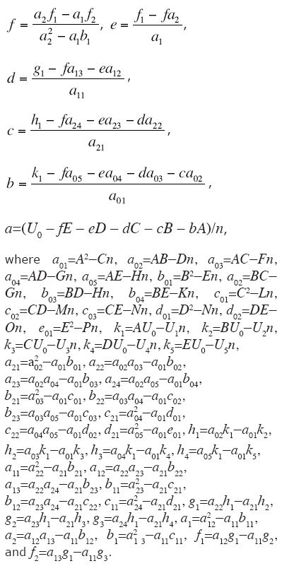
Appendix. Solution of system (20)

Let's define:

Then, from the first six equations of system (20), one can derive the formulas for unknown parameters:

The seventh equation of system (20) takes a form: