Apéndice

 

Las ecuaciones (30) y (31) presentan los momentos de empotramiento:

 

Factor de transporte de "A" a "B" es:

 

Factor de rigidez de "A" es:

 

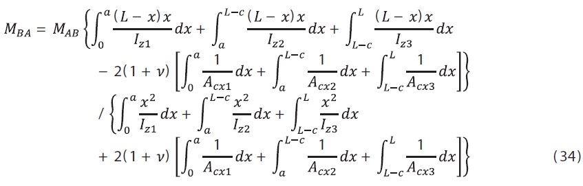
Factor de transporte de "B" a "A" es:

Factor de rigidez de "B" es: