de datos de Goussanou et al. (2016), para el caso de biomasa y volumen (n = 18). 

La base de exponentes de Zhang et al. (2016) cuenta con información completa de los exponentes asociados a las ecuaciones (14) y (16) , caso de b v = 1.0, por lo que la figura 6 muestra que las relaciones entre exponentes tie nen buena representación, estableciéndose un valor de b v de alrededor de 0.91.

Figura 6 Relación entre b d y b h estimada directamente de ajustes estadísticos, con relación a las estimaciones de los exponentes con b v = 1.0; ecuaciones (14) y (15) , respectivamente. Fuente: Zhang et al. (2016), n = 24, datos de volumen del fuste (V). 

En el caso de la relación (24) entre la constante a d y el exponente b d, la figura 7 muestra el ajuste por regresión no lineal. Para el caso de siete poblaciones de mezquite (Prosopis laevigata) en el noroeste de México (Mendez et al., 2012); los resultados muestran un patrón con poca dispersión y, dado que R2 < 1.0, entonces la relación representa una zona compacta común de intersección (Fig. 7).

Figura 7 Relación entre el exponente a d y b d de siete sitios de muestreo de Prosopis laevigata (Mendez et al., 2012), así como las líneas rectas ajustadas (espacio log-log), D = Db. 

Para la base de exponentes de Zhang et al. (2016), la figura 8 muestra la relación para volumen del fuste entre las constantes y los exponentes, ecuación (24) para a d-b d, a h-b h y a dh-b dh. Los exponentes y constantes son de las relaciones D-V y H-V, por lo que representan los inversos de las relaciones definidas previamente. Para el caso a d-b d y a h-b h, la ecuación (24) tiene signo positivo, dado que la intersección es, en el espacio ln(D) - ln(H), menor que cero.

Figura 8 Relación entre a d-b d, a h-b h y a dh-b dh, para 24 sitios del abeto Chino (Cunninghamia lanceolata) (Zhang et al., 2016). 

Las compilaciones de los parámetros de la ecuación (8) pueden utilizarse para revisar el patrón de la ecuación (24) La figura 9 muestra la relación entre b d y ln(a d) de la base de parámetros de Zianis y Mencuccini (2004) para el caso de q = 1 de la ecuación (30) de cambio de las unidades de medida en D y para q = 106. Para q = 1, la relación (24)muestra una dispersión significativa y, para q = 106, la dispersión fue mucho menor, lo que demuestra que, con la selección de las unidades de medida en D, los parámetros a d y b d pueden relacionarse con alta correlación, simplificando, aparentemente, el problema de estimación a solo un parámetro; aunque este proceso tiene una lógica circular.

Figura 9 Relación entre b d y ln(a d) para los casos q = 1 y q = 106, ecuación (30) , de la base de parámetros de Zianis y Mencuccini (2004), n = 269. 

La figura 10 muestra la relación b d y ln(a d) de la base de parámetros de Rojas-García et al. (2015) para especies de México, tanto para el caso q = 1 como q = 106 de la ecuación (30) . Los resultados también muestran que un cambio adecuado de las unidades de medida de D genera una alta correlación entre los parámetros.

Figura 10 Relación entre b d y ln(a d) para los casos q = 1 y q = 106, ecuación (30) , de la base de parámetros de Rojas-García et al. (2015), n = 137. 

En lo general, un cambio adecuado de las unidades de medida de D aleja la zona de intersección de las líneas rectas, espacio log-log, del punto ln(1), lo que da como resultado una mayor correlación.

Bases de datos con D, H y B

La tabla 1 muestra las bases de datos con mediciones de D, H y B compiladas para su análisis, lo que representa un total de 468 datos para 28 bases de datos. Cada base se procesó para estimar los parámetros de las relaciones B-D, B-H, H-D y B-D2H, ecuaciones (7) a (10) .

La tabla 2 muestra los resultados obtenidos por regresión no lineal con el procedimiento SOLVERMR de ExcelMR. El ajuste se realizó minimizando la sumatoria del error cuadrático de estimación y se utilizaron valores iniciales de los parámetros de la regresión en el espacio log-log, retransformada al aritmético.

La regresión no lineal ajusta simultáneamente la constante y el exponente para realizar la estimación, por lo que es posible que la relación entre estos parámetros muestre algún efecto (líneas rectas en el espacio log-log).

La tabla 3 muestra los resultados de la regresión lineal en el espacio log-log con parámetros que se expresan en unidades aritméticas al exponenciar el logaritmo de la constante. Para el caso de a d y b d, se muestra el factor de corrección (FC), ecuación (36) , mismo que, generalmente, fue menor a 10%. La constante a d original y la corregida por FC se muestran en la tabla 3.

Tabla 3 Parámetros de las ecuaciones alométricas de las bases de datos de la tabla 1, regresión lineal en el espacio log-log. 

No. a d a d corr. b d FC R2 log-log RECM a h b h RECM a hd b hd R2 log-log RECM a v b v RECM
1 0.1171 0.1205 2.2294 1.0288 0.9700 12.8941 0.0128 3.6882 20.7772 2.9087 0.4112 0.6424 1.2825 0.0454 0.9190 10.1861
2 0.1034 0.1057 2.3897 1.0218 0.9871 16.2951 0.0402 3.4827 40.2585 1.5049 0.6274 0.9109 0.9837 0.0733 0.9053 18.1772
3 0.1371 0.1390 2.2599 1.0139 0.9878 4.3885 0.0150 3.5019 17.2067 1.9840 0.6203 0.9475 0.8088 0.0758 0.8627 1.9506
4 0.1494 0.1513 2.1497 1.0130 0.9873 4.2862 0.0402 3.4827 32.7278 2.2043 0.5348 0.7331 1.2675 0.0778 0.8448 1.3568
5 0.1082 0.1096 2.4510 1.0125 0.9933 18.1154 0.0104 3.3342 13.7601 2.0862 0.7204 0.9706 0.9782 0.0556 0.9014 14.0689
6 0.1723 0.1739 2.2637 1.0094 0.9734 13.5216 0.1255 2.7559 37.0904 1.8627 0.6305 0.7567 1.2435 0.1111 0.8578 13.3623
7 0.0713 0.0718 2.5104 1.0075 0.9934 208.4096 0.0081 3.3626 370.0476 2.1530 0.7109 0.9376 3.7622 0.0352 0.9256 125.7016
8 0.1709 0.1766 1.8935 1.0333 0.8344 13.0205 3.6151 2.0975 9.7502 0.2495 0.8806 0.8850 0.3252 0.3888 0.6697 11.6346
9 0.0684 0.0703 2.3178 1.0283 0.9583 10.1653 0.2191 3.5363 28.6140 1.4225 0.3931 0.6024 0.5866 0.0546 0.9509 10.3254
10 0.1849 0.1959 2.0165 1.0593 0.8985 35.3210 0.4576 3.0543 49.2181 1.2374 0.4857 0.6471 0.9294 0.1502 0.8159 28.5274
11 0.3151 0.3313 1.8788 1.0515 0.8916 29.2624 0.7928 3.3926 46.1924 1.4208 0.3363 0.5630 0.5257 0.2439 0.8004 23.8807
12 0.2508 0.2627 1.9332 1.0473 0.9298 53.9965 1.1290 2.6824 57.0506 1.0986 0.4843 0.6130 0.8871 0.2397 0.7742 37.0207
13 0.1104 0.1149 2.2101 1.0405 0.9443 33.5356 0.3687 3.0281 74.4740 1.5748 0.4082 0.5641 0.7313 0.0841 0.8965 27.4765
14 0.2680 0.2800 1.8403 1.0448 0.8395 11.4963 0.9315 2.1122 19.0273 2.1512 0.3121 0.2695 0.8045 0.1492 0.7922 10.0828
15 0.0394 0.0430 2.3330 1.0906 0.8676 3.9786 0.2155 2.9582 6.7784 1.4492 0.3627 0.4522 0.5000 0.0314 0.9626 3.8238
16 0.0897 0.0954 2.1525 1.0636 0.7810 3.5524 0.4768 1.9420 6.0797 3.1924 0.1465 0.0815 0.6296 0.0296 0.9932 3.2110
17 0.1140 0.1181 2.1535 1.0359 0.9001 2.7528 0.0717 3.3824 5.9783 1.8654 0.4016 0.6057 0.4895 0.0689 0.8868 3.0894
18 0.3193 0.3412 1.6070 1.0686 0.8615 7.9319 0.0612 3.6340 8.7351 3.0758 0.1559 0.3017 0.5467 0.1391 0.7450 7.4864
19 0.0821 0.0826 2.3843 1.0065 0.9788 0.5723 0.1947 2.4016 3.7586 2.0306 0.3678 0.3357 0.5558 0.0465 0.9765 0.9849
20 0.1882 0.2130 2.0603 1.1316 0.7572 3.5218 0.0191 3.6579 1.9596 2.1009 0.4832 0.6724 0.6229 0.0897 0.8584 2.4724
21 0.0867 0.0894 2.3369 1.0314 0.7742 2.7205 0.0122 4.4054 4.5935 3.8299 0.0651 0.0436 0.2457 0.0154 1.1708 2.0318
22 0.0457 0.0473 2.6179 1.0345 0.9639 2.6945 0.0765 3.1149 9.5361 1.5214 0.5287 0.6393 0.9315 0.0342 1.0070 3.2434
23 0.2426 0.2554 1.5655 1.0528 0.8481 3.4765 0.0789 2.8862 4.2152 2.7111 0.2630 0.5010 0.6269 0.1304 0.6800 2.7628
24 0.2280 0.2340 1.6983 1.0265 0.9214 2.0355 0.0964 2.4703 5.7114 4.1109 0.1388 0.2235 0.5806 0.0813 0.7777 2.0429
25 0.1061 0.1085 2.4151 1.0222 0.9942 30.0767 0.0053 3.4680 86.4947 2.4341 0.6847 0.9784 1.8822 0.0477 0.8994 36.6761
26 0.1062 0.1080 2.3574 1.0173 0.9835 12.8287 0.0741 2.5541 22.0349 1.3720 0.8486 0.9071 1.8196 0.0842 0.8234 9.8930
27 0.0359 0.0362 2.7017 1.0091 0.9907 53.7740 0.2010 2.3922 142.7460 0.6771 1.0232 0.9060 2.3529 0.0559 0.8832 65.5071
28 0.0779 0.0788 2.3707 1.0121 0.9724 6.4078 0.0011 3.8698 23.4501 4.1620 0.4937 0.7649 1.5394 0.0203 0.9493 6.9599

En el caso de la ecuación alométrica de los parámetros a d y bd, se muestra el coeficiente de determinación R2 del espacio log-log, además de a hd y b hd, que es diferente al del espacio aritmético. No obstante, este coeficiente solo se incluyó como indicativo de la correlación entre las variables, además de la RECM.

La figura 11 muestra los resultados de la estimación no lineal, la lineal en el espacio log-log y la relación entre ellas para la ecuación (8) . Se observa que la regresión del espacio log-log (con la corrección de FC) tiende a sobrestimar las mediciones de la biomasa y que la relación no lineal aporta mejores resultados. La regresión log-log es aproximadamente 4% mayor a la no lineal. Con respecto a las métricas del error de estimación, debe prestarse especial atención en elegir la indicada. En términos de R2 y RECM de las estimaciones, la regresión no lineal es mejor que la del espacio log-log, pero no así cuando se usa la métrica EAM (Fig. 11).

Figura 11 Resultados de las regresiones no lineal, espacio log-log, así como la relación entre ellas. 

Para las regresiones no lineales la figura 12 muestra la relación entre el exponente b d estimado de los ajustes directos por regresión en relación con los estimados con la ecuación (14) . Se observa una gran dispersión en la relación, lo que denota que la regresión no lineal ajusta los parámetros moviendo los exponentes. La relación entre ln(a d) y b d en la figura 12 es significativa (caso q = 1) y muestra el patrón que define la ecuación (24) .

Figura 12 Relación entre el exponente b d estimado directamente por regresión no lineal y el estimado por la ecuación (14) con los exponentes b hd y b v, además de la relación entre ln(a d) y b d de las regresiones no lineales. 

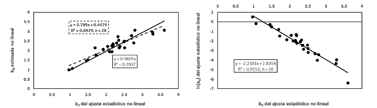
La figura 13 muestra la relación entre bd estimado directamente de los ajustes de las regresiones en el espacio log-log y el estimado de la relación entre exponentes de la ecuación (14) , donde se observa un ajuste significativo, por lo que en el caso de las regresiones log-log, la ecuación (14) se cumple, a diferencia de las regresiones no lineales.

Figura 13 Relación entre el exponente b d estimado directamente por regresión log-log y el estimado por la ecuación (14) con los exponentes b hd y b v, además de la relación entre ln(a d) y b d de las regresiones log-log. 

En lo general, la relación (14) se ajusta mejor con regresiones en el espacio log-log y el de la ecuación (24) con las regresiones no lineales.

Para el caso de bh estimado de las regresiones (espacio log-log) y el estimado de la ecuación (16) , la relación es pobre (Fig. 14), reflejando los errores de estimación en la relación H-D (Tabla 3).

Figura 14 Relación entre el exponente bh estimado directamente por regresión en el espacio log-log y el estimado por la ecuación (16)

Las estimaciones de la biomasa se realizaron usando la relación entre ln(ad) y bd que se muestra en la figura 13 (q = 1) y bd de la ecuación (14) con bhd de H-D y el valor de bv estimado de B-D2H. Dado que en la mayoría de los casos de compilaciones de relaciones alométricas no se cuenta con el valor de bv, se calculó un valor constante de bv (0.915) por un proceso de minimización del error de estimación. La figura 15 muestra los resultados con la regresión en el espacio log-log, para ambos casos.

Figura 15 Relación entre el valor estimado y medido de la biomasa, para el caso de bv estimado de la relación (14) y el caso con b v = 0.915 (constante general). 

Las estimaciones que se muestran en la figura 15 presentan resultados cercanos entre sí al usar un valor constante de bv y el estimado directamente de las regresiones en el espacio log-log, adicional al uso del exponente bhd utilizado en ambos procesos de estimación.

Para analizar el caso con ajustes significativos de la ecuación (8) , R2 > 0.89 y, ajustes aceptables en la ecuación (10) , R2 > 0.6, la figura 16 muestra los resultados obtenidos en las estimaciones para ambos métodos de bv. Se observa que los errores de estimación se reducen con el uso de EAM, pero no para RECM, lo que indica que la situación particular de los datos usados en las regresiones define las métricas de incertidumbre.

Figura 16 Relación entre el valor estimado de biomasa y el medido para el caso de b v calculado de la relación (14) y el caso con b v = 0.915 (constante general), para los casos de R2 > 0.89 de la relación B-D y R2 > 0.6 de H-D, espacio log-log, con el uso de ln(a d) = 2.5463 - 2.0729b d estimada de las regresiones. 

Los casos con R2 > 0.9 de las relaciones B-D y H-D se muestran en la figura 17. Se observan patrones similares al caso anterior en los errores de estimación, así como una relación prácticamente equivalente entre las estimaciones de las regresiones en el espacio log-log directas y las del uso de la relación (14) y (24), por lo que se pueden obtener resultados similares con los dos procesos.

Figura 17 Relación entre el valor de biomasa estimado y el medido, para el caso de b v obtenido de la relación (14) y, con b v = 0.915 (constante general), con R2 > 0.9 de la relación B-D y R2 > 0.9 de H-D, espacio log-log, con el uso de ln(a d) = 5.1299 - 3.0868b d estimada de las regresiones y de la relación entre las estimaciones por regresión en el espacio log-log directa y las realizadas con b v a partir de la ecuación (14)

En el caso de la relación entre bh y la estimación con la ecuación (16) , el patrón coincide con lo esperado (Fig. 18), a diferencia de lo que se observa en la figura 14. En la figura 18, los errores en la estimación de bdh generan una incertidumbre mayor en las estimaciones, hecho que es importante tener presente.

Figura 18 Relación entre el exponente b h estimado por regresión en el espacio log-log y el obtenido con la ecuación (16) , caso de relaciones B-D y H-D con R2>0.9, en el espacio log-log. 

Discusión

La compilación de bases de ecuaciones alométricas ajustadas por especies o grupos de ellas y por regiones geográficas se ha planteado en términos globales (Henry et al., 2013), mediante el uso de guías para su documentación (Cifuentes et al., 2014), así como por la implementación métodos que permiten utilizarlas para inventarios forestales nacionales (Henry et al., 2015). Sin embargo, para ampliar estos esfuerzos de compilación es necesario eliminar las restricciones del intercambio de datos para su interoperabilidad (Cifuentes et al., 2015; Vargas et al., 2017).

El desarrollo de ecuaciones alométricas para la estimación de la biomasa aérea total o volumen del fuste de especies arbustivas y arbóreas se ha planteado bajo dos enfoques: el uso de ecuaciones locales y, el de ecuaciones generalizadas. En el primer caso, resulta poco práctico desarrollar ecuaciones para cada especie y para cada sitio o región, haciendo económicamente inviable este enfoque; aunque los esfuerzos de compilación son encomiables (Cifuentes et al., 2014). Para el caso de las ecuaciones generalizadas, existen dos metodologías: usar bases de datos de mediciones de campo de especies y regiones representativas para desarrollar las ecuaciones generales (Brown et al., 1989; Chave et al., 2005 y 2014; Feldpausch et al., 2012) y, usar los datos que se generan directamente de las ecuaciones específicas (Pastor et al., 1984; Jenkins et al., 2003; Muukkonen, 2007).

En la figura 19 se muestra la aplicación de los dos enfoques de desarrollo de ecuaciones generalizadas con datos de siete sitios de muestreo de mezquite, Prosopis lae-vigata (Mendez et al., 2012), con ajustes por regresión no lineal. Se presentan los resultados obtenidos con la ecuación generalizada ajustada a los datos originales y la ecuación ajustada a datos obtenidos a intervalos regulares de las ecuaciones alométricas ajustadas. Como se observa, los procesos de estimación generan resultados diferentes, por lo que no resulta conveniente usar datos obtenidos directamente de las ecuaciones ajustadas, sino que es necesario contar con los datos que se usaron originalmente para la elaboración de las ecuaciones alométricas, tal como propone la iniciativa de la base de datos BAAD (Falster et al., 2015).

Figura 19 Ecuaciones generalizadas para el caso de siete sitios de muestreo de mezquite, Prosopis laevigata (Mendez et al., 2012). La línea punteada representa el ajuste a los datos originales B-D y la línea quebrada el ajuste a los puntos generados directamente de las ecuaciones alométricas con valores de D espaciados a intervalos regulares. 

De acuerdo con los métodos que se presentan, es necesario, al menos, incluir las relaciones B-D2H, B-D, H-D, en las iniciativas de compilación de bases de parámetros de ecuaciones alométricas. El uso de la relación B = apDbp Hcp presenta un parámetro adicional a la relación B=a v(D2H) bv por lo que, de acuerdo con el principio de parsimonia, no se requiere una complejidad extra. En lo general, para simplificar el proceso de estimación es necesario el uso de una relación lineal B = f (D, H), de tal manera que se evite el uso del parámetro b v y baste con conocer el exponente bhd, al que se accede fácilmente con la información de muestreo en campo.

La relación entre a d y b d depende de las unidades de medida (escala), por lo que al modificar q en la relación (30), para estimar la relación de la ecuación (24) , se obtiene la correlación deseada, lo que puede constituir un artefacto de método (Palmer, McGlinn y Fridley, 2008) susceptible de utilizarse a conveniencia; aunque esto es un argumento con lógica circular. Como ejemplo de lo anterior, en la figura 20 se muestran, para los sitios de mezquite, distintos casos de uso de valores de q para obtener coeficientes de correlación altos, cambio en la tendencia (de inversa a directamente proporcional), así como de no correlación (cuando las rectas del espacio log-log pasan por el punto de intersección de q = 1).

Figura 20 Relaciones entre b d y ln(a d) en función de q, Ecuación (30) , para el mezquite. 

La metodología propuesta en el presente estudio, basada en propiedades matemáticas simples, permite el desarrollo de una estrategia local (relación H-D) para ajustar los modelos alométricos, evitando así el uso de ecuaciones generalizadas u otro tipo de enfoques empíricos.

Conclusiones

Los desarrollos teóricos, con base en matemáticas simples, que se exponen en el presente estudio sustentan un cambio de paradigma en la alometría de plantas leñosas que permite romper el estancamiento de la discusión entre modelos alométricos locales y generales. Los enfoques que se utilizan en la actualidad desaprovechan mucha de la información proveniente de los muestreos en campo bajo la premisa de que se requiere de la inclusión de un mayor número de variables (p.ej. altura total), además del diámetro normal, para reducir el error de estimación de carbono y biomasa.

El enfoque estadístico, del que se ha abusado en las aplicaciones alométricas, generalmente se usa más como herramienta de decisión que de análisis con un fundamento matemático sólido. La aplicación de este paradigma resulta costosa y con un fuerte sesgo hacia un análisis parcial del problema de estimación que desaprovecha las simetrías (patrones) del proceso.

La metodología que se propone en este trabajo permite realizar estimaciones comparables con los métodos alométricos directos, solo mediante el uso de la relación alométrica entre la altura y la biomasa aérea total (volumen del fuste o total, o carbono), la cual generalmente está disponible en los inventarios forestales actuales. En lo general, el uso de una relación lineal entre la biomasa y un par de variables (diámetro normal y altura total) simplifica el problema a solo la consideración de la relación alométrica entre el par de variables seleccionadas.

El uso de la altura como variable en los desarrollos que se presentan puede cambiarse por atributos de la copa de los árboles (Goodman et al., 2014; Ploton et al., 2016; Chuyong et al., 2016), especialmente para el caso de arbustos o arboles con ramificaciones en la base o cerca de esta, ya que la dimensión de la copa es un buen estimador de la biomasa (Hughes, Varner y Blankenship, 1987; Mason et al., 2014), hecho que se explorará en otro trabajo de los autores.

Referencias

Acosta-Mireles, M., Vargas-Hernández, J., Velázquez-Martínez, A., & Etchevers-Barra, J. D. (2002). Estimación de la biomasa aérea mediante el uso de relaciones alométricas en seis especies arbóreas en Oaxaca, México. Agrociencia, 36(6), 725-736. [ Links ]

Acosta-Mireles, M. (2003). Diseño y aplicación de un método para medir los almacenes de carbono en sistemas con vegetación forestal y agrícolas de ladera en México. Tesis de Doctorado en Ciencias, Colegio de Posgraduados, Montecillos, México. 135 p. [ Links ]

Augusto, L., Ranger, J., Ponette, Q., & Rapp, M. (2000). Relationship between forest tree species stand production and stand nutrient amount. Annals of Forest Science, 57(4), 313-324. doi: 10.1051/forest:2000122 [ Links ]

Avendaño, D. M., Acosta, M., Carrillo, F., & Etchevers, J. D. (2009). Estimación de biomasa y carbono en un bosque de Abies religiosa. Revista Fitotecnia Mexicana, 32(3), 233-238. doi: 10.35196/rfm.2009.3.233-238 [ Links ]

Baskerville, G. L. (1972). Use of logarithmic regression in the estimation of plant biomass. Canadian Journal of Forestry, 2(1), 49-53. doi: 10.1139/x72-009 [ Links ]

Beauchamp, J., & Olson, J. (1973). Corrections for bias in regression estimates after logarithmic transformation. Ecology, 54(6), 1403-1407. doi: 10.2307/1934208 [ Links ]

Bradu, D., & Mundlak, Y. (1970). Estimation in lognormal linear models. Journal of the American Statistical Association, 65(329), 198-211. doi:10.2307/2283587 [ Links ]

Brown, S., Gillespie, A. J. R., & Lugo, A. E. (1989). Biomass estimation for tropical forests with applications to forest inventory data. Forest Science, 35(4), 881-902. doi: 10.1093/forestscience/35.4.881 [ Links ]

Brown, S. (1997). Estimating biomass change of tropical forests, a primer. Forest Resources Assessment Publication. Forestry Papers 134, FAO, Rome. [ Links ]

Cannell, M. G. R. (1984). Woody biomass of forest stands. Forest Ecology and Management, 8, 299-312. doi: 10.1016/0378-1127(84)90062-8 [ Links ]

Case, B. S., & Hall, R. J. (2008). Assessing prediction errors of generalized tree biomass and volume equations for the boreal forest of west-central Canada. Canadian Journal of Forest Research 38(4), 878-889. doi: 10.1139/x07-212 [ Links ]

Chave, J., Andalo, C., Brown, S., Cairns, M. A., Chambers, J. Q., Eamus, D., Fölster, H., Fromard, F., Higuchi, N., Kira, T., Lescure, J. P., Nelson, B. W., Ogawa, H., Puig, H., Riéra, B., & Yamakura, T. (2005). Tree allometry and improved estimation of carbon stocks and balance in tropical forests. Oecologia, 145(1), 87-99. doi: 10.1007/s00442-005-0100-x [ Links ]

Chave, J., Condit, R., Aguilar, S., Hernandez, A., Lao, S., & Perez, R. (2004). Error propagation and scaling for tropical forest biomass estimates. Philosofical Transactions of the Royal Society B: Biological Sciences, 359(1443), 409-420. doi: 10.1098/rstb.2003.1425 [ Links ]

Chave, J., Réjou-Méchain, M., Búrquez, A., Chidumayo, E., Colgan, M. S., Delitti, W. B. C, Duque, A., Eid, T., Fearn-side, P. M., Goodman, R. S., Henry, M., Martínez-Yrízar, A., Mugasha, W. A., Muller-Landau, H. C., Mencuccini, M., Nelson, B. W., Ngomanda, A., Nogueira, E. M., Ortiz-Maavassi, E., Pélissier, R., Ploton, P., Ryan, C. M., Saldarriaga, J. G., & Vieilledent, G. (2014). Improved allometric models to estimate the aboveground biomass of tropical trees. Global Change Biology, 20(10), 3177-3190. doi: 10.1111/gcb.12629 [ Links ]

Chave, J., Riéra, B., & Dubois M. A. (2001). Estimation of bio-mass in a neotropical forest of French Guiana: spatial and temporal variability. Journal of Tropical Ecology, 17(1), 79-96. doi 10.1017/S0266467401001055 [ Links ]

Chuyong, G. D., Droissart, V., Fayolle, A., Calisto, G. R., Henry, M., Guy Kamdem, N., Katembo, M. J., Kenfack, D., Libalah, M., Ngomanda, A., Rossi, V., Sonké, B., Texier, N., Thomas, D., Zebaze, D., Couteron, P., Berger, U., &Pélissier, R. (2016). Closing a gap in tropical forest biomass estimation: taking crown mass variation into account in pantropical allometries. Biogeosciences, 13(5), 1571-1585. doi:10.5194/bg-13-1571-2016 [ Links ]

Cifuentes, J. M., Henry, M., Réjou, M., Wayson, C., Zapata, M., Piotto, D., Alice, F., Castañeda, L. H., Castellanos, L. E., Cuenca, L. R., Cueva, R. K., del Águila, P. J., Duque, M. A., Fernández, V. J., Jiménez, G. A., López, O., Marklund, L., Michel, F. J., Milla, F., Návar Ch., J., Ortiz, M. E., Pérez, J., Ramírez, Z. C., Rangel, G. C., Rubilar, P. C., Saint-André, L., Sanquetta, C., Scott, C., & Westfall, J. (2014). Guidelines for documenting and reporting tree allometric equations. Annals of Forest Science, 72(6), 1-6. doi: 10.1007/s13595-014-0415-z [ Links ]

Cifuentes, Jara, M., Henry, M., Réjou, M., Lopez, O. R., Wayson, C., Michel, F., Castellanos, E., Zapata, C., Piotto, D., Alice, G., Castañeda, L., Cuenca, L., Cueva, R., del Águila, P., Duque, Á. M., Fernández, J. V., Jiménez, A. G., Marklund, L. G., Milla, F., Návar, J. J., Ortiz, E. M., Pérez, J., Ramírez, C. Z., Rangel, L. G., Rubilar, R. P., Saint-André, L., Sanquetta, C., Scott, C., & Westfall, J. (2015). Overcoming obstacles to sharing data on tree allometric equations. Annals of Forest Science, 72, 789-794. doi: 10.1007/s13595-015-0467-8 [ Links ]

Clifford, D., Cressie, N., England, J. R., Roxburgh, S. H., & Paul, K. I. (2013). Correction factors for unbiased, efficient estimation and prediction of biomass from log-log allometric models. Forest Ecology and Management, 310, 375-381. doi: 10.1016/j.foreco.2013.08.041 [ Links ]

Crow, E. L., & Shimizu, K. (1988). Lognormal distributions. Theory and applications. Dekker. New York. [ Links ]

Cunia, T. (1987). Construction of tree biomass tables by linear regression techniques. En: E. H. Wharton & T. Cunia. (Eds.). Estimating tree biomass regressions and their error (pp. 27-36). USDA Forest Service. General Technical Report NE-GTR-117. [ Links ]

Dawkins, H. C. (1963). Estimating total volumen of some Caribbean trees. Caribbean Forester, 22(1), 62-63. [ Links ]

Djomo, A. N., Ibrahima, A., Saborowski, J., & Gravenhorst, G. (2010). Allometric equations for biomass estimation in Cameroon and pan moist tropical equation including bio-mass data from Africa. Forrest Ecology and Management, 260(10), 1873-1885. doi: 10.1016/j. foreco.2010.08.034 [ Links ]

Dralle, D., Karst, N., & Thompson, S. E. (2015). a, b careful: The challenge of scale invariance for comparative analyses in power law models of the streamflow recession. Geophysical Research Letters, 42(21), 9285-9293. doi: 10.1002/2015GL066007. [ Links ]

Duan, N. (1983). Smearing estimate: a nonparametric retransformation method. Journal of the American Statistical Association, 78(383), 605-610. doi:10.1080/01621459.19 83.10478017 [ Links ]

El-Shaarawi, A. H., & Viveros, R. (1997). Inference about the mean in log-regression with environmental applications. Environmetrics, 8(5), 569-582. [ Links ]

Falster, D., Duursma, R. A., Ishihara, M. I., Barneche, D. R., FitzJohn, R. G., Varhammar, A., Aiba, M., Ando, M., Anten, N., Aspinwall, M. J., Baltzer, J. L., Baraloto, C., Battaglia, M., Battles, J. J., Bond, B. L., van Breugel, M., Camac, J., Claveau, Y., Coll, L., Dannoura, M., Dela-grange, S., Domec, J. C., Fatemi, F., Feng, W., Gargaglione, V., Goto, Y., Hagihara, A., Hall, J. S., Hamilton, S., Harja, D., Hiura, T., Holdaway, R., Hutley, L. S., Ichie, T., Jokela, E. J., Kantola, A., Kelly, J. W. G., Kenzo, T., King, D., Kloeppel, B. D., Kohyama, T., Komiyama, A., Laclau, J. P., Lusk, C. H., Maguire, D. A., le Maire, G., Mäkelä, A., Markesteijn, L., Marshall, J., McCulloh, K., Miyata, I., Mokany, K., Mori, S., Myster, R. W., Nagano, M., Naidu, S. L., Nouvellon, Y., O'Grady, A. P., O'Hara, K., Ohtsuka, T., Osada, N., Osunkoya, O. O., Peri, P. L., Petritan, A. M., Poorter, L., Porthsmuth, A., Potvin, C., Ransijn, J., Reid, D., Ribeiro, S. C., Roberts, S. D., Rodriguez, R., Saldana, A., Santa-Regina, I., Sasa, K., Selaya, N. G., Sillett, S. C., Sterck, F., Takagi, K., Tange, T., Tanouchi, H., Tissue, D., Umehara, T., Utsugi, H., Vadeboncoeur, M. A., Valladares, F., Vanninen, P., Wang, J. R., Wenk, E., Williams, R., de Aquino Ximenes, F., Yamaba, A., Yamada, T., Yamakura, T., Yanai, R. D., & York, R. A. (2015). BAAD: A Biomass And Allometry Database for woody plants. Ecology 96(5), 1445. doi: 10.1890/14-1889.1 [ Links ]

Fayolle, A., Loubota Panzou, G. J., Drpuet, T., Swaine, M. D., Bauwens, S., Vlrminckx, J., Biwole, A., Lejeune, P., & Doucet, J. L. (2016). Taller trees, denser stands and greater biomass in semi-deciduous than in evergreen low-land central African forests. Forest Ecology and Manage-ment, 374, 42-50. doi: 10.1016/j.foreco.2016.04.033 [ Links ]

Fehrmann, L., & Kleinn, C. (2006). General considerations about the use of allometric equations for biomass estimation on the example of Norway spruce in Central Europe. Forest Ecology and Management, 236, 4112-421. doi: 10.1016/j.foreco.2006.09.026 [ Links ]

Feldpausch, T. R., Banin, L. , Phillips, O. L. , Baker, T. R. , Lewis, S. , Quesada, C. A. , Affum-Baffoe, K. , Arets, E. J. , Berry,N. J. , Bird, M. , Brondizio, E. S. , de Camargo, P. , Chave, J. , Djagbletey, G. , Dominguez, T. F. , Drescher, M., Fernside, P. M., Franca, M. B., Fyllas, N. M., Lopez, G., Hladik, A., Higuchi, N., Hunter, M. O., Lida, Y., Salim, K. A., Kassim, A. R., Keller, M., Kemp, J., King, D. A., Lovett, J. C., Marimom, B. S., Marimon, B. H., Lenza, E., Marshall, A. R., Metcalfe, D. J., Mictchard, E.T. A., Moran, E. F., Nelson, W. B., Nilus, R., Nogueira, E. M., Palace, M., Patiño, S., Peh, K. S. H., Raventos, T, Reitsma, J. M., Saiz, Schrodt, F. , Sonké, B. , Taedoumg, H. E. , Tan, S. , White, L. , Wöll, H. , & Lloyd, J. . (2011). Heightdi-ameter allometry of tropical forest trees. Biogeosciences, 8(5), 1081-1106. doi:10.5194/bg-8-1081-2011 [ Links ]

Feldpausch, T. R., Lloyd, J., Lewis, S. L., Brienen, R. J. W., Gloor, M., Monteagudo, M., Lopez, G., Banin, L., Abu, K. S., Affum, K. B., Alexiades, M., Almeida, S., Amaral, I., Andrade, A., Aragao, L., Araujo, A., Arets, E. J. M. M., Arroyo, L., Aymard, G. A., Baker, T. R., Bánki, O. S., Berry, N. J., Cardozo, N., Chave, J., Comiskey, J. A., Alvarez, E., de Oliveira, A., Di Fiore, A., Djagbletey, G., Dominguez, T. E., Erwin, T. L., Fearnside, P . M., Franca, M. B., Freitas, M. A., Higuchi, N., Honorio, E., Lida, Y., Jiménez, E., Kassim, A. R., Killeen, T. J., Laurance, W. F., Lovett, J. C., Metcalfe, D. J., Mitchard, E. T. A, Neill, D. A., Nelson, B. W., Nilus, R., Nogueira, E. M., Parada, A., Peh, K. S. H., Pena, A. C., Peñuela, M. C., Pitman, N. C. A., Prieto, A., Quesada, C. A., Ramírez, F., Ramírez, H. A., Reitsma, J. M., Rudas, A., Saiz, G., Salomao, R. P., Scwarz, M., Silva, N., Silva, J. E., Silveira, M., Sonké, B., Stropp, J., Taedoumg, H. E., Tan, S., Teer, H. S., Ter-borgh, J., Torello, M. R., van der Heijden, G. M. F., Vásquez, R., Vilanova, E., Vos, V. A., White, L., Wilcock, S., Woell, H., & Phillips, O. L. (2012). Tree height integrated int pantropical forest biomass estimates. Biogeo-sciences, 9(8), 3381-3403. doi: 10.5194/bg-9-3381-2012 [ Links ]

Finney, D. J. (1941). On the distribution of a variable whose logarithm is normally distributed. J. Royal Stat. Sci. Series B, 7(2), 155-161. doi: 10.2307/2983663 [ Links ]

Forrester, D. I., Tachauer, I. H. H., Annighoefer, P., Barbeito, I., Pretzsch, H., Ruiz, R. P., Stark, H., Vacchiano, G., Zlata-nov, T., Chakraborty, T., Saha, S., & Sileshi, G. W. (2017). Generalized biomass and leaf area allometric equations for European tree species incorporating stand structure, tree age and climate. Forest Ecology and Management, 396, 160-175. doi: 10.1016/j.foreco.2017.04.011 [ Links ]

Gavrikov, V. L. (2017). Relationships between relationships in forest stands: intercepts and exponents analyses. J. For. Res, 29(3), 575-582. doi: 10.1007/s11676-017-0475-7. [ Links ]

Gayon, J. (2000). History of the concept of allometry. American Zoologist, 40(5), 748-758. doi: 10.1093/icb/40.5.748 [ Links ]

Genet, A., Wernsdörfer, H., Jonard, M., Pretzch, H., Rauch, M., Ponette, Q., Nys, C., Legout, A., Ranger, J., Vallet, P., & Saint-André, L. (2011). Ontogeny partly explains the apparent heterogeneity of published biomass equations for Fagus sylvatica in central Europe. Forest Ecology and Management, 261(7), 1188-1202. doi: 10.1016/j. foreco.2010.12.034 [ Links ]

Goodman, R. C., Phillips, O. L., & Baker, T. R. (2014). The importance of crown dimensions to improve tropical tree biomass estimates. Ecological Applications, 24(4), 680-698. doi: 10.1890/13-0070.1 [ Links ]

Goussanou, C. A., Guendehou, S., Assogbadjo, A. E., Kaire, M., Sinsin, B., & Cuni, A. S. (2016). Specific and generic stem biomass and volume models of tree species in a West African tropical semi-deciduous forest. Silva Fennica, 50(2). doi: 10.14214/sf.1474 [ Links ]

Henry, M., Bombelli, A., Trotta, C., Alessandrini, A., Birigazzi, L., Sola, G., Vieilledent, G., Santenoise, P., Longuetaud, F., Valentini, R., Picard, N., & Saint-André, L. (2013). GlobAllomeTree: international platform for tree allometric equations to support volume, biomass and carbon assessment. iForest - Biogeosciences and Forestry , 0, 326-330. doi: 10.3832ifor0901-006 [ Links ]

Henry, M., Cifuentes, M. J., Réjou, M., Piotto, D., Fuentes, J. M., Wayson, C., Guier, F. A., Castañeda, H. L., Castellanos, E. L., Cuenca, R. L., Cueva, K. R., del Águila, J. P., Duque, Á. M., Fernández, J. V., Jiménez, A. G., López, O. R., Marklund, L. G., Milla, F., Návar Ch., J. J., Ortiz, E. M., Pérez, J., Ramírez, C. Z., Rangel, L. G., Rubilar, R., Sanquetta, P. C., Scott, C., Westfall, J., Zapata, M. C., & Saint-André, L. (2015). Recommendations for the use of tree models to estimate national forest biomass and assess their uncertainty. Annals of Forest Science, 72, 769-777. doi: 10.1007/s13595-015-0465-x [ Links ]

Henry, M., Picard, N., Trotta, C., Manlay, R. J., Valentini, R., Bernoux, M., & Saint-André, L. (2011). Estimating tree biomass of Sub-Saharan African forests: a review of available allometric equations. Silva Fennica, 45(3B), 477-569. doi: 10.14214/sf.38 [ Links ]

Hersh, A. H. (1931). Facet number and genetic growth constants in bar-eyed stocks of Drosophila. The Journal of Experimental Zoology, 60(2), 213-248. doi: 10.1002/ jez.1400600204 [ Links ]

Hughes, R. F., Kauffman, J. B & Jaramillo, V. (1999). Biomass, carbon, and nutrient dynamic of secondary forests in humid tropical region of México. Ecology, 80(6),1892-1907. doi: 10.1890/0012-9658(1999)080[1892:BCAN-DO]2.0.CO;2 [ Links ]

Hughes, H. G., Varner, L. W., & Blankenship, L. H. (1987). Estimating shrub production from plant dimensions. Journal of Range Management, 40(4), 367-369. doi: 10.2307/3898739 [ Links ]

Hui, C., Terblanche, J. S., Chown, S. L., & McGeoch, M. A. (2010). Parameter landscapes unveil the bias in allometric prediction. Methods in Ecology and Evolution, 1(1), 69-74. doi: 10.1111/j.2041-210X.2009.00005.x [ Links ]

Hulshof, C. M., Swenson, N. G., & Weiser, M. D. (2015). Tree height-diameter allometry across United States. Ecology and Evolution, 5(6), 1193-1204. doi: 10.1002/ece3.1328 [ Links ]

Huxley, J. S. (1924). Constant differential growth ratios and their significances. Nature, 114(), 895-896. doi: 10.1038/114895a0 [ Links ]

Huxley, J. S. (1932). Problems of relative growth. New York: The Dial Press. [ Links ]

Jenkins, J. C., Chojnacky, D. C., Heath, L. S., & Birdsey, R. A. (2003). National-scale biomass estimators for United States tree species. Forest Science, 49(1), 12-35. doi: 10.1093/forestscience/49.1.12 [ Links ]

Jenkins, J. C., Chojnacky, D. C., Heath, L. S., & Birdsey, R. A. (2004). Comprehensive database of diameter-based biomass regressions for North American tree species. General Technical Report NE-319. Northeastern Research Station. USDA Forest Service, Newton Square, PA. 47 p. [ Links ]

Jokela, E. J., Shannon, C. A., & White, E. H. (1981). Biomass and nutrient equations for mature Betula papyrifera Marsh. Canadian Journal of Forest Research, 11(2), 298-304. doi: 10.1139/x81-040 [ Links ]

Kaitaniemi, P. (2008). How to derive biological information from the value of the normalization constant in allometric equations. PLoS ONE, 3, e1932. doi: 10.1371/journal. pone.0001932 [ Links ]

Ketterings, Q. M., Coe, R., van Noordwijk, M., Ambagau, Y., & Palm, C. A. (2001). Reducing uncertainty in the use of allometric biomass equations for predicting above-ground tree biomass in mixed secondary forests. Forest Ecology and Management, 146(1-3), 199-209. doi: 10.1016/ S0378-1127(00)00460-6 [ Links ]

Lambert, M. C., Ung, C. H., & Raulier, F. (2005). Canadian national tree aboveground biomass equations. Canadian Journal of Forest Research, 35(8), 1996-2018. doi: 10.1139/x05-112 [ Links ]

Lee, C. Y. (1982). Comparison of two correction methods for the bias due to the logarithmic transformation in the estimation of biomass. Canadian Journal of Forest Research, 12(2), 326-331. doi: 10.1139/x82-047 [ Links ]

Lines, E.R., Zavala, M. A., Purves, D. W., & Coomes, D. A. (2012). Predictable changes in aboveground allometry of trees along gradients of temperature, aridity and competition. Global Ecology and Biogeography, 21(10), 1017-1028. doi: 10.1111/j.1466-8238.2011.00746.x [ Links ]

Lumer, H. (1936). The relation between b and k in systems of relative growth functions of the form Y = bXk. The American Naturalist, 70, 188-191. [ Links ]

Lumer, H. (1939). The dimensions and interrelationship of the relative growth constants. American Naturalist, 73, 339-345. [ Links ]

Lumer, H., Anderson, B. G., & Hersh, A. H. (1942). On the significance of the constant b in the law of allometry Y=bXa. American Naturalist, 76, 364-375. [ Links ]

Mason, N. W. H., Beets, P.N., Payton, I., Burrows, L., Hold-away, R. J., & Carsweil, F. E. (2014). Individual-based allometric equations accurately measure carbon storage and sequestration in shrublands. Forests, 5(2), 309-324. doi: 10.3390/f5020309 [ Links ]

Méndez, G., J., Turlan, O. A, Ríos, J. C. S., & Nájera, J. A. L . (2012). Ecuaciones alométricas para estimar biomasa aérea de Prosopis laevigata (Humb. and Bonpl. Ex Willd.) M. C. Johnst. Revista Mexexicana de Ciencias Forestales, 3(13), 57-72. [ Links ]

Miller, D. M. (1984). Reducing transformation bias in curve fitting. The American Statistician, 38(2), 124-126. doi: 10.1080/00031305.1984.10483180 [ Links ]

Molto, Q., Rossi, V., & Blanc, L. (2013). Error propagation in biomass estimation in tropical forests. Methods in Ecology and Evolution, 4(2), 175-183. doi: 10.1111/j.2041-210x.2012.00266.x [ Links ]

Motulsky, H. J., & Ransnas, L. A. (1987). Fitting curves to data using nonlinear regression: a practical and nonmathematical review. The FASEB Journal, 1(5), 365-374. doi: 10.1096/fasebj.1.5.3315805 [ Links ]

Muukkonen, P. (2007). Generalized allometric volume and bio-mass equations for some tree species in Europe. European Journal of Forest Research, 126(2), 157-166. doi: 10.1007/ s10342-007-0168-4 [ Links ]

Najera, J. A. (1999). Ecuaciones para estimar biomasa, volumen y crecimiento en biomasa y captura de carbono en diez especies típicas del matorral espinoso Tamaulipeco del nordeste de México. Tesis de Maestría, Facultad de Ciencias Forestales, Universidad Autónoma de Nuevo León, Linares, Nuevo León. 98 p. [ Links ]

Návar, J. J. (2009a). Allometric equations for tree species and carbon stocks for forests of Northwestern Mexico. Forest Ecology and Management, 257(2), 427-434. doi: 10.1016/j.foreco.2008.09.028 [ Links ]

Návar, J. J. (2009b). Biomass component equations for Latin American species and group of species. Annals of Forest Science, 66(2), 1-8. doi: 10.1051/forest/2009001 [ Links ]

Návar, J. J. (2010a). Biomass allometry for tree species of Northwestern Mexico. Tropical and Subtropical Agroecosystems, 12(3), 507-517. [ Links ]

Návar, J. J. (2010b). Measurement and assessment methods of forest aboveground biomass: a literature review and challenges ahead. En: M. Momba & F. Bux. Biomass. Intech. Sciyo, Croatia. [ Links ]

Návar, J., Nájera, J., & Jurado, E. (2001). Preliminary estimates of biomass growth in the Tamaulipan thornscrub in north-eastern Mexico. Journal of Arid Environments, 47(3), 281-290. doi: 10.1006/jare.2000.0708 [ Links ]

Návar, J., Nájera, J., & Jurado, E. (2002). Biomass estimation equations in the Tamaulipan thornscrub of north-eastern Mexico. Journal of Arid Environments, 52(2), 167-179. doi: 10.1006/jare.2001.0819 [ Links ]

Návar, J., Ríos, J. S., Pérez, G. V., de J. Rodríguez, F., & Domínguez, P. A. (2013). Regional aboveground biomass equations for North American arid and semiarid forests. Journal of Arid Environments, 97, 127-135. doi: 10.1016/j.jaridenv.2013.05.016 [ Links ]

Ngomanda, A., Engone, N. L., Lebamba, J., Moundounga, Q., Gomat, H., Sidoine Mankou, G., Loumeto, J., Midoko, D., Koss, F., Zinga, R., Botsika, K. H., Mikala, C., Nyan-gadouma, R., Lépengué, N., Mbatchi, B., & Picard, N. (2013). Site-specific versus pantropical allometric equa-tions: which option to estimate the biomass of a moist central African forest? Forest Ecology and Management, 312, 1-9. doi: 10.1016/j.foreco.2013.10.029 [ Links ]

Nickless, A., Scholes, R. J., & Archibald, S. (2011). A method for calculating the variance and confidence intervals for tree biomass estimates obtained from allometric equations. South African Journal of Science, 107(5-6), 86-95. doi: 10.4102/sajs.v107i5/6.356 [ Links ]

Niklas, K. J. (1994). Plant allometry, the scaling of form and process. Chicago: University of Chicago Press. 365 p. [ Links ]

Nuno, A., Tomé, M., Tomé, J., Soares, P., & Fontes, L. (2007). Effect of tree, stand, and site variables on the allometry of Eucalyptus globulus tree biomass. Canadian Journal of Forest Research, 37(5), 895-906. doi: 10.1139/X06-276 [ Links ]

O´Brien, S. T., Hubell, S. P., Spiro, P., Condit, R., & Foster, R. B. (1995). Diameter, height, crown, and age relationships in eight neotropical tree species. Ecology, 76(6), 1926-1939. doi: 10.2307/1940724 [ Links ]

Packard, G. C. (2009). On the use of logarithmic transformation in allometric analyses. Journal of Theoretical Biology, 257(3), 515-518. doi: 10.1016/j.jtbi.2008.10.016 [ Links ]

Packard, G. C. (2017). Misconceptions about logarithmic trans-formation and the traditional allometric method. Zoology, 217, 115-120. doi: 10.1016/j.zool.2017.07.005 [ Links ]

Packard, G. C., & Boardman, T. J. (2008). Model selection and logarithmic transformation in allometric analysis. Physiological and Biochemical Zoology, 81(4), 496-507. doi: 10.1086/589110 [ Links ]

Packard, G. C., Birchard, G. F & Boardman, T. J. (2011). Fitting statistical models in bivariate allometry. Biological Reviews, 86(3), 549-563. doi: 10.1111/j.1469-185X.2010.00160.x [ Links ]

Palmer, M. W., McGlinn, D. J., & Fridley, J. D. (2008). Arti-facts and artifictions in biodiversity research. Folia Geobotanica, 43(3), 245-257. doi: 10.1007/s12224-008-9012-y [ Links ]

Parresol, B. R. (1999). Assessing tree and stand biomass: a review with examples and critical comparisons. Forest Science, 45(4), 573-593. [ Links ]

Pastor, J., Aber, J. D., & Melillo, J. M. (1984). Biomass prediction using generalized allometric regressions for some north east tree species. Forest Ecology and Management, 7(4), 265-274. doi: 10.1016/0378-1127(84)90003-3 [ Links ]

Pattyn, F., & van Huele, W. (1998). Power law or power flaw? Earth Surface Processes and Landforms, 23(8), 761-767. doi: 10.1002/(SICI)1096-9837(199808)23:8<761::AID-ESP892>3.0.CO;2-K [ Links ]

Paul, K. I., Roxburgh, S. H, Chave, J., England, J. R., Zerihun, A., Specht, A., Lewis, T., Bennet, L. T., Baker, T. G., Adams, M. A., Hustable, D., Montagu, K. D., Falster, D. S., Feller, M., Sochacki, S., Ritson, P., Bastin, G., Bartle, J., Wildy, D., Hobbs, T., Larmour, J., Waterworth, R., Stewart, H. T. L., Jonson, J., O´Grady, D. A., Green, D., Sudmeyer, R., Rance, S. J., Turner, J., Barton, C., Wenk, E. H., Grove, T., Attiwill, P. M., Pinkard, E., Butler, D., Broodsbank, K., Spencer, B., Snowdon, P., O´Brien, N., Battaglia, M., Cameron, D. M., Hamilton, S., Mcauthur,G., & Sinclair, J. (2016). Testing the generality of above-ground biomass allometry across plant functional types at the continental scale. Global Change Biology, 22(6), 2106-2124. doi: 10.1111/gcb.13201 [ Links ]

Paz, F., Odi, M., Cano, A., Bolaños, M. A., & Zarco, A. (2009). Equivalencia ambiental en la productividad de la vegetación. Agrociencia, 43(6), 635-648. [ Links ]

Pelletier, J., Kirby, K. R & Potvin, C. (2010). Significance of carbon stock uncertainties on emission reductions from deforestation and forest degradation in developing countries. Forest Policy and Economics, 24, 3-11. doi: 10.1016/j.forpol.2010.05.005 [ Links ]

Peterson, H., Holm, S., Stahl, G., Alger, D., Fridman, J., Lehtonen, A., & Makipaa, A. (2012). Individual tree biomass equations of biomass expansion factors for assessment of carbon stock changes in living biomass - A comparative study. Forest Ecology and Management, 270, 78-84. doi: 10.1016/j.foreco.20 12.01.004 [ Links ]

Picard, N., Boyemba, F. B., & Rossi, V. (2015a). Reducing the error in biomass estimates strongly depends on model selection. Annals of Forest Science, 72(6), 811-823. doi: ff10.1007/s13595-014-0434-9f [ Links ]

Picard, N., Henry, M., Mortier, F., Trotta, C., & Saint-Andre, L. (2012). Using Bayesian model averaging to predict tree aboveground biomass in tropical moist forests. Forest Sci-ence, 58(1), 15-23. doi: 10.5849/forsci.10-083 [ Links ]

Picard, N., Rutishauser, E., Ploton, P., Ngomanda, A., & Henry, M. (2015b). Should tree biomass allometry be restricted to power models? Forest Ecology and Management, 356, 156-163. doi: 10.1016/j.foreco.2015.05.035 [ Links ]

Pilli, R., Anfidillo, T., & Carrer, M. (2006). Towards a functional and simplified allometry for estimating forest bio-mass. Forest Ecology and Management, 237(1), 583-593. doi: 10.1016/j.foreco.2006.10.004 [ Links ]

Ploton, P., Barbier, N., Takoudjou, S. M., Réjou, M., Boyemba, F. B., Chuyong, G., Dauby, G., Droissart, V., Fayolle, A., Goodman, R. C., Henry, M., Kamdem, N. G., Mukirania, J. K., Kenfack, D., Libalah, M., Ngomanda, A., Rossi, V., Sonké, B., Texier, N., Thomas, D., Zebaze, D., Couteron, P., Berger, U., & Pélissier, R. (2016). Closing a gap in tropical forest biomass estimation: taking Crown mass variation into account in pantropical allometries. Biogeosciences, 13(5), 1571-1585. doi: 10.5194/bg-13-1571-2016 [ Links ]

Price, C. A., Enquist, B. J., & Savage, V. M. (2007). A general model for allometric covariation in botanical form and function. Proceedings of the National Academy of Sci-ences of the United States of America, 104(32), 13204-13209. doi: 10.1073/pnas.0702242104 [ Links ]

Rojas-García, F., de Jong, B. H. J., Martínez, P. Z., & Paz, F. (2015). Database of 478 allometric equations to estimate biomass for Mexican trees and forests. Annals of Forest Science, 72(6), 835-864. doi: 10.1007/s13595-015-0456-y [ Links ]

Schumacher, F. X., & Hall, F. S. (1933). Logarithmic expression of timber-tree volume. Journal of Agricultural Research, 47(9), 719-734. [ Links ]

Shen, H., & Zhu, Z. (2008). Efficient mean estimation in log-normal linear models. Journal of Statistical Planning and Inference, 138, 552-567. doi: 10.1016/j. jspi.2006.10.016 [ Links ]

Sheng, W., & Zheng, S. (2011). Bias correction in logarithmic regression and comparison with weighted regression for non-linear models. Nature Proceedings. doi: 10.1038/ npre.2011.6708.1. [ Links ]

Sileshi, G. W. (2014). A critical review of forest biomass estimation models, common mistakes, and corrective measures. Forest Ecology and Management, 329, 237-254. doi: 10.1016/j.foreco.2014.06.026 [ Links ]

Smith, R. J. (1993). Logarithmic transformation bias in allometry. American Journal of Physical Anthropology, 90(2), 215-228. doi: 10.1002/ajpa.1330900208 [ Links ]

Snowdon, P. (1991). A ratio estimator for bias correction in log-arithmic regression. Canadian Journal of Forest Research, 21(5), 720-724. doi: 10.1139/x91-101 [ Links ]

Sprugel, D. G. (1983). Correcting for bias in log-transformed allometric equations. Ecology, 64(1), 209-210. doi: 10.2307/1937343 [ Links ]

Temesgen, H., Affleck, D., Poudel, K., Gray, A., & Sessions, J. (2015). A review of the challenges and opportunities in estimating above ground forest biomass using tree-level models. Scandinavian Journal of Forest Research, 30(4), 326-335. doi: 10.1080/02827581.2015.1012114 [ Links ]

Ter-Mikaelian, M. T., & Korzukhin, M. (1997). Biomass equations for sixty-five North American tree species. Forest Ecology and Management, 97(1), 1-24. doi: 10.1016/ S0378-1127(97)00019-4 [ Links ]

Thomas, S. C. 1996. Asymptotic height as a predictor of growth and biometric characteristics in Malaysian rain forest trees. American Journal of Botany, 83(5), 556-566. [ Links ]

Tjeuw, J., Mulia, R., Slingerland, M., & van Noordwijk, M. (2015). Tree or shrub: a functional branch analysis of Jatropha curcas L. Agroforesty Systems, 89(5), 841-856. doi: 10.1007/s10457-015-9819-5 [ Links ]

Turlan, O. A. (2011). Ecuaciones alométricas para cuantificar biomasa aérea en siete poblaciones de Prosopis spp. en el norte-centro de México. Tesis de Ingeniero Forestal, División de Agronomía, Universidad Autónoma Agraria Antonio Narro Buenavista, Saltillo, Coahuila. 34 p. [ Links ]

van Breugel, M., Ransijn, J., Craven, D., Bongers, F., & Hall, J. S. (2001). Estimating carbon stock in secondary forests: decisions and uncertainty associated with allometric bio-mass models. Forest Ecology and Management, 262(8), 1648-1657. doi: 0.1016/j.foreco.2011.07.018 [ Links ]

Vanninen, P., Ylitalo, H., Sievänen, R., & Mäkelä, A. (1996). Effects of age and quality on the distribution of biomass in Scots pine (Pinus sylvestris L.). Trees, 10(4), 231-238. doi: 10.1007/BF02185674 [ Links ]

Vargas, B., Lope, C. A., Corral, J. J., Lopez, J. O., Aguirre, C. G., & Alvarez, J. G. (2017). Allometric equations for estimating biomass and carbon stocks in the temperate forests of North-Western Mexico. Forests, 8(269). doi: 10.3390/f8080269. [ Links ]

Vargas, R., Alcaraz, D. S.,Birdsey, R., Brunsell, N. A., Cruz, C. O., de Jong, B., Etchevers, J., Guevara, M., Hayes, D. J., Johnson, K., Loescher, H. W., Paz, F., Ryu, Y, Sanchez, Z &Toledo, K. P . (2017). Enhancing interoperability to facilitate implementation of REDD+: case study of Mexico. Carbon Management, 8(1), 57-65. doi: 10.1080/17583004.2017.1285177 [ Links ]

Warton, D. I., Wright, I. J., Falster, D. S., & Westoby, M. (2006). Bivariate line-fitting methods for allometry. Biological Reviews, 81(2), 259-291. doi: 10.1017/ S1464793106007007 [ Links ]

Wayson, C. A., Carrillo, O. I., & Birdsey, R. A. (2015). Estimating uncertainty of allometric biomass equations with incomplete fit error information using a pseudo-data approach: methods. Annals of Forest Science, 72(6), 825-834. doi: 10.1007/s13595-014-0436-7 [ Links ]

West, G. B., Brown, J. H., & Enquist, B. J. (1999). A general model for the structure and allometry of plant vascular system. Nature, 400, 664-667. doi: 10.1038/23251 [ Links ]

White, J. F., & Gould, S. J. (1965). Interpretation of the coefficient in the allometric equation. American Naturalist, 99(904), 5-18. doi: 10.1086/282344 [ Links ]

Woods, K. D., Feiveson, A. H., & Botkin, D. B. (1991). Statistical error analysis for biomass density and leaf area index estimation. Canadian Journal of Forest Research, 21(7), 974-989. doi: 10.1139/x91-135 [ Links ]

Wutzler, T., Wirth,, C & Schumacher, J. (2008). Generic biomass functions for common beech (Fagus sylvatica L.) in Central Europe -predictions and components of uncertainty. Canadian Journal of Forest Research, 38(6), 1661-1675. [ Links ]

Zapata-Cuartas, C., Sierra, A., & Alleman, L. (2012). Probability distribution of allometric coefficients and Bayesian estimation of aboveground tree biomass. Forest Ecology and Management, 277, 173-179. doi: 10.1016/j. foreco.2012.04.030 [ Links ]

Zar, J. H. (1968). Calculation and miscalculation of the allometric equation as a model in biological data. BioScience, 18(12), 1118-1120. doi: 10.2307/1294589 [ Links ]

Zhang, Z., Zhong, Q., Niklas, K. J., Cai, L., Yang, Y & Cheng, D. (2016). A predictive nondestructive model for the covariation of tree height, diameter, and stem volumen scaling relationships. Scientific Reports, 6(1). doi: 10.1038/srep31008. [ Links ]

Zianis, D. (2008). Predicting mean aboveground forest biomass and its associated variance. Forest Ecology and Management, 256(6), 1400-1407. doi: 10.1016/j. foreco.2008.07.002 [ Links ]

Zianis, D., & Mencuccini, M. (2004). On simplifying analyses of forest biomass. Forest Ecology and Management, 187(2-3), 311-332. doi: 10.1016/j.foreco.2003.07.007 [ Links ]

Zianis, D., Muukkonen, P., Mäkipää, R., & Mencuccini, M. (2005). Biomass and stem volume equations for tree species in Europe. The Finnish Society of Forest Science. Silva Fennica Monographs 4. ISBN 951-40-1984-9. 63 p [ Links ]

Recibido: 14 de Septiembre de 2018; Aprobado: 15 de Enero de 2021; Publicado: 02 de Diciembre de 2021

* Autor de correspondencia: ferpazpel@gmail.com

Creative Commons License Este es un artículo publicado en acceso abierto bajo una licencia Creative Commons