Esta investigación tiene por objetivo estudiar los calendarios de emancipación residencial en Chile. Este evento es un hito de la transición a la vida adulta en el que las personas forman un hogar en una vivienda independiente a la de los padres. La edad en que se experimenta este evento es un indicador relevante para conocer el nivel de autonomía emocional y económica que la juventud alcanza en un contexto determinado. El artículo se plantea las siguientes preguntas: ¿cómo son los calendarios de emancipación residencial en Chile? y ¿cuáles son los factores que empujan o retienen el momento de transición hacia un nuevo hogar? Para contestarlas, se consideraron las características individuales y las del hogar parental, que apenas han sido estudiadas en el contexto latinoamericano.
Hasta la fecha, en Chile existe un vacío en la literatura académica de estudios sobre los calendarios de emancipación residencial. Estudiar este país es abordar un contexto muy específico, ya que se trata de uno de los ejemplos más claros de un modelo neoliberal avanzado, por la alta centralidad del mercado en la distribución de bienes y servicios. A diferencia del resto de giros neoliberales experimentados en América Latina, durante la dictadura cívico-militar (1973-1990) se implementó en Chile un profundo ciclo de privatizaciones de las condiciones de la vida social sin parangón, al establecer lógicas de mercado en la educación, la salud, la seguridad social, la vivienda y el suelo urbano, entre otras (Ruiz y Caviedes, 2020). Bajo este modelo socioeconómico que apenas provee seguridad social, los hogares chilenos han asumido el endeudamiento como una estrategia fundamental para alcanzar sus expectativas (Marambio-Tapia, 2021). Otra característica de la sociedad chilena es la alta desigualdad en la distribución del ingreso (World Bank, 2020), la cual se reproduce principalmente por las barreras en el mercado de trabajo y la alta segregación socioeconómica del sistema educativo (Núñez y Gutiérrez, 2004). Ante la escasez de políticas orientadas a la redistribución de la riqueza y oportunidades, la disponibilidad de recursos familiares ha sido el principal factor explicativo de la reproducción intergeneracional de las desigualdades, ya que se ha demostrado que los logros académicos y laborales están más vinculados con el origen social que con el esfuerzo, la productividad individual, las aptitudes o el azar (Espinoza y Núñez, 2014; Núñez y Tartakowsky, 2011; Rodrigo, 2015).
En 2017 (último censo) residían en Chile 4 106 669 personas de entre 15 y 29 años, lo que representaba 23.4% del total de la población y constituía el grupo etario más numeroso (Instituto Nacional de Estadísticas, 2017). Esta subpoblación se inscribe en un mercado de trabajo con altos niveles de desempleo juvenil (15.4%) y percibe unos ingresos que, en promedio, son 29.1% inferiores a los percibidos por quienes tienen 30 años o más (Ministerio de Desarrollo Social, 2017). Esta brecha salarial no se debe a la falta de credenciales, ya que entre 1990 y 2017 la tasa de asistencia a la educación superior avanzó de 12.7% a 37.4%, y el promedio de los años de escolaridad de estas cohortes es muy superior a los de sus precedentes (Instituto Nacional de Estadísticas, 2017; Ministerio de Desarrollo Social, 2017).
El sistema educativo es financiado principalmente por gasto privado, ya que 64% es a coste de las familias mediante pagos directos o endeudamiento (OECD, 2019). Además, la población joven afronta un mercado de viviendas poco regulado y sin oferta pública. Entre 2009 y 2015, los precios de los alquileres aumentaron 31.2% (López-Morales, 2016; Vergara-Perucich y Aguirre Núñez, 2019), y el precio de venta creció 64%1 entre 2008 y 2019, mientras que los salarios sólo lo hicieron 21.9% (Vergara-Perucich y Aguirre-Núñez, 2020). Estas alzas explicarían, en parte, la disminución en la proporción de personas jóvenes emancipadas (15 a 29 años), que pasó de 29.9% en 1990 a 20.2% en 2017. En rangos de más edad, el impacto es incluso mayor puesto que, en 1990, 65.2% de las personas de 29 años ya había formado su propio hogar, mientras que en 2017 sólo lo había hecho 50.3% (Ministerio de Desarrollo Social, 1990; Ministerio de Desarrollo Social, 2017).
La hipótesis de esta investigación plantea que la emancipación residencial en Chile es tardía, es decir, en promedio, las personas accederían a una vivienda independiente en edades cercanas a los 30 años. Esto ocurriría porque la juventud afronta un escenario social, económico e institucional que acrecienta su dependencia económica hacia sus familias hasta edades más avanzadas. Extender la estadía en el hogar parental sería una estrategia necesaria para mantenerse estudiando, como también para sortear los obstáculos de un mercado de trabajo precarizado y de unos precios de la vivienda al alza. Además, las posibilidades de acceder a una vivienda independiente estarían distribuidas desigualmente según las características del hogar de origen.
Para responder las preguntas y comprobar las hipótesis de esta investigación, se utilizó un modelo de análisis de historia de eventos (event history analysis) de tiempo discreto con los datos de la Encuesta de Protección Social de Chile (EPS) de la Subsecretaría de Previsión Social del Ministerio del Trabajo. Esta encuesta tiene por objetivo caracterizar la historia laboral y previsional de las personas encuestadas; además, recoge información sobre la historia familiar y las características del hogar (Ministerio del Trabajo, 2021a). Es una encuesta de panel fijo más nacimientos, es decir, se encuesta a las mismas personas en cada versión de la encuesta y se agregan casos para actualizar el panel según la estructura por edad de la población. Se utilizaron las olas de 2002, 2004, 2006, 2009 y 2015, para observar el comportamiento residencial de todas las personas nacidas entre 1976 y 2000 que cohabitaban con alguno de sus padres en el momento de la primera observación (n=14 708).
El evento estudiado es la transición hacia una vivienda autónoma y las variables independientes son las características individuales (sexo y nivel educativo) y las características del hogar (nivel educativo de los padres y si el hogar familiar es biparental o monoparental). Además, se analizan los motivos de la emancipación residencial. Aunque la EPS no es un instrumento diseñado para investigar esta transición, constituye la única fuente que identifica a quienes han salido de su hogar, a qué edad lo hicieron y las características del hogar de origen. Esto proporciona una enorme potencialidad de análisis en comparación con el censo de población o las encuestas de corte transversal, que no permiten seguir las biografías de las personas ni conocer las características de los hogares de origen.
El presente texto se estructura en las siguientes secciones. En primer lugar, se exponen los antecedentes teóricos que sustentan la investigación. A continuación, se detallan la metodología y los datos utilizados para su análisis. Posteriormente, se presentan los resultados. Finalmente, se ofrecen reflexiones y conclusiones sobre las diferencias en los calendarios de emancipación residencial.
Antecedentes teóricos
La transición a la vida adulta es una etapa de cambio desde un estado social de dependencia a una nueva condición de autonomía (Vieira y Miret, 2010). La manera más común de estudiar este tránsito ha sido mediante la observación del calendario y la intensidad de ocurrencia de los hitos que conducirían a la adultez: pasar de los estudios al trabajo; de la dependencia familiar a la independencia económica; la formación de pareja, y pasar desde el rol de “hijo/a” al de “padre/madre” (Blanco, 2011; Echarri y Pérez Amador, 2007; Felice, 2017a). Estos eventos son decisivos, ya que alteran las trayectorias de vida y constituyen marcas de distinción en la experiencia individual que inciden en la posición social de las personas (Casal et al., 2006a; Elder, 1994; Sepúlveda, 2013). La emancipación residencial es un hito dentro de la transición a la vida adulta y se ha definido como el cambio desde la posición de hijo/a que vive con alguno de sus padres a cualquier otra forma de cohabitación fuera de este núcleo familiar de origen. Por lo tanto, se ocupa una vivienda independiente, ya sea de manera individual, en pareja o en otra figura de hogar más compleja (Vinuesa, 2008).
Desde la década de los años ochenta se ha registrado un retraso de la emancipación residencial en países occidentales, como consecuencia del aumento de cobertura del sistema educativo, el retraso del ingreso al mercado de trabajo, el incremento de la ocupación femenina, la postergación de la unión conyugal y la disminución en la fecundidad. Por otro lado, este retraso está asociado a la precarización de los empleos, al empobrecimiento de las condiciones de vida y al aumento general del costo de la vivienda (Côté y Bynner, 2008; Wong, 2018). Se han detectado tendencias contradictorias que complican las trayectorias de vida, puesto que han mejorado los indicadores agregados de calidad de vida, pero el acceso a estas oportunidades ha sido inestable, lo que ha dificultado la inserción al mercado de trabajo, el desarrollo de una carrera profesional y la toma de responsabilidades familiares. Ante esto, las limitaciones estructurales han ido restringiendo las capacidades de la juventud de elegir sus arreglos residenciales (Bayrakdar y Coulter, 2018).
Otra característica es la desestructuración de los itinerarios de vida por la flexibilización de las pautas de transición respecto a la edad y el orden de estos hitos (Coubès y Zenteno, 2005; De Oliveira y Mora Salas, 2008). Los marcadores sociales de edad han perdido su fuerza normativa y han dado pie a trayectorias de vida zigzagueantes o reversibles: abandonar los estudios y retomarlos; emanciparse y regresar al hogar de los padres; o unirse en pareja, separarse y construir otro hogar (Machado, 2007). Por lo tanto, la transición a la vida adulta y la emancipación residencial actualmente son heterogéneas, ya que las personas viven estos hitos en distintas edades.
Las investigaciones han indagado sobre qué factores explican las diferencias en los calendarios de emancipación entre países. Una de las conclusiones es que la transición a la adultez está mediada por una relación compleja entre las características estructurales y las decisiones individuales (Casal et al., 2006b). En el análisis estructural se ha usado la ya clásica categorización de los estados de bienestar propuesta por Gösta Esping-Andersen (1990), con especial atención a las características del mercado de trabajo, el sistema residencial, las políticas de vivienda y el sistema educativo. Sin embargo, la salida del hogar no sólo es el resultado de una decisión racional tomada a raíz de componentes económicos e institucionales, sino que la cultura, los arreglos familiares y las relaciones intergeneracionales también son relevantes (Santarelli y Cottone, 2009; Van den Berg, Kalmijn y Leopold, 2021). Los antecedentes europeos muestran que en los países nórdicos la salida del hogar familiar ocurre en edades tempranas y se da en un contexto de lazos familiares más débiles, en el que la solidaridad intergeneracional no es el mecanismo principal que asegura el bienestar de las personas. Los hitos de transición a la adultez son promovidos y facilitados por la orientación socialdemócrata del régimen de bienestar, que está enfocado en la autonomía de los individuos; por lo tanto, son independientes de la posición social de las personas (Buchmann y Kriesi, 2011). Las manifestaciones concretas de este modelo son un sistema de vivienda accesible, buenas condiciones laborales, acompañados de bajos niveles de desempleo y un sistema educativo flexible que permite compatibilizar la formación con la incorporación al mercado de trabajo. De esta forma, las personas jóvenes alcanzan la autonomía económica y residencial a edades tempranas, sin riesgo de vivir en la pobreza (Aassve et al., 2007).
En el otro extremo está el sur de Europa, en el que la emancipación suele ocurrir en edades más avanzadas, ya que la juventud afronta un mercado de la vivienda menos accesible, mayor desempleo juvenil y menores ingresos (Bosch, 2015). En este modelo, la familia es la principal unidad que provee bienestar y es percibida como un “escudo” contra las dificultades sociales y económicas, por lo que es habitual que las personas puedan recibir apoyo incluso después de haber formado su propio hogar, lo que se traduce en la postergación de los hitos de transición a la vida adulta (Santarelli y Cottone, 2009). Por último, se debe tener en cuenta la alta sincronía con la nupcialidad y la fecundidad, por lo que el retraso de estos hitos también provoca el retraso de la emancipación (Vieira y Miret, 2010; Vinuesa, 2008).
La relación con el mercado de trabajo, el nivel educativo y los ingresos inciden en las probabilidades de salir del hogar familiar. En general, ingresos más altos y una posición profesional ventajosa entregan mayores herramientas para afrontar los obstáculos económicos y poder ingresar a una vivienda independiente (Mulder y Hooimeijer, 2002). La relación entre ingresos y la emancipación residencial por lo general es positiva, ya que en la mayoría de los contextos las personas jóvenes desean la independencia y utilizan sus recursos para hacerlo (Iacovou, 2010). Por otro lado, una mayor permanencia en el sistema educativo incide en una menor probabilidad de emanciparse en edades tempranas, debido a la dependencia de los ingresos familiares durante el tiempo de formación. Al terminar los estudios, se alcanzan posiciones laborales mejor retribuidas, lo que permite responder mejor a los requisitos económicos para emanciparse. El nivel educativo también incide en el tipo de hogares que las personas jóvenes forman tras abandonar la vivienda de sus padres: una mayor formación está asociada a una mayor valoración de la independencia y a formas de hogar no tradicionales, como los unipersonales (Billari y Liefbroer, 2010).
Otra vertiente de análisis es el vínculo entre las características del hogar familiar y la edad de emancipación. Se usa el concepto de “vidas entrelazadas” (linked lives) para describir la relación entre las decisiones tomadas durante las biografías y las características de su familia de procedencia (Bucx et al., 2008). Las dimensiones más relevantes son el tipo de hogar, los ingresos y el nivel educativo de los padres. Estos factores influyen en la transmisión intergeneracional de capitales y valores desde los progenitores hacia sus descendientes. El nivel de ingresos de los padres estimula o desalienta decisiones de sus descendientes durante su transición a la adultez, ya que estos enmarcan las oportunidades y las limitaciones que afronta la juventud (Furstenberg, 2008). Padres con mayores ingresos tienden a impedir emancipaciones residenciales tempranas, mientras que facilitan el acceso a la vivienda independiente en edades mayores. La disponibilidad de recursos adquiere mayor peso a medida que aumentan los obstáculos para formar un hogar independiente, tanto por el empeoramiento de las condiciones del mercado de trabajo como por las sostenidas alzas en los precios de las viviendas (McKee, 2012). Por otro lado, extender la estadía en el hogar de origen supone no poner en riesgo el propio bienestar ni el de su familia. La emancipación residencial puede significar una disminución de los ingresos del hogar y, al mismo tiempo, se puede traducir en que las personas jóvenes no consigan un nivel de vida similar de manera autónoma (Parisi, 2008). El nivel educativo de los padres también es una característica relevante, y no sólo por la asociación entre nivel de formación e ingresos. Se ha demostrado que hay una correlación con los modelos de rol, los tipos de capitales y valores que se transmiten de manera intergeneracional, con la edad de emancipación (Ward y Spitze, 2007). Los padres más instruidos son propensos a valorar más la autonomía, la acumulación de credenciales académicas y la construcción de una carrera, lo que muchas veces implica el desaliento de transiciones a la vida adulta (Bayrakdar y Coulter, 2018; Schwanitz, 2017).
La estructura del hogar familiar incide en la emancipación residencial. Se ha detectado en algunos países europeos la relación entre la ruptura de los padres y la edad de emancipación, puesto que quienes han experimentado un quiebre familiar tienden a formar su hogar propio antes que quienes provienen de hogares biparentales (Mencarini, Meroni y Pronzato, 2012). Sin embargo, es complejo aislar el efecto de la separación de los padres en las condiciones económicas del hogar. Las familias monoparentales tienden a contar con menos recursos porque en su mayoría son lideradas por mujeres que suelen tener salarios más bajos, debido a las brechas de género del mercado de trabajo (Van den Berg, Kalmijn y Leopold, 2018). Por último, cabe destacar que todas las variables indicadas afectan de manera distinta a hombres y mujeres. Ellas suelen emanciparse antes que los hombres y su calendario de emancipación es más sensible a las características institucionales, el nivel de ingresos de los padres y los cambios en la estructura familiar (Chiuri y Del Boca, 2010).
Si bien existen antecedentes acerca de América Latina, estos no han definido un modelo de emancipación propio para la región. Se han descrito tendencias comunes en Argentina, México y Uruguay, las cuales no se alejan de las descritas anteriormente. En primer lugar, la transición a la vida adulta es un proceso prolongado y complejo, sobre todo por las dificultades que existen para acceder a una vivienda, por las restricciones para obtener un crédito y por el aumento en los precios del alquiler. Esto ha afectado principalmente a la juventud, por su mayor vulnerabilidad económica (Arancibia, 2016; Felice, 2017b). Por otro lado, la alta probabilidad de continuar en el hogar familiar en edades adultas se vincula con el contexto de mayor prevalencia de hogares multigeneracionales en comparación con países occidentales (Esteve, García-Román y Lesthaeghe, 2012; Ullmann, Maldonado y Rico, 2014). Otra tendencia es el surgimiento de nuevos tipos de hogares formados tras la emancipación residencial, especialmente los hogares unipersonales y los horizontales formados por quienes no son parientes (Ciganda y Pardo, 2014; Echarri y Pérez Amador, 2007; Ferraris y Martínez, 2015).
Algunos estudios coinciden en la estabilidad de las edades en que se experimentan los eventos de transición a la vida adulta (Ciganda y Pardo, 2014). Por otro lado, hay acuerdo sobre el rol de la estratificación social en la formación de hogares jóvenes, puesto que las desigualdades territoriales, de género y de clase han dado a paso a múltiples modelos y calendarios de transición (Machado, 2007). Se han encontrado diferencias en los calendarios de emancipación de hombres y mujeres que apuntan a una salida más temprana de ellas (De Oliveira y Mora Salas, 2008), sumado a diferencias según áreas: un retraso en la emancipación residencial femenina en zonas urbanas y fuerte sincronía con la formación de pareja, mientras que en las zonas rurales se ha observado un rejuvenecimiento de esta transición vinculada con el inicio de la vida laboral (Pérez Amador, 2006). Por otro lado, las personas con menos recursos tienden a emanciparse en edades más jóvenes porque permanecen menos tiempo en el sistema educativo, ingresan antes al mercado de trabajo y suelen contraer obligaciones familiares a menor edad (Saraví, 2006). Por el contrario, las personas de estratos más altos tienden a postergar estos hitos de transición al mantenerse más tiempo en el sistema educativo (Busso y Pérez, 2015; CEPAL, 1998).
La estrategia de extender la estadía en el hogar familiar se encuentra en todos los estratos socioeconómicos; sin embargo, las razones son distintas. Por un lado, se encuentran quienes requieren de la ayuda económica de sus padres mientras invierten en su formación académica (García-Andrés, Martínez y Aguayo-Téllez, 2021). Por otro, hay personas activas laboralmente que conviven con sus padres porque sus ingresos son fundamentales en el presupuesto familiar (De Oliveira y Mora Salas, 2008). Pese a la extensión de esta estrategia familiar, se ha detectado que la inserción en el mercado de trabajo acelera en gran medida la salida del hogar familiar, tanto de quienes lo hacen en pareja como de quienes se emancipan por otras razones (Pérez Amador, 2006). Estos hallazgos confirman que en América Latina habría perdido espacio el modelo de economía familiar que retrasa la emancipación incluso en situaciones en que las personas ya cuentan con ingresos propios, hacia un modelo en que la juventud busca su independencia residencial tan pronto como pueda (De Vos, 1989).
Hasta el momento no existen trabajos que aborden la emancipación residencial en Chile. Sin embargo, se cuenta con investigaciones sobre el curso de la vida y la juventud, que indagan si los esquemas de interpretación elaborados en occidente son útiles para comprender contextos más pobres que parcialmente son parte de la sociedad informacional (Duarte, 2018). Investigaciones cualitativas muestran que el curso de la vida está definido principalmente por las dimensiones familiares y laborales, y que la etapa entre los 20 y los 29 años está marcada por la salida del hogar de los padres, la formación de la propia familia y el inicio de la vida laboral (Guichard et al., 2013). Otros trabajos han descrito las tendencias generales de la transformación de la juventud en Chile, como la postergación del nacimiento del primer hijo/a, el retraso de la unión conyugal, el aumento en la proporción de la soltería, la ampliación del sistema educativo, o el empeoramiento de las condiciones laborales (Dávila y Ghiardo, 2012, 2018). La investigación que aquí se presenta propone llenar el vacío en la literatura sobre los calendarios de emancipación en Chile y profundizar en las implicaciones de las características de los hogares.
Datos y metodología
Datos
Se utilizaron las versiones 2002, 2004, 2006, 2009 y 2015 de la EPS (Ministerio del Trabajo, 2015). Esta es una encuesta longitudinal de panel que tiene por objetivo caracterizar el sistema de pensiones y el mercado de trabajo en Chile. La unidad de análisis de la encuesta son individuos de 18 años o más. No obstante, cuenta con un módulo que recoge las características de todas las personas que conviven con la persona entrevistada. Estas permiten identificar quién ha salido del hogar, a qué edad lo hizo y las características del hogar de origen.
El diseño muestral es un panel fijo más nacimientos, es decir, en cada ola se refresca la muestra para incluir un número representativo de personas que al cumplir 18 años pasan a ser parte de la población objetivo. La ola de 2015 de la encuesta incluyó 16 906 hogares y 71 016 personas (Ministerio del Trabajo, 2015). En este estudio no se utilizó la versión 2020 de la eps publicada en abril de 2021 debido a las restricciones en la movilidad asociadas a la pandemia de Covid-19. Desde el 18 de marzo de 2020 se detuvo el trabajo de campo y se realizó un operativo de emergencia en el que se encuestó telefónicamente, se modificaron los cuestionarios y se excluyó la pregunta acerca del momento de la salida del hogar (Ministerio del Trabajo, 2021b).
La formación de un hogar independiente suele ocurrir durante la juventud, por lo que se estableció un límite de edad para seleccionar los casos. El límite inferior fueron los 15 años y el límite superior se marcó a los 39 años, ya que es la edad en que el evento pierde intensidad en los datos analizados.2 Se utilizó la información de todas las personas nacidas entre 1976 y 2000 (que estaban en el rango de edad en 2015) que cohabitaron con alguno de sus padres, es decir, que hayan sido identificadas como hijo/a, nieto/a del jefe/a de hogar en alguna de las olas de la encuesta.3 Estas cohortes pueden ser observadas en los datos disponibles al menos una vez dentro del rango de edades estudiado. Se creó una variable dicotómica que distingue entre “Persona no emancipada” y “Persona emancipada”. El primer grupo está compuesto por todas las personas que hayan sido identificadas en alguno de los parentescos indicados y aún cohabiten con alguno de sus padres o abuelos.4 El segundo grupo se compone de las personas con las mismas características, pero que ya no pertenecen al hogar.
La base de datos cuenta con 14 708 observaciones que tienen información en todas las variables utilizadas. Se descartaron 1 865 casos con información incompleta debido a las exigencias del modelo multivariable utilizado. Su distribución se presenta en la tabla 1.
Tabla 1 Características de la muestra
| Variable | Categoría | Personas no emancipadas (%) | Personas emancipadas (%) | Total (n) |
|---|---|---|---|---|
| Sexo | Hombres | 51.81 | 51.68 | 7 614 |
| Mujeres | 48.19 | 48.32 | 7 094 | |
| Nivel educativo | Primarios o inferiores | 28.43 | 28.46 | 4 183 |
| Secundarios | 59.12 | 59.04 | 8 692 | |
| Superiores | 12.44 | 12.50 | 1 833 | |
| Nivel educativo padres | Primarios o inferiores | 53.37 | 60.38 | 8 168 |
| Secundarios | 34.90 | 29.41 | 4 884 | |
| Superiores | 11.73 | 10.21 | 1 656 | |
| Tipo de hogar de procedencia | Monoparental | 19.47 | 23.75 | 3 058 |
| Biparental | 80.53 | 76.25 | 11 650 | |
| Motivo de emancipación | Vivir en pareja | - | 50.65 | 2 301 |
| Trabajo | - | 14.00 | 636 | |
| Estudios | - | 5.24 | 238 | |
| Deseo de vivir solo/a | - | 18.71 | 850 | |
| Otras razones | 11.40 | 518 | ||
| Total | 10 165 | 4 543 | 14 708 |
Fuente: Elaboración propia con base en EPS 2002-2015 (Ministerio del Trabajo, 2015).
Las variables independientes son categóricas y corresponden a sexo, nivel educativo alcanzado, nivel educativo de los padres y tipo de hogar. Las variables de nivel educativo fueron recodificadas a los niveles agregados de la Clasificación Internacional Normalizada de Educación (cine)5 para facilitar el análisis. Las categorías corresponden a “Estudios primarios o inferiores” (niveles cine 0-2), “Estudios secundarios” (niveles cine 3-4) y “Estudios superiores” (niveles cine 5-8).
La variable de tipo de hogar de procedencia fue creada siguiendo las definiciones de los censos de población, pero sólo se distinguió en relación con quienes lideran el hogar. Se diferenció entre “hogares biparentales”, cuyos integrantes son el/la jefe/a de hogar, su pareja (ya sea cónyuge, conviviente de hecho o conviviente por unión civil) y quienes sean hijos/as de ambos o solamente de uno de los miembros de la pareja; y la categoría “hogares monoparentales”, que agrupa a todos los hogares compuestos únicamente por el/la jefe/a de hogar y sus hijos/as. Ambas categorías pueden integrar otros miembros, sean familiares o no. Por último, se incluyó el “motivo de emancipación” para da cuenta de las razones de la salida del hogar familiar. Las categorías son “vivir en pareja”, “trabajo”, “estudios», “deseos de vivir solo/a” y “otros motivos”.
Estrategia de análisis
Se implementó un análisis de historia de eventos de tiempo discreto anual, en el que la población en exposición son las personas que conviven o convivieron con alguno de sus padres y el evento observado es el momento en que salen del hogar familiar. Dado que la emancipación es un suceso renovable, es decir, que puede ocurrir más de una vez en la biografía de una persona, se asume que la salida del hogar observada es la primera que experimenta cada persona. Por otro lado, se trabajó con el supuesto de que todas las personas al nacer comparten una vivienda con sus padres u otra figura equivalente encargada de su cuidado (abuelos, por ejemplo). Por lo tanto, la “edad de emancipación” corresponde a los años que han pasado desde el nacimiento hasta que la persona forma su hogar en una vivienda independiente. Se usó el concepto general de vivienda particular de las encuestas de hogares chilenas. Estas viviendas son aquellas que están dentro de un espacio delimitado y están destinadas total o parcialmente a la habitación permanente o temporal de personas. Deben disponer de acceso independiente para sus moradores, de manera que no se interrumpa la privacidad de otra vivienda particular (Instituto Nacional de Estadísticas, 2018).
Se usaron adecuaciones de las tablas de vida mediante el método de Kaplan y Meier. Estas tablas estiman la probabilidad acumulada de no haber experimentado aún el evento en cada unidad de tiempo, es decir, cuáles son las probabilidades de continuar en el hogar de origen en las edades observadas. Esta función es representada en el eje de las Y de las gráficas utilizadas en el apartado de análisis (Rich et al., 2010). Las probabilidades fueron estimadas para cada grupo y para determinar las diferencias entre estos se calcularon intervalos de confianza (95%). Por último, se utilizó la mediana de la edad de emancipación como indicador de tendencia central para complementar el análisis de las eventuales diferencias entre las categorías. Este indicador será marcado con líneas punteadas en las gráficas y representa el momento en que las probabilidades acumuladas de no haber experimentado el evento sean de 50%.
La herramienta utilizada permite trabajar con observaciones censuradas y truncadas respecto al evento observado (Brostroem, 2021; Keiding, 2014; Tekle y Vermunt, 2012). Los casos “censurados por la derecha” son todas aquellas personas de las cohortes estudiadas que no se han emancipado residencialmente hasta la última vez que fueron observadas; por lo tanto, no se sabe si lo harán ni en qué momento. En este caso, corresponden a todas las observaciones identificadas como “personas no emancipadas”.6 Los casos “censurados por la izquierda” son quienes pertenecen a las cohortes, pero experimentaron el evento antes de ser observados por primera vez. Es decir, corresponden a individuos identificados desde la primera observación como jefes/as de hogar, pareja del jefe/a de hogar, padre, madre, suegro/a, hermano/a, cuñado, nuera, otro familiar u otro no familiar (8 001 personas). Estas personas no fueron incluidas en el análisis, ya que no es posible determinar el momento ni la edad en que dejaron de cohabitar con sus padres.
El comportamiento de los datos no permite implementar la prueba de Mantel-Cox (Logrank) ni el modelo de regresión de Cox, que son las herramientas comúnmente utilizadas en este tipo de análisis, ya que no se cumple con la proporcionalidad de los riesgos.7 Ante esto, para conocer el efecto de las variables independientes en la probabilidad de emanciparse se utilizó el modelo aditivo de Aalen. En este modelo no paramétrico, a diferencia del modelo de Cox, las covariables actúan de manera aditiva sobre una función de riesgo de referencia y pueden ser funciones dependientes del tiempo (Alayo, 2016; Başar, 2017). La relación entre la función de riesgo basal (λo (t)), el tiempo (t), las covariables (x) y los coeficientes (y) es de la siguiente forma:
λi(t) = λ0(t) + γ1(t)xi1(t) + ... + γp(t)xip(t)
Los coeficientes del modelo reflejan el cambio en las probabilidades de experimentar el evento en el tiempo de observación cuando una covariable aumenta en una unidad y el resto de las covariables se mantienen constantes (Armitage y Colton, 2005; Hosmer y Royston, 2002). Los coeficientes se representan gráficamente para resumir la dirección y la magnitud del efecto de cada covariable, así como para mostrar cómo cambian a lo largo del tiempo en comparación con una categoría de referencia en cada variable independiente (Başar, 2017; Madadizadeh et al., 2017). Estas categorías de referencia son “hombres”, “hogares monoparentales” y “nivel educativo primario o inferior”. Los valores positivos significan que la categoría aumenta las probabilidades de experimentar el evento, mientras que los negativos suponen que disminuye dicha probabilidad (Aalen, 1993). Por su parte, la pendiente de las curvas indica si una categoría tiene un efecto constante o si varía en el tiempo. El procesamiento y el análisis de los datos fueron realizados en Rstudio.
Resultados
Características de los calendarios de emancipación residencial
A medida que aumenta la edad, disminuye la probabilidad de cohabitar con alguno de los progenitores y la intensidad del evento varía durante las biografías, tanto en hombres como en mujeres (figura 1). Hasta los 26 años las mujeres presentan un calendario de emancipación ligeramente más acelerado que los hombres, ya que hasta entonces ellas tienen una probabilidad menor de mantenerse en el hogar familiar. Entre los 27 y los 39 años los intervalos de confianza de las curvas se solapan, por lo que ambos sexos tienen probabilidades similares de mantenerse en el hogar paterno. A pesar de haber diferencias en la primera parte del periodo observado, la edad mediana de emancipación es la misma (31 años), sumado a que la probabilidad de mantenerse en casa de los padres a los 39 años es muy similar (22.7% hombres y 23.3% mujeres).

Fuente: Elaboración propia con base en EPS 2002-2015 (Ministerio del Trabajo, 2015).
Figura 1 Función de supervivencia emancipación residencial por sexo, Chile, 2002-2015
Mientras más alto sea el nivel de instrucción, es más lento el calendario de emancipación entre los 15 y los 32 años (figura 2). Quienes tienen formación primaria -completa o incompleta- tienen un comportamiento más acelerado durante la primera parte de sus biografías. La probabilidad de estar fuera de la vivienda de sus padres a los 19 años es de 87%, ampliamente inferior al de las personas con mayor nivel de instrucción. En las edades siguientes aumenta la intensidad del evento y a los 24 años la probabilidad de estar aún en el hogar familiar es de 64.8%. Entre los 25 y los 29 años, el calendario de emancipación se ralentiza y la probabilidad de continuar en el hogar familiar es similar a la de las personas con mayor formación.
Quienes completaron los estudios secundarios se encuentran en una posición intermedia, ya que, si bien la curva de la función de supervivencia tiene una fuerte pendiente, la intensidad del evento es menor que la del primer grupo. Por último, las personas con estudios superiores tienen un calendario de emancipación residencial más lento hasta los 26 años, cuando la probabilidad de continuar en el hogar de origen es de 90.5%. Sin embargo, desde ese punto y hasta los 31 años, aumenta la intensidad del evento y dicha probabilidad disminuye a 52.5%. Estas diferencias de calendario son más claras en las medianas de edad: para las personas con el nivel educativo más bajo es de 29 años; para aquellas con estudios secundarios es de 31, y para quienes alcanzaron estudios superiores es de 32. En las edades más avanzadas, los tres grupos se comportan de manera similar. Es evidente, por lo tanto, que mientras se asiste al sistema educativo es poco probable que se separen del hogar de origen, y sólo cuando se finalizan los estudios aumentan las probabilidades de emanciparse.
Los calendarios de emancipación residencial según el nivel de formación de los padres presentan brechas, pero en menor medida (figura 3). Hay diferencias en las edades más jóvenes entre quienes son hijos/as de personas con estudios primarios y quienes tienen padres o madres con estudios superiores. Los individuos que provienen de hogares con menor nivel de formación tienen un calendario levemente más acelerado hasta los 30 años. Las diferencias entre estos dos grupos se invierten en esa edad y las curvas de la función de supervivencia se cruzan. Por lo tanto, el calendario de emancipación del grupo con padres con menor formación se hace más lento que quienes provienen de hogares con más estudios. La ralentización del evento en este grupo hace que quienes tienen padres con estudios primarios tengan mayor probabilidad de mantenerse en el hogar familiar en edades adultas. Si bien existe una leve diferencia entre la mediana de la edad de emancipación de las personas con padres con mayor formación, los intervalos de confianza se entrelazan en dichas edades, por lo que no son diferencias significativas.

Fuente: Elaboración propia con base en EPS 2002-2015 (Ministerio del Trabajo, 2015).
Figura 3 Función de supervivencia emancipación residencial por nivel educativo padres, Chile, 2002-2015
En cuanto al tipo de hogar de procedencia, las personas de hogares monoparentales tienen hasta los 34 años un calendario de emancipación residencial similar al de quienes pertenecen o pertenecieron a hogares biparentales (figura 4). En ese punto, el calendario de las personas que cohabitaron con sólo uno de sus progenitores se ralentiza y registra una mayor probabilidad de mantenerse en el hogar de los padres a los 39 años (20.9% hogares biparentales y 27.5% hogares monoparentales).

Fuente: Elaboración propia con base en EPS 2002-2015 (Ministerio del Trabajo, 2015).
Figura 4 Función de supervivencia emancipación residencial por tipo de hogar de procedencia, Chile, 2002-2015
Entre los motivos de emancipación se observan diferencias sustanciales, pues la emancipación residencial por estudios ocurre en edades más jóvenes. A los 21 años, ya ha experimentado el evento la mitad de las personas que salen de su hogar de origen por este motivo (figura 5). Se presume que corresponde en su mayoría a estudiantes de educación superior que migran hacia los centros urbanos donde se encuentra la mayor oferta de matrículas educativas. Por el contrario, la emancipación residencial por trabajo, por formación de familia y por el deseo de vivir solo/a presentan pautas similares. Estos motivos concentran la mayoría de los casos (83.3%) y las formas que toman las curvas son muy parecidas al calendario general de emancipación residencial. Por último, no es posible hacer conclusiones a partir de las “otras razones”, porque es una categoría residual y no se detalla más información.

Fuente: Elaboración propia con base en EPS 2002-2015 (Ministerio del Trabajo, 2015).
Figura 5 Función de supervivencia emancipación residencial por motivo, Chile, 2002-2015
Efectos de las características individuales y de los hogares en la edad de emancipación
El análisis descriptivo muestra las diferencias en los calendarios de emancipación residencial de algunos grupos. Sin embargo, para identificar los factores que empujan o retienen el tránsito a un nuevo hogar es necesario verificar el efecto de las variables en la probabilidad de emanciparse. Para esto se utilizan los gráficos de los coeficientes de regresión del modelo de Aalen. Vale recordar que los valores de los coeficientes muestran el grado de incidencia de las categorías de cada variable en comparación con una categoría de referencia y la pendiente de la curva indica si el efecto es constante o varía a lo largo de las biografías. Los valores de los coeficientes cercanos a cero indican que estos no influyen en el evento y una línea paralela significa que el efecto de la categoría no cambia entre las edades observadas.
Los resultados confirman que algunas de las variables inciden en mayor medida que otras y que sus efectos son relevantes sólo en ciertas edades. Por ejemplo, los coeficientes de la categoría “mujeres” son positivos hasta los 28 años, pero son bajos (figura 6a). Manteniendo el resto de las variables constantes, el efecto de ser mujer en la probabilidad de abandonar la vivienda familiar a edades tempranas es ligerísimamente mayor en comparación con ser hombre. Desde los 29 años en adelante este pequeño efecto desaparece, ya que los intervalos de confianza de los coeficientes interceptan el valor cero. Por otro lado, pertenecer a un hogar biparental (figura 6b) no tiene efecto hasta los 32 años. Hasta ese punto la emancipación residencial no está asociada con haber cohabitado con uno o dos progenitores. En cambio, entre los 33 y 39 años, se convierte en una característica que aumenta las probabilidades de emanciparse y su efecto crece con la edad.

Fuente: Elaboración propia con base en EPS 2002-2015 (Ministerio del Trabajo, 2015).
Figura 6 Estimaciones de la función de regresión acumulada: (a) Mujeres y (b) hogares biparentales
El nivel educativo presenta una fuerte interacción con la edad y su efecto se divide en tres (figuras 7a y 7b). La primera se prolonga hasta los 24 años; en ella, el efecto de contar con estudios secundarios es cada vez mayor en la postergación de la emancipación en comparación con las personas que sólo cuentan con estudios primarios. Hay una segunda etapa entre los 25 y los 31 años con un efecto que continúa siendo negativo (emancipación más tardía), pero su intensidad se reduce paulatinamente hasta un último tramo de edades en las que su incidencia es nula. Por su parte, los estudios superiores muestran etapas similares, pero con mayor incidencia y duración. Esta característica retrasa el evento hasta los 27 años. Tras esa edad el efecto disminuye, aunque continúa teniendo un efecto significativo hasta los 37 años.

Fuente: Elaboración propia con base en EPS 2002-2015 (Ministerio del Trabajo, 2015).
Figura 7 Estimaciones de la función de regresión acumulada: nivel educativo de las personas observadas (categoría de referencia: estudios primarios o inferiores)
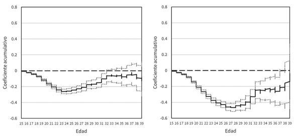
En cuanto al nivel educativo de los padres, los resultados apuntan a que la salida del hogar familiar no está relacionada con esta característica durante gran parte de las biografías (figuras 8a y 8b). Ser hijo/a de personas con estudios secundarios tiene nulo efecto hasta los 28 años. Aunque la incidencia aumenta en edades posteriores, sigue siendo de baja magnitud e incluso vuelve a ser nula en algunas edades. Tener padres con estudios superiores tampoco afecta la emancipación residencial hasta los 28 años, pero el efecto aumenta de manera sostenida a partir de entonces. Es decir, tener padres con estudios secundarios no incide en un calendario de emancipación residencial distinto de quienes son descendientes de padres con estudios primarios. Sin embargo, tener padres con estudios superiores repercute entre las personas que entran en su treintena.

Fuente: Elaboración propia con base en EPS 2002-2015 (Ministerio del Trabajo, 2015).
Figura 8 Estimaciones de la función de regresión acumulada: nivel educativo de los padres (categoría de referencia: estudios primarios o inferiores)
Conclusiones
Los resultados confirman que la emancipación residencial en Chile es tardía. Los datos son elocuentes: a los 31 años hay una probabilidad de 50% de continuar en cohabitación con alguno de los padres, mientras que a los 39 años es de 22.9%. Otro hallazgo es que los calendarios de emancipación de hombres y mujeres son parecidos, mientras que sí hay diferencias sustantivas entre personas con distinto nivel educativo. Para identificar cuáles son los factores que más empujan o impiden la emancipación, se utilizó el modelo aditivo de Aalen, el cual confirmó que acceder a la educación superior es la característica con el mayor efecto en el retraso de la emancipación. Por otro lado, se identificaron algunas diferencias en los calendarios según los motivos de emancipación, ya que la salida del hogar por estudios ocurre en edades más jóvenes y las salidas por formación de familia suceden en edades más avanzadas; sin embargo, ese tipo de emancipación sigue siendo la más común.
Se constató un hallazgo inesperado en los calendarios según el nivel educativo de los padres, ya que se esperaba que la edad de salida del hogar guardase estrecha relación con esta variable. Si se considera el nivel de formación de los padres como un proxy a la disponibilidad de recursos y capitales de los hogares de origen, se esperarían trayectorias distintas, debido a que la posición social de los hogares empujaría o ralentizaría el acceso a una vivienda independiente. Por otro lado, los antecedentes indican que eventuales transferencias de dinero y/o expectativas desde padres a hijos/as tienen un efecto en las decisiones sobre los eventos de la transición a la adultez (Bayrakdar y Coulter, 2018; Schwanitz, 2017; Ward y Spitze, 2007). Esto no se observa en los datos, ya que, si bien el calendario de emancipación de quienes provienen de hogares con menor formación es más acelerado en edades jóvenes y más lento en las edades sobre los 30 años, las probabilidades de continuar en el hogar familiar son parecidas durante gran parte de las edades. En paralelo, se encontraron ligeras diferencias en los calendarios de emancipación según tipo de hogar, puesto que en edades más adultas las personas que provienen de hogares monoparentales continúan por más tiempo en convivencia con alguno de sus progenitores. Pese a que no son grandes diferencias, es importante recalcar que la tendencia observada es contraria a la que han descrito los antecedentes en países occidentales (Mencarini, Meroni y Pronzato, 2012). En síntesis, si bien es cierto que no hay grandes diferencias en los calendarios de emancipación residencial según las dos variables del hogar de origen, cabe destacar que, gracias al modelo de regresión, se detectó que en las emancipaciones “rezagadas” -aquellas que ocurren después de los 32 años- son justamente estas variables las que tienen un mayor efecto.
Los datos también muestran que las características de la sociedad chilena -con escasa seguridad social y alta desigualdad económica- moldean un escenario de postergación de este hito. Esta tardanza en la salida del hogar familiar, así como en otros países de la región, estaría asociada a los obstáculos provocados por un mercado de la vivienda poco accesible y las malas condiciones laborales (Felice, 2017b). Se debe tener en cuenta que en América Latina la participación laboral no garantiza independencia económica, debido a las altas tasas de subempleo, bajos salarios y altos niveles de informalidad (Ferraris y Martínez, 2015). Por otro lado, este contexto socioeconómico empuja a las personas a ajustarse a un modelo “familista” en el que el comportamiento demográfico -en parte- se explica por la alta dependencia económica familiar hasta edades adultas (Aassve et al., 2007; Bosch, 2015), lo que a su vez incide en la mayor prevalencia de hogares multigeneracionales que en otras regiones del planeta (Esteve, García-Román y Lesthaeghe, 2012).
El modelo social y económico chileno también explicaría la relación que hay entre la edad de emancipación y el nivel de estudios. Los hallazgos muestran que el sistema educativo chileno es incompatible con la autonomía económica durante gran parte de la juventud, por lo que el acceso a la educación superior trae consigo la extensión de la estadía en el hogar familiar. Vale recordar que el sistema educativo chileno es en la práctica un modelo privado cuyos costos son asumidos en su mayoría por las familias (OECD, 2019). Ante esto, el ajuste de los presupuestos o la generación de deuda para estudiar -por parte de los individuos o su grupo familiar- suman otra capa más de dificultad para acceder a una vivienda independiente, que se traduce en bajas posibilidades de emanciparse durante el periodo de formación e incluso en los años posteriores a haberse graduado. Por otro lado, la edad de emancipación está mediada por las condiciones socioeconómicas de los hogares, dado que el acceso a la educación depende de la capacidad de los hogares de asumir los gastos. Esto genera que -al igual que en otros países de la región- las personas que pueden permanecer en el sistema educativo provengan de hogares con más recursos, en los que pueden quedarse más tiempo, mientras que la población más pobre se ve presionada a ingresar antes al mercado de trabajo y acortar su formación, que podría llevar a emanciparse más prontamente (Busso y Pérez, 2015; CEPAL, 1998; Saraví, 2006).
Otra característica del modelo de emancipación residencial chileno es que, dado la cantidad de obstáculos económicos para acceder a la vivienda, las probabilidades de emanciparse aumentan cuando se afrontan en pareja y es posible compartir gastos con otra persona (Arancibia, 2016). La emancipación residencial en Chile tiene un marcado componente “neolocal”, ya que la mayoría de las personas salieron del hogar materno para formar su núcleo familiar (50.6%), al igual que en otros países de América Latina y del mediterráneo europeo. Sin embargo, no puede perderse de vista que la edad de emancipación no sólo responde a razones económicas, sino que también está vinculada con la nupcialidad y la fecundidad (Vieira y Miret, 2010; Vinuesa, 2008), que han registrado un importante retraso durante las últimas décadas en Chile (Instituto Nacional de Estadísticas, 2021).
Para afinar las políticas dirigidas a facilitar esta transición, es necesario contar con más fuentes de información que permitan estudiar de manera directa los obstáculos y las razones que están detrás de estos eventos. Es fundamental que se avance en la disponibilidad de fuentes longitudinales -ya sean de panel o retrospectivas- que recojan las características de las personas y los hogares de manera continua. Además, es necesario que estos datos sigan a distintas cohortes para determinar si hay diferencias generacionales en las transiciones a la adultez y si los factores que empujan o retrasan estos eventos son los mismos para cada grupo. Sin esta información, se continuará con grandes puntos ciegos y prejuicios acerca de las posibilidades de la juventud para tomar decisiones vitales.










nueva página del texto (beta)




