Appendix
Equations of the CGE model
The first step is to incorporate the intermediate goods and the composite good as part of the analysis. The composite good is obtained by aggregating the capital and labour through the production function of the composite good, which is a CobbDouglas form function (Equation 2). Thus, this problem is related with the production of the composite good that will be used as input for the gross domestic output. This can be realised as follows:

Subject to:

That is, the profitmaximisation problems for the jth firm subject to the composite goods where:
: profit of the jth firm producing composite factor Yj
Yj: composite factor used by the jth firm
Fh,j: the hth factor used by the jth firm
Xi,j: intermediate input of the ith good used by the jth firm
: price of the jth composite factor
: price of the hth factor
βh,j: share coefficient in the composite factor production function (exogenous)
bj: scaling coefficient in the composite factor production function (exogenous)
And we have in addition the factor requirements of the firm,

the intermediate inputs requirements, which depend directly on the volume of production Zj,

the composite factor used by the jth firm as function of the output,

where axi,j: input requirement coefficient of the ith intermediate input for a unit output of the jth good (exogenous) and ayj the input requirement coefficient of the jth composite good for a unit output of the jth good (exogenous); and finally, the price of the jth gross domestic output or unitary cost of production 

where
is the price of the ith composite good.
In the second place, it is necessary introduce the government into the model. The public sector is important by the following reasons: first, the influence through the taxes on income and prices; second, the government expenditure plays a crucial role in the economy consumption; and finally, the trade tariffs are considered.
The next equations are the taxes system, in which, is assumed that the government levied the household income at a fixed tax rate (Equation 7), an ad valorem tax on output (Equation 8) and an ad valorem import tariff on international trade (Equation 9)

where:
Td: direct tax (exogenous)
: production tax on the jth good (exogenous
: import tariff on the ith good (exogenous)
: direct tax rate
: production tax rate on the jth good (exogenous)
: import tariff rate on the ith good (exogenous)
FFh: endowments of the hth factor for the household (exogenous)
Mi: imports of the ith good
: government consumption of the ith good
: price of the ith imported good
The following equation is the government expenditure equation which assumes that all the taxes revenues are spent in consumption, which means that there is no public deficit. This expenditure
is realised in fixed ratios between each of the goods:

Where μi is the share of the ith good in government expenditure (exogenous).
The investment and saving are considered as follow. The household savings and the government fiscal balance can be defined in terms of its average propensities to save:


where:
Sp: household savings
Sg: government savings
ssp: average propensity for savings by the household (exogenous)
ssg: average propensity for savings by the government (exogenous)
The relation between investment and savings is defined by the economic identity I=S, thus the investment derives from the savings of households and government plus the current account balance,

where:
: demand for the ith investment good
Sf: current account deficits in foreign currency terms (exogenous)
ε: foreign exchange rate
λi: expenditure share of the ith good in total investment (exogenous)
Since the recent addition of the government and investment and savings inside the model, some previous equations need to be modified. Thus, the new household and government demands functions are:


The last important characteristic of this standard CGE model is the presence of the external sector, this extension makes possible to switch from a closed model to an open one. Therefore, is assumed that the export and import prices quoted in foreign currency terms are exogenous, that is, a small country without enough market shares to be able to influence in the world prices:

where:
and
are the export and import prices, both in terms of foreign currency and exogenous, and
is the export price in terms of domestic currency.
Additionally, the Balance of Payments is assumed in equilibrium, where Ei are the exports of the ith good.

Since the standard CGE model includes the consumption both domestic and imported goods, we have to assume that exist difference between good produced in the domestic economy and the ones that are imported. At this point, we use Armington's assumption. The Armington composite goods have a nested consumption structure, since assumes that the imported goods are not consumed or used directly. Instead of this, the composite good comprises imports and the corresponding domestic goods, whose proportions are determined by the elasticity of substitution. The Armington composite good is defined as follow:

where:
Di: the ith domestic good
Qi: the ith Armington composite good
γi: scaling coefficient in the Armington composite good production funcion (exogenous)
δmi, δdi: input share coefficients in the Armington composite good production function (exogenous)
ηi: parameter defined by the elasticity of substitution (exogenous) (ηi =(σi − 1)/σi, ηi ≤ 1)
σi: elasticity of substitution in the Armington composite good production function and the demand functions for imports and the domestic good:

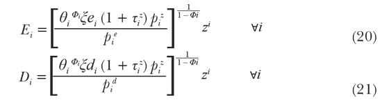
The last point on international trade is to split the production process between imported and domestic goods. This production is described by a constant elasticity of transformation (CET) function, where, according on the relative price between exports and domestic goods, the supply for each of these markets changes:

where:
Zi: gross domestic output of the ith good
: production tax rate on the ith gross domestic output (exogenous)
θi: scaling coefficient of the ith transformation (exogenous)
ξei, ξdi: share coefficients for the ith good transformation (exogenous)
Φi: parameter defined by the elasticity of transformation (exogenous)
Finally, impose the marketclearing conditions to assure the equilibrium in all the markets. The first equation is for the Armington composite goods and the second one is the factor marketclearing condition:

Equation 24 is the factor marketclearing condition, that is, total demand for hth factor by firms must be equal to total endowments of hth factor, assumed to be given in the economy.