APÉNDICE C
Características de la resistencia de la cimentación tipo candelero con presfuerzo
En las condiciones iniciales de la cimentación candelero con presfuerzo, sin acciones de los elementos mecánicos en la columna, actúan los esfuerzos σop, σomp, y las deformaciones εop, εomp, debido a la acción de la fuerza de presfuerzo en el cable, Fp. El parámetro εop representa la deformación inicial en el cable de presfuerzo debido a la acción de la fuerza Fp, este parámetro se obtiene a partir de suponer un comportamiento elástico y lineal del concreto. La fuerza de presfuerzo, Fp, debe ser equilibrada por una fuerza resultante en compresión en el concreto y debe estar ubicado en la misma posición, ep, ver figura C.1.

El volumen de esfuerzos en el concreto que equilibra la fuerza, Fp, (figura C.1) está dado por:

de donde se obtiene:

y la correspondiente deformación:

La deformación inicial εop se obtiene de triángulos semejantes:

Combinando las ecs. C.2, C.3 y C.4 se obtiene:

Se supone que la distribución de deformaciones unitarias en el borde superior a compresión de la cimentación, producidas por la acción de la columna, es lineal por tramos, ver figura C.2. Toda la zona comprimida tiene una profundidad, 3ep-2βhH. La deformación unitaria a nivel de la línea de aplicación del presfuerzo, a una profundidad ep , es igual a εp.

La deformación εp se obtiene de triángulos semejantes, en la figura C.2a, a partir de:

De la expresión C.6 se despeja la deformación unitaria εmp

El incremento de deformación del cable presforzado, ΔεP, posterior al presfuerzo inicial, está asociada al incremento de la tensión en el cable de presfuerzo, ΔTP. La deformación unitaria total en cable de presfuerzo, εp, es:

donde

Reemplazando las ecs. C.5 y C.9 en C.8, se obtiene:

La deformación del concreto en el límite de la zona elástica del borde superior del candelero se calcula reemplazando las expresión correspondiente en la ec. C.7 de donde se obtiene:

El correspondiente esfuerzo asociado a la deformación εmp se obtiene de multiplicar esta deformación por el módulo elástico del concreto, Ec, y se obtiene:

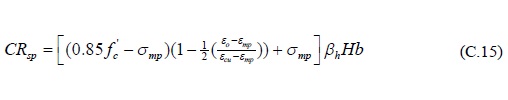
El volumen de esfuerzos que equilibra a la acción del cable de presfuerzo (figura C.2b) está dado por:

Reeemplazando la ec. C.12 en C.13:

La fuerza que equilibra al bloque en compresión del concreto, en el borde superior de la cimentación, (figura C.2b) está dado por la integración del volumen de esfuerzos, lo que lleva a:
