Environmental and occupational agents are causes of cancer and other diseases worldwide.1 Control of these agents and reduction of the associated disease burden is complex as sources are numerous and ubiquitous. Some exposures are widespread, particularly outdoor and indoor air pollution, while some place specific groups at unacceptable levels of risk, such as workers exposed to asbestos or silica. Consequently, control strategies are necessarily multi-sectoral and involve actions that extend from individual to national levels. And, even though some of the pollution problems are well known, they persist in the face of control measures, e.g., coal workers’ pneumoconiosis or “black lung disease”, which is currently resurgent among coal miners in the United States.2 Environmental and occupational exposures are inevitably higher for those who are poorer and less educated, live in more polluted neighborhoods, and have riskier jobs.1
This paper is based on presentations from a panel on environment, occupation and other environmental risk factors for cancer in the Americas, delivered in Panama, at the international conference Promoting Health Equity and Transnational Collaborations for the Prevention and Control of Cancer in the Americas. The paper summarizes the current status of the burden of environmental and occupational causes of disease in the Americas, beginning with a summary of exposures across the Americas and the associated burden of disease and premature mortality.
Three case studies follow that illustrate the impact of specific environmental and occupational agents and the challenges of control: 1) asbestos exposure of workers and the general population in Brazil; and 2) the consequences of the Deepwater Horizon oil spill in the Gulf of Mexico; and 3) approaches to control and surveillance taken in Panama are described and illustrate the need for sustained government action and intervention. We end with “lessons learned” from the case studies in the context of the risks posed by occupational and environmental agents in the Americas and the implications for cancer prevention and control in the Americas.
Materials and methods
An initial presentation framed the origins of health disparities and their grounding in the “root” or “upstream” causes that drive exposures to disease-causing environmental and occupation exposures (figure 1).3 Four models for the origins of health disparities (termed by Diez Roux as: a-genetic model, b-fundamental cause model, c-pathways model, and d-interaction model), provide frameworks for considering how environmental and occupational exposures generally may contribute to health disparities. The fundamental cause and pathways models are most relevant in describing how socioeconomic factors drive environmental exposures. There is also an unfortunate feedback loop as ill health driven by environmental factors may sustain a lower socioeconomic position and the attendant circumstances that increase pollution exposure.

A single-headed arrow from X to Y indicates that X is a cause of Y (e.g., social, environment, and cultural factors are causally related to health [a]), or that X causes increased exposure to Y (e.g., genetic factors cause exposures to certain environments [d]). A double-headed arrow indicates that both factors are associated (for example, genes and environments can become associated if persons of certain ancestry are more likely to live in certain areas as a result of institutional discrimination [a, d]). A line intersecting a one-headed arrow (in the form of a T) indicates that the factor modifies the relation between X and Y.3
Source: Republished with permission of ANNUAL REVIEWS, from Diez-Roux AV. Conceptual approaches to the study of health disparities. Annu Rev Public Health. 2012;33:41-58. https://doi.org/10.1146/annurevpublhealth-031811-124534;3 permission conveyed through Copyright Clearance Center, Inc.
Figure I Conceptual approaches to elements ofhealth disparities
Overview: environmental and occupational exposures in the Americas and the resulting burden of disease
One well known and powerful example is cigarette smoking and the enormous burden of disease it causes. While cigarette smoking is the direct cause of the long list of disease causally linked to smoking, further up the causal chain is tobacco smoking. Absent that industry, there would be no smoking and, in this counterfactual scenario, the disease burden caused by smoking would be absent. The way that cigarettes are marketed worldwide, now targeted at people with less education and economic resources, contributes greatly to health inequalities. And, the costs of purchasing cigarettes contribute to economic disparities at the household level.
Air pollution, both ambient (outdoors) and indoors from burning of biomass fuels, is a long-standing and steadily worsening problem in many low- and middle-income countries with rapid industrialization and growing vehicle fleets. Unfortunately, in many countries air quality monitoring has been limited and control strategies have not been implemented aggressively. In China, the government began to take strong measures only after air pollution levels increased dramatically and the threat to public health was inescapably evident.
Looking globally, estimated levels of air pollution exemplify an exposure differentially affecting the population. For household air pollution, the several billion people exposed to smoke from biomass burning are those with the lowest incomes who cannot afford less polluting, but more expensive fuels, such as liquid natural gas. Looking globally, estimated levels of outdoor air pollution tend to be far higher in low- and middle-income countries, particularly in Asia and Africa.4 Across the Americas, socioeconomic disparities are closely linked to unequal distribution of environmental exposures.5,* Consider air pollution as an example, for such environmental injustice: more polluting industries are mostly placed in poorer neighborhoods, where vehicle emissions and poorer quality housing are also common. The levels of air pollution measured at the central-site monitors used for regulatory purposes generally do not reflect the exposure concentrations experienced by those living in poorer peripheral urban neighborhoods.
The Global Burden of Disease estimates for environmental and occupational agents were examined to set the context for this session (figures 2,3,4). These estimates are developed by the Institute for Health Metrics and Evaluation6 and employ well characterized methodology for calculating premature mortality and disability-adjusted life-year lost (DALYs), which summarize years lost due to premature death and years lived with disability. The burden estimate is based on exposures as they occur in the index time period compared to various comparison or counterfactual exposure scenarios involving no exposures or the exposure levels that could be potentially achieved. For tobacco smoking, for example, the comparision scenario is the world without tobacco smoking.

Source: 2015 Global Burden of Disease Study, 20174
Figure 2 Environmental contributors to disease burden, by gender, all ages in the WHO region of the Americas, 2013
Figure 2 provides estimates of the contributions of various environmental causes of disease to the burden of disease. For both men and women, the leading contributors to this burden are ischemic heart disease and chronic obstructive pulmonary disease (COPD). After smoking, ambient and household air pollution are the dominant causes, reflecting the high prevalence of exposure to both and the persistence of disease risk at the lowest end of the range of exposures, as thresholds have not been identified below which there is no risk. For both men and women, lung cancer is third in terms of contribution to DALYs. Of course, for lung cancer, smoking is dominant but there are additional contributions of air pollution and residential radon. For numbers of deaths, the patterns are similar (figure 3).

Source: 2015 Global Burden of Disease Study, 20174
Figure 3 Environmental causes of premature death, by gender, all ages in the WHO region of the Americas, 2013
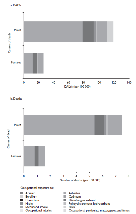
For lung cancer, occupational agents are relevant risk factors for both men and women (figure 4). Asbestos and secondhand smoke persist as contributors to lung cancer burden with lesser contributions from various metals.

Source: 2015 Global Burden of Disease Study, 20174
Figure 4 Occ upational contributors to disease burden from lung cancer, all ages in the WHO region of the Americas, 2013
This survey of contributors to disease burden highlights the broad role of air pollution in shaping the environmental burden of disease, particularly for lung cancer. Also, ambient air pollution and airborne particulate matter were classified as Group 1 carcinogens by the International Agency for Research on Cancer (IARC) in 2013.7
Results
Case study 1: the effects of asbestos in Brazil
Asbestos refers to a group of fibrous silicates that are known to cause cancer (mesothelioma and lung cancer) as well as asbestosis (a fibrotic lung disease) and plaques of the pleura (scarring of the pleura, the tissue layer surrounding the lung). Malignant mesothelioma poses risk to workers, particularly communities where asbestos attributable risk is high. Practically every case can be presumed to be causally linked to this exposure. Over the last decades of the 20th century, the epidemic of asbestos-caused disease led to worker protections, and reduced consumption and bans in many countries.
The World Health Organization (WHO) recommends the banning of asbestos, given that safe use has been proven unfeasible. Over 60 countries already forbade asbestos, mostly high-income countries, but export and manufacture continue, particularly for production of fiber-cement asbestos widely used in construction, particularly water containers and roofing tiles. Five countries, Brazil included, are the principal sources worldwide. In November 2017, Brazil declared a ban on asbestos after a long battle involving academics, unions, and health professionals who had judiciary support. This ban represented a substantial achievement considering that this country is among the world’s top-five producers, and a leading exporter and consumer. The production of asbestos in Brazil started in 1930, peaked from 1985 to 1991, and only leveled off during the last two decades.8
However, Brazil has not likely yet experienced the full burden of asbestos-caused disease, particularly given the long latency between exposure to asbestos and the development of mesothelioma, and a substantial increase in the number of asbestos-caused deaths is still to come. In fact, the recent national ban raised many expectations about how comprehensive and efficient the following abatement and waste cleaning will be implemented, given the poor visibility of workers’ health compared to other public health priorities of the country.
Few studies have addressed mesothelioma mortality in Brazil and estimates for asbestos-related diseases are lower than reported from high-income countries. In 1980, for all ages, the overall malignant mesothelioma mortality was 0.56/1 000 000, increasing to 1.01/1 000 000 in 2003.9 Considering adults 30 years of age or older, Algranti and colleagues found a rising trend of mesothelioma mortality, projected to peak towards 2021-2026. The mesothelioma cases are presumably work-related but relevant statistics have not been released. Indeed, mesothelioma may occur in residents of communities where asbestos is found naturally or produced. However, exposure to high concentrations and over long periods occurs in workplaces, leading to the high rates of asbestos-related diseases, particularly mesothelioma, which has a very high case-fatality rate. The most common asbestos type mined and used in Brazil is chrysotile, claimed by manufactures to not be as risky as other types. However, IARC classified all types of asbestos (i.e., chrysotile, crocidolite, and amosite) as carcinogenic Group 1.10
After the 2012 Supreme Court hearings about the asbestos ban in Brazil, a network for collaborative research was established. In 2015 a national interdisciplinary investigation started, with the objective of generating epidemiological data on occupational asbestos exposure using a large database available for registered workers, the Annual Report of Social Indicators (RAIS). This data system now covers most of the formal market and around half of the Brazilian labor force, approximately 50 million active workers, for whom yearly data are collected on occupation, and sick leaves or illness-related end of job contracts.11This research project is coordinated by the Federal University of Bahia, Institute of Collective Health and the Fundacentro, a research branch of the Labor Ministry.
The RAIS database, from 1992 to the present, has been made available by the Labor Ministry and it has proven to be useful to for establishing a retrospective cohort study of asbestos-related industries. By using a job-exposure matrix, we will estimate the number and prevalence of asbestos-exposed workers each year. This exposure estimation requires the matching of several Brazilian classification of occupations schemes used over time with available asbestos fiber concentration measures. This matching will provide a picture of asbestos exposures among workers and serve as a tool for tracking changes at the population level. Anonymous databases are publicly available for mortality based on death certificates, but limited to linkage with the workers records database (RAIS). Currently, we are exploring strategies for case finding for asbestos-related diseases in multiple anonymous databases based on linkage developed with common sociodemographic variables. Other undergoing studies are directed at assessing the performance of the linkages of the anonymous databases, the use of public hospital records for mesothelioma and cancer of pleura to find cases missing on death certificates, and for other asbestos-related diseases, such as lung cancer. These investigative activities require complex linkages and analysis along with management of large data bases, challenges faced by the Asbestos and Health Interdisciplinary Project. Collaboration with the National Health System, Sistema Único de Saúde, to contribute for surveillance of asbestos exposed workers and appropriate healthcare and research translation into policies are also under development.
Given the continued production of asbestos by Brazil, there are multiple geographic areas affected (N= 24) and people exposed (N= 156 000) in 2012 per government estimates. For the asbestos-caused diseases, there is a substantial latency, i.e., period between the start of exposure and mesothelioma occurrence, of approximately three or four decades. Consequently, unlike countries such as the United States where asbestos use began at the start of the 20th century and risks have peaked and should soon fall, the full manifestations of asbestos use in Brazil have likely not yet occurred. Thus, mesothelioma mortality has tripled comparing 2000-2012 (2.1 per million) to 1980-2000 (0.77 per million), but remains substantially below that for the European Union, 1994-2010 (7.8 per million).
Consequently, appropriate and ongoing monitoring of the burden of disease caused by asbestos is warranted. Given the specificity of the link of asbestos with mesothelioma, monitoring mortality from mesothelioma, which is almost uniformally fatal for all of its victims, is useful for tracking the impact of asbestos and for evaluating the consequences of regulatory strategies.
Horizon oil spill
The Deepwater Horizon oil spill began on April 20, 2010 when the oil drilling rig exploded, leading to spillage of 210 million gallons of crude oil into the Gulf of Mexico. The consequences were far-reaching and included ecosystem damage to the ocean, beaches, and marshes; contamination of marine fisheries with oil; economic disruption from the adverse effects on industries based on the Gulf and the coast; losses of jobs and other income; and pervasive adverse psychosocial stressors. With clean-up activities, there were also concerns about worker exposures to oil and the consequences of dispersants used in large quantities to manage the spilled oil. The dispersants break the oil up into small particles so that bacteria can degrade the oil.
Unfortunately, in this and similar disasters, the populations most heavily affected are typically in communities that are poor and that may not have the resources and social assets in place to be sufficiently resilient in handling multiple stressors, all quickly convergent following the disaster. In the Deepwater Horizon oil spill, the impact extended widely along the Gulf Coast, reaching from Florida to Texas and affecting multiple impoverished and minority communities. The Deepwater Horizon oil spill was only one of the recent disasters to strike the Gulf region; others include past oil spills and catastrophic hurricanes, e.g., Katrina (2005) and Ike (2008).
In the context of the Deepwater Horizon oil spill, needs for evidence ranged from the molecular level, e.g., biomarkers of exposure and molecular toxicology to characterize risk of the oil and the dispersants to an understanding of community-level factors and policy interventions. Following an oil spill, there is a critical need for exposure assessment to address exposures that can vary quickly over time and that cannot be readily reconstructed. The agents of concern included crude oil and burning oil; polycyclic aromatic hydrocarbons (PAHs); benzene, toluene, ethylbenzene and xylene (BTEX); various heavy metals; and carbon monoxide.
Epidemiologic approaches were considered and implemented to assess ongoing complaints and potential long-term consequences including risk for chronic diseases. Diverse occupational and population groups were at risk from the suite of exposures that followed the disaster. Exposure assessment was particularly problematic in the aftermath of the Deepwater Horizon oil spill, as clean-up activities proceeded rapidly of necessity. There were additional obstacles to observational studies: obtaining cooperation and requesting biological specimens; engaging communities through participatory processes; and obtaining trust, particularly from special populations. Identifying and sustaining funding is a further constraint, particularly once trust has been gained and a study implemented. Long-term epidemiological studies of health outcomes, particularly in the general population, have limited potential to be informative on direct exposures, e.g., chemical agents, but provide insights into the consequences of psychosocial and economic stressors. These complexities of investigation can lead to a mismatch between what research can do and what communities expect. The Women and Their Children’s Health Study (WaTCH) is a study of 2 850 women and 650 children in Southeastern Louisiana.12 The study was specifically designed to address issues related to mothers and their children; the initial interview data indicated substantial stress among the mothers.
The Deepwater Horizon oil spill illustrates the complexities of the exposures following a disaster, which can range from direct toxicity to the indirect consequences of loss of income and disruption of daily life. The Gulf of Mexico is particularly problematic in terms of ascertaining cause and effect from a particular disaster since hurricanes occur almost annually and the Gulf is replete with offshore drilling rigs potentially subject to disasters. Less affluent communities and racial/ethnic minority groups often sustain higher levels of exposures. Informative research in the immediate context of a disaster may be problematic, particularly given the appropriate expectations of participants and their communities-that their concerns will be addressed.
Case study 3: occupational risks and surveillance in Panama
Panama has the objective of approaching health inequities and in doing so, it acknowledges the need for safe working conditions, reflecting liberty, equality, respect, security and justice, while also incorporating productivity. For the workplace, its follows the approach advocated by the Pan American Health Organization with monitoring of worker exposures and health with training and feedback. In its general framework, the Ministry of Health acknowledges the critical need to have a comprehensive set of legislative actions in place to achieve that goal. The approach is data-driven, based in monitoring of the workplace environment for exposures and of the health of workers and acknowledges the importance of providing education, training, and education. The critical role of many environmental and occupational carcinogens is acknowledged as is needed for interventions.
A number of regulatory measures support surveillance and inventories of chemicals and are explored in this case study. The Constitution of Panama touches on the need for watching over workplaces and appropriately having national policies related to medicine and industrial hygiene supporting worker health. Several regulations provide legal authority related to workplace surveillance.
For pesticides, for example, there is an inventory of wastes, certification for applicators, procedures around application of pesticides, and laboratory and clinical tracking for exposures and their consequences for workers. The underlying framework recognizes that there are many points in pesticide use at which worker exposure could occur. Thus, there is also attention to preventive measures, including training of workers in pesticide application, use of personal protection, and monitoring of blood and clinical indicators. The need to deal with emerging problems is also acknowledged with specific reference to nanomaterials and endocrine disruptors.
Overall, the Panama case study exemplifies the need for comprehensive strategies that are based in real-world monitoring of exposures and adverse health consequences. Panama has been able to achieve needed multi-sectoral coordination and has established a center for human and environmental toxicology. The case study further shows how comprehensive strategies can begin to address the burden of environmentally-caused health disparities contributing to cancer and other diseases.
Conclusions
Summary and lessons learned
The four presentations in this session highlighted the persistent burden of morbidity and premature mortality caused by environmental and occupational agents, a problem that reaches globally and affects the Americas with a potential to worsen in some countries. After tobacco smoking, outdoor and household air pollution are the greatest contributors to burden, reflecting the ubiquitous nature of the exposures and the occurrence of adverse effects down to the lower range of levels measured in the cities of the Americas. Many well characterized hazards continue to cause disease, reflecting inadequate surveillance, regulations, and enforcement. For example, the case study in Brazil documents the occurrence of mesothelioma from asbestos exposure, a cause of a highly fatal cancer that should be eliminated.
The presentations also highlighted the persistence of controllable agents that should be eliminated but use continues for economic gain of industrial stakeholders. The case study of asbestos in Brazil is exemplary. Coming with the persistence of harmful exposures is the need for environmental monitoring and surveillance for exposure and adverse outcomes. Panama has created a surveillance system as a tool for guiding exposure reduction. Unfortunately, environmental disasters inevitably continue and are likely to differentially affect minority and disadvantaged communities. The Deepwater Horizon oil spill had both acute and long-term impact on workers involved in the clean-up and on communities along the Gulf. The challenges of observational research in the setting of a disaster complicate the conduct of studies that will inform populations and policy.
Strategies to address the burden of avoidable disease caused by environmental and occupational agents needs to be two-pronged, addressing the ubiquitous exposures, like air pollution, and potential high-level exposures, like asbestos. Both profiles of exposure contribute to disease burden. Exposures affecting almost everyone, like outdoor air pollution, contribute substantially to disease burden, although few individual are placed at extremely high risk. High exposures, particularly to occupational agents, may convey high and unacceptable risks to individuals. Control strategies are needed for both of these patterns of risk from environmental and occupational agents.
A range of control strategies is needed. For example, mitigating outdoor air pollution requires an array of regulatory strategies that address motor vehicles and industrial sources, along with waste management. Reducing exposure to household air pollution involves consideration of alternative, low-emission heating and cooking devices and substitution of less-polluting fuels. Occupational hazards also require enforced regulations to assure that exposures do not convey unacceptable risks. Disasters may bring a variety of stressors as illustrated by the Deepwater Horizon disaster. There is a potential for exposures to environmental toxins to occur across the stream of events that follow a disaster: release of chemical agents, worker exposures during clean-up, and contamination of ecosystems and food sources.
What are the implications for the Americas in terms of cancer prevention and control? The four presentations highlight the need for strategies that address the persistent, ubiquitous causes of cancer (and other non-communicable diseases): tobacco smoking and ambient and household air pollution. Both drive disparities in health status and in cancer occurrence. Smoking prevalence varies widely across the Americas with Panama and some other countries having overall prevalence rates of current daily smoking well below 10 percent while smoking remains much more common in Argentina and Chile.1 Patterns of air pollution exposure also vary widely with household air pollution remaining as a problem among poorer indigenous people in particular; ambient air pollution has dropped in some locales, e.g., Mexico City, but remains a prominent exposure for millions in the mega-cities of the Americas. Unfortunately, there are still fully avoidable exposures to carcinogens, as well documented in the case of asbestos in Brazil. Thus, there are abundant targets for intervention to reduce cancer in the Americas.










nueva página del texto (beta)


