Introduction
The sweet potato (Ipomoea batatas L.) is a storage root used as staple food in many developing countries. It is used as a source of vitamins and minerals in the human diet, standing out for its high yield, broad edaphoclimatic adaptation, drought tolerance, and high genetic variability (Amaro, Fernandes, Silva, Mello, & Castro, 2017; la Bonte, Clarck, Smith, & Villordon, 2011; Vizzotto, dos Santos-Pereira, Suita-de Castro, de Oliveira-Raphaelli, & Krolow, 2018).
In Roraima State, as well as in a large part of the northern region of Brazil, sweet potato crops are being grown in new, small farms, with incipient technical information and a low technological level (Araújo-da Silva et al., 2018). However, its cultivation is potentially viable due to local socioeconomic growth and high demands for this food product. In addition, the natural conditions of savanna soils are limited by their low natural fertility and inappropriate physical conditions (Garcia-Benedetti, Frutuoso-do Vale, Reynaud-Schaefer, Ferreira-Mello, & Pereira-Uchôa, 2011). Because this species has a storage root, savanna soils require intensive preparation (small cultivated ridges), due to their sensitivity to compaction, inadequate aeration, and poor drainage (Rós, 2017). However, adequate conditions can be established by supplying different forms of fertilization (Rós, Narita, & Hirata, 2014).
Organic fertilization is an alternative to mineral fertilization, with advantages in yield, due to the improved availability of nutrients, such as N, P, K, Ca, Mg, and organic C in the soil (Agbede & Adekiya, 2011; Rós et al., 2014). Besides these qualities, which are essential for planting, the application of organic fertilizers has resulted in an increase in the nutritional quality of potatoes, as reported by Atuna et al. (2018). These authors identified a significant increase in β-carotene levels and protein content in sweet potatoes grown with different amounts of poultry manure. Furthermore, an increase in yield reported in sweet potato cropping areas, its economic viability (influenced by the availability of the product), and the residual capacity in the soil for consecutive cultivation should all be analyzed prior to the implementation of commercial-scale cultivation.
Different types of manure and commercial organic conditioners used as fertilizers may lead to a significant increase in production costs, depending on the crop region (Dias-Arieira, dos Santos-Morita, de Oliveira-Arieira, & Codato, 2008). Among these commercial products, some, such as organic soil conditioners, compost A (compound based on humic-rich peat), compost B (composed of 17 % total organic carbon), and compost C (contains N, P2O5, S, B, Cu, Mn, Zn, and humic substances), have been widely used for various crops.
Sweet potato is mainly intended for fresh consumption and the manufacture of flour and starch (Instituto Brasileiro de Geografia e Estatística [IBGE], 2018), being the eighth most produced crop in Roraima, with 1,486 t per year in an area of 76 ha. However, information on the cultivation of sweet potatoes under edaphoclimatic conditions in the savanna of Roraima is necessary due to an increase in demand and a lack of recommendations regarding organic fertilization. In this context, the objective of this work was to determine the effect of different organic fertilizers on sweet potato production in savanna soil in Roraima, Brazil, during the first year of cultivation.
Material and methods
The experimental work was performed from March to September 2017 in a privately-owned area (Santa Cruz Farm) in the municipality of Boa Vista, Roraima State, Brazil (02° 45’ 42.1’’ NL and 60° 51’ 11.8’’ WL, at 96 m a. s. l.). The climate in the region is Awi type, according to the Köppen classification, with an average annual rainfall of 1.678 mm, 70 % relative humidity, and a mean temperature of 27.4 °C, with a well-defined rainy season from April to September and a dry season from October to March (Araújo, Andrade, Medeiros, & Sampaio, 2001).
Soil characterization in the experimental area
The soil, without cultivation records, was characterized as yellow oxisol, with the following physicochemical composition in the 0-20 cm layer, as determined according to the methodology of Claessen, de Oliveira-Barreto, Lopes-de Paula, and Nascimento-Duarte (1997): pH (H2O) = 4.48, Ca2+ = 0.80 cmolc·dm-3, Mg2+ = 0.40 cmolc·dm-3, K+ = 0.02 cmolc·dm-3, Al3+ = 0.20 cmolc·dm-3, H+Al = 3.0 cmolc·dm-3, P = 1.80 mg·dm-3, sum of bases = 1.22 cmolc·dm-3, total cation exchange capacity - total CEC (T) = 4.22 cmolc·dm-3, effective CEC (t) = 1.42 cmolc·dm-3, base saturation (BS) = 28.92 %, aluminum saturation (AS) = 14.08 %, organic matter (OM) = 5.06 g·kg-1, clay = 4.0 %, silt = 4.0 %, and sand = 92.0 %. According to Rós et al. (2014), these nutrient levels are low for the cultivation of sweet potatoes. The experimental field preparation consisted of constructing raised beds of 2 x 1 m (2 m2) and applying 2 t·ha-1 of dolomitic limestone and incorporating it to a depth of 20 cm.
Experimental design, treatments, and analyzed variables
In the present study, five independent simultaneous experiments were performed with the aim of offering two options for the use of organic fertilizers for sweet potato crops in previously uncultivated savanna soils. The first four experiments were performed to determine the most efficient doses of four organic fertilizers. These included experiment (EX) 1-4: cattle manure (0, 10, 20, 30, and 40 t·ha-1), poultry manure (0, 5, 10, 15, and 20 t·ha-1), compost A (0.00, 0.75, 1.5, 2.25, and 3.00 t·ha-1), and compost B (0.00, 0.75, 1.5, 2.25, and 3.00 t·ha-1).
The fifth experiment (EX 5) aimed to compare organic fertilizers in commercially recommended application amounts to provide easily usable information for sweet potato growers in savanna regions. The same sources of organic fertilizer from the previous experiments were used, however, now with the addition of a new compost (C) and a control treatment, totaling six treatments: 1) control (without organic fertilization), 2) cattle manure (20 t·ha-1), 3) poultry manure (10 t·ha-1), 4) compost A (1.5 t·ha-1), 5) compost B (1.5 t·ha-1), and 6) compost C (0.375 t·ha-1).
Poultry and cattle manure, acquired from a commercial farm and from extensively reared animals, respectively, were sieved through a 10 mm mesh. The other products (compost A [Ribumim®], compost B [Fertium®], and compost C [MAP Gold®]) were purchased commercially and had the following specifications: compost A, soil conditioner based on humic-rich peat, with a total CEC of 80 cmolc·dm-3, a water-retention capacity (WRC) of 80 %, and a total organic carbon (TOC) content of 14 %; compost B, soil conditioner with a high content of humic substances from the humification of organic materials, with 17 % TOC, 90 cmolc.dm-3 total CEC, 60 % WRC, a dark color, and a density of 0.95 g·cm-3; compost C, soil conditioner with 9 % N, 40 % P2O5, 15 % S, 0.1 % B, 0.05 % Cu, 0.3 % Mn, 0.5 % Zn, and 0.6 % humic substances.
In these five experiments, a randomized block design was used, using three blocks (repetitions) in each experiment. Each experimental unit consisted of 14 plants cultivated in layers containing double rows of 0.3 m between plants x 0.4 m between rows, corresponding to a stand of 70,000 plants·ha-1.
At 107 days after planting, the following variables were evaluated in the first four experiments: branch productivity (BP; t·ha-1), number of commercial roots (NCR; ha-1), commercial root productivity (CRP; t·ha-1), total productivity (TP; t·ha-1), and commercial root mass (CRM; g). For TP, roots with a mass equal to or greater than 40 g were considered. For CRP and NCR, roots with a mass of fresh matter between 80 and 1,000 g and of good appearance (uniform and smooth) were considered (Rós et al., 2014). BP was measured using dry matter obtained after 72 h in the oven, which is a necessary period to obtain a constant mass.
In the fifth experiment, the following variables were evaluated: BP, NCR, CRP, TP, CRM, commercial root length (CRL; cm), commercial root diameter (CRD; cm), total soluble solids (TSS; °Brix) of the potatoes, and residual chemicals in the soil after harvest (pH [H2O], Ca+2 [cmolc·dm-3], Mg+2 [cmolc·dm-3], K [cmolc·dm-3], P [mg·dm-3], base saturation [V %] and soil organic matter [SOM; g·kg-1]).
CRP, CRD, and TSS were measured immediately after harvest using a digital caliper, a graduated ruler, and a portable digital refractometer, respectively. Values were obtained from the average of five randomly chosen roots in each repetition. For the analysis of the residual chemical input of the different treatments, composite samples of each portion of the 0-20 cm layer were collected and sent to a laboratory for chemical analysis, two days after collection.
At the time of product application, which was performed by manual incorporation at the site, 300 kg·ha-1 of triple superphosphate (00-36-00) and 400 kg·ha-1 of N-P-K (04-30-10) were also applied. At 30 days after planting a covering fertilization of 200 kg·ha-1 of N-P-K (20-00-20) was applied.
From planting, when the sweet potato seedlings cv. Canadians had an average of 6 to 8 knots and were 30 cm in length, complementary irrigation by conventional spraying was performed until harvest. However, this system was rarely activated because the soil remained moist for almost the entire experimental period. Weed control was achieved by manual grubbing. Plants were monitored for symptoms of white rust (Albugo Ipomoeae-panduranae) and when identified, a systemic fungicide (Tenaz 250 SC) of the triazole chemical group was applied once. This treatment delivered 250 g·L-1 (recommended dosage) of the active ingredient, Flutriafol.
Statistical analysis
After testing for normal distribution (Lilliefors) and homogeneity (Cochram) of variances, data were subjected to analysis of variance. A regression analysis was then performed on the significant effects (P ≤ 0.05) of fertilizer treatments in the first four experiments, testing the linear and quadratic models. Tukey’s test (P ≤ 0.05) was used to compare the evaluated products in the fifth experiment. All data were analyzed using the Sisvar statistical program (Ferreira, 2011). To determine the correlation between treatments and variables analyzed in the fifth experiment, a multivariate analysis of the principal components (PCs) was applied, using the statistical package, Infostat (Di-Rienzo et al., 2008).
Results
Evaluation of organic fertilizer doses (EX 1−4)
Positive responses to complementary organic fertilization were identified for all production variables (P ≤ 0.05). The different fertilizers showed significant variation with increasing application rates.
Branch productivity
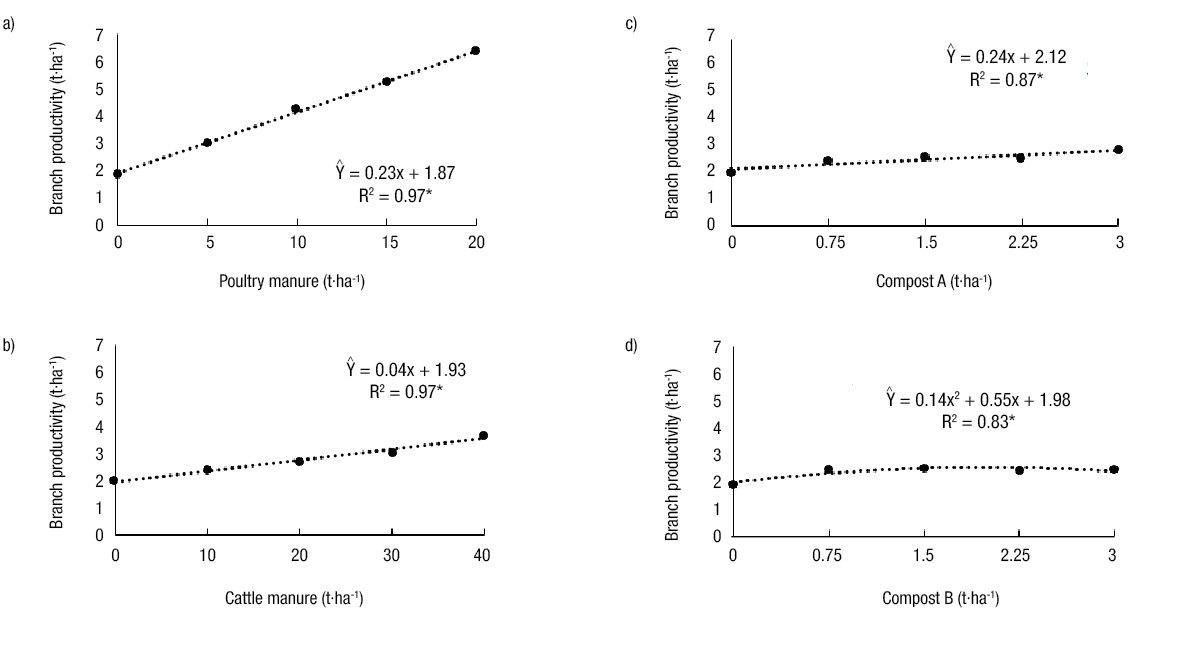
The organic fertilizers promoted a significant increase in the BP, presenting a linear model for both types of manure and for the fertilizer, compost A; however, the results of compost B treatment fit a quadratic model, with increasing rates applied (Figure 1). Poultry manure promoted the highest BP, with 6.37 t·ha-1 produced at the highest application rate (20 t·ha-1), with an increment of 1.12 t·ha-1 of BP for each 5 t·ha-1 of applied manure (Figure 1a). Although there were similarities observed in the adjusted models of cattle and poultry manure, the highest rate (40 t·ha-1) resulted in 3.54 t·ha-1 of BP, with 0.4 t·ha-1 for each 10 t·ha-1 of applied cattle manure (Figure 1b).

Figure 1 Branch productivity of sweet potatoes (Ipomoea batatas L.) after application of poultry manure (a), cattle manure (b), compost A (c), and compost B (d).
The BP obtained with cattle manure was higher than that obtained with the highest dose of compost A (3 t·ha-1), which was 2.82 t·ha-1. The intermediate concentrations of compost A (0.75, 1.5 and 2.25 t·ha-1) showed small differences between them, but promoted a higher BP than mineral fertilization (rate 0, Figure 1c). Regarding commercial fertilizers, the adjusted quadratic model observed for compost B treatment resulted in a maximum BP of 2.53 t·ha-1, at an application rate of 1.99 t·ha-1 (Figure 1d).
Number of commercial roots
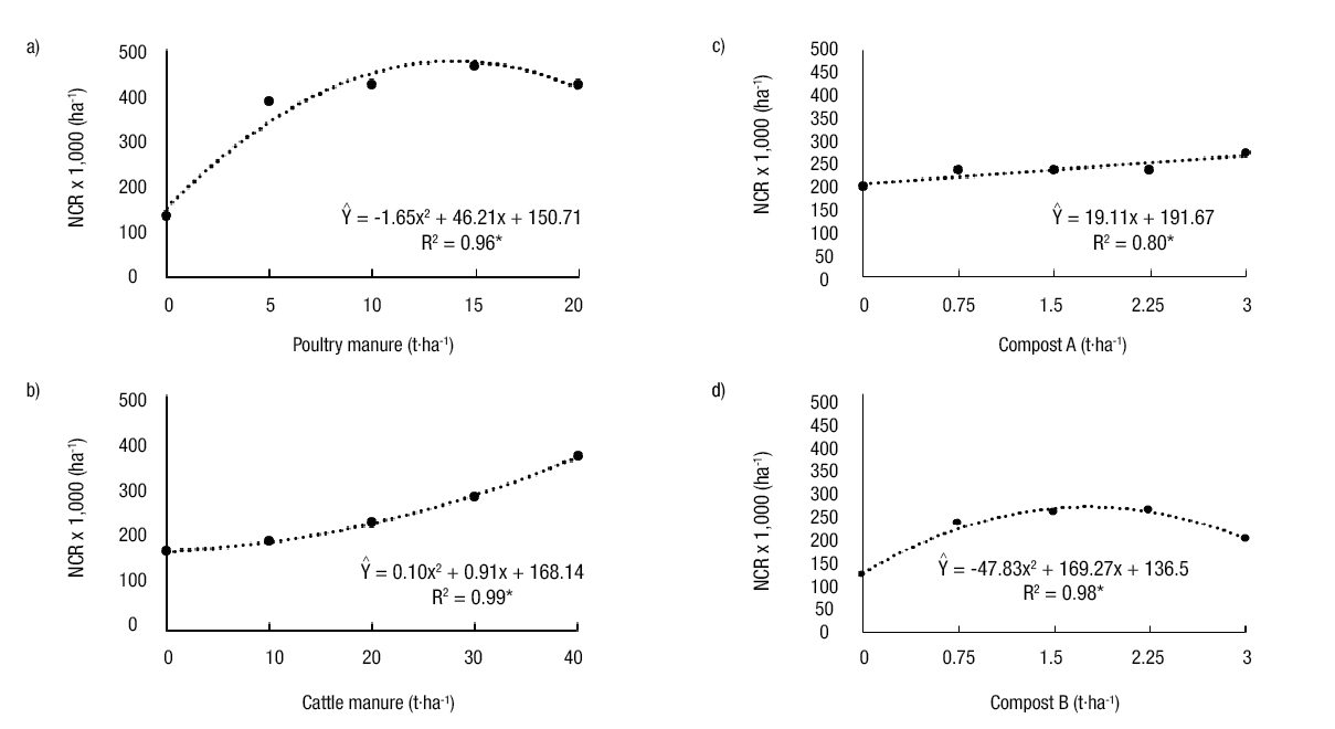
For the NCR, all products, except compost A, fit the quadratic model with increasing doses applied (Figure 2). The most significant values for the NCR were obtained with poultry manure, when applied at a rate of 13.95 t·ha-1, leading to a maximum production of 473.8 thousand commercial roots per ha. It should be noted that the use of manure, regardless of the rate applied, resulted in a doubling of sweet potato production compared with the use of mineral-based fertilizer (Figure 2a), thus confirming the positive effects of organic fertilization.

Figure 2 Number of commercial roots (NCR) of sweet potatoes (Ipomoea batatas L.) after application of poultry manure (a), cattle manure (b), compost A (c), and compost B (d).
Although increasing doses of cattle manure increased the NCR, the quadratic model was adopted because the growth rate only increased significantly after the application of 20 t·ha-1. This indicated that the highest NCR was obtained with high doses of cattle manure, with the 40 t·ha-1 dose being the most effective, producing 368.2 thousand commercial roots per ha (Figure 2b).
The most effective application rate of compost B (1.77 t·ha-1) produced 282.83 thousand commercial roots per ha (Figure 2d), resulting in a higher number of sweet potatoes (249 thousand·ha-1) than the highest application rate of compost A (Figure 2c).
Total and commercial productivity of roots
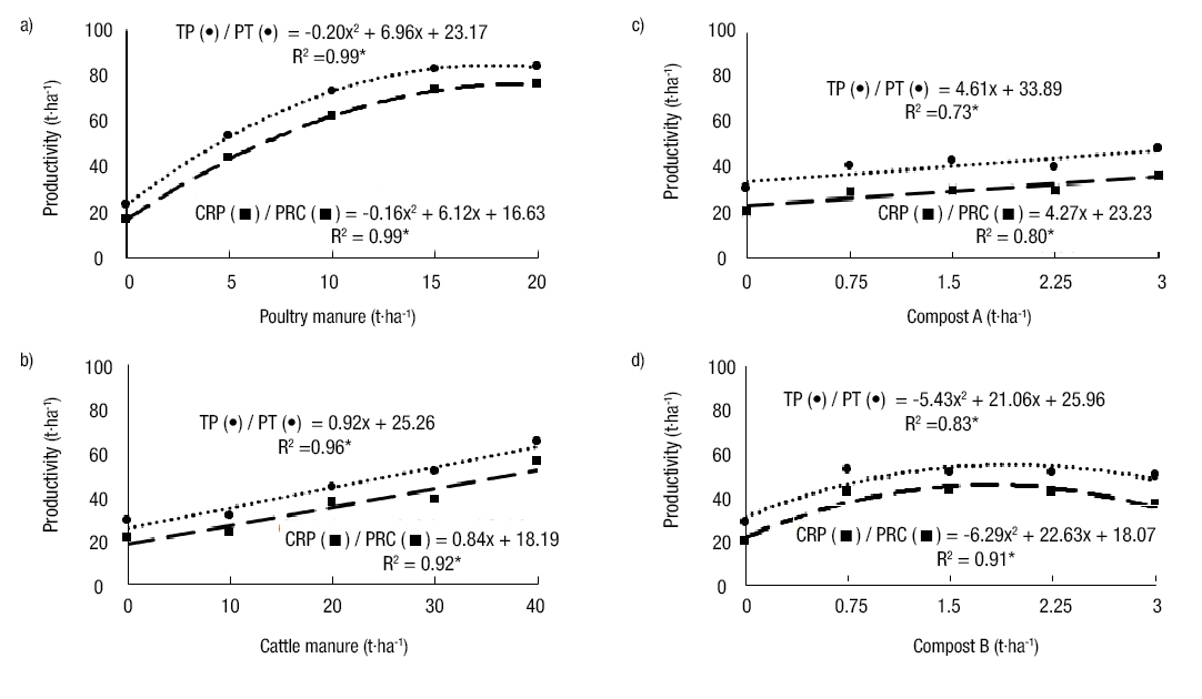
Similarities in TP and CRP as a function of the applied doses were observed in all products evaluated, with quadratic responses to poultry manure and compost B levels and linear responses to increasing doses of bovine manure and compost A (Figure 3). The values of CRP were high in relation to the TP obtained with increasing fertilizer application doses tested (Figure 3). These results show that each organic fertilizer used, regardless of the application rate, promote higher percentages of commercial yield compared to absence of organic fertilization. Therefore, organic fertilization promoted a higher yield of commercial sweet potatoes.

Figure 3 Total productivity (TP) and commercial productivity (CRP) of sweet potatoes (Ipomoea batatas L.) after application of poultry manure (a), cattle manure (b), compost A (c), and compost B (d).
A TP of 86.7 t·ha-1 of potatoes was obtained with the application of 17.8 t·ha-1 of chicken manure, while the highest CRP (76.6 t·ha-1) was obtained with the application 19.6 t·ha-1 of the same manure (Figure 3A). These results, also observed for other variables, were better than those obtained with the maximum application rate of cattle manure (40 t·ha-1), which resulted in a TP of 62.2 t·ha-1 and a CRP of 51.7 t·ha-1 (Figure 3b).
Although different responses were observed among the different commercial organic fertilizers, they were not as effective as the two types of manure. The productivity values obtained with the highest dose of compost A (3 t·ha-1) were 46.1 t·ha-1 for TP and 36.0 t·ha-1 for CRP (Figure 3c). These values were similar to those obtained with compost B, which resulted in a TP of 46.4 t·ha-1, using a dose of 1.9 t·ha-1, and a CRP of 38.4 t·ha-1, using a dose of 1.8 t·ha-1 (Figure 3d).
Commercial root mass
Among the variables analyzed, only the different doses of cattle manure were significantly different from each other regarding CRM (showing a linear relationship), resulting in a mean root biomass of 176.4 g at the 20 t·ha-1 application rate (Figure 4). The use of poultry manure, compost B, and compost A resulted in CRM means of 140.7, 134.3, and 133.61 g, respectively, regardless of application rate. These data indicate that the difference in productivity between doses of each product is directly influenced by the amount of roots produced, and not by the size of the sweet potatoes produced.
Comparative analysis of organic fertilizers (EX 5)
All yield parameters, except CRM and TSS content, had statistical differences between treatments, indicating that organic fertilization did not influence the root mass or sugar content of sweet potatoes (Table 1). The results obtained for NCR, TP, and CRP confirmed the superiority of poultry manure over other fertilizers, even though poultry manure application resulted in a smaller CRD than the application of compost C. While the other fertilizers resulted in lower yields compared to poultry manure, they had a greater effect than basic chemical fertilization (control) on the variables NCR, TP, CRP, and CRL, thus reinforcing the importance of organic fertilization for sweet potatoes in savanna soils.
Table 1 Production variables of sweet potatoes (Ipomoea batata L.) using different organic fertilizers.
| Treatments | BP1 (t·ha-1) | NCR (unit·ha-1) x 1,000 | TP (t·ha-1) | CRP (t·ha-1) | CRM (g) | CRL (cm) | CRD (cm) | TSS (°Brix) |
|---|---|---|---|---|---|---|---|---|
| Control | 1.8 cz | 133.3 c | 22.9 c | 16.5 c | 125.4 a | 7.10 b | 3.46 b | 8.5 a |
| Cattle manure | 2.7 bc | 228.3 b | 43.7 b | 37.2 b | 170.6 a | 20.43 a | 3.66 b | 8.7 a |
| Poultry manure | 4.2 a | 423.3 a | 73.2 a | 62.0 a | 146.5 a | 21.76 a | 3.76 b | 7.9 a |
| Compost A | 2.6 c | 220.0 b | 43.2 b | 30.1 b | 138.3 a | 20.80 a | 3.80 b | 8.2 a |
| Compost B | 2.5 c | 271.7 b | 43.2 b | 36.1 b | 133.1 a | 19.06 a | 3.93 b | 8.1 a |
| Compost C | 3.7 ab | 226.7 b | 43.3 b | 36.1 b | 162.4 a | 20.50 a | 4.70 a | 9.2 a |
| LSD | 0.97 | 83.7 | 12.7 | 18.8 | 110.8 | 4.9 | 1.3 | 1.9 |
1BP = branch productivity; NCR = number of commercial roots; TP = total productivity; CRP = commercial root productivity; CRM = commercial root mass; CRL = commercial root length; CRD = commercial root diameter; TSS = total soluble solids; LSD = least significant difference. zMeans with the same letter within each column do not differ statistically (Tukey, P ≤ 0.05)
Residual chemical input of organic fertilization after sweet potato cultivation
The residual nutrient content of the soil after harvesting provided support for yield inferences. For pH and Ca2+, regardless of the fertilizer applied, measured values were above 6.5 and 0.9 cmolc·dm-3, respectively, with the exception of compost C and compost A. Poultry manure, which was responsible for the highest yield increases, provided the highest nutrient accumulation after harvest, as indicated by P content and BS values. However, poultry manure grouped with the other fertilizers showed lower K values than those obtained with compost C (Table 2). The SOM values were higher when organic fertilizer was applied compared to the application of conventional fertilizers, which resulted in little change in SOM content through the course of the experiment (Table 2). SOM was the main differentiating factor between organic and conventional fertilizers.
Table 2 Values of pH, Ca2+, Mg+2, K, P, base saturation (BS), and soil organic matter (SOM) in savanna soil cultivated with sweet potatoes using different organic fertilizers.
| Treatments | pH (H2O) | Ca2+ | Mg2+ | K | P (mg·dm-3) | BS (%) | SOM (g·kg-1) |
|---|---|---|---|---|---|---|---|
| cmolc·dm-3 | |||||||
| Before cultivation | 4.48 | 0.80 | 0.40 | 0.02 | 1.80 | 28.92 | 5.06 |
| Control | 6.76 az | 0.99 a | 0.50 a | 0.01 b | 29.31 b | 65.6 b | 5.86 b |
| Cattle manure | 6.60 a | 1.03 a | 0.39 a | 0.01 b | 39.98 b | 63.6 b | 8.56 a |
| Poultry manure | 6.93 a | 1.16 a | 0.27 ab | 0.01 b | 135.23 a | 71.3 a | 7.94 a |
| Compost A | 5.53 b | 0.30 c | 0.26 ab | 0.01 b | 44.02 b | 50.6 c | 7.39 a |
| Compost B | 6.73 a | 0.91 a | 0.39 a | 0.01 b | 32.26 b | 61.0 b | 7.93 a |
| Compost C | 5.63 b | 0.80 b | 0.08 b | 0.05 a | 34.43 b | 20.0 d | 7.16 a |
| LSD | 0.96 | 0.07 | 0.24 | 0.02 | 18.21 | 8.23 | 1.70 |
Ca2+ = exchangeable calcium; Mg2+ = exchangeable magnesium; K = potassium; P = total phosphorus. LSD = least significant difference. zMeans with the same letter within each column do not differ statistically (Tukey, P ≤ 0.05).
Characterization of treatments and original variables by principal components
The analyses showed that the first two PC explained 83.2 % of the variance in the original variables (Table 3). Of these, PC1 and PC2 contributed 41.9 % and 41.3 % of the variance, respectively.
Table 3 Principal components of the variables analyzed in response to organic fertilization.
| Principal components (PC) | PC1 | PC2 |
|---|---|---|
| Contribution of the PC (%) | 41.9 | 41.3 |
| Branch productivity | 0.73 | 0.62 |
| Number of commercial roots | 0.97 | 0.12 |
| Total productivity | 0.97 | 0.23 |
| Commercial root productivity | 0.96 | 0.24 |
| Commercial root mass | 0.24 | 0.65 |
| Commercial root length | 0.65 | 0.59 |
| Commercial root diamete | -0.09 | 0.95 |
| Total soluble solids of the roots | -0.59 | 0.64 |
| Hydrogen potential of soil | 0.39 | -0.70 |
| Calcium content in soil | 0.63 | -0.76 |
| Magnesium content in soil | -0.19 | -0.94 |
| Potassium content in soil | -0.28 | 0.90 |
| Phosphorus content in soil | 0.90 | -0.06 |
| Base saturation of soil | 0.42 | -0.90 |
| Soil organic matter | 0.68 | 0.21 |
According to the method of Tobar-Tosse et al. (2015), the variables were considered relevant, with an absolute value exceeding 0.5. In this sense, the variables that presented the greatest discriminatory power in PC1 were the NCR (0.97), TP (0.97), CP (0.96), P content (0.90), BP (0.73), SOM (0.68), CRL (0.65), Ca2+ content (0.63), and TSS (-0.59). According to Tobar-Tosse et al. (2015), variables with the same sign act directly, that is, when the value of one variable increases, the value of the other also increases. By contrast, variables with opposite signs act inversely, such that when the value of one variable increases, the value of the other decreases. Thus, the variables NCR, TP, CRP, P content, BP, SOM, CRL, and Ca2+ content act directly among each other and inversely to the TSS of sweet potatoes.
In PC2, the variables with the greatest discriminatory power were CRD (0.95), K content (0.90), CRM (0.65), TSS (0.64), BP (0.62), CRL (0.59), pH (-0.70), Ca2+ content (-0.76), BS (-0.90), and Mg2+ content (0.94). It was observed that the CRD, CRM, TSS, CRL, and NCR of the sweet potatoes increased with increasing K+ content in the soil and decreasing pH, Ca2+, SB, and Mg2+ content.
In Figure 5, the observed positive correlations are broken down by treatment to the right of PC1 (poultry manure, cattle manure, and compost B), and the negative correlations by treatment are presented to the left of PC1 (compost C, compost A, and control). The variables with a positive correlation are presented in the upper part of PC2 and those with a negative correlation in the lower part of PC2. When analyzing the correlations between the variables tested, TP and CRP were found to be closely dependent on the number of sweet potatoes produced, and a weaker correlation with CRM, CRL, and BP. Both TP and CRP were also positively influenced by SOM content and P content, which were supplied by the poultry manure and cattle manure.

Figure 5 Biplot of the projections of the variables and treatments with organic fertilization. BP = branch productivity; NCR = number of commercial roots; TP = total productivity; CRP = commercial root productivity; CRM = commercial root mass; CRL = commercial root length; CRD = commercial root diameter; TSS = total soluble solids; Ca = calcium; Mg = magnesium; K = potassium; P = phosphorus; BS = base saturation; SOM = soil organic matter.
K content was positively correlated with TSS and CRD and negatively with pH, BS (V %), and Ca2+ levels. Mg2+ was not correlated with sweet potato production. The control treatment, isolated from the variables and other treatments (Figure 5), showed that the isolated application of conventional fertilizer (without organic fertilization) is strictly contraindicated for the beginning of sweet potato crop cultivation in savanna soils, since this did not contribute to an increase in the variables analyzed.
BP was evaluated because of its nutritional value for humans and animals. Leaves can be cooked and branches can be used as fodder (silage or fresh). Despite the incipient use of this material in Brazil, it has a significant crude protein content and good digestibility (Monteiro, 2007). Thus, higher yields were achieved using poultry and cattle manure in this study compared to a sweet potato variety trial performed by de Andrade et al. (2012) with five cultivars and seven clones in Diamantina (Minas Gerais State, Brazil), in soil with a history of cultivation and supplemented with 10 t·ha-1 of cattle manure, 180 kg·ha-1 of P2O5, 45 kg·ha-1 of K2O, and 30 kg·ha-1 of N.
In addition, well developed branches ensure the production of seedlings for subsequent crops and are essential for the production of photoassimilates in plants, resulting in greater increases in yield and number of roots. This was seen with the use of poultry manure in the present study (Table 1) and in previous studies in savanna conditions in other regions of the world (Adekiya, Aboyeji, Agbede, Dunsin, & Adebiyi, 2018; Egbe, Afaupe, & Idoko, 2012).
Significantly higher P content and the lowest concentrations of H+ and Al3+, accompanied by higher BS and pH values (Table 2), were responsible for the superiority of poultry manure among the fertilizers tested. This was also observed by Rós et al. (2014) in a sweet potato fertilization trial. K levels decreased with all types of fertilization, except for compost C, compared to the levels measured before fertilization. This result confirms the high nutrient extraction capacity of sweet potato plants (Thumé, Dias, da Silveira, & Rodrigues-de Assis, 2013; Rós et al., 2014). This indicates that, because of the crop’s high nutritional requirement, it must be supplied with efficient fertilization, such as by poultry manure application.
These effects of P may have been due to the increase in SOM, which was another determining factor in the productive growth of sweet potatoes. According to Altoé-Baldotto and Borges-Baldotto (2014), the increase in SOM, besides being directly connected to the cycling of nutrients (such as N, K, Ca, Mg, S, and micronutrients by humification), increases the availability of organic P compounds in the form of phosphate. Under the conditions of these experiments, this information becomes highly relevant, since in savanna soils the naturally high levels of P are present in forms not available to plants (Garcia-Benedetti et al., 2011). Therefore, at the beginning of the cultivation of sweet potatoes in savanna soils not yet farmed, the supply of SOM is a primary practice that should be carried out to ensure suitably productive yields.
The low productivity results found with the commercial products evaluated (compost A, compost B, and compost C) may have occurred due to the purpose of both, since these are soil conditioners, without a high nutritional contribution in their constitution readily available to the plants. It is likely that if these products were used together with manure, more significant effects would have been observed. This possibility requires investigation in future research.
Conclusions
When productivity data for the products evaluated in the first four experiments were compiled, the order of application recommendations for the cultivation of sweet potatoes in un-farmed soils of the Roraima savanna, Brazil were as follows: poultry manure (doses between 13 and 20 t·ha-1) > cattle manure (doses between 30 and 40 t·ha-1) > compost B (doses between 0.75 and 2.25 t·ha-1) = compost A (doses between 2.25 and 3.00 t·ha-1).
By comparing the recommended doses of each product (fifth experiment), poultry manure was found to be the most appropriate for application at the beginning of sweet potato cultivation in savanna soils.
Through an analysis of the principal components, it was found that the productive yield of sweet potato crops (total and commercial productivities) is directly connected to the variables NCR, CRM, and BP, which in turn are maximized by an increase in organic matter and satisfactory amounts of P in soil, which in this study were best supplied by poultry manure.










texto en 




