ANEXO 1
TERCER CUESTIONARIO
1. ¿Cuál es la diferencia entre un problema de control óptimo y uno de cálculo de variaciones?
2. a) Tanto en cálculo de variaciones como en teoría de control ¿cuáles son las condiciones suficientes de segundo orden?
b) ¿Para qué sirven?
3. ¿Cuál es el papel de las condiciones de transversalidad en un problema de optimización dinámica?
4. a) ¿Qué es una funcional?
b) ¿Cuáles de las siguientes son funcionales y por qué?

5. Explica lo más claramente posible en qué consiste un problema de optimización dinámica y qué es lo que se busca como solución utilizando el cálculo de variaciones.
6. ¿Para qué tipo de problemas funciona muy bien el hamiltoniano en tiempo corriente? ¿Por qué?
7. ¿Cuál es la diferencia entre una variable de estado y una de control en un problema de control óptimo?
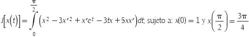
8. a) Encontrar la función que hace que el valor de J[x(t)] sea óptimo si:

b) Determinar si es un máximo o un mínimo
c) Escribe el problema como un problema de control (no lo resuelvas)
9. Encontrar la función que hace que el valor de J[x(t)] sea óptimo si:

(Recuerda que conviene despejar u de la condición necesaria para el hamiltoniano.)
ENTREVISTA
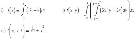
1. a) Dadas las siguientes expresiones, determinar cuáles son funcionales y cuáles son únicamente funciones (en caso de sólo ser relaciones, justificarlo).

considerando que x y y son variables independientes,

b) Determinar el dominio y el rango de cada una de las expresiones anteriores.
c) Con base en la respuesta dada en el inciso anterior, ¿cambiaría alguna de las respuestas del inciso a? En caso positivo, ¿en qué consistirían dichos cambios?
d) Dada una expresión analítica como en este ejemplo, ¿cómo hacer para determinar si es sólo una relación o si es función, o bien si es funcional?
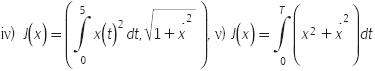
2. Dar tres ejemplos de funcionales. Justificar que sean funcionales.
3. i) ¿Qué es una integral de línea? ¿Habías estudiado este concepto en cursos previos?
ii) ¿Cómo puede calcularse una integral de línea? En cursos previos, ¿habías calculado integrales de línea?
iii) ¿Cuál es la representación analítica de una trayectoria? ¿Las habías estudiado en cursos previos?
iv) Dada una funcional, ¿de qué manera se puede relacionar con una trayectoria?
v) ¿Cuál es la diferencia entre una funcional y una trayectoria?
4. a) Encontrar los extremos de las siguientes funcionales y verificar que para cualquier otra trayectoria que supusiéramos solución (proponer al menos dos), el valor de la funcional para estas trayectorias es mayor (en el caso de mínimo) o menor (en el caso de máximo):

c) Intuitivamente, ¿qué quiere decir que dos trayectorias son "vecinas"?
5. Dibujar en un plano cartesiano:
i) Las posibles soluciones al problema de optimización, señalando la que consideras óptima.
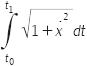
ii) Si se quisiera resolver el problema de min
(que representa la longitud de una curva entre los puntos P (t1, x(t1)) y Q (t2, x(t2))), intuitivamente, ¿cuál sería la solución óptima? Grafícala.
iii) En el inciso anterior, ¿qué tiene que ver la solución óptima con el integrando de la funcional asociada?, ¿podría ser que la trayectoria óptima estuviera en el lugar geométrico que representa el integrando o no tiene nada que ver? Justifica brevemente.
iv) Del mismo inciso ii, puede mostrarse que es un mínimo. ¿Cómo podemos interpretar geométricamente este hecho?
v) De los incisos anteriores: si queremos optimizar una funcional, necesitamos un criterio que generalmente queda implícito en la funcional. ¿Cuál es dicho criterio? (Sugerencia: observar con detalle el segundo inciso de esta pregunta.)
vi) Dar un ejemplo de una funcional que se quiera optimizar, indicando cuál es el criterio según el cual se busca la optimización.
6. ¿De qué cambios específicos, al considerar el intervalo de tiempo en un problema de optimización dinámica, surgen las condiciones de transversalidad? Grafica los distintos casos.
i) Dado el siguiente problema de cálculo de variaciones:
Min
dado que x(t0) = x0 y x(t1) = x1, expresarlo como un problema de control.
ii) Plantear sin resolver las soluciones del problema del inciso anterior.
7. En teoría de control:
i) ¿Qué es una variable de estado y qué es una variable de control?
ii) ¿Cómo puedes saber cuál es la variable de estado y cuál es la de control?
8. ¿Qué es lo que más se te ha dificultado para:
i) Entender bien el concepto de funcional?
ii) Resolver problemas de optimización con funcionales?
iii) Determinar las condiciones de transversalidad?
9. ¿En general, qué conceptos del cálculo de variaciones o de la teoría de control te han costado más trabajo construir? ¿Por qué?
10. ¿Podrías construir a partir del concepto de funcional los conceptos que tienen que ver con los principios necesarios, suficientes y de transversalidad? ¿O simplemente, los conoces de memoria? ¿A qué crees que se debe esto?
11. ¿Qué sugerencias darías para mejorar la enseñanza de los conceptos que aparecen en cálculo de variaciones o teoría de control?