APÉNDICE A

 

Fuerzas de interacción entre la columna la cimentación tipo candelero con y sin presfuerzo

Con base en las condiciones de equilibrio de una columna con cimentación tipo candelero convencional sin presfuerzo, se obtiene el sistema de ecuaciones siguiente:

La solución del sistema de ecuaciones A. 1 para las fuerzas de reacción Cs, Ct, R se muestran en las ec. A.2, A.3, A.4, respectivamente.

donde

Ve= V - fr

Me = M + λeHfr

La figura A.1.a muestra las relaciones Cs/bHf'c, Ct/bHf'c y R//bDf'c obtenidas con las Eqs A.2 a A.4, para un espécimen típico sin presfuerzo para los elementos mecánicos máximos alcanzados en la columna del espécimen. Esta relaciones se muestran en función del coeficiente de fricción, μ. Estos resultados muestran que es razonable considerar que Cs y Ct tienen valores semejantes, así como que los valores de la fuerza de reacción vertical en la base de la columna en contacto con la cimentación, R, son bastante menores que los valores de la fuerzas normales Cs y Ct especialmente para valores de μ menores que aproximadamente 0.5, figura A.1a. La figura A.1b. muestra la elevación y planta de la cimentación candelero donde se indican las fuerzas de reacción y las dimensiones (b, D, H) donde se introduce la columna en el interior de la cimentación.

Para la cimentación candelero con presfuerzo, ver figura A.2, las ecuaciones obtenidas con base en el equilibrio están dada por el sistema ecuaciones A.5, las cuales son una generalización de la ecuación A. 1.

donde

Ve= V - fr -ΔTp

Pe= P - μΔTp

Me= M + λhHfr + μDFp + epΔTp

 

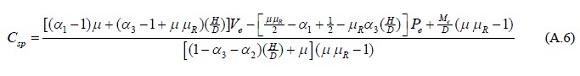
A continuación se muestra la solución del sistema de ec. A.5, para las incógnitas, Csp, Ctp, Rp.

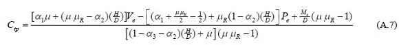
La fuerza de compresión en el borde superior de la cimentación con presfuerzo, Csp, está dada por la expresión siguiente:

La fuerza de compresión en la pared del fondo de la cimentación, Ctp, está dada por la expresión siguiente:

La fuerza de compresión en la pared del fondo de la cimentación, Rp, está dada por la expresión siguiente:

donde:

 

donde n es la relación modular

La figura A.3 muestra la relación entre las correspondientes fuerzas de la cimentación sin presfuerzo y con presfuerzo, para las fuerzas en el borde superior, Cs/Csp, las fuerzas en el fondo de la cimentación, Ctp/Ct. Los resultados calculados indican que para valores de μ menores que 0.75, las fuerzas, en ambos tipos cimentación, son prácticamente iguales y difieren en valores menores que 2%.

La figura A.4 muestra el cociente del incremento de la tensión en el cable de postensado, ΔTP, entre la fuerza de presfuerzo inicial, Fp, en función al coeficiente de fricción, μ, en el que se puede observar que este incremento es poco importante, menor que 5% de Fp.

 

Deducción de la fuerza de fricción fr para el caso de la cimentación sin presfuerzo

La figura A.5 muestra la distribución de esfuerzos inducidos por las fuerzas en la columna, en el segmento de columna introducida a una profundidad H, dentro de la cimentación tipo candelero. El parámetro σcy es el esfuerzo de compresión en la dirección vertical ver figura A.5a. Dicho esfuerzo induce esfuerzos transversales a la sección de la columna denotado por σcz, que a su vez producen las fuerzas de fricción, ½fr, en cada cara de la interfase columna y cimentación, ver figura A.5b. A continuación se calcula la fuerza de fricción en función de las dimensiones del segmento de columna, el módulo de Poisson denotado por v y el coeficiente de fricción, μ, y características de los materiales.

El esfuerzo vertical σcy se obtiene con la expresión siguiente:

donde ccol es la profundidad del eje neutro en la base de la columna del extremo en compresión, el parámetro x varía entre 0 y ccol. La deformación del límite elástico, ε0, para el concreto se define igual a 0.85f'c/Ec

El esfuerzo transversal σcz, considerando el efecto Poisson, está dado por:

La fuerza normal a la cara lateral de la cimentación, por unidad de longitud, en el extremo superior, está dada por la expresión siguiente.

Integrando la ec. A. 12, se obtiene

La fuerza anterior pero evaluada en el fondo del candelero está dada por:

Integrando la expresión anterior se obtiene

La fuerza transversal generalizada por unidad de longitud, a una profundidad y , está dada por la siguiente expresión.

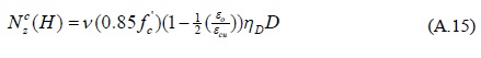
La fuerza transversal total en las dos caras laterales de la cimentación, Ntz, está dada por :

Reemplazando la ec. A.16 en la ec. A. 17, se obtiene lo siguiente:

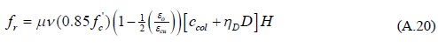
La fuerza de fricción está dada por la siguiente expresión:

Reemplazando la ec. A. 18 en la ec. A. 19 se obtiene la siguiente expresión:

La posición de la fuerza fr es función de la distribución de fuerzas en las caras laterales de la cimentación, Ncz(y), se calcula con:

Reemplazando A.16 en A.21se obtiene

Combinando las ecs. A.20 y A.22, se obtiene:

La profundidad xc en la que se ubica la fuerza de compresión del concreto en una sección en flexocompresión está definida por Restrepo y Rodriguez (2013a) y es igual a:

y el parámetro ccol se considera aproximadamente igual a (Restrepo y Rodriguez, 2013b):