APPENDIX
A Log-Linear Economy
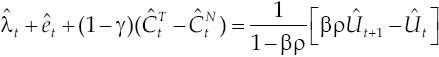
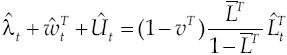
In this appendix, we provide the dynamics of the economy using a log-linear approximation of the model following the techniques described in Uhlig (1995). This log-linear approximation is useful for simulation exercises in this research. From using the first order condition for
and bt, we obtain the following relations:

and

Moreover, it can be seen that

and

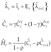
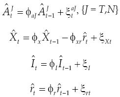
Furthermore, the following variables, in equilibrium, satisfy

along with

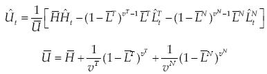
It can be also shown that the nominal interest rate is given by

Where

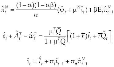
Finally,
and
satisfies

and

This ends up the appendix.