Anexo A
Simulación de variables aleatorias α-estables
El algoritmo para generar variables aleatorias α-estables estandarizadas Z ~ S1 (α, β) propuesto por primera vez en 1976 por Chambers-Mallows-Stuck es el siguiente:
Teorema 1. (simulación de variables aleatorias estándar Z ~ S1 (α, β)). Sean Θ y Y dos variables aleatorias independientes. Si la variable aleatoria Θ se distribuye uniforme en el intervalo
y la variable aleatoria Y se distribuye exponencial con media unitaria, entonces:

donde 
Para generar variables aleatorias α-estables estándar y simétricas Z ~ S1 (α) se puede utilizar el algoritmo siguiente:
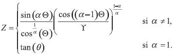
Corolario 1. (Simulación de variables aleatorias estandarizadas y simétricas Z~S1 (α)). Sea Z ~ St (α) , entonces:

Asimismo, para generar variables aleatorias α-estables Y~S1(α, β, γ, δ) se puede utilizar el algoritmo siguiente:
Corolario 2. (Simulación de variables aleatoriasY~S1(α, β, γ, δ)). Sea Y~S1(α), entonces:
