Servicios Personalizados
Revista
Articulo
Indicadores
-
Citado por SciELO -
Accesos
Links relacionados
-
Similares en
SciELO
Compartir
Salud Pública de México
versión impresa ISSN 0036-3634
Salud pública Méx vol.56 no.4 Cuernavaca jul./ago. 2014
Artículo original
Effect of particulate matter less than 10µm (PM10) on mortality in Bogota, Colombia: a time-series analysis, 1998-2006
Efecto del material particulado menor a 10µm (PM10) sobre la mortalidad en Bogotá, Colombia: un análisis de series de tiempo 1998-2006
Luis Camilo Blanco-Becerra, MC,(1) Víctor Miranda-Soberanis, MC,(2) Leticia Hernández-Cadena, DC,(2)Albino Barraza-Villarreal, DC,(2) Washington Junger, DC,(3) Magali Hurtado-Díaz, MC,(2) Isabelle Romieu MD, MPH, ScD.(2)
(1) Departamento de Salud Pública, Universidad Industrial de Santander (UIS). Bucaramanga, Santander, Colombia.
(2) Nutrition and Metabolism section, International Agency of Research on Cancer. France.
(3) Rio de Janeiro State University. Brasil.
Abstract
Objective. To analyze the association between daily mortality from different causes and acute exposure to particulate matter less than 10 microns in aerodynamic diameter (PM10), in Bogota, Colombia.
Materials and methods. A time-series ecological study was conducted from 1998 to 2006. The association between mortality (due to different causes) and exposure was analyzed using single and distributed lag models and adjusting for potential confounders.
Results. For all ages, the cumulative effect of acute mortality from all causes and respiratory causes increased 0.71% (95%CI 0.46-0.96) and 1.43% (95%CI 0.85-2.00), respectively, per 10µg/m3 increment in daily average PM10 with a lag of three days before death. Cumulative effect of mortality from cardiovascular causes was -0.03% (95%CI -0.49-0.44%) with the same lag.
Conclusions. The results suggest an association between an increase in PM10 concentrations and acute mortality from all causes and respiratory causes.
Key words: air pollution; mortality; respiratory tract diseases; particulate matter; time series studies; Colombia.
Resumen
Objetivo. Analizar la asociación entre la mortalidad diaria debida a distintas causas y la exposición aguda a partículas menores de 10 micras de diámetro aerodinámico (PM10), en Bogotá, Colombia.
Material y métodos. Se realizó un estudio ecológico de series de tiempo (1998-2006). La asociación entre mortalidad y exposición se analizó ajustando modelos de retraso simple y retraso distribuido para diferentes causas de mortalidad.
Resultados. En todas las edades, el riesgo acumulado en la mortalidad aguda por todas las causas y causa respiratoria aumentó 0.71% (IC95% 0.46-0.96) y 1.43% (IC95% 0.85-2.00), respectivamente, por incremento de 10µg/m3 en el promedio diario de PM10, tomando un retraso de tres días anteriores al deceso, mientras el riesgo acumulado en la mortalidad por causa cardiovascular fue de -0.03% (IC95% -0.49-0.44), para el mismo retraso.
Conclusiones. Los resultados sugieren asociación entre el incremento de las concentraciones de PM10 y la mortalidad aguda por todas las causas y causa respiratoria.
Palabras clave: contaminación atmosférica; mortalidad; enfermedad respiratoria; material particulado; series de tiempo; Colombia.
According to the World Health Organization (WHO), mortality attributable to urban air pollution in Latin America and the Caribbean (LAC) is seven deaths per 100 000 inhabitants,1 with exposure to particulate matter less than 10 microns (PM10) being one of the principal components in creating this problem.2 Over the past several years, the urban centers of some LAC cities have experienced unplanned development, their population increasing to more than 5 million inhabitants;3 it is estimated that more than 110 million persons in LAC live in zones where air quality criteria are continually exceeded.2
Epidemiological studies conducted in different countries around the developed and developing world have reported increases in mortality from all causes, and particularly due to cardiopulmonary causes as a result of air pollution.414 Dockery et al.4 reported a relative risk of 1.27 (95%CI 1.08-1.47) for general mortality from exposure to PM10 when comparing cities with higher particulate levels to those with lower levels. For general mortality for all ages in LAC, the Pan American Health Organization (PAHO)2 reported an increase of 0.6% (95%CI 0.16-1.07) per 10µg/m3 increase in PM10 concentrations.
In Colombia, 2 700 deaths are attributed to air pollution each year.15 Bogota, the capital district (DC, abbreviation in Spanish), represents one of the large urban centers in LAC with air pollution problems.16 Its population was estimated to be 6 840 116 inhabitants in the year 2005, of which those less than 5 and over 65 years of age represented 14% of the total population.17 It is located at a latitude of 4° 35' 56" North and a longitude of 74° 4' 51" West, with an elevation of 2 630 meters above sea level. This city is divided into 20 administrative units, or localities. It has an average daily temperature of 14°C, which can vary between 9 and 22°C.18
The Bogota District Secretary of Health (DSH) determined that the annual average deaths between 1998 and 2006 were 25 466 28.4% of which was from cardiovascular causes and 10.5% from respiratory causes. In addition, the Bogota District Secretary for the Environment (DSE) determined that annual average PM10 constantly exceeded annual guidelines recommended by the WHO during the period 1998 to 2007,16 with industry and vehicular transportation being the principal sources of contamination.19,20
While the above provides evidence of the potential effect of air pollution on mortality in America, Bogota does not yet have a study that includes these characteristics. Therefore, the objective of this investigation is to evaluate the association between acute PM10 exposure and daily mortality from all causes, respiratory tract and cardiovascular diseases in Bogota, Colombia.
Materials and methods
Study Design: An ecological study was conducted in the city of Bogota, DC using a time-series analysis for the period April 1998 to December 2006. This investigation was performed based on the methodology used by the project titled "Multi-City Study of Air Pollution and Health Effects in Latin America," which studied the effect of ozone (O3) and PM10 on mortality in cities located in Brazil, Chile and Mexico.21
Information gathering
Mortality data: Information was obtained for total daily deaths registered in Bogota, DC based on death certificates. Information was used of those who at the moment of their death were residents of DC. The outcomes analyzed were all causes of death (ICD: A00-T98), respiratory causes (ICD: J00-J98) and cardiovascular causes (ICD: I00-I99), according to the International Classification of Diseases (ICD), version 10.
Meteorological and air pollution data: Hourly data on atmospheric pollutants were obtained from the Bogota Air Quality Monitoring Network (RMCAB, abbreviation in Spanish), which has 14 stations distributed across the entire city (figure 1) and monitor PM10 using the Beta-Attenuation Method (BAM). Temperature and relative humidity (RH) registries were obtained from the RMCAB as well as Institute of Hydrology, Meteorology and Environmental Studies (IDEAM, abbreviation in Spanish) stations.
Evaluation of exposure: Daily (24-hr) averages of PM10 were calculated for all the monitoring stations. The criteria for sufficiency was 75% of data, which indicates that of the 24 registries obtained each day, there must be at least 18 valid data sets in order to calculate the average for a particular day. Later, to assign exposure, daily average PM10 and 8-hr averages for O3 (between 10am and 6pm) were calculated city-wide. With regard to temperature and RH information, the daily (24 hr) average was calculated for each parameter, also with 75% of data as the criteria for sufficiency.
Statistical analysis: Since the analysis encompasses nine years, time trends and seasonality were controlled using natural spline functions (ns), with 1 to 5 degrees of freedom (df) per year. This number varied according to whether the models showed a better fit to the data. The Generalized Additive Model (GAM) with Poisson regression22 was used to model the relation between the daily number of deaths and PM10 levels. Short-term fluctuations were controlled using variables that indicated the days of the week, long weekends and holidays. With respect to the adjustment of meteorological factors, temperature and RH variables were taken into account, including functions, considering the effect on the daily average with a 1-day lag, and with 4 and 2 df per year, respectively.
The baseline was as follows:

Where Yt is the number of deaths in a day t, DFnational and DFreligious are holidays categorized as national and religious, DS is the days of the week, FS long weekends, ns natural smooth functions of temperature (Temp), RH (Hum) and time (time), and gi is the df for each function.
An independent model was generated for each cause of death studied, according to the groups all ages and over 65 years old. The diagnostic of the models was performed by evaluating the over dispersion parameter; detecting autocorrelation and over fitting with partial autocorrelation functions (PACF); influence analysis by means of Cook's distances; determining normality of residuals, and evaluating the parsimony of the models using Akaike information criteria (AIC).
To calculate the percentage change in risk of mortality for a 10µg/m3 increase in PM10 levels, single lag models (SLM) and distributed lag models (DLM) were used; SLM were adjusted with a lag factor of 0 to 3 days, and DLM evaluating cumulative periods of 3 and 5 days prior to the event, taking into account a polynomial structure of degree 2.23-26 A maximum lag of five days before the deaths was chosen for the exposure variable using DLM.24,26 The statistical analysis was performed using Stata software version 9.0 and R version 2.8.1 (R Project for Statistical Computing, http://www.rproject.org), using the ares library for the ESCALA Project (Multi-city Study of Air Pollution and Health effects in Latin America).27
Results
A total of 229 199 deaths were registered during the study period, 21 398 (9%) of which were eliminated due to incomplete information (sex, locality and/or direct cause of death). A total of the 207 801 deaths were evaluated, from which there was a daily average of 65 deaths (Standard Deviation (SD) = 9.57) due to all causes. Regarding respiratory mortality-all ages, there was a daily average of 12 deaths and 7 deaths for those over 65 years old (table I); 53.5% (n=111 178) were men and 52.8% (n=109 802) were over 65 years of age. Death due to respiratory and cardiovascular diseases represented 18.7% (n=39 024) and 27.6% (n=57 371) of total mortality, respectively.

The mean daily average of PM10 was 63.2µg/m3 (SD=17.9), with a maximum value of 179.1µg/mm3, which exceeds daily guidelines established by the WHO. The 8-hr average O3 concentration was 21.2 ppb (SD=11.6) (table II), which does not exceed WHO guidelines.28
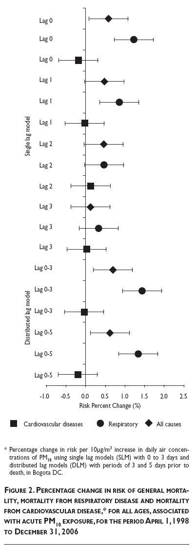
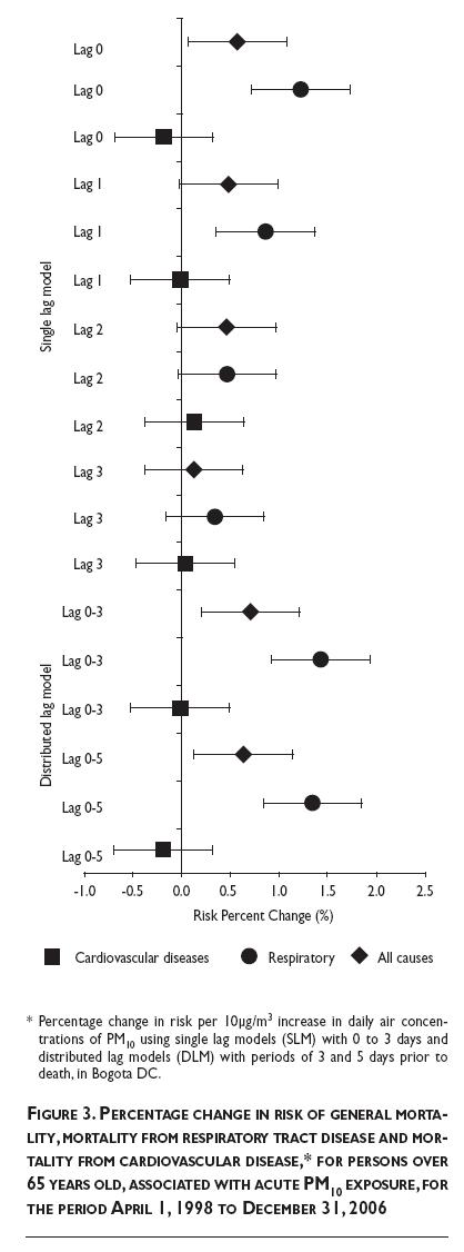
A statistically significant association was observed between acute mortality due to all causes and respiratory causes, for all ages and for the group over 65 years old and a 10µg/m3 increase in the daily average of PM10. The percentage change in risk of mortality from all causes for all ages was 0.57% (95%CI 0.25-0.89) per 10µg/m3 increase in average PM10 levels on the same day of the event (lag 0). The calculation of mortality from all causes for those over 65 years old was similar to that observed for all ages. A significant change in risk was observed with respect to respiratory causes for all ages and those over 65 1.22% (95%CI 0.48-1.97) at lag 0 and 1.05% (95%CI 0.12-1.98) at lag 0, respectively. With respect to mortality from cardiovascular disease, no significant association was found (figures 2 and 3).


When using DLM for the period of three days prior to death (DLM0-3), it was observed that the cumulative effect on total mortality tends to increase and then decrease for the period of five days before death. It was estimated that, with a 10µg/m3 increase in PM10 concentrations (24-hr average) for the DLM0-3 period, the risk of total mortality for all ages increased 0.71% (95%CI 0.46-0.96). For mortality from respiratory and cardiovascular causes for all ages, with every 10µg/m3 increase in PM10 levels for the DLM0-3 period, a cumulative effect of 1.43% (95%CI 0.85-2.00) and -0.03% (95% CI -0.49-0.44) was observed, respectively.
Discussion
This 9-year study in Bogota suggests a statistically significant association between daily mortality for all causes of death and respiratory diseases and daily PM10 concentrations, but not for cardiovascular diseases. To our knowledge, this is the first study to evaluate the association between different causes of death and PM10 in Bogota. The percentage change in risk estimated for daily mortality for all causes all ages was 0.57% at lag 0 and 0.62% for the DLM0-5 period. The effects found in our study are similar to those reported by Stieb29 0.65% worldwide, 0.6% for Europe,30 0.5% for the United States30 (US) and 0.49% for Asia.2 Other studies differ slightly from our findings. Vichit et al.31 found that when PM10 levels increase 10µg/m3, risk increases 1.2% at lag 0; in the USA, Dockery et al.4 and Schwartz6,32 found changes of 2.6% (lag 0), 0.8% for the 2-day moving average (MA01) and 0.35% (lag 0), respectively.
With respect to LAC, the PAHO2 estimated a change of 0.6%, similar to that found in the study herein; nevertheless, changes greater than our results have been registered. Ostro9 and Castillejos et al.10 reported changes of 0.75% (lag 1) and 1.83% for the five day moving average (MA04), respectively; all were statistically significant. These studies have focused on countries such as Chile and Mexico, which is why the percentage change in risk for Bogota may differ given the unique characteristics of the city (aerodynamic diameter, chemical33 and biological34 composition of the particulates, location with respect to the equatorial axis, altitude and meteorological conditions), which can have an influence on mortality, the duration of thermal inversion layers and, therefore, exposure.
In terms of respiratory mortality for all ages, the change in risk was 1.22% at lag 0 and 1.43% for the DLM0-3; these were statistically significant. Ostro9 and Vichit31 observed changes in risk of 1.28% (lag 0) and 1.3% (lag 3), respectively. Other investigators have reported greater changes, for example, Castillejos10 and Sanhueza et al.11 reported changes in risk of 3.85% for the MA04 and 2.36% at lag 0, respectively. For those over 65 years old, our study estimated a change in risk of 1.05% at lag 0 and 1.68% for the DLM0-3, showing a greater effect on this group compared to the general population when using DLM0-3. Also for persons over 65 years, Gouveia12 estimated a change in risk of 0.60% at lag 1, while Sanhueza,11 Martins13 and Téllez14 reported changes of 2.78% (lag 0), 5.4% and 3.7% for the MA02, respectively.
In general, an acute effect of PM10 on total and respiratory mortality was observed using SLM and DLM. Some of this effect can be attributed to PM10 being composed of fine particulates (PM2.5), in addition to chemical and biological compounds that present greater health risks.4,10,28,33 Experimental data show that air pollutants can increase the risk of infection, especially from pathogenic bacteria.35 Lambert et al.36 suggest possible interactions between the respiratory syncytial virus (RSV) which infects alveolar epithelial cells and ultrafine black carbon (BC) particulates. Becker et al.37 found that particulates in outside air seem to alter the ability of alveolar macrophages to produce chemokines which attract inflammatory cells and are needed to inhibit the spread of the infection. It is possible that this alteration plays a fundamental long-term role in the effects of particulates on vulnerable individuals.
Although the daily average of deaths for cardiovascular diseases was higher compared with respiratory diseases, in this study did not show an increase in risk for cardiovascular disease mortality using either SLM or DLM. In contrast, Ostro,9 Sanhueza11 and Gouveia12 reported changes in risk of 0.76% (lag 0), 1.76% (lag 0) and 0.58% (lag 0), respectively. The difference in our results may be due to the time lag exposure used in this study; an analysis carried out using a DLM (data not shown) in a period of 15 days before the event, found an increased risk of 0.46% in cardiovascular mortality for all ages; Schwartz argued that if a heart attack is avoided in a given day, the expected displacement in mortality will be higher in the following days or months, which would explain absence of increase in risk in the studied population.25 Nevertheless, it is important to be able to evaluate other Andean cities located near the equatorial axis, thereby determining whether the lack of risk of this disease is constant or differs throughout this zone.
The strengths of our study were: 1. The use of GAM modeling, widely employed in studies on air pollution,22 allowed for adjust linear and non-linear associations, as well as to short-term and long-term associations; 2. The calculation of percentage changes in risk using DLM evaluated the effect of acute exposure over periods of 3 and 5 days; this resulted in estimates of mortality risks similar to those obtained by cohort studies.26,38
The possible limitations of the study were: 1. Average daily PM10 exposure was assigned for the entire city. Considering variations in pollutant concentrations by zone, this could suggest the existence of measurement error in our study, generating a possible underestimation of the effect in these zones. Nevertheless, when dividing the city into east and west zones (analysis not shown), the daily average value obtained for each was 50.02 and 79.18 µg/m3, respectively, where the concentration of 63.2µg/m3 (daily average in our study) represented an average value for Bogota, thus minimizing the probability of an error in measuring exposure. 2. Although the inclusion criteria adopted for mortality was subjects who resided in one of the localities at the time of death, it was not possible to establish how long a person had lived in Bogota and, therefore, the effect cannot be attributed to acute exposure. This could cause a possible overestimation in our results. However, these effects can only be attributed to acute exposure. The farthest exposure we are looking at is five days. So, how long a person resided in the city in terms of years or even months is not important, because some people enter the population whilst others leave. 3. The completion of death certificates by non-medical personnel may conceal the real pathological status at the time of death, which could cause information bias. 4. The time-series for O3 presented a change in the value of its 8-hr average concentration beginning in 2002, the year in which the RMCAB underwent maintenance. Since it was not possible to determine whether or not the measurements registered before or after 2002 were corrected, it was decided not to adjust for this pollutant; nevertheless, the estimators were calculated with and without adjustments for O3, observing no significant difference in values. 5. Although our study did not evaluate the socioeconomic position (SEP) of the population, this is important to explore since localities that have neighborhoods (locality divisions) with fewer socioeconomic resources are located in areas with significant higher concentrations of the pollutant. This could show an effect of SEP as a possible modifier of the relationship studied, overestimating the effect of air pollution on mortality.
Finally, our analysis showed an association between PM10 and mortality in a Latin American city with topographical and climatic characteristics different than those previously studied.2,21 The acute effect on general mortality and from respiratory causes differs from that found for cardiovascular causes, which did not show an effect. The results obtained will strengthen programs for vehicular maintenance, reduction in emissions and improvement of combustibles, led by the District Secretary for the Environment. It also will determine health promotion and disease prevention activities for persons over 65 years old, directed by the District Secretary of Health. Nevertheless, it is crucial to conduct studies in cities in the Andes as well as in coastal zones and valleys located near the equatorial axis, which present meteorological conditions that could affect the relationship between air pollution and mortality.
Acknowledgments
The authors would like to thank IDEAM, the District Secretary for the Environment and the District Secretary of Health for supplying the information to conduct this work, and Irma Soyachi Salgado for her administrative work. The principal author dedicates this work to the memory of Orlando Blanco Casteñeda (R.I.P.), loving, exemplary and dedicated father, whose teachings laid the ethical, educational and personal foundations of this investigator. Thank you Dad.
References
1. World Health Organization (WHO). Global estimates of burden of disease caused by the environmental and occupational risks [Internet]. Geneva: WHO; c2012 [updated 2012 Nov 30; cited 2012 Nov 2]. Available in: http://www.who.int/quantifying_ehimpacts/global/urbair/en/index.html [ Links ]
2. Pan American Health Organization (PAHO). An assessment of health effects of ambient air pollution in Latin America and the Caribbean. Washington (WA): PAHO (US), 2005. [ Links ]
3. United Nations Human Settlements Programme. State of the World's Cities 2008/2009. London (GB): United Nations Human Settlements Programme (US), 2008. [ Links ]
4. Dockery DW, Pope CA 3rd, Xu X, Spengler JD, Ware JH, Fay ME, et al. An association between air pollution and mortality in six U.S. cities. N Engl J Med1993; 329(24):1753-1759. [ Links ]
5. Pope CA 3rd, Thun MJ, Namboodiri MM, Dockery DW, Evans JS, Speizer FE, et al. Particulate air pollution as a predictor of mortality in a prospective study of U.S. adults. Am J Respir Crit Care Med 1995;151:669-674. [ Links ]
6. Schwartz J, Dockery DW, Neas LM. Is daily mortality associated specifically with fine particles? J Air Waste Manag Assoc 1996;46(10):927-939. [ Links ]
7. Pope CA 3rd, Burnett RT, Thun MJ, Calle EE, Krewski D, Ito K, et al. Lung cancer, cardiopulmonary mortality, and long-term exposure to fine particulate air pollution. JAMA 2002;287(9):1132-1141. [ Links ]
8. Romieu I, Samet JM, Smith KR, Bruce N. Outdoor air pollution and acute respiratory infections among children in developing countries. J Occup Environ Med 2002 44(7):640-649. [ Links ]
9. Ostro B, Sanchez JM, Aranda C, Eskeland GS. Air pollution and mortality: results from a study of Santiago, Chile. J Expo Anal Environ Epidemiol 1996;6(1):97-114. [ Links ]
10. Castillejos M, Borja-Aburto VH, Dockery DW, Gold DR, Loomis D. Airborne coarse particles and mortality. Inhal Toxicol 2000;12(1 Suppl):61-72. [ Links ]
11. Sanhueza P, Vargas C, Mellado P. Impacto de la contaminación del aire por PM10 sobre la mortalidad diaria en Temuco. Rev Med Chile 2006;134(6):754-761. [ Links ]
12. Gouveia N, Fletcher T. Time series analysis of air pollution and mortality: effects by cause, age and socioeconomic status. J Epidemiol Community Health 2000; 54(10):750-755. [ Links ]
13. Martins MC, Fatigati FL, Vespoli TC, Martins LC, Pereira LA, Martins MA, et al. Influence of socioeconomic conditions on air pollution adverse health effects in elderly people: an analysis of six regions in Sao Paulo, Brazil. J Epidemiol Community Health 2004;58(1):41-46. [ Links ]
14. Téllez-Rojo MM, Romieu I, Ruiz-Velasco S, Lezana MA, Hernández-Avila MM. Daily respiratory mortality and PM10 pollution in Mexico City: importance of considering place of death. Eur Respir J 2000;16(3):391-396. [ Links ]
15. World Health Organization (WHO). Country profiles of environmental burden of diseases [Internet]. Geneva (CH): WHO; 2010 [cited 2010 Sep 12]. Available in: http://www.who.int/quantifying_ehimpacts/national/countryprofile/colombia.pdf [ Links ]
16. Secretaría Distrital de Ambiente (SDA). Informe anual de calidad de aire para Bogotá. Bogotá D.C: Red de Monitoreo de Calidad de Aire de Bogotá SDA (CO), 2008. [ Links ]
17. Departamento Administrativo Nacional de Estadística (DANE). Censo 2005 [Internet]. Bogotá (CO): DANE; 2010 [cited 2010 Oct 5]. Available in: http://190.25.231.242/redatam/CG2005/Total_poblacion_conciliada_mpal.xls [ Links ]
18. Alcaldía Mayor de Bogotá: Geografía Bogotana [Internet]. Bogotá: Alcaldía Mayor de Bogotá (CO); c2012 [updated 2012 Nov 30; cited 2012 Dec 2]. Available in: http://www.bogota.gov.co/portel/libreria/php/decide.php?patron=01.270701&divs=true [ Links ]
19. Rodríguez P, Sánchez N, Behrentz E. Actualización del inventario de fuentes móviles para la ciudad de Bogotá. Universidad de los Andes. Paper presented at: II Congreso Colombiano y Conferencia Internacional de Calidad del Aire y Salud Pública; 2009; Cartagena, Colombia. [ Links ]
20. Fandiño M, Bravo S, Sánchez N, Behrentz E. Actualización del inventario de emisiones atmosféricas provenientes de fuentes fijas en Bogotá. Universidad de los Andes. Paper presented at: II Congreso Colombiano y Conferencia Internacional de Calidad del Aire y Salud Pública; 2009; Cartagena, Colombia. [ Links ]
21. Health Effects Institute: Multicity Study of Air Pollution and Mortality in Latin America (The ESCALA Study) [Internet]. Boston: Health Effects Institute (US); c2012 [updated 2012 Oct 30; cited 2012 Dec 2]. Available in: http://pubs.healtheffects.org/view.php?id=389 [ Links ]
22. Dominici F, McDermontt A, Zeger S, Samet J. On the use of Generalized Additive Models in time series studies of air pollution and health. Am J Epidemiol 2002; 156(3):193-203. [ Links ]
23. Pope CA, Schwartz J. Time series for the analysis of pulmonary health data. Am J Respir Crit Care Med 1996;154(6 Pt 2):S229-S233. [ Links ]
24. Schwartz J. The distributed lag between air pollution and daily deaths. Epidemiology 2000;11(3):320-326. [ Links ]
25. Schwartz J. Harvesting and long term exposure effects in the relation between air pollution and mortality. Am J Epidemiol 2000;151(5):440-448. [ Links ]
26. Zanobetti A, Wand MP, Schwartz J, Ryan LM. Generalized additive distributed lag models: quantifying mortality displacement. Biostatistics 2000;1(3):279-292. [ Links ]
27. Junger W, de Leon A. Ares: A Library for Time Series Analysis in Air Pollution and Health Effects Studies Using R. Epidemiology 2009;20(6):S217. [ Links ]
28. World Health Organization (WHO). Air quality guidelines for particulate matter, ozone, nitrogen dioxide and sulfur dioxide - Global update 2005 - Summary of risk assessment. Geneva: WHO, 2006. [ Links ]
29. Stieb DM, Judek S, Burnett RT. Meta-analysis of time-series studies of air pollution and mortality: effects of gases and particles and the influence of cause of death, age, and season. J Air Waste Manag Assoc 2002;52(4):470-484. [ Links ]
30. Katsouyanni K, Touloumi G, Samoli E, Gryparis A, Le Tertre A, Monopolis Y, et al. Confounding and effect modification in the short-term effects of ambient particles on total mortality: Results from 29 European cities within the APHEA2 Project. Epidemiology 2001;12(5):521-531. [ Links ]
31. Vichit-Vadakan N, Vajanapoom N, Ostro B. The Public Health and Air Pollution in Asia (PAPA) Project: Estimating the Mortality Effects of Particulate Matter in Bangkok, Thailand. Environ Health Perspect 2008;116(9):1179-1182. [ Links ]
32. Schwartz J. The effects of particulate air pollution on daily deaths: a multi-city case-crossover analysis. Occup Environ Med 2004;61(12):956-961. [ Links ]
33. Galvis B, Rojas N. Relación entre PM2.5 y PM10 en la ciudad de Bogotá. Acta Nova 2006;3(2):336-353. [ Links ]
34. Blanco-Becerra LC. Caracterización microbiológica del material particulado como factor de riesgo sobre la salud en la localidad de Puente Aranda [Tesis]. [Bogotá D.C (CO)]: Universidad de la Salle, 2003. [ Links ]
35. Holgate ST, Samet JM, Koren HS, Maynard RL. Air pollution and health. Chapter 17, Air pollutants: moderators of pulmonary host resistance against infection: San Diego: Academic Press, c1999: 357-380. [ Links ]
36. Lambert AL, Mangum JB, DeLorme MP, Everitt JI. Ultrafine carbon black particles enhance respiratory syncytial virus-induced airway reactivity, pulmonary inflammation, and chemokine expression. Toxicol Sci 2003;72(2):339-346. [ Links ]
37. Becker S, Soukup JM. Exposure to urban air particulates alters the macrophage-mediated inflammatory response to respiratory viral infection. J Toxicol Environ Health A 1999;57(7):445-457. [ Links ]
38. Zanobetti A, Schwartz J, Samoli E, Gryparis A, Touloumi G, Atkinson R, et al. The temporal pattern of mortality responses to air pollution: a multicity assessment of mortality displacement. Epidemiology 2002;13(1):87-93. [ Links ]
Received on: November 14, 2011
Accepted on: January 14, 2013
Corresponding author:
Dra. Isabelle Romieu.
Nutrition and Metabolism section,
International Agency for Research on Cancer.
150, cours Albert Thomas,
69372 Lyon Cedex 08, France.
E-mail: iromieu@gmail.com; romieui@iarc.fr.
Declaration of conflict of interests. The authors declare that they have no conflict of interests.












