Anexo
Fase de almacenamiento
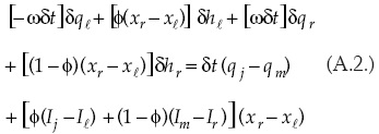
Las entradas del sistema matricial relacionadas con la solución de la forma discreta de la ecuación de continuidad para el caso de la primera celda son:

para las celdas interiores se tiene:

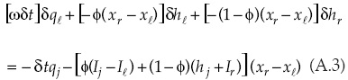
y para la última celda, en la etapa de enlace:

y en la etapa cuasi-estacionaria:

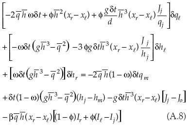
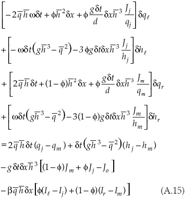
Las entradas del sistema matricial relacionadas con la solución de la forma discreta de la ecuación de momentum para el caso de la primera celda son:

para las celdas interiores se tiene:

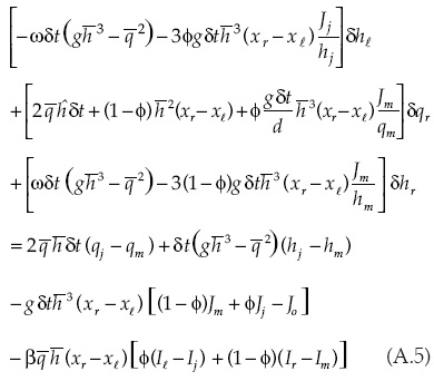
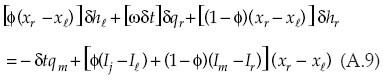
Para la última celda, en la etapa de enlace se escribe:

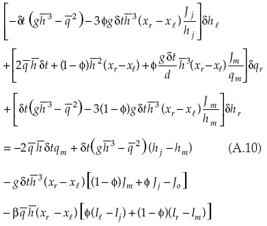
y en la etapa cuasi-estacionaria:

Fase de consumo
Las entradas del sistema matricial relacionadas con la solución de la forma discreta de la ecuación de continuidad para la primera celda son:

Las entradas del sistema matricial relacionadas con la solución de la forma discreta de la ecuación de momentum para la primera celda son:

Fase de recesión
Las entradas del sistema matricial relacionadas con la solución de la forma discreta de la ecuación de continuidad para la segunda celda son:

Para las celdas interiores se tiene:

Para la última celda se escribe:

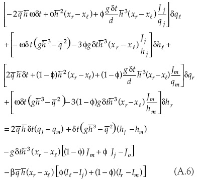
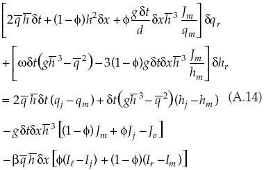
Las entradas del sistema matricial relacionadas con la solución de la forma discreta de la ecuación de momentum para la segunda celda:

Para las celdas interiores se tiene:
