Introducción
El deterioro de la calidad del agua en embalses y lagos se debe fundamentalmente a las descargas de contaminantes con un inadecuado o nulo tratamiento, constituyendo un importante riesgo de transmisión de enfermedades de origen hídrico, en particular si estos cuerpos de agua son utilizados para el desarrollo de diversas actividades recreacionales o como fuente de abastecimiento de agua potable (Nyairo et al. 2015, Park et al. 2018). El crecimiento acelerado de la población y la producción agrícola, junto con el incremento de la industrialización a nivel mundial, han originado una mayor demanda de agua dulce en el mundo (WWAP 2015); por lo que los embalses juegan un papel fundamental desde el punto de vista socio ecológico, ya que una mala calidad del agua pone en riesgo la sostenibilidad y supervivencia de los ecosistemas y sus especies, así como a los humanos por ser usuarios del recurso (Prince-Flores y Espinosa-Bouchot 2021).
Existen muchos estudios sobre calidad del agua en diferentes cuerpos de agua (Azpilcueta-Pérez et al. 2017, Quevedo-Castro et al. 2019a, García-Rodríguez et al. 2021), pero el monitoreo continuo de los cuerpos de agua asociado a sus variaciones espaciales y temporales genera gran cantidad de datos que son difícil de interpretar (Kazi et al. 2009, Espinal-Carreón et al. 2013). Los análisis de tendencias ayudan a entender los cambios que experimentan los datos ya sea espacial y/o temporalmente. Algunos métodos para evaluar tendencias en parámetros de calidad del agua han sido el índice de calidad del agua y el análisis de componentes principales (Varol 2020, García-Rodríguez et al. 2021, Larrea-Murrell et al. 2022). Otro método para evaluar tendencias temporales es la prueba no estacional de Mann-Kendall, esta prueba es útil para detectar tendencias monotónicas y puede desarrollarse aún con datos censurados o valores faltantes de la serie. Se han desarrollado algunos trabajos para determinar las tendencias de la calidad del agua en cuerpos de agua y aguas subterráneas (Ramos-Herrera et al. 2012, Urresti-Estala et al. 2012, Casares y De Cabo 2018, Xiang et al. 2021), encontrando que la utilización de la prueba de Mann-Kendall, es una herramienta útil para determinar la tendencia de la calidad de las aguas en el tiempo mediante datos periódicos. Por lo anterior, el objetivo del presente trabajo fue analizar la tendencia de parámetros de calidad del agua en un embalse tropical, aplicando el análisis estadístico no-paramétrico de Mann-Kendall, sugerido para evaluar la tendencia en series de datos ambientales.
Materiales y métodos
Área de estudio
El embalse Aurelio Benassini Vizcaíno, también conocido como presa El Salto se ubica en la zona centro-sur del estado de Sinaloa, en el municipio de Elota (Figura 1). Su altitud es 167.1 metros sobre el nivel del mar, con una superficie de 2 714 ha. Su capacidad de almacenamiento total es de 415 hm3 (CONAGUA 2018). La agricultura de esta región depende de este cuerpo de agua, al regar el Distrito de Riego (DR) 108 Elota-Piaxtla, el cual tiene una superficie de riego de aproximadamente 21 976 ha con un volumen distribuido de 249.8 hm3 (CONAGUA 2018). Este embalse es importante para el estado de Sinaloa, ya que este DR es uno de los principales productores de chile y tomate (CODESIN 2018), alimentos agrícolas de exportación, los cuales alcanzaron un valor de producción de aproximadamente 921.85 millones de pesos en el año 2021 (SIACON 2023). Asimismo, otro uso importante de este embalse es la actividad pesquera, tanto comercial como deportiva (Gaspar-Dillanes et al. 2010). Los niveles del agua en el embalse fluctúan de acuerdo con la precipitación, que varía de 700 a 1 500 mm anuales (CONAGUA 2020) y con la extracción constante para el sistema de riego. Generalmente, aumenta de nivel a partir de septiembre, con la acumulación de escurrimientos de lluvia de las laderas, llega a su nivel más alto a finales de octubre y empieza a bajar en diciembre, alcanzando su nivel más bajo en junio, que es cuando reinicia la época de lluvia. Por lo anterior, el embalse se encuentra en niveles bajos durante el verano.
Análisis estadístico descriptivo
Los datos utilizados fueron proporcionados por la Comisión Nacional del Agua, organismo responsable de la gestión, regulación, control y protección del agua en México. Se utilizaron 23 parámetros (Tabla 1) entre datos fisicoquímicos y biológicos, obtenidos con una periodicidad variable en cuatro puntos de muestreo en la presa El Salto (Figura 1), en la serie temporal de 2012 al 2020 (CONAGUA 2021). Para evaluar la calidad del agua se emplearon los criterios ecológicos de la calidad del agua CE-CCA-001/89 (SEGOB 1989) y la clasificación trófica de la Organización para la Cooperación y el Desarrollo Económicos (OECD) (OECD 1982), así como, un análisis de tendencia con la prueba de Mann-Kendall para cada parámetro.
Tabla 1 Análisis estadístico descriptivo de los parámetros fisicoquímicos y biológicos de la presa El Salto, periodo 2012-2020.
| Parámetro | Unidades | Promedio | Desviación Estándar | Rango |
|---|---|---|---|---|
| Temperatura | °C | 26.99 | 3.21 | 12.47 |
| pH | Unidad pH | 8.35 | 0.64 | 2.6 |
| CE | µS cm-1 | 421 | 448 | 5885 |
| SDT | mg L-1 | 226.60 | 203.88 | 1413.76 |
| SST | mg L-1 | 54.70 | 126.25 | 705.00 |
| Turbiedad | UNT | 3.3 | 2.7 | 17.4 |
| OD | mg L-1 | 5.17 | 2.62 | 9.90 |
| DBO | mg L-1 | 9.96 | 16.67 | 82.80 |
| DQO | mg L-1 | 47.44 | 55.86 | 322.39 |
| COT | mg L-1 | 5.60 | 1.56 | 6.68 |
| Coliformes-fecales | NMP/100 mL | 943 | 1199 | 7260 |
| Escherichia coli | NMP/100 mL | 64 | 139 | 628 |
| N-NO2 | mg L-1 | 0.01 | 0.01 | 0.06 |
| N-NO3 | mg L-1 | 0.08 | 0.12 | 0.54 |
| N-NH4 | mg L-1 | 0.14 | 0.11 | 0.70 |
| NTK | mg L-1 | 0.94 | 0.43 | 2.29 |
| N orgánico | mg L-1 | 0.80 | 0.39 | 2.21 |
| NT | mg L-1 | 1.03 | 0.45 | 2.26 |
| PO4 | mg L-1 | 0.03 | 0.03 | 0.13 |
| PT | mg L-1 | 0.10 | 0.07 | 0.42 |
| Clorofila-a | mg m-3 | 20.49 | 17.06 | 73.25 |
| Visibilidad disco Secchi | m | 1.08 | 0.40 | 33.8 |
| Dureza | mg CaCO3 L-1 | 114.34 | 50.44 | 394.60 |
pH = potencial de hidrógeno; CE = conductividad eléctrica; SDT = sólidos disueltos totales; SST = sólidos suspendidos totales; OD = oxígeno disuelto; DBO = demanda bioquímica de oxígeno; DQO = demanda química de oxígeno; COT = carbón orgánico total; N-NO2 = nitrógeno como nitritos; N-NO3 = nitrógeno como nitratos; N-NH4 = nitrógeno amoniacal; NTK = nitrógeno total Kjeldahl; NT = nitrógeno total; PO4 = o-fosfatos; PT = fósforo total.
Análisis de tendencia de Mann-Kendall
La prueba Mann-Kendall es una prueba no-paramétrica (Mann 1945, Kendall 1975), sugerida para evaluar la tendencia en series de datos ambientales (Yu y Kao 2007). Esta prueba tiene la ventaja que no requiere una distribución normal de los datos y consiste básicamente en la comparación entre los valores que componen una misma serie temporal, en orden secuencial (Da Silva y De Barros Corrêa 2009). También, considera la hipótesis de estabilidad de la serie temporal. Siendo así, la sucesión de valores de la serie temporal denota deformación independiente y la distribución de la probabilidad debe permanecer la misma (serie aleatoria simples).
En una serie temporal de observaciones x1, x2, xn, Mann (1945) propone que para que la hipótesis nula (H0) sea la verdadera, los datos que componen la serie temporal deben ser variables aleatorias, independientes e igualmente distribuidas. Para que la hipótesis alternativa (H1) sea la verdadera los datos de la serie temporal deben seguir una tendencia monotónica. La existencia de una tendencia estadísticamente significativa es evaluada por el valor de Z. El valor positivo de Z indica cuando hay aumento en la tendencia y el valor negativo indica disminución en la tendencia. El valor Z es el parámetro de salida de la prueba Mann-Kendall. Para probar cualquier tendencia, creciente o decreciente, para un nivel de significancia α, se rechaza la hipótesis nula cuando el valor absoluto de Z sea mayor que Z1 - α/2.
En este estudio se realizó la prueba Shapiro-Wilk previo al análisis de los datos, encontrando que los datos cumplen con la no normalidad. El análisis estadístico de tendencia de los datos fue realizado utilizando el programa XLSTAT v. 2023.1.4 de Addinsoft y se aplicó el nivel de significancia α = 0.05.
Siendo así, cuando el valor absoluto de Z sea igual que 0 la hipótesis nula al nivel de 5% será aceptada, sin tendencia (ST). Siendo el resultado de Z igual o mayor que 1.96 representa valor positivo, lo que indica existencia de tendencia significativa creciente (TSC); por el contrario, siendo el resultado de Z menor que 1.96 la tendencia será no significativa creciente (TNSC); cuando el resultado de Z es igual o menor que -1.96 indica valor negativo y tendencia significativa decreciente (TSD), y cuando Z presenta resultado mayor que -1.96 indica tendencia no significativa decreciente (TNSD) (Bezerra-Alves et al. 2015).
Resultados y discusión
Los datos de los parámetros de calidad del agua en la presa El Salto se presentan en la Tabla 1. El rango de temperatura del agua observado se considera normal en comparación con la temperatura de estudios similares realizados en otros cuerpos de aguas tropicales (Beltrán Álvarez et al. 2015, Quevedo-Castro et al. 2019a, 2019b). El promedio de la temperatura en el embalse para el período 2012-2020, fue de 26.99 ± 3.21 °C. El OD promedio en el agua del embalse fue de 5.17 ± 2.7 mg L-1. Una mayor concentración del oxígeno disuelto (OD) está relacionada con buenas condiciones de calidad del agua. La alta concentración de este parámetro en agua pudiera estar relacionada con la fotosíntesis y el intercambio de oxígeno con la atmósfera por difusión o mezcla turbulenta (Moya y Ramon 1984). Lo que sugiere que el agua superficial del embalse es buena para la producción de peces, de acuerdo con el límite mínimo (5 mg L-1) recomendado por los Criterios Ecológicos de Calidad del Agua (SEGOB 1989). En cuanto al potencial de hidrógeno (pH), el agua del embalse es alcalina con un valor promedio de 8.35 ± 0.64 para el período analizado. De acuerdo a Beltrán-Álvarez et al. (2015) las aguas de este embalse son moderadamente duras con predominancia del ion calcio y valores de alcalinidad que ubican estas aguas de alcalinidad media. Así mismo, resultados similares se han encontrado en otros cuerpos de agua de la región (Quevedo-Castro et al. 2019a, 2019b).
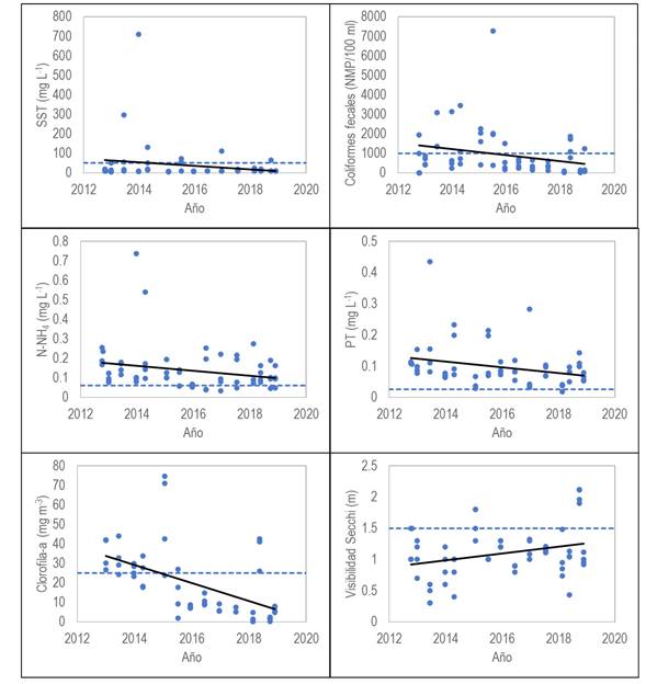
El contenido de materia orgánica en cuerpos de agua se puede medir como carbón orgánico total (COT). Sin embargo, con fines comparativos de calidad del agua se ha utilizado la demanda química de oxígeno (DQO) y demanda bioquímica de oxígeno (DBO). Existe una relación estrecha entre DQO y DBO, ya que el DQO evalúa el oxígeno necesario para oxidar una serie de compuestos orgánicos a través de la ruta química, entre los cuales se incluye todo lo que se evalúa como materia orgánica biodegradable en el DBO. Estos indicadores suelen estar relacionados con las descargas de aguas residuales industriales y domésticas (Varol et al. 2012, Quevedo-Castro et al. 2019b). De acuerdo con Metcalf (2003) las aguas residuales presentan concentraciones típicas de DBO en el rango de 110-350 mg L-1 y para DQO de 250-800 mg L-1. Los valores promedios encontrados en el embalse de DBO se encuentran dentro del rango de aceptable (6<DBO<=30) propuesto por RENAMECA (2022). Sin embargo, los valores promedios de DQO se encuentran dentro del rango de contaminada (40<DQO<=200). Estos parámetros para el periodo 2012-2020, sugieren que este embalse presenta contaminación por materia orgánica, siendo mayor la de materia orgánica no biodegradable. Las concentraciones promedio de los compuestos nitrogenados, tanto nitrógeno orgánico (Norg) como inorgánico (N-NH4, N-NO2 y N-NO3) se encuentran por debajo de los límites de los Criterios Ecológicos de Calidad del Agua (SEGOB 1989), con excepción de N-NH4 que rebasan el nivel (0.06 mg L-1) establecido para protección de la vida acuática (SEGOB 1989) (Figura 2). El N-NH4 es la forma más reducida del nitrógeno y la presencia podría indicar contaminación fecal elevada, resultado de la existencia de descargas de agua residual de algunas comunidades o de las excretas de ganado y/o de la aplicación de fertilizantes que fluyen por escorrentías hacia los arroyos.

Figura 2 Datos de monitoreo en la presa El Salto, periodo 2012-2020. Línea continua representa tendencia de los datos y línea punteada representa los límites de los criterios ecológicos de la calidad del agua CE-CCA-001/89 (SEGOB 1989) y la clasificación trófica de la OECD (1982).
Entre los parámetros que rebasan algún otro de los criterios ecológicos de calidad del agua se encuentran los sólidos suspendidos totales (SST) con concentraciones arriba de los niveles máximos (50 mg L-1) para riego agrícola (SEGOB 1989) y las bacterias coliformes-fecales que rebasan los niveles máximos establecidos (1000 NMP/100 mL) para agua como fuente de abastecimiento y de riego agrícola (SEGOB 1989). Los coliformes-fecales son elementos de contaminación bacteriana de mayor impacto significativo en la salud humana, ya que pueden provocar enfermedades gastrointestinales (Ríos-Tobón et al. 2017). La presencia de coliformes-fecales en cuerpos de agua indica contaminación fecal y posiblemente la presencia de otros organismos como Escherichia coli, Enterobacter, entre otros (Tufail et al. 2008). La Agencia de Protección Ambiental de los Estado Unidos considera los SST y los coliformes-fecales (patógenos) como contaminantes básicos que definen la calidad del agua en los reservorios naturales (EPA 2006).
Según la clasificación trófica de la OECD (1982), las concentraciones de fósforo total (PT), clorofila-a y visibilidad de disco Secchi, clasifican al agua del embalse entre eutrófica e hiper eutrófica por rebasar los límites (0.025 mg L-1, 25 mg m-3 y 1.5 m, respectivamente) establecidos para estos parámetros. Los principales contaminantes que se relacionan con el estado trófico del embalse se atribuyen a fuentes difusas atribuidas a actividades productivas generadas en la región, como la ganadería, material particulado biodegradable y no biodegradable producto de la erosión del suelo y el uso de fertilizantes en agricultura (Quevedo-Castro et al. 2019a). El incremento de la concentración de clorofila-a se puede relacionar al incremento en biomasa algal por el aporte de nutrientes, originando una disminución en la visibilidad de disco Secchi (Doan et al. 2015).
Tendencia de los parámetros de calidad del agua
Los resultados de la prueba de Mann-Kendall indican que, 14 parámetros presentan una tendencia estadísticamente decreciente (ocho parámetros presentan TSD y seis TNSD), lo que significa una disminución en su concentración y, por lo tanto, mejor calidad del agua en la presa El Salto. Entre los parámetros que presentan TSD se encuentran la conductividad eléctrica (CE), el contenido de sólidos disueltos totales (SDT), COT, Coliformes-fecales, N-NH4, PT, clorofila-a y dureza (Tabla 2). Asimismo, el OD y la visibilidad de disco Secchi son parámetros que reflejan la calidad del agua al aumentar sus valores. La prueba de Mann-Kendall indica que estos dos parámetros tienen una TNSC, lo que muestra una leve inclinación de mejorar la calidad del agua en el embalse. Como se mencionó anteriormente, los niveles del agua en el embalse fluctúan de acuerdo con la precipitación y la extracción constante para el sistema de riego, como se observa en la Figura 3, por lo que se puede suponer que el agua del embalse presenta un tiempo de residencia bajo (Bonilla et al. 2021). Una mejora en la calidad del agua en el embalse puede deberse probablemente al efecto de dilución por el aumento del volumen de agua. De acuerdo a Xiang et al. (2021) los índices de calidad del agua pueden mejorar por dilución en períodos de embalse con nivel alto del agua, por la gran cantidad de agua de entrada. De igual manera, al presentarse extracciones de agua para riego agrícola, se presenta una extracción de contaminantes disueltos en los flujos de extracción lo que origina disminución en masa de contaminantes dentro del embalse. Al respecto, Bonilla et al. (2021) sugieren que una disminución del tiempo de residencia no permite el crecimiento y la acumulación de biomasa en los cuerpos de agua.
Tabla 2 Resultados del análisis de tendencia de Mann-Kendall, parámetros fisicoquímicos y bilógicos de la presa El Salto, periodo 2012-2020.
| Parámetro | Z Calculada | Tendencia (α = 0.05) |
|---|---|---|
| Temperatura agua | -1.14 | TNSD |
| pH | 1.67 | TNSC |
| CE | -1.96 | TSD |
| SDT | -1.96 | TSD |
| SST | -0.30 | TNSD |
| Turbiedad | 0.29 | TNSC |
| OD | 1.29 | TNSC |
| DBO | -2.91 | TNSD |
| DQO | -0.85 | TNSD |
| COT | -2.79 | TSD |
| Coliformes-fecales | -2.98 | TSD |
| Escherichia coli | 0.30 | TNSC |
| N-NO2 | -0.36 | TNSD |
| N-NO3 | 0.38 | TNSC |
| N-NH4 | -2.05 | TSD |
| NTK | 0.55 | TNSC |
| N orgánico | 0.86 | TNSC |
| NT | 1.01 | TNSC |
| PO4 | -0.59 | TNSD |
| PT | -2.41 | TSD |
| Clorofila-a | -5.19 | TSD |
| Visibilidad disco Secchi | 1.53 | TNSC |
| Dureza | -3.59 | TSD |

Figura 3 Variación mensual de la disponibilidad de agua en la presa El Salto, periodo Julio 2020-abril 2022.
Los parámetros que rebasaron los criterios ecológicos de calidad del agua (SEGOB 1989) y los límites de la clasificación trófica (OECD 1982) se presentan en la Figura 2. Como puede observarse, la tendencia en la concentración de estos parámetros es decrecer, siendo TSD para Coliformes-fecales, N-NH4, PT y Clorofila-a (Tabla 2). El análisis de tendencia indica que en el periodo 2012-2020 las aguas de la presa El Salto muestran una tendencia significativa de mejorar su calidad. Sin embargo, el embalse mostró contaminación de materia orgánica según los valores de DQO. Además, que la concentración media de bacterias coliformes-fecales registradas durante el período de estudio fue mayor a los límites recomendados como fuente de abastecimiento de agua potable y riego agrícola. Estos resultados coinciden con información reportada para un embalse de la región (Quevedo-Castro et al. 2019a) donde se indica una calidad del agua como media, afectada principalmente por el material orgánico biodegradable y contaminación fecal. Las concentraciones de nutrientes, clorofila-a y la profundidad del disco Secchi clasifican el agua entre eutrófica e hiper eutrófica, por lo que es sugerible una gestión eficiente para disminuir la eutrofización y restaurar la calidad del agua del embalse.










nueva página del texto (beta)




