Anexo
Ejercicio de aplicación
Se ha solicitado la construcción de una determinada obra en la Ciudad de México, la cual se desplantará sobre un depósito de arcilla. La información de dicho depósito, con la que se cuenta inicialmente, se presenta en la tabla A-1.

Para realizar los análisis de respuesta del depósito de suelo y de interacción suelo-estructura necesarios, es preciso conocer las propiedades dinámicas del suelo que integra el depósito: módulo de rigidez al esfuerzo cortante, G, relación de amortiguamiento, λ , y su variación con la deformación angular, γ . Estos parámetros pueden obtenerse mediante pruebas de laboratorio; sin embargo, por cuestiones de tiempo y disponibilidad de equipo, se decide realizar un procedimiento de estimación dinámica aplicando el Modelo Modificado tipo Masing. Para esto, es indispensable contar con la información de la tabla A-2.

El valor del esfuerzo efectivo de confinamiento σ′3 o σ′c se definió arbitrariamente para fines de este ejercicio, pero cabe mencionar que este valor, normalmente, corresponde al esfuerzo efectivo de confinamiento en campo para una profundidad determinada. Una vez definido el valor del σ′c y previo conocimiento del índice de plasticidad, IP (tabla A-1), se puede obtener el valor máximo del módulo de rigidez mediante la expresión A-1 o bien la figura A-1 (correspondiente a la figura 5). Respecto a los valores mínimos Gmín, λmín y el valor máximo λmáx se tomaron valores experimentales reportados previamente para arcillas de la Ciudad de México (Romo, 1995).
(A-1)

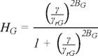
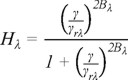
Obtenidos los valores frontera del Modelo Modificado, se prosigue con el cálculo de las deformaciones de referencia γrG y γrλ , así como de las constantes BG y Bλ , empleando las ecuaciones A-2 a la A-5 o bien las figuras A-2 y A-3 (correspondientes a las figuras 6 y 7). La tabla A-3 agrupa los valores de los parámetros del Modelo.
(A-2)
(A-3)
(A-4)
(A-5)



Definidos los valores frontera y los parámetros empleados por el Modelo prosigue asumir un rango amplio de deformaciones angulares (columnas 1 y 6 de la tabla A-4) para calcular las funciones HGy Hλ (ecuaciones A-6 y A-7, correspondientes a las expresiones 19 y 20, columnas 3 y 8 de la tabla A-4) y posteriormente las propiedades dinámicas G y λ (ecuaciones A-8 y A-9, correspondientes a las expresiones 17 y 18, columnas 4 y 9 de la tabla A-4).

(A-6)
(A-7)
(A-8)
(A-9)
Finalmente, la figura A-4 presenta gráficamente el comportamiento teórico de las propiedades dinámicas del suelo que integra el depósito de suelo supuesto. De manera adicional y a modo de validación del proceso de modelado, en la misma figura A-4 se presentan los resultados experimentales correspondientes a los teóricos, permitiendo constatar una vez más la aplicabilidad del Modelo Modificado tipo Masing para obtener el comportamiento de propiedades dinámicas de arcillas altamente plásticas.
