Servicios Personalizados
Revista
Articulo
Indicadores
-
Citado por SciELO -
Accesos
Links relacionados
-
Similares en
SciELO
Compartir
Revista mexicana de investigación educativa
versión impresa ISSN 1405-6666
RMIE vol.17 no.54 Ciudad de México jul./sep. 2012
Investigación
Frontera tecnológica y eficiencia técnica de la educación superior en México
Technological Frontier and Technical Efficiency of Higher Education in Mexico
Osvaldo U. Becerril-Torres*, Inmaculada C. Álvarez-Ayuso** y Rosa María Nava-Rogel***
* Profesor-investigador de la Facultad de Economía de la Universidad Autónoma del Estado de México. Cerro de Coatepec s/n, Ciudad Universitaria, 50120, Toluca, Estado de México, México. ce: obecerrilt@uaemex.mx
** Profesora-investigadora de la Facultad de C.C. Económicas y Empresariales de la Universidad Autónoma de Madrid. Campus de Cantoblanco. ce: inmaculada.alvarez@uam.es
*** Profesora-investigadora de la Facultad de Contaduría y Administración de la Universidad Autónoma del Estado de México. ce: rosanr06@yahoo.com.mx
Artículo recibido: 24 de junio de 2011
Dictaminado: 14 de noviembre de 2011
Segunda versión: 9 de diciembre de 2011
Aceptado: 1 de febrero de 2012
Resumen
Esta investigación tiene como objetivo determinar la frontera tecnológica y la eficiencia técnica de la educación superior de México. La metodología empleada es el Data Envelopment Analysis. Los resultados muestran que las entidades federativas de Sonora y Sinaloa determinan la frontera tecnológica y que los estados de Nuevo León, Sinaloa, Sonora y Tabasco son eficientes en el sentido de rendimientos constantes a escala; en tanto que entidades como el Distrito Federal, Jalisco y Estado de México están operando en el segmento de rendimientos decrecientes a escala, y Aguascalientes, Nayarit y Puebla se encuentran en el segmento de rendimientos crecientes a escala. En sentido de rendimientos variables a escala, la eficiencia técnica promedio es de 0.71, lo que indica que es posible expandir la producción educativa en aproximadamente 30% haciendo un mejor uso de los factores productivos.
Palabras clave: Educación superior, Eficiencia, competitividad, indicadores educativos, calidad de la educación, México.
Abstract
This research has the objective of determining the technological frontier and technical efficiency of higher education in Mexico. The methodology used is Data Envelopment Analysis. The results show that the states of Sonora and Sinaloa determine the technological frontier, and that the states of Nuevo León, Sinaloa, Sonora, and Tabasco are efficient in the sense of constant returns to scale; whereas the states of Distrito Federal, Jalisco, and Estado de México are operating in the segment of decreasing returns to scale, and the states of Aguascalientes, Nayarit, and Puebla are in the segment of increasing returns to scale. In terms of variable returns to scale, the average technical efficiency is 0.71, which indicates that educational production could be expanded by approximately 30% by making better use of the factors of production.
Keywords: higher education, efficiency, competitiveness, educational indicators, quality of education, Mexico.
Introducción
Desde hace unas décadas la educación superior ha empezado a ser reinterpretada y revalorada por su protagonismo en la producción de conocimiento, ya que los requerimientos de las organizaciones son mayores que en el pasado por el mercado global en el que tienen que competir (OECD, 2005). Sin embargo, las perspectivas que se han formado hacia las instituciones de educación superior (IES) como las principales productoras y divulgadoras de conocimiento sólo se han satisfecho, en gran parte, en los países desarrollados (Didriksson, 1999), ya que el medio ambiente social, político y económico en el que se desenvuelven afectan su desempeño. Ante este panorama, el gobierno federal (2007) de México ha establecido políticas para fortalecer la educación, ciencia básica y aplicada.
El crecimiento observado en los últimos años en las IES privadas se ha dado como consecuencia de que las públicas no han logrado satisfacer la demanda educativa que México requiere (Valenti y Del Castillo, 2000). Sin embargo, como expresan Labra y Ramírez (2007), al incrementar la oferta de educación, muchas de las IES privadas no han cuidado la calidad: solamente dos de cada diez programas que tienen registrados han sido evaluados por los Comités Interinstitucionales para la Evaluación de la Educación Superior (CIEES); una de cada diez IES particulares tienen un solo programa evaluado por organismos acreditados del Consejo para la Evaluación de la Educación Superior (COPAES); y apenas 15% de sus programas de posgrado se han evaluado bajo los parámetros de calidad del Consejo Nacional de Ciencia y Tecnología (Conacyt).
Las IES públicas tampoco han hecho acciones suficientes para elevar la calidad y pertinencia de la educación que imparten. La asignación de recursos por parte del Estado invariablemente insuficiente y la gestión de los programas para mejorar la calidad académica y la gestión institucional continúan dependiendo, en gran medida, de las negociaciones que realizan las autoridades educativas a nivel federal (Labra y Ramírez, 2007) y estatal, apoyándose en el número de alumnos que atienden y no en los resultados que obtienen (Loría, 2002; Gasca y González, 2009). Por otra parte, las IES públicas no realizan acciones para poder generar recursos financieros propios que pudieran aminorar el problema (López Castañares, 2005).
Debe reconocerse que la matrícula de educación superior se ha expandido en los últimos años (SEP, 2007), sin embargo, existen marcadas diferencias en cuanto a la cobertura lograda: sólo cinco entidades federativas1 concentran cerca de 50% de la matrícula de licenciatura y posgrado (ANUIES, 2005) y existe una sobresaturación en el mercado laboral de carreras como derecho, contaduría, administración, medicina, arquitectura y odontología (ANUIES, 2003). Aunado a esto, un gran porcentaje de los egresados no cumplen con las expectativas de los empleadores en cuanto a los conocimientos, habilidades, actitudes y competencias esperados, por lo que la sobreoferta de profesionistas en algunas carreras y la poca calidad en el desempeño esperado han contribuido a que reciban bajas remuneraciones (Labra y Ramírez, 2007).
La ubicación de México en el contexto internacional muestra índices de atención insatisfactorios en materia de educación superior (OECD, 2005), no sólo si la comparación es con sus socios comerciales de América del Norte, la Unión Europea o países desarrollados que forman parte de la Organización para la Cooperación y Desarrollo Económicos (OCDE) sino también con naciones de igual o menor nivel de desarrollo.
Ante este panorama de la educación superior en México, en esta investigación se presenta un análisis de la eficiencia técnica2 de las escuelas de educación superior de las entidades federativas de México, desde la perspectiva metodológica del Análisis Envolvente de Datos (DEA, por sus siglas en inglés), para contribuir con ello a la generación de indicadores educativos que ayuden a tener un mejor entendimiento y a mejorar la calidad y competitividad de la educación superior en este país. Son pocos los trabajos que utilizan esta metodología para contribuir al análisis de la educación superior. Así, se pueden mencionar los de Sigler (2004) y Lucía (2007), quienes se orientan a la eficiencia en investigación en el Distrito Federal de México, y de las universidades públicas de Argentina, respectivamente. Recientemente, Mahallati y Hosseinzadeh (2010) proponen un método de redes para estimar la eficiencia de universidades.
Asimismo, la literatura tradicional sobre los determinantes de la producción no considera la posible existencia de ineficiencia en el uso de los factores productivos, o bien ha utilizado funciones de producción medias, en donde se asume que todas las unidades productivas funcionan de manera eficiente alcanzando la frontera de producción potencial; sin embargo, recientemente se reconoce que existen brechas entre la eficiencia técnica potencial y la observada en la realidad empírica, derivadas de que no se están realizando las mejores prácticas en el proceso productivo.
Surge así una línea de investigación que plantea modelos basados en las técnicas de frontera no paramétrica, que permiten identificar el uso ineficiente de los factores productivos y realizar estimaciones bajo estas condiciones. Los autores de referencia para este tipo de estudios son Farrell (1957) y Seiford y Thrall (1990), cuyo planteamiento radica en construir una frontera de posibilidades de producción no-paramétrica, que envuelva los datos. En este sentido, la evidencia empírica en la que se hace uso de este tipo de análisis frontera permite observar la existencia de ineficiencias en el uso de los factores productivos privados (Gumbau y Maudos (1996), Beeson y Husted (1989), entre otros). Entre los trabajos que tienen como base las técnicas no paramétricas están los realizados por Maudos, Pastor y Serrano (1998, 1999) y Salinas, Pedraja y Salinas (2001), quienes analizan las regiones españolas. Por su parte, Domazlicky y Weber (1997) y Boisso, Grosskopf y Hayes (2000) se centran en la economía estadounidense, mientras que Lynde y Richmond (1999) analizan el Reino Unido. Asimismo, Peñaloza (2006) aplica la metodología al sistema de salud en Colombia.
En México son pocos los trabajos que incorporan el cálculo de la eficiencia técnica en la producción mediante técnicas no paramétricas, entre los que se identifican el de Sigler (2004), que analiza la eficiencia en la producción de investigación económica en la Ciudad de México; Kirkham y Boussabaine (2005), Nevárez, Constantino y García (2007) y Salinas-Martínez et al. (2009) aplican su análisis al ámbito de la sanidad; Villarreal y Cabrera (2007) proponen diferentes esquemas para hacer más eficiente el uso del DEA para resolver problemas de optimización de criterios múltiples, y Navarro y Torres (2006) lo aplican a la industria eléctrica de México. En el ámbito de análisis de la eficiencia técnica, esta metodología ha sido aplicada por Álvarez, Becerril, Del Moral y Vergara (2008) para la determinación de la frontera tecnológica de las entidades federativas de México, también por Ablanedo-Rosas y Gemoets (2010) a los aeropuertos de México y Griffin y Woodward (2011) al ámbito pesquero. Sin embargo, no se identifican estudios para este país que contribuyan a tener un mejor entendimiento en el ámbito de las escuelas de educación superior. Por ello, el objetivo de esta investigación es determinar la eficiencia técnica de la educación superior de las entidades federativas de México y determinar cuáles de ellas están realizando las mejores prácticas.
Para la consecución de dicho objetivo, el estudio se estructura de la siguiente manera: en el segundo apartado se desarrolla la metodología empleada. En el tercero se exponen las bases de datos utilizadas y fuentes de información utilizadas. En el apartado cuatro se presentan los resultados obtenidos. Por último, se presentan las principales conclusiones.
Metodología
El cálculo de la ineficiencia ha supuesto la principal motivación en el estudio de las fronteras de producción. Desde esta perspectiva, existen dos enfoques en la construcción de fronteras: el basado en las técnicas de programación matemática y el que se fundamenta en las herramientas econométricas. La principal ventaja del primero de ellos o aproximación Data Envelopment Analysis (DEA) radica en que no es necesario imponer una forma funcional explícita sobre los datos.
Desde el punto de vista no-paramétrico se implementan empíricamente las medidas de eficiencia desarrolladas por Farrell (1957), usando métodos de programación lineal, denominados análisis envolventes de datos. Farrell propuso que la eficiencia de una unidad de decisión (DMU, Decisión Making Unit, que es un término más amplio que el de firma) está constituida por dos componentes: la "eficiencia técnica", que refleja la habilidad para obtener el máximo output para un conjunto dado de inputs, y la "eficiencia en precios o asignativa", que refleja la habilidad para usar los inputs en las proporciones óptimas, dados sus respectivos precios. Este análisis centra la atención en las medidas de eficiencia técnica output-orientadas, que responden a la pregunta acerca de cuánto se puede expandir el output sin alterar la cantidad de inputs necesaria.3
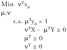
El modelo DEA sobre el que se efectúa el cálculo de la eficiencia técnica y de escala es el desarrollado en Seiford y Thrall (1990).4 El propósito de estos modelos radica en construir una frontera de posibilidades de producción no-paramétrica, que envuelva los datos. El planteamiento teórico-metodológico es el siguiente: Considérense N unidades de decisión en donde cada DMU consume cantidades de M inputs para producir S outputs. Específicamente, la DMU. consume Xji del input i y produce Yjr del output r. Se asume que Xji ≥ 0 y Yjr ≥ 0. Asimismo, X e Y son matrices de tamaño MxN y SxN, que contienen la totalidad de inputs y outputs correspondientes a las N DMU's consideradas (en este estudio, la j-ésima DMU hace referencia a la j-ésima entidad federativa, con j = 1, 2,..., 32). Para una DMU su razón input/output proporciona una medida de eficiencia. En programación matemática este cociente, que se minimiza, constituye la función objetivo de la DMU analizada. Por su parte, la incorporación de restricciones normalizadas refleja la condición de que la razón input/ output de cada DMU debe ser superior a la unidad, de manera que la frontera calculada envuelva a las distintas combinaciones input-output correspondientes a la totalidad de DMU's consideradas. Por tanto, el programa matemático para la razón de eficiencia será:

, donde las variables son u y v, vectore2s de tamaño Sx1 y Mx1, respectivamente. De esta forma, se calculan los pesos óptimos u* y v*, asociados con los outputs e inputs.
Sin embargo, este último problema proporciona infinitas soluciones, para lo cual se incorpora la restricción μ,Ty0=1, que lleva a obtener μ, y v como resultado de la transformación:

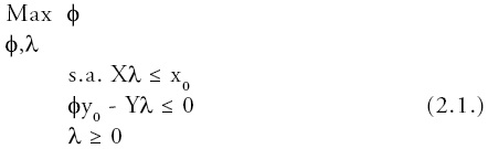
cuyo problema dual es:

, donde Φ es un escalar y λ, es un vector Nxl.
El proceso se repite para cada DMUj, introduciendo en el problema anterior (x0,y0) = (xj,yj). Así, una DMU es ineficiente si (Φ* < 1 y eficiente si Φ* = 1. Por tanto, todas las DMU eficientes se sitúan en la frontera de posibilidades de producción. Sin embargo, una DMU puede situarse en la frontera (Φ*=1) y ser ineficiente. Las restricciones impuestas conducen a la eficiencia en el punto (x0,y0) para un λ,* óptimo cuando éstas se cumplen con igualdad, es decir x0=xλ* y y0=Yλ*. Una DMU ineficiente puede llegar a ser más eficiente cuando se proyecta sobre la frontera. Aunque es necesario distinguir entre un punto fronterizo y un punto fronterizo eficiente. Para una orientación output, la proyección (x0,y0) → (x0,Φ*y0) siempre conduce a un punto fronterizo, pero la eficiencia técnica sólo se alcanza si x0=xλ.* y Φ*y0=Yλ*, para todo λ* óptimo. Entonces, para alcanzar la eficiencia técnica total, las restricciones deben cumplirse con igualdad.
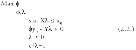
El modelo planteado supone rendimientos constantes a escala, en cuyo caso las medidas de eficiencia input-orientadas y output-orientadas son equivalentes (Fáre y Lovell, 1978). Sin embargo, las imperfecciones en el mercado, restricciones financieras, entre otras, pueden provocar que una DMU deje de operar a escala óptima. Por este motivo, Banker, Charnes y Cooper (1984) amplían el modelo suponiendo rendimientos variables a escala, lo que permite calcular eficiencias de escala. Para ello, se debe incorporar la restricción eTλ,= 1 ("e" es un vector cuyos componentes son la unidad y de tamaño Nx1) en el modelo (2.1.), obteniendo:

Analíticamente, la restricción eTλ,= 1 genera un requerimiento de convexidad que obliga a la frontera eficiente de posibilidades de producción a constar de segmentos que unen los puntos extremos. De esta forma, se consigue una medida de eficiencia técnica "pura" (sin eficiencias de escala). Sin embargo, las medidas de eficiencia de escala obtenidas mediante este procedimiento no indican cuándo la DMU opera en un área de rendimientos crecientes o decrecientes. Por ello se plantea un modelo alternativo, incorporando la restricción eTλ,<1 (rendimientos crecientes no permitidos) en el modelo (2.1.):

La naturaleza de las eficiencias de escala para una DMU particular se determina comparando las medidas de eficiencia técnica obtenidas mediante la implementación de los modelos (2.2.), en el que se suponen rendimientos a escala variables, y (2.3.), en el que únicamente se permiten rendimientos decrecientes a escala. Así, pues, si éstas coinciden en ambos modelos, entonces la DMU considerada presenta rendimientos decrecientes a escala (en caso contrario, rendimientos crecientes).
Bases de datos y fuentes de información empleadas
Los datos de las escuelas de educación superior de las entidades federativas considerados proceden de los censos económicos de México, correspondientes a 2008. Incluyen mil 9225 unidades económicas,6 tanto públicas como privadas (universidades, institutos tecnológicos), dedicadas principalmente a impartir educación superior para la formación de ingenieros; licenciados en contaduría, en administración, en derecho, y en educación; médicos; agrónomos; arquitectos; y psicólogos, entre otros programas educativos. El producto está representado por la producción bruta total (PBT),7 que es el valor de los bienes y servicios producidos por la unidad económica, como resultado del ejercicio de sus actividades; la inversión es incorporada mediante la formación bruta de capital fijo (FBCF),8 que es el valor de los activos fijos comprados por la unidad económica, descontando el valor de las ventas de los activos fijos realizados, y el empleo es referido por el indicador de personal ocupado total (PO),9 en las unidades económicas del sector privado y paraestatal. La fuente estadística de la que se han obtenido estas bases de datos corresponde a los Censos Económicos 2009 del Instituto Nacional de Estadística y Geografía de México (INEGI, 2009).
La clasificación sectorial es la utilizada por el INEGI (2009) en los censos económicos 2009, que está organizada según el Sistema de Clasificación Industrial de América del Norte (INEGI, 2007), y los datos de la subrama 61131, escuelas de educación superior considerada, son los disponibles en dichos censos.
A partir de esta clasificación y de la aplicación de las ecuaciones 2.1, 2.2 y 2.3 se obtiene la eficiencia técnica de las entidades federativas de las escuelas de educación superior, que a continuación se presenta.
Resultados
Derivado de la obtención de los cocientes de inputs a output, que se presentan en el anexo A-2, se determinó la frontera tecnológica y posición de las entidades federativas respecto de ésta, la cual se muestra en la gráfica 1, en donde se observa que la frontera está determinada por las escuelas de educación superior de los estados de Sonora y Sinaloa.
Siguiendo la metodología descrita con anterioridad,10 se construye una frontera de máxima producción con los factores productivos disponibles (capital y empleo) para las escuelas de educación superior de las entidades federativas de México para 2008. El cálculo de la eficiencia técnica se ha llevado a cabo mediante el uso del software DEAP 2.1 (Coelli, 1996), que se basa en el método de estimación de múltiples etapas para la resolución de modelos DEA descrito en Coelli (1998).
Derivado de la implementación de las ecuaciones (2.1.) y (2.2.) se determinaron las eficiencias técnica y de escala. De ello, si una DMU es eficiente en el sentido de rendimientos constantes de escala (CRS),11 entonces será eficiente tanto a escala como técnicamente, por lo que su eficiencia de escala será igual a uno. De tal modo, el cuadro 1 muestra que las entidades federativas eficientes en el sentido CRS son Nuevo León, Sinaloa, Sonora y Tabasco.
Para conocer si la ineficiencia de una DMU es debida a quie está operando en el área de rendimientos decrecientes a escala (DRS, por sus siglas en inglés, Diminishing Returns to Scale), o en el área de rendimientos crecientes a escala (IRS, por sus siglas en inglés, Increasing Returns to Scale) debe sustituirse la restricción eTλ,= 1 por eTλ,≥1 en la ecuación (2.2.), por lo que no permite rendimientos crecientes a escala. De esta manera si el valor obtenido al ejecutar esta formulación (en la ecuación 2.3) es igual a VRS (por sus siglas en inglés, Variable Returns to Scale), significa que la DMU está operando en el tramo de la curva de rendimientos decrecientes a escala. Si son distintos, significa que está operando en el tramo de rendimientos crecientes a escala. Por supuesto, las DMU con VRS=CRS tienen la escala óptima. Derivado de esto, el cuadro 2 permite observar a las entidades federativas que están operando en el segmento de rendimientos decrecientes a escala en el subsector de escuelas de educación superior, entre ellas, Baja California Norte, Distrito Federal, Jalisco y el Estado de México.
Por su parte, el cuadro 3 permite observar las entidades federativas que se encuentran en el segmento de rendimientos crecientes de escala en el subsector de escuelas de educación superior, lo que implica que si se aumenta la inversión y el personal ocupado en el sector, el incremento de la producción de éste será más que proporcional.
En el cuadro 4 se muestra el nivel de eficiencia técnica bajo rendimientos constantes y variables a escala de las entidades federativas; ahí se puede apreciar que los estados que operan eficientemente en sus escuelas de educación superior bajo CRS son Nuevo León, Sinaloa, Sonora y Tabasco, al presentar un valor unitario en su indicador de eficiencia.
Sin embargo, en economías como la mexicana, en donde pueden existir imperfecciones en el mercado y restricciones para el acceso al capital, éstas ocasionan que las escuelas de educación superior dejen de operar en escala óptima, por lo que la eficiencia técnica con rendimientos variables a escala permite identificar a las entidades federativas que realizan las mejores prácticas bajo este esquema y que a partir de ellas se determina la eficiencia de las demás, de tal manera que también en la cuadro 4 se identifica que son diez los estados más eficientes bajo VRS, entre ellos Baja California Sur, Distrito Federal y Jalisco, los cuales se identifican por contar con un valor unitario en su indicador de eficiencia técnica.
Así, en términos generales, a nivel del subsector, la eficiencia técnica promedio es de 0.62 bajo CRS y de 0.71 bajo VRS, lo que indica que aún se puede expandir la producción de las escuelas de educación superior haciendo un mejor uso de los factores productivos.
Para mostrar los niveles de eficiencia técnica en el sentido VRS de las entidades federativas se definen tres estratos: bajo, medio y alto, atendiendo a la metodología de igualdad de intervalos implementado por el Sistema de Información Geográfica,12 lo que permite construir el mapa 1; en él se observa la manera en que se distribuye el uso de los factores capital y empleo de las escuelas de educación superior en los estados, mostrando las fuertes disparidades existentes entre las entidades federativas, como es el caso, por ejemplo, de las penínsulas de Baja California y Yucatán. Los únicos estados que presentan un patrón relativamente homogéneo son las del centro del país.
La clasificación en tres estratos permite establecer grupos de entidades federativas atendiendo a sus niveles de eficiencia, y a partir de ello se permite identificar que 18 estados del país se encuentran en los niveles bajo y medio de eficiencia técnica. El cuadro 5 muestra a estas entidades y el grupo al que pertenecen. De ello, se observa en el cuadro que entidades como Zacatecas, Colima, Nuevo León y el Distrito Federal pertenecen al estrato de estados más eficiente.
Asimismo, en el cuadro 5 se identifica que 14 estados se encuentran en el rango alto de eficiencia técnica en las escuelas de educación superior y son los que están realizando las mejores prácticas en el uso de sus factores productivos; el resto, las otras entidades federativas, pueden mejorar haciendo un mejor uso de sus factores, capital y empleo.
Conclusiones
La disponibilidad de información sobre producción, inversión, empleo de la subrama 61131, escuelas de educación superior de México, y la utilización de técnicas de análisis de frontera no paramétrica a través del Data Envelopment Analysis ha ofrecido la posibilidad calcular la eficiencia técnica de esta subrama de la actividad económica y poder identificar y tener un mejor entendimiento de la forma en que se está haciendo uso de los factores en ella.
Los resultados obtenidos permiten identificar que las entidades federativas de Sonora y Sinaloa son las que determinan la frontera tecnológica en este país en el subsector de escuelas de educación superior. Así, también se han identificado los estados que operan con eficiencias a escala y bajo rendimientos crecientes y decrecientes así como la eficiencia técnica bajo estas condiciones. De tal modo, Nuevo León, Sinaloa, Sonora y Tabasco son eficientes en el sentido de CRS, es decir, que si aumentan el personal y la inversión, tendrán incrementos proporcionales en su producción, en tanto que entidades federativas como el Distrito Federal, Jalisco y México están operando en el segmento de rendimientos decrecientes a escala, lo que implica que incrementos en sus insumos tendrán un efecto menos que proporcional en la producción de las escuelas de educación superior. Por su parte, estados como Aguascalientes, Nayarit y Puebla se encuentran en el segmento de rendimientos crecientes a escala, cuya implicación es que variaciones positivas en el número de trabajadores y de la inversión, tendrán un efecto multiplicador más que proporcional en su producción.
En sentido de VRS, la eficiencia técnica promedio es de 0.71, lo que indica que aún es posible expandir la producción en aproximadamente 30% haciendo un mejor uso de los factores productivos.
A la luz de estos resultados, es posible expresar la necesidad de la incorporación de innovaciones en los procesos productivos, en este caso, nuevos modelos educativos, al tiempo que no se debe dejar de lado aspectos relacionados con el mejor uso de los insumos capital y empleo para expandir la producción del subsector 61131, escuelas de educación superior, en las entidades federativas en México.
Derivado de este estudio, se observa que es importante buscar mecanismos y acciones de política económica que redunden en un mejor uso de los factores. Esto sería posible con la implementación tanto de programas de capacitación y adiestramiento acordes con los requerimientos tecnológicos y científicos como de políticas educativas encaminadas a fortalecer al sector educativo, acordes con la dinámica contemporánea de la educación superior, para la formación de profesionistas con alta capacidad de innovación y cuya incidencia se mostraría sobre la eficiencia técnica y su mejora. Así, es importante considerar la importancia de las políticas públicas y acciones privadas que la favorezcan a través del logro de las mejores prácticas en los procesos de producción a nivel del subsector de escuelas de educación superior.
Referencias
Ablanedo-Rosas, J. H. y Gemoets, L. A. (2010). Measuring the efficiency of Mexican airports, Journal of Air Transport Management, vol. 16, núm. 6, pp. 343-345. [ Links ]
Álvarez, I.; Becerril O.; Del Moral, L. y Vergara, R. (2008). "Aplicación del Data Envelopment Analysis a la delimitación de la frontera tecnológica en México (1970-2003)", Revista Enlaces, 8 (CES Felipe II, España). [ Links ]
ANUIES (2003). Mercado laboral de profesionistas en México, diagnóstico 1990-2000, México, DF: ANUIES. [ Links ]
ANUIES (2005). Consolidación y avance de la educación superior en México, México, DF: ANUIES. [ Links ]
Banker, R. D.; Charnes, A. y Cooper, W.W. (1984). "Some models for estimating technical and scale inefficiencies in Data Envelopment Analysis", Management Science, vol. 30, pp. 1078-1092. [ Links ]
Beeson, P. E. y Husted, S. (1989). "Patterns and determinants of productive efficiency in state manufacturing", Journal of Regional Science, vol. 29, núm. 1, pp. 15-28. [ Links ]
Boisso, D.; Grosskopf, S. y Hayes K. (2000). "Productivity and efficiency in the US: Effects of business cycles and public capital", Regional Science and Urban Economics, vol. 30, núm. 6, pp. 663-681. [ Links ]
Coelli, T. J. (1996). A Guide to DEAP versión 2.1.: A Data Envelopment Análisis (computer) program, Armidale: Centre for Efficiency and Productivity Analysis-University of New England (mimeo). [ Links ]
Coelli, T. J. (1998). "A multi-stage methodology for the solution of orientated DEA models". Operations Research Letters, vol. 23, núms. 3-5, pp. 143-149. [ Links ]
Didriksson, A. (1999). Tendencias e impacto del futuro de la educación superior en América Latina y el Caribe, Revista La Vasija, vol. 2, núm. 4, pp. 67-86. [ Links ]
Domazlicky, B. R. y Weber, W. L. (1997). "Total Factor Productivity in the contiguous United States, 1977-1986", Journal of Regional Science, vol. 37, núm. 2, pp. 213-233. [ Links ]
Färe, R. y Lovell, C. A. K. (1978). "Measuring the technical efficiency of production", Journal of Economic Theory, vol. 19, pp. 150-162. [ Links ]
Färe, R.; Grosskopf, S. y Lovell, C. A. K. (1994). Production frontiers, Cambridge, MA: Cambridge University Press. [ Links ]
Färe, R.; Grosskopf, S.; Norris, M. y Zhang, Z. (1994). "Productivity growth, technical progress and efficiency changes in industrialised countries", American Economic Review, vol. 84, pp. 66-83. [ Links ]
Farrell, M. J. (1957). "The measurement of productive efficiency", Journal of the Royal Statistical Society, vol. 120, part 3, pp. 253-290. [ Links ]
Gasca Pliego, E. y González Martínez, J. (2009). Impactos del financiamiento a la educación superior en México: propuesta de un modelo para distribuir el subsidio federal a las universidades públicas estatales,Toluca: Universidad Autónoma del Estado de México. [ Links ]
Gobierno Federal (2007). Primer informe de gobierno de Felipe Calderón, México, DF: Presidencia de la República. Disponible en http://www.informe.gob.mx/informe/ (consultado el 28 de mayo de 2010). [ Links ]
Griffin, W. L. y Woodward, R. T. (2011). Determining policy-efficient management strategies in fisheries using Data Envelopment Analysis (DEA), Marine Policy, vol. 35, núm. 4, pp. 496-507. [ Links ]
Gumbau, M. y Maudos, J. (1996). "Eficiencia productiva sectorial en las regiones españolas: una aproximación frontera", Revista Española de Economía, vol. 13, núm. 2, pp. 239-260. [ Links ]
INEGI (2007). Sistema de clasificación industrial de América del Norte 2007, Aguascalientes: Instituto Nacional de Estadística y Geografía (México). [ Links ]
INEGI (2009). Censos económicos 2009, Aguascalientes: Instituto Nacional de Estadística y Geografía (México). [ Links ]
Kirkham, R. J. y Boussabaine, A. H. (2005). "The application of data envelopment analysis for performance measurement of the UK national health service state portfolio", Conference Proceedings, QUT Research Weak 2005, 4-5 de julio, Australia. [ Links ]
Labra, A. y Ramírez, H. (2007). "Política educativa para el desarrollo con equidad", en J. L. Calva (ed.), Educación, ciencia, tecnología y competitividad, vol. 10, México, DF: Cámara de Diputados/Porrúa/UNAM. [ Links ]
López Castañares, R. (2005). Plan de trabajo 2005-2009, México, DF: ANUIES. [ Links ]
Loría, E. (2002). La competitividad de las universidades públicas mexicanas: una propuesta de evaluación, Toluca: Plaza y Valdés editores. [ Links ]
Lucía Alberto, C. (2007). "Comparación de la eficiencia técnica de las universidades públicas en Argentina", trabajo presentado en el II Congreso Nacional y I Encuentro Latinoamericano de Estudios Comparados en Educación, Buenos Aires, 14-16 de junio. [ Links ]
Lynde, C. y Richmond, J. (1999). "Productivity and efficiency in the UK: a time series application of DEA", Economic Modelling, vol. 16, núm. 1, pp. 105-122. [ Links ]
Mahallati Rayeni, M. y F. Hosseinzadeh Saljoghi (2010). "Network Data Envelopment Analysis Modelo for estimating efficiency and productivity in universities", Journal of Computer Science, vol. 6, núm. 11, pp. 1235-1240. [ Links ]
Maudos, J.; Pastor, J. M. y Serrano, L. (1998). Human capital in OECD countries: technical change, efficiency and productivity, documento de trabajo WP-EC-98-19, Valencia, España: Instituto Valenciano de Investigaciones Económicas. [ Links ]
Maudos, J.; Pastor J. M. y Serrano, L. (1999). "Total factor productivity measurement and human capital in OECD countries", Economic Letters, vol. 63, núm. 1, pp. 39-44. [ Links ]
Navarro, J. C. L. y Torres, Z. (2006). "Análisis de la eficiencia técnica global mediante la metodología DEA: evidencia empírica en la industria eléctrica mexicana en su fase de distribución, 1990-2003", Revista Nicolaita de Estudios Económicos, vol. 1, núm.1, pp. 9-28. [ Links ]
Nevárez, A.; Constantino, P. y García, F. (2007). "Comparación de la eficiencia técnica de los sistemas de salud en países pertenecientes a la OMS", Economía, Sociedad y Territorio, vol. VI, núm. 24, pp. 1071-1090. [ Links ]
OECD (2005). "Education at a Glance", en OECD, Stat Extracts [en línea], París: OECD. Disponible en http://stats.oecd.org/wbos/ [ Links ]
Peñaloza Ramos, M. C. (2006). Evaluación de la eficiencia en instituciones hospitalarias públicas y privadas con Data Envelopment Analysis (DEA), serie Archivos de Economía, Dirección de Estudios Económicos-Departamento Nacional de Planeación-República de Colombia, pp. 1-39. [ Links ]
Salinas, M. M.; Pedraja, F. y Salinas, J. (2001). "Efectos del capital público y del capital humano sobre la productividad total de los factores en las regiones españolas", trabajo presentado en el II Encuentro de Economía Pública, España. [ Links ]
Salinas-Martínez, A. M.; Amaya-Alemán, M. A.; Arteaga-García, J. C.; Núñez-Rocha, G. M. y Garza-Elizondo, M. E. (2009). "Eficiencia técnica de la atención al paciente con diabetes en el primer nivel", Salud Pública de México, vol. 51, núm. 1, pp. 48-58. [ Links ]
Seiford, L. M. y Thrall, R. M. (1990). "Recent developments in DEA: The mathematical approach to frontier analysis", Journal of Econometrics, vol. 45, núm. 1, pp. 7-38. [ Links ]
SEP (2007). Elementos para la elaboración de un diagnóstico de la educación nacional, México, DF: Unidad de Planeación y Evaluación de Políticas Educativas-Secretaría de Educación Pública. [ Links ]
Sigler, L.A. (2004). "Aplicación del Data Envelopment Análisis a la producción de investigación económica en la Ciudad de México: la eficiencia relativa del CIDE, COLMEX, IPN, UAM y UAM (1990-2002)", ponencia presentada en el 4th International Symposium of Data Envelopment Analysis and Performance Management, celebrado en la ciudad de Birmingham (Inglaterra). [ Links ]
Valenti, G. y Del Castillo, G. (2000). "Mapa actual de la educación superior en México de cara al siglo XXI", en México 2010, pensar y decidir la próxima década, vol. 1, México, DF: Limusa, pp. 646-682. [ Links ]
Villarreal, M. M. G. y Cabrera, R. M. (2007). "Agrupamiento de datos para la solución del problema de optimización multicriterio", Ciencia, vol. X, núm. 2, pp. 137-142. [ Links ]
1 Distrito Federal, Jalisco, Estado de México, Nuevo León, Puebla y Veracruz concentran 48.5% de la matrícula.
2 Hace referencia al uso óptimo de los inputs productivos, capital y empleo, que al combinarse permiten obtener el máximo nivel de producción posible. En este caso, tanto el capital como la producción se contabilizan en unidades monetarias, las cuales son reportadas por el INEGI y están acordes con sus metodologías de recolección de información.
3 Equivalentemente, las medidas de eficiencia input-orientadas mantienen el nivel de output constante, permitiendo calcular en qué medida es posible reducir la cantidad de inputs.
4 Los modelos estándar de rendimientos constantes y variables a escala, que llevan a cabo el cálculo de eficiencias técnicas y de escala, se desarrollan en Fare, Grosskopf y Lovell (1994).
5 En el anexo A-1 se reporta el número de unidades económicas consideradas en cada entidad federativa.
6 Son las unidades estadísticas sobre las cuales se recopilan datos, se dedican principalmente a un tipo de actividad de manera permanente en construcciones e instalaciones fijas, combinando acciones y recursos bajo el control de una sola entidad propietaria o controladora, para llevar a cabo producción de bienes y servicios, sea con fines mercantiles o no.
7 Este es un concepto genérico que tiene como objetivo ser incluyente de todos los tipos de establecimientos de la actividad económica. Se expresa en unidades monetarias, generalmente en miles de pesos.
8 Se expresa en unidades monetarias.
9 Comprende el personal contratado directamente, con el ajeno, suministrado por otra razón social, que trabaja para la unidad económica, sujeto a su dirección y control, que cubrió como mínimo un tercio de su jornada laboral de la misma.
10 Véase Fare, Grosskopf, Norris Y Zhang (1994) para una amplia explicación de la misma.
11 Constant Returns to Scale. Cuando una organización, en este caso, la escuela de educación superior, incrementa su producción con un aumento de sus recursos menos que proporcional, se dice que posee rendimientos crecientes a escala. Cuando ocurre lo contrario los rendimientos son decrecientes. Si el volumen de actividad aumenta en igual proporción que los inputs o insumos, se dice que los rendimientos son constantes a escala.
12 El software geo-informático Arc View 3.2 cuenta con un módulo en el que se pueden elegir diferentes métodos para la elaboración de intervalos, entre ellos el de Natural Breaks, Cuantiles y el de intervalos iguales.













