Introducción
El consumo de alcohol es un serio problema de salud pública a nivel mundial debido a la magnitud del consumo y las múltiples consecuencias, entre los cuales se destacan problemas cardiovasculares 1,2 cánceres 3, trastornos mentales 4, así como problemas sociales 5 y laborales 6 en la población en general7) . Sin embargo, una de las poblaciones altamente vulnerable ante riesgos en salud como el consumo de alcohol son los trabajadores, especialmente aquellos que se dedican al rubro de la conducción, como los conductores de carga pesada 8,9. Esto probablemente se debe a las altas exigencias laborales, tales como largas jornadas, turnos cambiantes, bajos salarios y presiones de tiempo para la entrega de mercancía, que pueden sobrepasar sus capacidades y generar carga tanto mental como física 10.
De acuerdo con las estadísticas sobre el consumo de alcohol en conductores de Colombia, el 18.8 % reporta un consumo de alcohol de riesgo y perjudicial 11 y más de la cuarta parte de los conductores (27.0 %) mencionó haber consumido alcohol durante su jornada laboral, el 88.6% refirió consumir alguna vez en la vida, el 6.3 % en los últimos 12 meses y el 4.7 % en los últimos 30 días. El 33.3 % refirió consumir alcohol semanalmente y el 16.7 % cada quince días 12. En México, un estudio 13, identificó que el 14 % de los conductores de carga registraron estar bajo los efectos del alcohol durante su jornada laboral y el 8.9 % de las defunciones fueron atribuidas al consumo de drogas.
De acuerdo con lo anterior, se muestra una alta prevalencia del consumo de alcohol en los conductores, lo cual puede deberse a diversas circunstancias, entre las que se destaca la fatiga como una forma de escape ante los diversos síntomas de desgaste 12,14. Cabe señalar que, la fatiga es una sensación integrada por síntomas físicos, mentales y neurosensoriales de agotamiento, cansancio y falta de energía 15, que al conducir se convierte en un fenómeno complejo, dado que disminuye los niveles de alerta y conciencia, incrementando la ocurrencia de accidentes viales 16. Al respecto, un estudio realizado en conductores de transporte público en Colombia reportó una asociación significativa (x2=2.1, p=.041) demostrando que quienes duermen solo entre 1 y 5 horas diarias presentan mayores prevalencias de consumo de alcohol (57.6 %), en comparación a los que duermen entre 6 a 10 horas (42.5 %) 12.
Por su parte, en México, los estudios sobre conductores se han caracterizado en su mayoría por ubicarse en aquellos de transporte de pasajeros, los cuales indagan aspectos descriptivos sobre prevalencias y padecimientos relacionados con la salud 17-19. Sin embargo, el transporte de carga pesada posee características diferentes. Por ejemplo, un punto importante a destacar acerca de los vehículos de carga pesada, son sus dimensiones y la magnitud de carga con la que transitan, por lo que se torna aún más peligroso 20. Cabe señalar que, en Nuevo Laredo, frontera norte de México, es una de las ciudades más utilizadas por los conductores de carga pesada, porque conforma el principal puerto terrestre de tránsito para el comercio y genera un importante crecimiento económico debido al alto volumen de transporte de diversos productos hacia Estados Unidos 21. No obstante, actualmente se carece de investigaciones relacionadas al tema de interés, debido a que existe un vacío del conocimiento relevante a explorar.
De tal manera, se considera necesario conocer las condiciones de riesgo, tal como lo es la fatiga, asociada al consumo de alcohol en los conductores, con la finalidad de que el profesional de enfermería, entre otras disciplinas del área de la salud, puedan atender adecuadamente las necesidades que esta población demanda, así como aumentar acciones preventivas hacia conductas de riesgo en los conductores de carga pesada, la cual es una población poco estudiada. Con base en la información expuesta, se formuló la pregunta de investigación: ¿Cuál es la relación entre la fatiga y el consumo de alcohol en conductores de carga pesada de Nuevo Laredo frontera norte de México? Además, se consideró pertinente formular los objetivos: a) describir el nivel de fatiga en los conductores de carga pesada; b) determinar la prevalencia (alguna vez en la vida, último año, último mes y últimos siete días) del consumo de alcohol; y c) describir los patrones de consumo de alcohol (de riesgo, dependiente y perjudicial) en conductores de carga pesada de Nuevo Laredo frontera norte de México.
Metodología
Estudio transversal con diseño descriptivo, correlacional 22. En una muestra de 224 conductores de carga pesada de dos empresas transportistas ubicadas en Nuevo Laredo, Tamaulipas, frontera norte de México, muestra calculada en el paquete estadístico nQuery Advisor versión 7.0, potencia del 95%, significancia de .05, correlación de .30 y tasa de no respuesta del 10 %. El muestreo fue no probabilístico, se incluyeron a conductores de carga laboralmente activos, mayores de edad (18 a 65 años), ambos sexos, que utilizaran camiones de quinta rueda para el transporte de cajas secas (48 o 53 pies, doble remolque), refrigeradas, plataformas fijas, extendibles y madrinas (porta vehículos) y que contaran con disponibilidad para el llenado de una batería de instrumentos autoaplicables que se detallan más adelante. Se excluyeron a los participantes que utilizaran camiones o vehículos para mudanza, paquetería, maquinaria y auto tanques o pipas, y que no concluyeron el llenado del instrumento.
La batería de instrumentos consistió en una cédula de datos sociodemográficos y de prevalencias de consumo de alcohol creada ex profeso, que recabó información general como: edad, estado marital, escolaridad, prevalencias de consumo clasificadas alguna vez en la vida, en último año, último mes, últimos siete días. La Prueba de Síntomas Subjetivos de Fatiga 23, adaptada al contexto mexicano, la cual mide las magnitudes de fatiga que presentan los trabajadores y ha reportado una confiabilidad alpha de Cronbach aceptable de 0.89 24. Consta de 30 reactivos, con opción de respuesta dicotómica (sí y no). Cuenta con tres subescalas: a) somnolencia y pesadez, dificultad para concentrarse y proyección de malestar físico. La escala total oscila entre 0 y 30 puntos, donde una mayor puntuación sugiere mayor fatiga. Se obtuvo una confiabilidad total aceptable de .88, en la subescala primera .794, segunda.726, y tercera .756.
La Prueba de Identificación de Trastornos derivados por Consumo de Alcohol (AUDIT) instrumento diseñado por la OMS, compuesta por 10 reactivos de opción múltiple, permite identificar el uso y abuso de alcohol. Identifica tipos de consumo: riesgoso, dependiente y perjudicial. La escala total oscila entre 0 y 40 puntos, donde una mayor puntuación sugiere un mayor nivel de riesgo por el consumo de alcohol. Puntuaciones menores a 8 se consideran casos de consumo riesgoso, mientras que puntuaciones mayores o iguales a 8 constituyen casos de consumo perjudicial. Se obtuvo una confiabilidad aceptable de .77 25.
Para la recolección, se obtuvo el registro FAEN-D-1626 ante los Comités de Ética en Investigación e Investigación de la Facultad de Enfermería de la Universidad y la autorización de los directivos de las empresas participantes. Se invitó a los conductores a participar de manera voluntaria y anónima, dando a conocer los objetivos y las instrucciones de llenado, quienes aceptaron firmaron el consentimiento informado. En todo momento se aseguró la protección de los derechos de los participantes, así como su confidencialidad y libertad de participación, apegado al Reglamento de la Ley General de Salud en Materia de Investigación para la salud, de acuerdo con el Capítulo I, Título Segundo de los Aspectos Éticos de la Investigación en Seres Humanos 26.
El proceso estadístico se efectúo a través del programa Statistical Package for the Social Sciences (SPSS) versión 24.0 para Windows 10. Se utilizó estadística descriptiva (frecuencias, proporciones, medidas de tendencia central y dispersión) y estadística inferencial no paramétrica (coeficiente de Correlación de Spearman) debido a que las variables no reportaron normalidad en la distribución de los datos, la cual se identificó mediante la prueba Kolmogórov-Smirnov con corrección de Lilliefors.
Resultados
Todos los participantes fueron del sexo masculino, con una media de edad de 41.2 años (DE=±10.5), prevalecieron quienes refirieron tener pareja (86.6%) y contaban con escolaridad secundaria (57.6%). Así mismo, el 77.7% eran conductores de carretera nacional, el 46% tenía turno laboral nocturno, conducían en promedio 16.0 horas por viaje con una media de 15.7 años (DE= ±10.76) de experiencia laboral, (Tabla 1).
Tabla 1 Datos sociodemográficos de los conductores de carga pesada, 2021. (n= 224).
| Variable | f | % |
| Sexo | ||
| Masculino | 224 | 100 |
| Estado marital | ||
| Con pareja | 194 | 86.6 |
| Sin pareja | 30 | 13.4 |
| Escolaridad | ||
| Primaria | 36 | 16.1 |
| Secundaria | 129 | 57.6 |
| Preparatoria | 43 | 19.2 |
| Universidad | 16 | 7.1 |
| Tipo de conductor | ||
| Transfer (local) | 34 | 15.2 |
| Conductor de carretera (nacional) | 174 | 77.7 |
| Conductor B1(internacional) | 16 | 7.1 |
| Turno laboral que le favorece | ||
| Matutino | 63 | 28.1 |
| Vespertino | 21 | 9.4 |
| Nocturno | 103 | 46.0 |
| Mixto | 37 | 16.5 |
Fuente: Elaboración propia.
Se observó que la mayoría de los participantes contaban con un nivel de fatiga baja (87.1%), (Tabla 2).
Tabla 2 Nivel de fatiga de los conductores de carga pesada, 2021. (n= 224).
Fuente: Elaboración propia. f = Frecuencia, % = Porcentaje
Respecto a la prevalencia del consumo de alcohol se identificó que el 86.6% de los conductores de carga pesada habían consumido alcohol alguna vez en la vida (Tabla 3).
Tabla 3 Prevalencia del consumo de alcohol de los conductores de carga pesada. 2021, n= 224
| Sí | No | IC 95% | ||||
| Prevalencia de consumo de alcohol | f | % | f | % | LI | LS |
| Alguna vez en la vida | 194 | 86.6 | 30 | 13.4 | 82.0 | 91.0 |
| En el último año | 155 | 69.2 | 69 | 30.8 | 63.0 | 75.0 |
| En el último mes | 111 | 49.6 | 113 | 50.4 | 43.0 | 56.0 |
| En los últimos siete días | 59 | 26.3 | 165 | 73.7 | 21.0 | 32.0 |
Fuente: Elaboración propia. F = Frecuencia, % = Porcentaje, IC = Intervalo de Confianza del 95%, LI = Límite Inferior, LS = Límite Superior
Adicionalmente, se observó que la media de edad de inicio de consumo fue a los 17.9 años, consumían en promedio 4.9 bebidas alcohólicas en un día típico y la bebida más consumida fue la cerveza (72.8%), seguido de licores (27.2%).
Al describir los patrones de consumo de alcohol de los conductores de carga pesada, mostraron que 81.3% tenían un consumo riesgoso de alcohol y el 18.7% tenía un consumo perjudicial, (Tabla 4).
Tabla 4 Patrones de consumo de alcohol en conductores de carga pesada. 2021, n= 224
Fuente: Elaboración propia. f = Frecuencia, % = Porcentaje
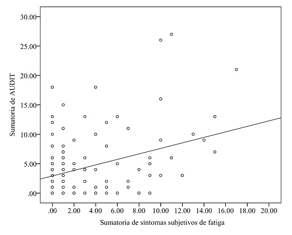
Respecto a la relación entre la fatiga y el consumo de alcohol en conductores de carga pesada de Nuevo Laredo, se encontró una relación positiva estadísticamente significativa de baja intensidad (r s = .230, p= .001, (Figura 1). Esto indica que a mayor sensación de fatiga mayor es la implicación con el consumo de alcohol en los conductores de carga pesada. Así mismo, se encontraron relaciones positivas estadísticamente significativas entre las subescalas de la fatiga, somnolencia y pesadez (r s = .185, p= .005), dificultad para concentrarse (r s = .210, p= .002) y proyección de malestar físico (r s = .268, p =.001).
Discusión
En base al objetivo de identificar la relación de la fatiga y el consumo de alcohol en conductores de carga pesada de Nuevo Laredo, frontera norte de México, se encontró que la totalidad de la población fue del sexo masculino, predominó la edad de 41.2 años, participantes casados y con nivel de escolaridad de secundaria. Estos datos concuerdan con diversos autores 13,27,28 que señalaron que la conducción es una actividad mayoritariamente masculina, la cual demanda esfuerzo físico y mental que exige al conductor desarrollar habilidades y capacidades para su desempeño. Además, esta actividad es considerada como un oficio común, por lo que no requiere de una preparación académica profesional, solamente educación básica y diversas capacitaciones para conducir, dependiendo del tipo de vehículo, el producto que se transporta y las operaciones logísticas 29.
Prevaleció el nivel bajo de fatiga, seguido del nivel moderado, estos resultados concuerdan con un estudio llevado a cabo en conductores peruanos 30, donde se señaló que casi la mitad de los participantes presentaron fatiga leve seguida de fatiga moderada. Otro estudio realizado en conductores colombianos 31, mostró similitud en cuanto a la presencia de fatiga física, entre los que se destacan síntomas como tener deseos de acostarse, tener sed, sentir el cuerpo y la vista cansados y manifestar dolor de espalda durante los trayectos de conducción de vehículos de carga pesada.
A pesar de que, en el presente estudio, la evaluación de fatiga destacó presencia de fatiga leve, la cual no afecta la salud del trabajador; menos de la cuarta parte de los conductores presentó fatiga moderada. Este nivel sí puede causar daños en la salud del trabajador, al igual que poner en riesgo la operación de transporte 30,31. Cabe señalar que, la mayoría de los participantes conducían en promedio 16.0 horas por viaje, las cuales podrían aumentar los síntomas de somnolencia, pesadez y dificultad para concentrarse y con ello incrementar el índice de accidentes y conductas de riesgo 32.
Asimismo, prevaleció el consumo de alcohol alguna vez en la vida, seguido del consumo en el último año. Estos resultados coinciden con un estudio en conductores de transporte en Perú (33), donde se muestra que casi la totalidad de los participantes habían consumido alcohol alguna vez en la vida, seguido del consumo en el último año. Los resultados del consumo de alcohol reportados superan la media nacional 34 y podría deberse a las largas jornadas de trabajo, el número reducido de horas para dormir o estar lejos de la familia, como una forma de afrontar dichas situaciones. Además, aunque el alcohol es una droga depresora del Sistema Nervioso Central (SNC), inicialmente produce efectos de euforia y excitación, que podría confundirse con una droga estimulante, por lo que los conductores lo consideran necesario para sobrellevar las situaciones de sus extensas jornadas laborales 34,35.
En los conductores prevaleció el consumo riesgoso, seguido del consumo perjudicial de alcohol. Estos hallazgos coinciden con lo reportado en un estudio realizado en conductores de una empresa de transporte de Colombia 36, donde la mitad de los participantes presentó un consumo riesgoso y una menor cantidad reportó consumo perjudicial. Estos hallazgos permiten identificar una problemática alarmante de salud pública en este grupo de trabajadores, por lo que se hace necesario fortalecer las acciones de prevención e intervención de enfermería para disminuir conductas nocivas para la salud, como lo es el consumo de alcohol.
Finalmente, se encontró que, a mayor puntuación general de fatiga, así como de las subescalas de somnolencia y pesadez, dificultad para concentrarse y de proyección de malestar físico, mayor fue el consumo de alcohol en los conductores de carga pesada. Cabe señalar que todos los coeficientes de correlación identificados fueron de baja intensidad, pero estadísticamente significativas 37. Al respecto, un estudio llevado a cabo en conductores de Tailandia 38, señaló que más de la mitad de los conductores siempre consumían bebidas para controlar la fatiga mientras estaban en servicio. Como se mencionó anteriormente, el alcohol es un depresor del SNC, por lo que en conjunto con la fatiga disminuyen la capacidad de coordinación, la adecuada toma de decisiones y de reacción ante una situación de peligro en la conducción lo que aumentan la probabilidad de accidentes viales, generando invaluables pérdidas humanas, así como económicas y ambientales 39. La baja intensidad de los coeficientes puede responder a diversos factores, pero se enfatiza en la precisión del autoreporte proporcionado por los participantes. Lo anterior debido a que los instrumentos empleados dependen del recuerdo y percepción del participante. En la experiencia de los autores de este estudio, se identificó que los participantes podrían infravalorar su percepción de fatiga, principalmente debido a la costumbre; similar situación podría ocurrir en el autoreporte de sustancias adictivas 40.
Ahora bien, se puntualizan las siguientes limitaciones. El presente estudio fue de corte transversal, por lo que los resultados deben interpretarse con cautela, sin realizar inferencias de causalidad. Asimismo, debido a que los conductores de carga pesada son una población con limitado tiempo libre para responder a las encuestas, sus respuestas podrían implicar cierto sesgo. En este mismo sentido, otras investigaciones añaden que la falta de horarios regulares de trabajo podría tener implicaciones en la apreciación de la fatiga 16. Finalmente, una opción para mejorar la comprensión del fenómeno de la fatiga y el consumo de alcohol podría ser recurrir a abordajes cualitativos, o bien por medio de un marco de triangulación 41 donde a través del diseño del estudio y mediante covariables estadísticas se controlen posibles fuentes de sesgo (por ejemplo, el turno laboral).
Conclusiones
De acuerdo con los resultados obtenidos se concluye que existió una asociación positiva estadísticamente significativa entre las variables del estudio, lo que indican que a mayor fatiga mayor consumo de alcohol en los conductores de carga pesada de Nuevo Laredo, frontera norte de México. Así mismo, la mayoría de la muestra presentó un nivel de fatiga baja a moderada. Respecto al consumo de alcohol, prevalecieron los conductores que habían consumido alcohol alguna vez en la vida y en el último año y quienes presentaron un consumo riesgoso.
Lo anterior justifica la necesidad de profundizar en los niveles de fatiga en conductores de carga pesada, en quienes se han registrado altas prevalencias de alcohol. Así mismo, los hallazgos invitan a colaborar en redes de trabajo para investigar los riesgos como la fatiga y el consumo de alcohol, de modo que se produzcan conocimientos que permitan orientar futuras intervenciones de enfermería para disminuir conductas de riesgo entre los conductores de carga pesada, teniendo en cuenta que esta población es de suma importancia para el crecimiento económico de nuestro país y que tienen un fuerte impacto en la salud pública.










texto en 




