Servicios Personalizados
Revista
Articulo
Indicadores
-
Citado por SciELO -
Accesos
Links relacionados
-
Similares en
SciELO
Compartir
Salud Pública de México
versión impresa ISSN 0036-3634
Salud pública Méx vol.56 no.4 Cuernavaca jul./ago. 2014
Artículo original
Effect of socioeconomic status on the association between air pollution and mortality in Bogota, Colombia
Efecto del nivel socioeconómico sobre la asociación entre contaminantes atmosféricos y mortalidad en Bogotá, Colombia
Luis Camilo Blanco-Becerra, M en C,(1) Víctor Miranda-Soberanis, M en C,(2) Albino Barraza-Villarreal, D en C,(2) Washington Junger, D en C,(3) Magali Hurtado-Díaz, M en C,(2) Isabelle Romieu, ScD.(2)
(1) Departamento de Salud Pública, Universidad Industrial de Santander (UIS). Bucaramanga, Santander, Colombia.
(2) Head, Nutrition and Metabolism section, International Agency for Research on Cancer. France.
(3) Rio de Janeiro State University. Brasil.
Abstract
Objective. To evaluate the modification effect of socioeconomic status (SES) on the association between acute exposure to particulate matter less than 10 microns in aerodynamic diameter (PM10) and mortality in Bogota, Colombia.
Materials and methods. A time-series ecological study was conducted (1998-2006). The localities of the cities were stratified using principal components analysis, creating three levels of aggregation that allowed for the evaluation of the impact of SES on the relationship between mortality and air pollution.
Results. For all ages, the change in the mortality risk for all causes was 0.76% (95%CI 0.27-1.26) for SES I (low), 0.58% (95%CI 0.16-1.00) for SES II (mid) and -0.29% (95%CI -1.16-0.57) for SES III (high) per 10µg/m3 increment in the daily average of PM10 on day of death.
Conclusions. The results suggest that SES significantly modifies the effect of environmental exposure to PM10 on mortality from all causes and respiratory causes.
Key words: mortality; socioeconomic status; particulate matter; Bogota; Colombia.
Resumen
Objetivo. Evaluar el efecto modificador del nivel socioeconómico (NSE) sobre la asociación entre la exposición aguda a partículas menores de 10 micras de diámetro aerodinámico (PM10) y la mortalidad en Bogotá, Colombia.
Material y métodos. Se realizó un estudio ecológico de series de tiempo (1998-2006). Mediante análisis de componentes principales se estableció una estratificación de las localidades de la ciudad, de lo que se generaron tres niveles de agregación que permitieron evaluar el impacto de la variable NSE en la relación mortalidad-contaminación atmosférica.
Resultados. En todas las edades, para la mortalidad por todas las causas, el porcentaje de cambio en el riesgo fue 0.76% (IC95% 0.27-1.26) en el NSE I (bajo), 0.58% (IC95% 0.16-1.00) en el NSE II (medio) y -0.29% (IC95% -1.16-0.57) en el NSE III (alto), por incremento de 10µg/m3 en el promedio diario de PM10 en el día del deceso.
Conclusiones. Los resultados sugieren que el NSE modifica de manera significativa el efecto de la exposición ambiental a PM10 sobre la mortalidad por todas las causas y causas respiratorias.
Palabras clave: mortalidad; nivel socioeconómico; partículas; Bogotá; Colombia.
Urban growth in developing countries has been characterized by informality, illegality and the lack of settlement planning. Urban development has also been associated with an increase in poverty as well as low socioeconomic status (SES) areas.1 Income inequality is higher in the developing world than developed countries, as seen in Latin America and the Caribbean (LAC).1 One way to measure the inequality of incomes between countries is the Gini coefficient,2 which takes values between 0 and 1, 0 being perfect equality and 1 perfect inequality.
LAC has one of the highest rates of urbanization, where 75% of the population lives in urban areas. Many cities in this region have poor air quality as a result of unplanned urbanization, augmented vehicular fleets and obsolete industrial technologies.3 Epidemiological studies conducted in developed and developing countries worldwide have reported an increase in mortality from all causes, and particularly from cardiopulmonary causes, as a result of exposure to air pollution, and especially from particulate matter smaller than 10 microns (PM10).47 Although SES can modify the effect of air pollution on mortality,8 available studies do not allow for either confirming or completely discarding the influence of SES on this association.914 Groups with low SES tend to live in areas where they are exposed to high concentrations of air pollutants, compared to those groups with high SES.10,14,15
Air pollution affects a large number of inhabitants3 in Bogota, the capital district (DC, abbreviation in Spanish) of Colombia.16 PM10 concentration maps show how the distribution of this contaminant more greatly affects poor social groups. The greatest concentrations of PM10 are located in the south and southwest portions of the DC, areas where a large proportion of people of low SES reside.17
Bogota has a Gini coefficient between 0.60 and 0.69, which is higher than that estimated for similar cities in the region (0.52),1 thus showing greater inequality. This research aims to evaluate the modification effect of socioeconomic status (SES) on the association between acute exposure to PM10 and daily mortality from all causes, and specifically from cardiopulmonary diseases, in the general population and among those over 65 years old in Bogota, Colombia.
Materials and methods
Study design: An ecological study was conducted using a time-series analysis from April 1998 to December 2006. This study was based on the methodology applied in the "Multi-City Study of Air Pollution and Health Effects in Latin America."18 The study protocol was reviewed and approved by the ethic committee of the National Institute of Public Health (INSP, Spanish acronym). Bogota is divided into 20 administrative units or localities. For the purpose of the SES analysis, the localities were stratified based on three levels of aggregation, which enabled evaluating the effect on mortality and air pollution (figure 1). The Sumapaz locality was omitted from the analysis because it is a rural area that represents only 1% of the total city population (n = 5 792). Therefore a total of 19 municipalities were included in the analysis.

Mortality data: Information regarding the total number of daily deaths registered in Bogota DC was obtained from death certificates. The basic cause of death provided by the Bogota District Secretary of Health (DSH) was used, and only information about the deaths of those who were residents at the time of death in any of the 19 localities in DC was included in the study. The outcomes analyzed were all causes of death (ICD: A00-T98), respiratory (ICD: J00-J98) and cardiovascular causes (ICD: I00-I99), according to the 10th International Classification of Diseases (ICD).
Socioeconomic strata to evaluate SES were generated by grouping localities with similar socioeconomic characteristics; daily mortality for each level was assigned according to the daily death counts in each stratum.
Meteorological, air pollution and SES data: Hourly data for air pollutants were obtained from the Bogota Air Quality Monitoring Network (BAQMN). Temperature and relative humidity (RH) registries were obtained from the BAQMN and the Institute of Hydrology, Meteorology and Environmental Studies (IHMES) stations. Information for constructing the SES stratification of the city was obtained from the 2005 census and the 2007 Bogota Quality of Life Survey conducted by the National Administrative Department of Statistics.
Exposure assessment: Daily (24-hr) averages of PM10 were calculated for all monitoring stations, considering a sufficiency criterion of 75% of data. The same procedure was carried out for temperature and RH. In order to assign exposure for each SES, daily average PM10 was calculated using the daily registries of the stations located within the localities of each SES. When stations were not available within the locality, the values of the closest air quality monitoring station were assigned, considering a distance between the monitoring station and locality of less than 5km.
Statistical analysis
SES: The SES of the deceased were defined by applying multivariate techniques for each locality based on four-dimensional indicators related to SES: income (Gini coefficient,2 percentage of households with high economic level), housing conditions (percentage of households with inadequate housing services), living conditions (percentage of households in indigence, poverty and critical overcrowding)11 and educational level (percentage of households with school non-attendance). These indicators or similar ones have been used in other studies.2,8,12,13,15,19,20 Prior to analysis, all indicators were standardized to avoid the influence of measurement units and to provide the same weight in the analysis. In order to obtain the SES stratification, first, biplots were generated to graphically observe the relation between localities and indicators.
Subsequently, a cluster analysis was performed to build hierarchies, a K-means algorithm was applied for data partitioning and groups were randomly selected. Although these analyses indicated three to four SES levels, there was greater uniformity and consistency when localities were grouped into just three levels, therefore three was the final number of socioeconomic levels used in the study (figure 1). To assign high (SES III), middle (SES II) and low (SES I) levels, a factor analysis using principal components was performed, in which the first component explained 84% of the total variability. This analysis was used in other studies.10,13 The above assignation was based on sorting scores by locality. Finally, to validate the results, a discriminate analysis was conducted on all three predefined locality groups.
The levels generated are as follows:
• SES I (low): Bosa, Ciudad Bolívar, Rafael Uribe, San Cristóbal, Santa Fe, Tunjuelito y Usme.
• SES II (mid): Antonio Nariño, Barrios Unidos, Candelaria, Engativá, Fontibón, Kennedy, Mártires, Puente Aranda y Suba.
• SES III (high): Chapinero, Teusaquillo y Usaquén.
Time series analysis: The Generalized Additive Model (GAM) with Poisson regression21 was used to model the relationship between the daily number of deaths and PM10 levels. Short-term fluctuations were controlled using variables that indicated days of the week, long weekends and holidays. With respect to the adjustment of meteorological factors, temperature and RH variables were taken into account, including functions, considering the effect on daily average with a 1-day lag, and with 4 and 2 df per year, respectively.
The baseline was as follows:

where Yt is the number of deaths in a day t, DFnational and DFreligious are holidays categorized as national and religious, DS is the days of the week, FS is long weekends, ns is natural smooth functions of temperature (Temp), RH (Hum) and time (time), and gi is the df for each function.
An independent model was generated for each cause of death studied, according to the groups all ages and over 65 years old. To calculate the percentage change in risk of mortality attributed to each increase of 10µg/m3 in PM10 average levels, single lag models (SLM), moving average models (MA) and distributed lag models (DLM) were adjusted, the SLM having a simple lag factor from 0 to 3 days, the MA having an average of up to 3 days lag and the DLM an evaluation of cumulative periods of 3 and 5 days prior to the event.
For more detailed information about the topics covered in the materials and methods section, see the study by Blanco et al.22
Results
During the period of time studied, 76 404 deaths were registered for SES I (low), 106 704 for SES II (middle) and 24 632 for SES III (high) for all causes, with a daily average of 24 (standard deviation SD = ± 5.38), 33 (SD = ± 6.42) and 8 (SD = ± 2.78) deaths, respectively. A total of 53% (n= 109 775) of the deceased were people over 65 years old, of which 54% (n= 59 364) was observed to be in SES II. The average mortality for respiratory and cardiovascular diseases was higher for SES II (table I).
The daily average PM10 was 60.12µg/m3 (SD= ± 18.78) for SESI, 71.05µg/m3 (SD= ± 19.44) for SES II and 36.95µg/m3 (SD= ± 17.10) for SES III, with daily maximum values for each SES greater than or equal to 123µg/m3, which exceeds the World Health Organization (WHO)23 daily guideline. The mean difference between SES for PM10 concentration and the number of deaths was statistically significant (table I).
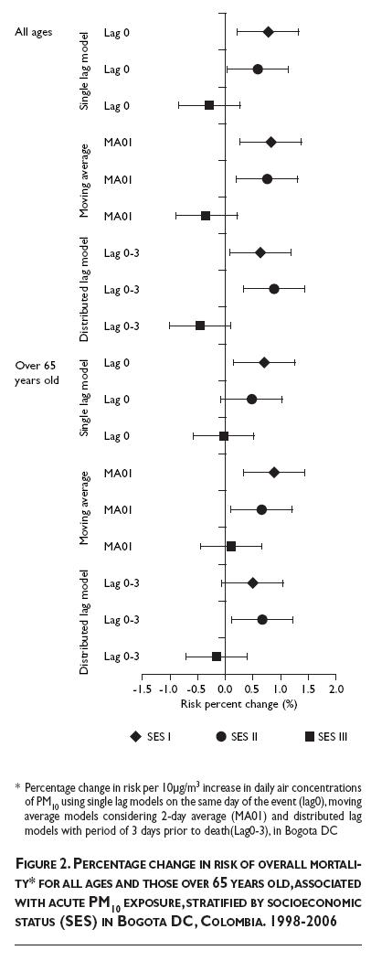
A statistically significant association was observed for acute mortality from all causes for SES I and SES II. The percentage change in risk of mortality from all causes and for all ages was 0.76% (95%CI 0.27-1.26) for SES I, 0.58% (95%CI 0.16-1.00) for SES II and -0.29% (95%CI -1.16-0.57) for SES III, per 10µg/m3 increase in average PM10 levels on the day of the event (lag 0), showing a larger effect for SES I (low). The MA, considering a two-day average (MA01), showed a larger effect for SES I compared with the remaining SES. The estimated mortality due to all causes for those over 65 years old was similar to that observed for all ages (figure 2).

Using the DLM for a three-day period prior to death (DLM0-3) and a 10µg/m3 increase in PM10 concentration (24-hr average), the risk of mortality from all causes and for all ages increased by 0.62% (95%CI 0.25-1.00) for SES I, 0.87% (95%CI 0.55-1.20) for SES II and -0.47% (95%CI -1.25-0.31) for SES III; the first two SES groups were statistically significant. Those over 65 years old showed similar differences among SES strata (figure 2).
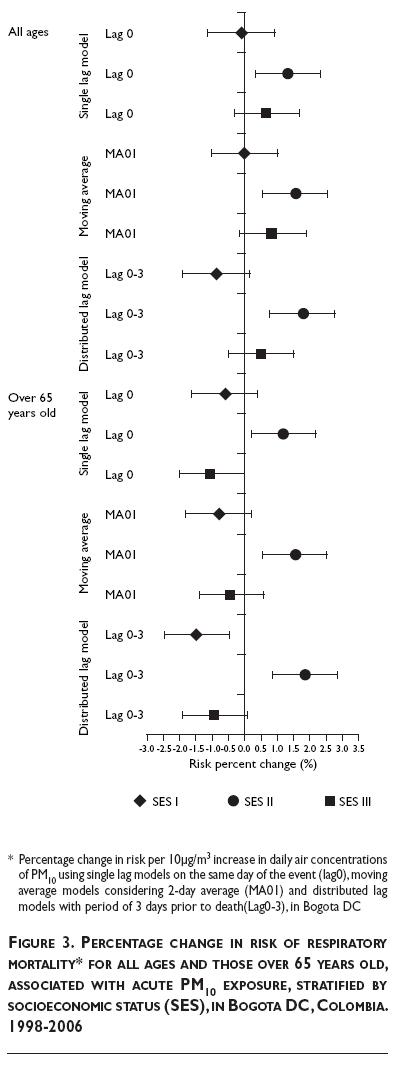
As for respiratory mortality for all ages, a significant change in risk of 1.30% (95%CI 0.35-2.26) at lag 0 and 1.52% (95%CI 0.45-2.60) at MA01 was observed for SES II. The risk was always higher for SES II than for the remaining SES. A similar behavior of mortality was observed for the group of people over 65 years old. Using the DLM0-3, a statistically significant effect was found only for SES II for all ages and for those over 65 years old, compared with the other levels (figure 3).

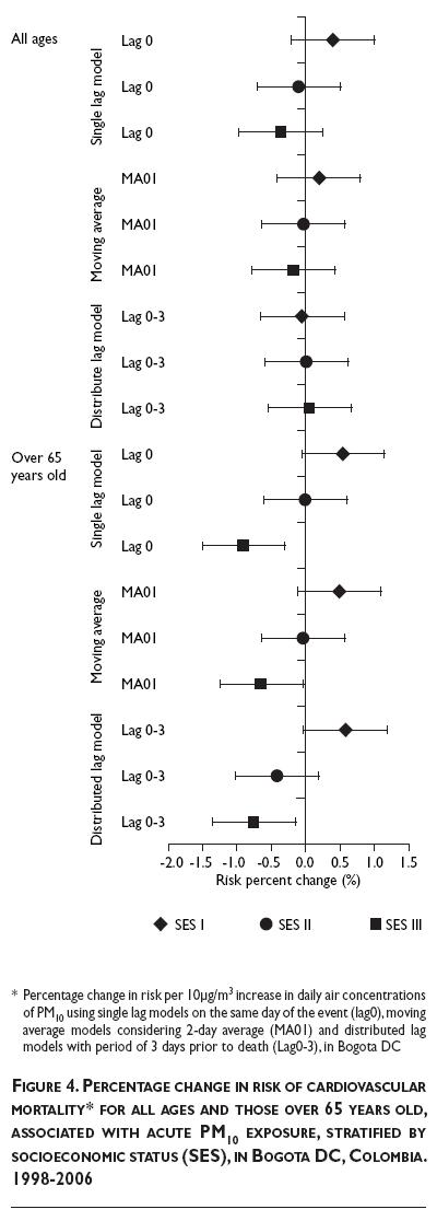
For all age groups and people over 65 years old, no significant association was found between cardiovascular causes and PM10 exposure in terms of risk of mortality, although a larger effect was generally observed for SES I (figure 4).

Discussion
Our study suggests that SES significantly modifies the effect of exposure to daily PM10 concentrations on daily mortality from all causes and respiratory causes. To our knowledge, this study is the first carried out in Bogota to evaluate this effect. The percentage change in the estimated risk of daily mortality for all causes and all ages was 0.76% at lag 0 and 0.83% at MA01 for SES I (low), decreasing to a value of -0.29% and -0.58% for SES III (high), respectively. When change in risk was estimated using DLM0-3, there was an increased risk for SES II (mid), with a value of 0.87%, compared to 0.63% for SES I and -0.47% for SES III. Our results are consistent with other authors. Forastiere et al.11 found an increase of 1.4% in overall mortality for low SES for those over 35 years old, compared with 0.1% for the high SES, per 10µg/m3 increase in PM10 concentrations at MA01. Wong et al.19 constructed a social deprivation index (SDI), finding a significant excess in non-accidental risk of mortality for all ages 0.70% per each 10µg/m3 increase in PM10 concentration at lag 0 for the middle SDI, compared with low and high SDI.
One possible explanation for our results is that the population that lives in the low SES is associated with a high prevalence of preexisting diseases, limited or poor quality medical services and deficient consumption of polyunsaturated fatty acids and vitamins, all of which increases their susceptibility and conditions of vulnerability to the effects of air pollutants.19,23 Another factor that may be associated is race and ethnicity; U.S. studies have shown a larger risk of mortality for the Hispanic population compared to white and black populations.25,26
When estimating the risk of mortality for the group over 65 years old, a risk of 0.88% at MA01 and 0.96% at MA02 was found for SES I, which decreases to 0.09% and -0.27% for SES III, respectively, following the trend observed in the general population. The result for this group can be explained by mobility, as those over 65 years old spend more time at home and therefore are largely exposed,12,15 as well as by a high prevalence of preexisting conditions24 that make them more susceptible to the effects of PM10.
Mortality due to respiratory disease was always higher and statistically significant for SES II (middle) compared with SES I and SES III groups, with values of 1.31% (lag 0), 1.53% (MA01) and 1.77% (DLM0-3) for all ages, respectively, and 1.18, 1.54 and 1.83% respectively, for those over 65 years old. Our results coincide with those established by other authors. Wong et al.19 identified a significant excess in risk 1.46% (lag 2) for the high SDI, decreasing to 0.36% for the low SDI. Martins et al.12 determined that areas with a lower socioeconomic profile showed the highest coefficient of association between PM10 exposure and respiratory mortality among the elderly. The authors state that low income and low education levels are factors that explain the relationship found.
In our study, respiratory mortality was always higher for SES II, the area in the city with the highest daily average of PM10 (71µg/m3). This shows a dose-response relation for this cause, since the SES II population is exposed to daily PM10 concentrations that exceed WHO22 guidelines, increasing the risk of mortality as compared with SES I and SES III, which have lower concentrations of PM10 (60µg/m3 and 37µg/m3, respectively).
Although cardiovascular mortality showed no significant values, SES I was observed to have the highest percentage change in risk at lag 0, MA01 and DLM0-3 for all ages and those over 65 years old. Our results agree with those found by Finkelstein et al.10 who confirmed the hypothesis that part of the deprivation or inequity associated with mortality from cardiovascular disease is related to differences in exposure to environmental pollutants.
O'Neill et al.2 propose three hypotheses for which low SES groups are more vulnerable to the effects of air pollution: 1) low-income people may receive greater exposure to air pollution,19 2) these groups may be more susceptible because they have a compromised health status due to limited financial resources, and 3) they are more likely to suffer health effects due to the combination of increased exposure and susceptibility. The latter hypothesis is more accurate and fits the reality of Bogota17 and other cities in LAC. Nevertheless, it is important to highlight that health inequality impacts this relationship and may explain the effect on the population.27 Bartley28 proposes the material/neo-material model as an explanatory model of health inequality, which postulates that people of relatively low incomes have poorer health and lower life expectancy, and which combined with increased exposure to a contaminant results in the situation studied in our work.
The strengths of our study were: 1. The use of the GAM21 model enabled the adjustment of linear and non-linear associations, as well as short- and long-term fluctuations. 2. The use of different indicators related to SES, recommended in other studies,9,29,30 with principal component analysis made it possible to obtain a socioeconomic division which, although not entirely homogenous within the localities, enabled obtaining estimates that reflected the socioeconomic reality of the localities of Bogota. 3. With the use of localities as units of stratification and relevant information about each of them, it was possible to establish the effect of SES on the air pollutionmortality relationship; this approach has been used or suggested by other studies.12,29
It is also important to mention the possible limitations of the study that may influence the results. First, there were some problems measuring exposure for SESI (low) because many of the localities belonging to this SES did not have air quality monitoring stations, therefore concentrations from stations at nearby locations belonging to other SES were assigned. This may have affected the estimate of the percentage change in risk for the different causes of death studied at this SES level. Nevertheless, the measurement of PM10 for SES II represents the real situation of the city, as winds concentrate pollutants in the localities that make up this SES and, therefore, taking into account the direction of the winds, the areas next to these localities should exhibit lower concentrations than those registered for SES II.16 Second, information about temperature and RH was available only in one SES of the city, since the majority of localities did not have instruments to measure meteorological variables; the percentage change in risk was estimated with and without adjusting the weather variables, no significant difference in values was noted. Third, the ozone time series showed a change in the value of the daily 8-hour average concentration after 2002, the year in which maintenance of the BAQMN was performed. Unable to establish whether the measurements recorded before or after 2002 were correct, it was decided not to adjust for this pollutant; the estimates were calculated with and without adjustment for ozone, which showed no significant difference in values.
In summary, our results support the hypothesis proposed and observed by other studies that SES has a modifier effect on the relationship between air pollution and mortality.30 Thus, addressing this relationship must take into account the socio-economic component, which may help to decrease deaths in Bogota. Therefore, promotion and prevention programs established by the DSH of Bogota in the localities considered vulnerable should tend to reduce these weaknesses, which would ultimately affect the health of the people in the capital, especially the elderly.
Acknowledgments
The authors would like to thank the IHMES, the District Secretary for the Environment and the Bogota District Secretary of Health for supplying the information to carry out this study, and Claudia Vargas and Alexander Orejuela for their translation help. The principal author dedicates this work to Orlando Blanco Casteñeda (R.I.P) and Ana de Jesús Becerra de Blanco, loving parents, exemplary and dedicated.
References
1. United Nations Human Settlements Programme (UN-HABITAT). State of the World's Cities 2010/2011 bridging the Urban Divide. London: UN-HABITAT, 2011:60- 82. [ Links ]
2. O'Neill MS, Jerrett M, Kawachi I, Levy JI, Cohen AJ, Gouveia N, et al. Health, wealth, and air pollution: advancing theory and methods. Environ Health Perspect 2003;111(16):1861-1870. [ Links ]
3. Bell ML, Cifuentes LA, Davis DL, Cushing E, Telles AG, Gouveia N. Environmental health indicators and a case study of air pollution in Latin American cities. Environ Res 2011;111(1):57-66. [ Links ]
4. Pan American Health Organization (PAHO). An assessment of health effects of ambient air pollution in Latin America and the Caribbean. Washington, DC: PAHO, 2005:17-48. [ Links ]
5. Dockery DW, Pope CA 3rd, Xu X, Spengler JD, Ware JH, Fay ME. An association between air pollution and mortality in six U.S. cities. N Engl J Med 1993;329(24):1753-1759. [ Links ]
6. Pope CA 3rd, Thun MJ, Namboodiri MM, Dockery DW, Evans JS, Speizer FE, et al. Particulate air pollution as a predictor of mortality in a prospective study of U.S. adults. Am J Respir Crit Care Med 1995;151:669-674. [ Links ]
7. Pope CA 3rd, Burnett RT, Thun MJ, et al. Lung cancer, cardiopulmonary mortality, and long-term exposure to fine particulate air pollution. JAMA 2002;287(9):1132-1141. [ Links ]
8. Bell ML, O'Neill MS, Cifuentes LA, Braga ALF, Green C, Nwekw A, et al. Challenges and recommendations for the study of socio-economic factors and air pollution health effects. Environ Sci Pol 2005;8:525-533. [ Links ]
9. Laurent O, Bard D, Filleul L, Segala C. Effect of socioeconomic status on the relationship between atmospheric pollution and mortality. J Epidemiol Community Health 2007;61:665-675. [ Links ]
10. Finkelstein MM, Jerrett M, Sears MR. Environmental inequality and circulatory disease mortality gradients. J Epidemiol Community Health 2005;59(6):481-487. [ Links ]
11. Forastiere F, Stafoggia M, Tasco C, Picciotto S, Agabiti N, Cesarion G, et al. Socioeconomic status, particulate air pollution, and daily mortality: differential exposure or differential susceptibility. Am J Ind Med 2007;50(3):208-216. [ Links ]
12. Martins MC, Fatigati FL, Vespoli TC, Martins LC, Pereira LAA, Martins MA, et al. Influence of socioeconomic conditions on air pollution adverse health effects in elderly people: an analysis of six regions in Sao Paulo, Brazil. J Epidemiol Community Health 2004;58(1):41-46. [ Links ]
13. Carbajal-Arroyo L, Miranda-Soberanis V, Medina-Ramón M, Rojas-Bracho L, Tzintzun G, Solís-Gutiérrez P, et al. Effect of PM10 and O3 on infant mortality among residents in the Mexico City Metropolitan Area: a case-crossover analysis, 1997-2005. J Epidemiol Community Health 2011;65(8):715-721. [ Links ]
14. Neidell MJ. Air pollution, health, and socio-economic status: the effect of outdoor air quality on childhood asthma J Health Econ 2004;23(6):1209-1236. [ Links ]
15. Naess O, Piro FN, Nafstad P, Smith GD, Leyland AH. Air pollution, social deprivation, and mortality: a multilevel cohort study. Epidemiology 2007;18(6):686-694. [ Links ]
16. Secretaría Distrital de Ambiente (SDA). Informe anual de calidad de aire para Bogotá. Red de Monitoreo de Calidad de Aire de Bogotá. Bogotá, DC: SDA, 2010:1-5. [ Links ]
17. Pan American Health Organization (PAHO). Análisis del perfil de salud humana en Bogotá. Organización Panamericana de la Salud/Organización Mundial de la Salud. Bogotá DC: PAHO 2009:15-35. [ Links ]
18. Health Effects Institute. Annual Conference 2009 Program and Abstracts. Boston: Health Effects Institute. [Accessed 13 May 2010]. Mortality effects of air pollution in Latin American cities: results from the ESCALA study [Abstract]. Available: http://www.healtheffects.org/Pubs/AnnualConferenceProgram2009.pdf [ Links ]
19. Wong CM, Ou CQ, Chan KP, Chau YK, Thach TQ, Yang L, et al. The effects of air pollution on mortality in socially deprived urban areas in Hong Kong, China. Environ Health Perspect 2008; 116(9):1189-1194. [ Links ]
20. Havard S, Deguen S, Zmirou-Navier D, Schillinger C, Bard D. Traffic-related air pollution and socioeconomic status: a spatial autocorrelation study to assess environmental equity on a small-area scale. Epidemiology 2009;20(2):223-230. [ Links ]
21. Dominici F, McDermontt A, Zeger S, Samet J. On the use of Generalized Additive Models in time series studies of air pollution and health. Am J Epidemiol 2002;156(3):193-203. [ Links ]
22. Blanco-Becerra LC, Miranda-Soberanis V, Hernández-Cadena L, Barraza-Villarreal A, Junger W, Hurtado-Díaz M, et al. Effect of particulate matter less than 10 µm (PM10) on mortality in Bogota, Colombia: a time-series analysis, 1998-2006. Salud Publica Mex 2014;55:56:363-370. [ Links ]
23. World Health Organization (WHO). Air quality guidelines for particulate matter, ozone, nitrogen dioxide and sulfur dioxide - Global update 2005 - Summary of risk assessment. Geneva, Switzerland: WHO, 2006. [ Links ]
24. Sacks JD, Stanek LW, Luben TJ, Johns DO, Buckley BJ, Brown JS, et al. Particulate matter-induced health effects: who is susceptible? Environ Health Perspect 2011;119(4):446-454. [ Links ]
25. Ostro B, Broadwin R, Green S, Feng WY, Lipsett M. Fine particulate air pollution and mortality in nine California counties: results from CALFINE. Environ Health Perspect 2006;114:29-33. [ Links ]
26. Ostro BD, Feng WY, Broadwin R, Malig BJ, Green RS, Lipsett MJ. The impact of components of fine particulate matter on cardiovascular mortality in susceptible subpopulations. Occup Environ Med 2008;65:750-756. [ Links ]
27. Cabieses B, Zitko P, Pinedo R, Espinoza M, Albor C. ¿Cómo se ha medido la posición social en investigación en salud? Una revisión de la literatura internacional. Rev Panam Salud Publica 2011;29(6): 457- 468. [ Links ]
28. Bartley M. Health inequalities. An introduction to theories, concepts and methods. Cambridge: Polite Press, 2007. [ Links ]
29. Stroh E, Oudin A, Gustafsson S, Pilesjö P, Harrie L, Strömberg U, et al. Are associations between socio-economic characteristics and exposure to air pollution a question of study area size? An example from Scania, Sweden. Int J Health Geogr 2005;4:30. [ Links ]
30. Ou CQ, Hedley AJ, Chung RY, et al. Socioeconomic disparities in air pollution-associated mortality. Environ Res 2008;107(2):237-244. [ Links ]
Received on: June 11, 2012
Accepted on: February 27, 2013
Corresponding author:
Dra. Isabelle Romieu.
Head, Nutrition and Metabolism section,
International Agency for Research on Cancer.
150, cours Albert Thomas,
69372 Lyon Cedex 08, France.
E-mail: iromieu@gmail.com; romieui@iarc.fr
Declaration of conflict of interests: The authors declare not to have conflict of interests.












