Abreviaturas y siglas
1,25(OH)2D |
calcitriol |
25(OH)D |
calcifediol |
AIE |
asma inducida por ejercicio |
C-ACT |
prueba de control del asma para niños |
CVF |
capacidad vital forzada |
ERN |
especies reactivas de nitrógeno |
ERO |
especies reactivas de oxígeno |
FeNO |
fracción de óxido nítrico exhalada |
GSH |
glutatión |
GSS |
glutatión oxidado |
GSt |
glutatión total |
IgE |
inmunoglobulina E |
IU |
unidades internacionales |
IVD |
insuficiencia de vitamina D |
PCRas |
proteína C reactiva de alta sensibilidad |
PRBM |
prueba del reto bronquial con metacolina |
SVD |
suficiencia de vitamina D |
TFEM |
tasa de flujo espiratorio máximo |
Th1, Th2, Th17 |
células T cooperadoras 1, 2 y 17 |
VEF1 |
volumen de espiración forzada en el primer segundo |
Introducción
El asma es un problema mundial de salud pública. Se ha estimado que en el mundo 334 millones de personas sufren de asma y, contrario a lo que se tenía establecido (que esta patología tenía cifras de prevalencia más altas en países de altos ingresos o industrializados), en la actualidad son los habitantes de países en desarrollo los más afectados, donde también la incidencia está creciendo de manera notable.1 Se ha planteado que este incremento sustancial anual está directamente relacionado con cambios en la dieta, como menor ingesta de frutas y verduras frescas, aunado al incremento en el consumo de harinas refinadas, carnes rojas y grasas saturadas.2
El asma es una enfermedad que cursa con inflamación crónica del tracto respiratorio. Durante el asma, el cuerpo se encuentra sometido a estrés oxidativo. Esto ha conducido a pensar que la ingesta de altas cantidades de vitaminas antioxidantes, ya sea a través del consumo de frutas y verduras o de suplementos alimenticios tendrá un efecto favorable en el curso de esta enfermedad. El objetivo de este trabajo es comentar los resultados de los ensayos observacionales y experimentales llevados a cabo en diferentes partes del mundo, sobre el efecto de las vitaminas antioxidantes en el asma para ofrecer herramientas que ayuden en la reflexión sobre la decisión de prescribir o no algún suplemento vitamínico como adyuvante en el control del asma.
Se realizó una búsqueda exhaustiva de artículos relacionados con el efecto de las vitaminas antioxidantes en el asma, publicados entre 1979 y 2016. Esta se llevó a cabo entre junio y agosto de 2017. Como motores de búsqueda se emplearon Google y Google Scholar. Las bases de datos utilizadas fueron PubMed y The Cochrane Library. Los siguientes términos fueron incluidos en la búsqueda: “antioxidant vitamins and asthma”, “antioxidant vitamin and asthma in randomized controlled trial”, “oxidative stress and asthma” y “antioxidant vitamins and asthma clinical assays”. En los ensayos revisados y comentados participaron desde 24 hasta 6617 pacientes voluntarios.
Asma y estrés oxidativo
La respuesta inflamatoria en la vía aérea se activa ante estímulos como agentes alérgenos, la temperatura ambiental, tabaco, bacterias o virus, infecciones respiratorias o estímulos mecánicos como el ejercicio.3 Muchas de las células involucradas en este proceso (eosinófilos, neutrófilos, monocitos y macrófagos) generan especies reactivas de oxígeno (ERO), como los superóxidos (O2 -).4,5,6,7 Estos al ser eliminados por la enzima superóxido dismutasa generan peróxido de hidrógeno (H2O2). Ambas especies químicas forman radicales libres potentes en los sistemas biológicos al reaccionar con biomoléculas, causando daño celular.8 Las ERO son compuestos altamente oxidantes que tienen la función de combatir al agente agresor. Además, la concentración de óxido nitroso en las vías aéreas de personas con asma se encuentra incrementada.6 En el esputo de personas con asma suele estar presente una cantidad mayor de ERO y especies reactivas de nitrógeno (ERN) que en aquel proveniente de personas sanas. Las ERO y ERN causan daño tisular al reaccionar con proteínas, ADN y lípidos del epitelio respiratorio: pueden inducir apoptosis, alterar la proliferación celular e interferir con funciones del sistema inmune en los pulmones y provocan broncoconstricción e incremento del moco.6 Además de los antioxidantes endógenos mencionados, el paciente asmático está sometido a radicales libres provenientes del ambiente.
Para contrarrestar el daño oxidativo, en el pulmón se desarrolla una defensa antioxidante que neutraliza a los radicales libres, evitando el daño celular. Estas moléculas pueden ser enzimas como superóxido dismutasa, catalasa y glutatión-peroxidasa o compuestos no enzimáticos como el glutatión, las vitaminas E y C y carotenos, principalmente.9,10 Muchos fluidos provenientes del pulmón contienen numerosos antioxidantes; estos también pueden clasificarse como endógenos (glutatión, enzimas antioxidantes) o exógenos (vitaminas A, C y E).11,12 Cuando las especies oxidantes superan a las especies antioxidantes se rompe la homeostasis redox y esto genera un estado conocido como estrés oxidativo. Se ha documentado extensamente que el estrés oxidativo es determinante en la severidad del asma.13,14
Se han realizado diferentes estudios para elucidar el papel de las vitaminas en el asma, entre ellos estudios transversales, longitudinales y ensayos clínicos controlados aleatorizados. Impresiona a simple vista que los resultados no son consistentes ni concluyentes y algunos contrastan entre sí, pues los resultados de un número importante de ensayos establecen que la ingesta o niveles de vitaminas en plasma no está relacionada con el asma, mientras que otros estudios afirman que el consumo de estos nutrientes tiene un efecto benéfico en el curso de la enfermedad, en ocasiones preventivo, terapéutico o protector. Por ejemplo, algunos estudios observacionales han sugerido que algunos micronutrientes, entre los que se encuentran las vitaminas C y E,15,16,17 presentan un efecto protector en pacientes con asma.
Se ha referido la no relación de la ingesta de algunas vitaminas con asma18 o, incluso, que la alta exposición a antioxidantes, entre ellos vitaminas, incrementa la susceptibilidad de padecer enfermedades alérgicas y asma al aumentar respuestas Th2 como resultado de la inhibición de la activación de Th1.12,19 Allen et al. realizaron en 2009 un metaanálisis a partir de estudios observacionales, con el objetivo de determinar si existe una asociación entre ingesta de las vitaminas A, C y E o sus niveles plasmáticos con el asma y la severidad de esta. Se encontró que una baja ingesta, tanto de la vitamina A como de la C, está asociada con incremento en la probabilidad de sufrir asma. Por el contrario se encontró que la ingesta de vitamina E parece no estar relacionada con la enfermedad.18
Vitamina D
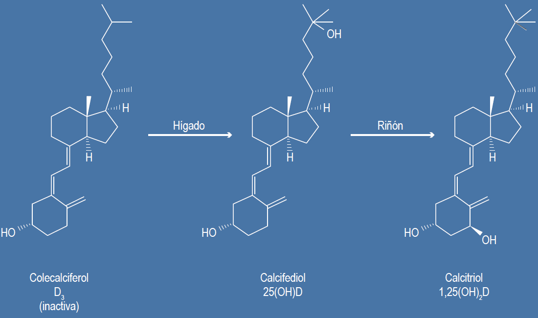
La vitamina D es uno de los nutrientes importantes sintetizados por el ser humano, para lo cual es necesaria la luz ultravioleta proveniente del sol. Por tanto, a diferencia de otros compuestos esenciales para el organismo, su principal fuente no son los alimentos. Hablar de vitamina D es referirse a un grupo de compuestos liposolubles, entre los más importantes están la vitamina D3 (colecalciferol) y la vitamina D2 (ergocalciferol). Ambas formas son biológicamente inactivas hasta que son dihidroxiladas en primera instancia por el hígado y posteriormente por el riñón. En el caso del colecalciferol, la primera hidroxilación produce el 25-hidroxicolecalciferol (25(OH)D), conocido también como calcifediol, el cual es un indicador del estatus de la vitamina D en el organismo.20 La hidroxilación del calcifediol por el riñón produce 1,25-dihidrocolecalciferol o calcitriol (1,25(OH)2D), el cual es la forma activa más potente de la vitamina D (Figura 1).21,22

Figura 1 Activación metabólica de la vitamina D3 tras ser hidroxilada sucesivamente por el hígado y el riñón. La cuantificación del calcifediol en plasma es un indicador del estatus de vitamina D en el organismo.
El calcitriol, además de ser sintetizado en el riñón, es producido también en células del sistema inmune tales como monocitos, macrófagos y en células T y B activadas,23 por lo que se ha sugerido que podría desempeñar un papel importante en el curso del asma. Asimismo, se conoce que este compuesto tiene efectos en el músculo liso de las vías respiratorias: suprime la proliferación de las células bronquiales, así como la secreción de moco. Se ha sugerido que este efecto es ocasionado por la disminución en la expresión de MMP9 y ADAM33, genes que modulan la remodelación de las vías aéreas y se relacionan con esta vitamina. También se ha señalado una asociación inversa entre la cantidad de 25(OH)D y el uso de corticosteroides inhalados o inhibidores de los leucotrienos.20
Se han realizado diversos ensayos con el objetivo de determinar si la ingesta o los niveles basales de vitamina D tienen un efecto en la evolución del asma. A la fecha no es posible afirmar categóricamente que el uso de suplementos de vitamina D tenga un efecto positivo en el desarrollo del asma o en la respuesta al tratamiento de elección, puesto que los resultados de los ensayos son contrastantes.24
En un análisis retrospectivo secundario realizado a partir de dos estudios a doble ciego, aleatorizados y controlados con placebo, Majak et al. encontraron que, en 36 niños asmáticos sometidos a inmunoterapia específica con alérgenos, los síntomas del asma disminuían al aumentar la concentración de 25(OH)D en suero.25
También se ha sugerido que la vitamina D puede proteger contra los efectos secundarios en hueso ocasionados por los corticosteroides en niños, fármacos de primera línea para el tratamiento del asma.26
La variabilidad en la concentración plasmática de vitamina D entre individuos a través de las diferentes estaciones del año y, por tanto, la dificultad para afirmar el efecto benéfico de la vitamina D en el control del asma quedó de manifiesto en el ensayo realizado por Lewis et al. (estudio a doble ciego, aleatorizado y controlado por placebo),27 en el que participaron 30 pacientes entre los seis y 17 años con diagnóstico de asma crónica persistente, a quienes se les administraron 1000 IU/día de D3 o un placebo durante un año. Se realizaron tres seguimientos, el primero en invierno, el segundo en verano y el tercero nuevamente en invierno. Se encontró que la cantidad de D3 administrada durante el ensayo fue considerablemente mayor a la ingesta diaria recomendada.28,29 Aun así, la D3 suministrada resultó insuficiente para que los sujetos de estudio alcanzaran una concentración plasmática de 25(OH)D > 30 ng/mL, lo cual representa un nivel suficiente de vitamina D en suero.30 Además, las diferencias en los niveles séricos de esta vitamina difieren significativamente en verano e invierno. Al comparar el grupo placebo con el tratado no se encontraron diferencias en la puntuación de la prueba de control de asma ni en la función pulmonar estimada a través de espirometría. Esto se adjudicó a la dificultad de los sujetos de estudio para alcanzar una dosis suficiente de vitamina D, a pesar de la elevada cantidad de este nutriente suministrado diariamente en el estudio, debido a factores que no se pueden controlar como color de piel, ingesta en la dieta y tiempo de exposición al sol.
Recientemente, en un ensayo en el que se estudiaron 79 niños con sintomatología respiratoria baja recurrente o persistente se reportó que los niveles de 25(OH)D fueron más bajos durante la temporada otoño-invierno que en la temporada primavera-verano y también que la insuficiencia de vitamina D (25 (OH)D < 50 nmol/L) fue más común en los niños con eosinofilia e hiperreactividad bronquial. Aunque ya se ha documentado la variación estacional de los niveles de vitamina D, vale la pena estudiar si las exacerbaciones asmáticas de invierno están relacionadas con menores niveles de este micronutriente y también sería conveniente diseñar estudios para evaluar causalidad entre la insuficiencia de vitamina D y la aparición de eosinofilia e hiperreactividad bronquial en sujetos sin y con fondo atópico.31
Un estudio transversal prospectivo y por cohortes tuvo como objetivo medir la asociación entre las concentraciones de diversos nutrientes en suero, entre ellos la vitamina D, y la prevalencia de asma, atopia e hiper-respuesta bronquial en niños de cuatro y ocho años de edad. La asociación entre la vitamina D en suero y asma fue dependiente de la edad, pues en niños de cuatro años, los síntomas de la enfermedad disminuyeron al incrementarse la concentración sérica de 25(OH)D, mientras que en los de ocho años, un incremento en la concentración de vitamina D sérica se asoció con mayor severidad del asma, siendo este el primer trabajo que reporta este efecto.32
También se ha investigado el efecto de la ingesta de vitamina D por mujeres embarazadas en la presencia o no de asma en sus hijos. Dos estudios aleatorizados y controlados por placebo33,34 mostraron que si bien eran menos los niños cuyas madres consumieron vitamina D y que desarrollaron asma o presentaron episodios de sibilancias o sibilancias persistentes entre uno y tres años de vida, la diferencia con los niños cuyas madres recibieron un placebo no fue estadísticamente significativa. En ambos ensayos y pese a que la cantidad de vitamina D administrada fue muy diferente (2800 UI/día y 4400 UI/día), la cantidad circulante de 25(OH)D se incrementó respecto a las mujeres que ingirieron el placebo. Cabe hacer mención que las dosis de vitamina D usadas en estos ensayos fueron mucho mayores a las recomendadas comúnmente. También se ha reportado que hasta 60 % de los episodios de sibilancias son transitorios y no están relacionados con desarrollo futuro de asma, principalmente cuando ocurren entre la edad de uno y tres años,35 que coincide con la edad de participantes en las dos investigaciones indicadas.
Los resultados inconsistentes entre estos y otros estudios se deben principalmente a que de todos los nutrientes, la vitamina D es uno de los que puede presentar mayor variabilidad en los seres humanos debido a que su principal fuente no es la dieta, como sucede con la mayoría de las vitaminas, sino la síntesis en la piel catalizada por los rayos UV-B provenientes de la luz solar. Debido a esto, los hábitos de exposición al sol y uso de bloqueadores solares influyen en la cantidad basal de 25(OH)D, manteniendo valores fluctuantes la mayor parte del tiempo. Aunado a esto, la latitud, así como la pigmentación de la piel inciden directamente en la producción de vitamina D.22 Además, la mayoría de los ensayos no han tomado en cuenta que los niveles disminuidos de vitamina D pueden ser ocasionados por la administración concomitante de corticosteroides, ya que diversos estudios han demostrado que los glucocorticoides estimulan la expresión del mRNA de la vitamina D-24-hidroxilasa, enzima que degrada 25(OH)D y 1,25(OH)2D.36,37
También deben considerarse los problemas que la sobreingesta de vitamina D puede acarrear. Schauber et al. en 2007 observaron que un cultivo de queratinocitos tratado con vitamina D incrementó la producción de catelicidina, un péptido antimicrobiano. Un incremento sustancial en esta producción puede tener un efecto proinflamatorio y ocasionar cambios en la microbiota, lo que deriva en un efecto negativo para el asma, puesto que la microbiota es una barrera de defensa contra patógenos en todo el epitelio, incluyendo el respiratorio.38,39
Aunque varios estudios sugieren mejoría en los síntomas del asma al administrar grandes dosis de vitamina D, se debe tener cautela al afirmar que esta es útil en el tratamiento del asma, pues en general los ensayos se han realizado con un número relativamente pequeño de pacientes y han sido de corta duración. Se requieren investigaciones con niveles controlados de vitamina D en las que se evalúe la asociación de niveles séricos y marcadores clínicos, inmunológicos y bioquímicos, con el nivel de remisión de los síntomas y signos y también con evolución de la función pulmonar.40
Vitamina C
La vitamina C o ácido ascórbico es un antioxidante potente (Figura 2). Además, presenta actividad antiinflamatoria y está involucrada en el metabolismo de prostaglandinas y la histamina, que a su vez participan en la broncoconstricción presente en el asma.2 Existe un gran número de ensayos que asocian una ingesta adecuada de vitamina C con un efecto favorable en sujetos que padecen asma, aunque existen otros estudios que indican que el ácido ascórbico no provee beneficio alguno a los pacientes asmáticos. Algunos ensayos relevantes se citan a continuación.
Cuando se administra como coadyuvante de un tratamiento con corticosteroides, la vitamina C puede facilitar que la dosis de estos se reduzca, como fue demostrado en un ensayo de cuatro meses de duración. Si bien al administrar 1 g/día de vitamina C el nivel del VEF1 no sufrió cambios, la necesidad de corticosteroides inhalados disminuyó en el grupo que tomó ácido ascórbico.41
En 2009, Biltagi et al. realizaron un ensayo doble ciego, aleatorizado y controlado por placebo, en el que se incluyeron ácidos grasos omega-3 y cinc, además del ácido ascórbico.42 El estudio fue llevado a cabo en niños entre siete y 10 años con diagnóstico de asma. Su duración fue de 38 semanas. La dosis de vitamina C administrada fue de 200 mg/día y se encontró que esta fue suficiente para mejorar significativamente la función pulmonar y las pruebas de control del asma de los infantes, además de disminuir los niveles de marcadores inflamatorios en esputo.
Se ha analizado también el efecto de la vitamina C en la broncoconstricción inducida por ejercicio que presentan las personas con asma. Tecklenburg et al. en un ensayo a doble ciego aleatorizado administraron a un grupo 1500 mg/día de ácido ascórbico y al otro grupo, un placebo, durante dos semanas. Encontraron que la vitamina C redujo en 48 % la caída del volumen espiratorio forzado posejercicio comparado con el placebo, brindando un efecto protector contra la broncoconstricción.43
Otros estudios concluyeron que la ingesta de suplementos de vitamina C no aporta algún beneficio clínico a los pacientes con asma.44,45 En un ensayo aleatorizado controlado por placebo, la administración de 1 g/día de vitamina C durante 16 semanas no produjo efecto clínico alguno en el control del asma.46 Al igual que este, otros estudios reportaron que no existe evidencia suficiente para incluir a la vitamina C en el tratamiento del asma.45,47,48 En cuanto al asma inducida por ejercicio (AIE), se ha especulado que la combinación del ácido ascórbico con vitamina E brinda mayor beneficio que la administración de estas vitaminas por separado.49 Sin embargo, no existe evidencia contundente del beneficio de la administración concomitante de estos nutrientes en el AIE.49,50
Los resultados entre los estudios observacionales y los experimentales resultan contrastantes, por lo que Allen et al. realizaron en 2009 un metaanálisis sobre la asociación entre la ingesta o niveles en suero de las vitaminas A, C y E y el asma, basados en estudios observacionales reportados en distintas fuentes de 1950 a 2007. Analizaron 32 artículos que reportaban la asociación del asma con el ácido ascórbico. Se encontró que niveles bajos de ingesta dietética de esta vitamina o de su concentración sérica estaban relacionados significativamente con mayor probabilidad de sufrir asma. Asimismo, no hubo diferencia significativa entre la ingesta dietética media de vitamina C de pacientes asmáticos y no asmáticos, a diferencia de lo que se observó en los niveles séricos de esta vitamina. Estos fueron hasta 16.8 μmol/L más bajos en pacientes asmáticos. No se observó alguna asociación entre la ingesta o niveles en sangre de este nutriente y la severidad del asma. En cuanto a la reactividad de las vías aéreas, bajos niveles de ácido ascórbico se relacionaron en forma estadísticamente significativa con un incremento en la reactividad de las vías aéreas.18
Vitamina E
La vitamina E comprende un conjunto de ocho compuestos liposolubles, cuatro de los cuales son los tocoferoles α, β, γ y δ. Los otros cuatro compuestos son tocotrienoles α, β, γ y δ. Todos presentan propiedades antioxidantes.51 La forma más abundantemente distribuida en la naturaleza es el α-tocoferol (Figura 3).

Figura 3 Estructura química de los tocoferoles más abundantes en la naturaleza y fórmula general de los tocotrienoles. Estos compuestos en conjunto son lo que se denomina vitamina E.
La vitamina E en general presenta diferentes funciones, entre las que destaca la antioxidante, que ha motivado a distintos grupos de trabajo a investigar su efecto en enfermedades que se sabe tienen un origen o están relacionadas con estrés oxidativo, por ejemplo, el asma.51 Otra función asignada más recientemente a esta vitamina es fungir como un antiinflamatorio.
Se cree que la vitamina E es el antioxidante lipofílico más importante del pulmón. Además, se sabe que las células alveolares tipo II proveen al surfactante alveolar con vitamina E durante el ensamblaje intracelular. También se ha comprobado que una deficiencia transitoria de vitamina E provoca cambios reversibles en la expresión de marcadores pro y antiinflamatorios y reduce la síntesis de lípidos surfactantes en las células alveolares tipo II.52
La vitamina E puede ayudar a prevenir o disminuir los síntomas del asma disminuyendo el estrés oxidativo, la inflamación de las vías aéreas y la respuesta inmune Th2 al reducir la producción de interleucina 4 por las células mononucleares en sangre periférica.2
Existe información controvertida acerca de la eficacia de la vitamina E en asma. En estudios observacionales, esta ha demostrado poseer un efecto protector, mientras que en ensayos clínicos no se ha demostrado algún efecto de la vitamina E en el control del asma. Algunos de estos trabajos se exponen a continuación.
En 2008, se realizó en Australia un estudio transversal en el que se evaluó el efecto de un antioxidante endógeno (el glutatión, GSH) y uno exógeno (α-tocoferol) en el asma.53 Además, se midieron las formas oxidadas de estos compuestos: el glutatión oxidado (GSS) y la α-tocoferol quinona. En este ensayo llevado a cabo en adultos mayores de 18 años, participaron 44 pacientes diagnosticados con asma estable y 31 personas sanas; a todos se les extrajo sangre periférica y se les tomó una muestra de esputo inducido.
Al evaluar las concentraciones del antioxidante exógeno, el α-tocoferol se encontró disminuido en sujetos asmáticos respecto a los controles en plasma, sangre total y en esputo, sin encontrar una disminución estadísticamente significativa en este último. Por su parte, la forma oxidada de la vitamina E, la α-tocoferol quinona estuvo elevada en los tres fluidos de pacientes con asma comparados con los controles, siendo el aumento en sangre total el único estadísticamente significativo y que correlacionó con el control del asma.
Respecto al antioxidante endógeno, al comparar los valores del glutatión de pacientes asmáticos respecto a los no asmáticos se observó que el glutatión total (GSt) se encontró aumentado significativamente en esputo y que el GSS prevalecía sobre el GSH. En sangre periférica se registró un incremento de todas las formas de glutatión, sin que alguna alcanzara significación estadística. El incremento de GSt, GSH y GSS en el esputo de los pacientes con asma respecto a los controles deja de manifiesto el ambiente oxidante de las vías aéreas de las personas con dicha enfermedad.
Estos hallazgos llevaron a los investigadores a proponer que pudiera estar activándose un mecanismo adaptativo al estrés oxidativo que moviliza el α-tocoferol y el GSH circulantes hacia las vías respiratorias. La relevancia de este reporte radica en que los investigadores no solo midieron la defensa antioxidante en sangre periférica como la mayoría de los estudios, sino también en esputo, en el cual pueden encontrarse efectos directos de los oxidantes.
Mabalirajan et al. en 2009 evaluaron el efecto del α-tocoferol en la disfunción mitocondrial, usando un modelo múrido de asma. La administración de esta forma de vitamina E redujo la expresión de características del asma tales como la hiper-respuesta de las vías aéreas a metacolina, la inflamación de las vías aéreas y el estrés oxidativo en los pulmones; además, disminuyó la expresión de la lipogenasa 12/15 en células del epitelio bronquial (misma que degrada mitocondrias) y restableció las funciones mitocondriales.54
Gilliland et al., en 2003, mediante un estudio transversal llevado a cabo en pacientes entre 11 y 19 años con asma, descubrieron que una baja ingesta de vitamina E se asoció con déficit en el flujo de expiración forzada entre 25 y 75 % de la capacidad vital forzada (CVF). Sin embargo, estos resultados no son concluyentes, puesto que la ingesta de vitamina E y sus niveles no deben ser medidos “con precisión” a través un cuestionario de frecuencia de alimentos, como sucedió en ese caso.17
En un metaanálisis sobre la asociación entre vitaminas antioxidantes y su efecto en asma, Allen et al. reportaron que los resultados de los ensayos presentan gran heterogeneidad: no hubo diferencia significativa en los niveles de vitamina E en suero de pacientes con asma. No hubo relación entre las probabilidades de sufrir asma y una ingesta baja de vitamina E o de sus niveles en suero. Se observó una ingesta mucho más baja en quienes presentaron asma severa, pero no hubo diferencia en la media de los niveles en suero en comparación con los que padecían asma menos severa. No se observó asociación entre una ingesta de vitamina E baja y el riesgo de reactividad de las vías aéreas.18
En esta misma tendencia, un ensayo llevado a cabo por Pearson et al., doble ciego y controlado por placebo, explica que se administraron 500 mg/día de vitamina E durante seis semanas a 72 adultos británicos con asma.55 La ingesta de esta vitamina no produjo efecto significativo en el control del asma, por lo que se concluyó que los suplementos de esta vitamina no brindan un efecto benéfico a los pacientes con asma leve a moderada.
Muchos de los resultados dispares de los trabajos realizados para investigar el efecto de la vitamina E en el asma se pueden deber a la existencia de isoformas de esta.56,57 Berdnikovs et al. encontraron que el γ-tocoferol eleva la inflamación en un modelo experimental de asma y que incluso esta isoforma es capaz de inhibir el efecto antiinflamatorio del α-tocoferol, a través de una regulación directa de señales de células endoteliales durante el reclutamiento de leucocitos. En Europa predomina la ingesta de α-tocoferol, mientras que la de γ-tocoferol en Estados Unidos, lo que pudiera explicar en parte que en ensayos llevados a cabo en Finlandia e Italia la vitamina E haya reducido el asma, mientras que en Estados Unidos no. En diferentes partes del mundo, la ingesta de α y γ-tocoferoles es distinta.
Como se mencionó, las grandes diferencias en los resultados pueden deberse a la ingesta de una u otra isoforma de la vitamina , lo cual en la mayoría de estudios no se ha tomado en cuenta. En los observacionales, algo que ha dificultado obtener resultados consistentes es que la mayoría de las veces es complicado separar los efectos de nutrientes específicos, por ejemplo, aislar los efectos de las vitaminas E y C, debido a que dietas bajas en frutas y vegetales ocasionan una deficiencia tanto en la vitamina E como en la C, complicando determinar cuál de las dos es la que posee el efecto buscado, o ambas en conjunto.58
Vitamina A
La vitamina A es una vitamina liposoluble que posee tres formas activas: retinol, retinal y ácido retinoico, a estas en conjunto se les denomina retinoides (Figura 4). Existen también los compuestos denominados provitamina A, definidos como carotenoides, entre los que destaca el β-caroteno6 que puede ser transformado en vitamina A. Esta se acumula en las membranas celulares y subcelulares, en las que tiene una función esencial para mantener su estabilidad, influye en el crecimiento y reparación de las células epiteliales y al ser un antioxidante, elimina al anión superóxido y reacciona directamente con radicales hidroperoxilo, además evita la peroxidación lipídica de las membranas. Los carotenoides obtenidos de la dieta se han asociado con una función pulmonar mejorada y menor prevalencia de asma.12 Esta mejora en el asma se debe no solo a la capacidad de neutralizar especies reactivas de oxígeno formadas en el pulmón por mediadores inflamatorios, sino a efectos directos en el sistema inmune, ya que esta vitamina disminuye la regulación de la respuesta inmune Th2 incrementando la proliferación de células T reguladoras e inhibiendo a las células Th17.2
Por otro lado, en los adultos, la deficiencia de vitamina A ocasiona traqueobronquiolitis necrosante y metaplasia escamosa, reversibles siempre y cuando se restablezcan los niveles adecuados de vitamina A.59 Los cambios en el epitelio provocan que la barrera de protección contra virus y bacterias no sea eficiente, lo cual expone al huésped a infecciones y provoca un incremento de la reactividad bronquial. Tal situación se ha establecido en modelos experimentales de asma.59 Además, la hipovitaminosis A contribuye a un riesgo incrementado de muerte provocada por infecciones comunes.60
Además de la controvertida aplicación clínica de la vitamina A para contrarrestar los efectos del asma que se discutirá posteriormente, el ácido retinoico ha servido como un biomarcador para clasificar esta patología. En 2013, un análisis metabolómico desarrollado por Carraro et al. permitió distinguir entre los grados de severidad del asma de niños que la padecían y niños sanos. Se analizó mediante espectrometría de masas el condensado de aire exhalado de los individuos participantes en el estudio y se encontró que en los sujetos con asma severa un compuesto relacionado químicamente era el ácido retinoico. Contrario a esto, en sujetos sanos se encontró un compuesto relacionado químicamente con el ercalcitriol (vitamina D2).61 Esto es consistente con el papel del ácido retinoico y sus metabolitos en el proceso de inflamación y de remodelación de las vías respiratorias en asma, particularmente en las formas más severas.
En cuanto al efecto terapéutico que la ingesta de vitamina A puede tener en el curso del asma, no hemos encontrado resultados contundentes sobre el efecto protector de este nutriente en pacientes con asma. Existen ensayos en los que se evalúa la ingesta de suplementos alimenticios ricos en vitamina A o carotenoides, sin embargo, los demás componentes podrían estar ejerciendo algún efecto terapéutico, aditivo o sinérgico con los mencionados nutrientes, por lo que los resultados no son concluyentes.62,63 Los ensayos en los que se ha medido la ingesta de retinoles o carotenoides en plasma o a través de cuestionarios de frecuencia de ingesta de alimentos, arrojan resultados controversiales ya que en ocasiones no se ha encontrado efecto de estos nutrimentos sobre el asma.
La revisión sistemática y metaanálisis llevados a cabo por Allen et al. en 2009, evaluó 21 artículos que relacionaban a la vitamina A o sus componentes con el asma. Esta publicación pone de manifiesto que existe una evidencia consistente que asocia negativamente la ingesta de vitamina A con la probabilidad de padecer asma y con su estatus, pues se encontró que la ingesta de este nutrimento puede estar disminuida hasta 182 μg/mL al día en pacientes con asma, respecto a los pacientes no asmáticos. Este déficit del nutrimento mencionado equivale a 26 % en hombres y 30 % en mujeres de la ingesta diaria recomendada. Por el contrario, no se encontró asociación significativa entre la ingesta de vitamina A o de sus componentes y la reactividad de las vías aéreas. El asma severa se relacionó significativamente con una ingesta menor de vitamina A de hasta 50 % de la ingesta diaria recomendada en hombres y 57 % en mujeres, en relación con pacientes con asma moderada.18
Un estudio realizado en Nepal indicó que no había diferencia significativa entre los resultados para VEF1 o CVF en los niños cuyas madres fueron suplementadas durante el embarazo con vitamina A respecto a aquellos cuyas madres recibieron placebo. Asimismo, ni la suplementación con vitamina A o β-carotenos a mujeres embarazadas o a los niños de preescolar se asoció con asma en la adolescencia.64 Un año después, el equipo de trabajo concluyó que la administración de un suplemento de vitamina A en la infancia temprana no se asocia con un menor riesgo de asma en una región donde prevalece la deficiencia crónica de este nutriente.65
El AIE fue blanco de dos ensayos conducidos por Neuman et al.. En el primero de ellos se evaluó la capacidad de un suplemento alimenticio del alga Dunaliella bardawil, rica en una mezcla de isómeros del β-caroteno además de otros carotenoides, para prevenir esta afección. Treinta y ocho pacientes con AIE recibieron el suplemento que aportaba 64 mg/día de la mezcla de carotenos o un placebo; 53 % fue protegido contra la AIE.62 Un año después, el mismo grupo de trabajo reportó que tras la ingesta diaria durante una semana de un suplemento alimenticio que aportaba 30 mg de licopeno, 55 % de los pacientes con AIE que participaron en el ensayo quedaron protegidos contra esta patología, quienes presentaron niveles significativamente más altos de este antioxidante. Curiosamente, pese a que la fórmula del suplemento alimenticio incluía tocoferoles y carotenoides en menor proporción, estos no se encontraron elevados en plasma de los individuos con AIE, por lo que el efecto protector fue adjudicado únicamente al efecto antioxidante del licopeno.63
Entre los ensayos en pacientes pediátricos destaca el trabajo de Patel et al., realizado en 861 niños seguidos desde el nacimiento. A través de cuestionarios de frecuencia del consumo de alimentos, a la edad de cinco años se midió su ingesta de vitaminas A, C y E. También se midió el nivel de IgE. La ingesta de β-caroteno se asoció con menor riesgo de sensibilización alérgica y en forma negativa con los niveles de IgE. En contraste, la vitamina E se relacionó con riesgo mayor de sensibilización alérgica.66
En el ensayo de Arora et al.,67 efectuado en Nueva Dehli con 35 niños con edades entre dos y 12 años, diagnosticados con asma, se encontró que niveles de vitamina A menores a 20 μg/dL fueron cuatro veces más comunes en los niños con asma que en los niños sanos. Además, los niveles de esta vitamina en suero de niños con asma fueron significativamente más bajos que en los controles.
Pero no todos los resultados de los ensayos realizados apoyan el uso de vitamina A en el tratamiento del asma. Por ejemplo, en un modelo múrido de asma, Schuster et al. encontraron que una dieta deficiente en vitamina A (0-0.2 IU/g) disminuía el desarrollo de asma en el modelo, mientras que la alta ingesta del nutriente (250 IU/g) provocaba el desarrollo de asma. Además, los ratones alimentados con esta dosis de vitamina A desarrollaron hiperreactividad pulmonar severa e inflamación asociada con eosinofilia de las vías respiratorias y citocinas Th2.59
Estos resultados coinciden con el trabajo de quienes desarrollaron un ensayo epidemiológico en el que encontraron que administrar multivitamínicos, con la vitamina A entre sus componentes, como suplemento alimenticio en los primeros seis meses de vida se relaciona con mayor riesgo de desarrollar asma.68
Son necesarios estudios aleatorizados y controlados por placebo para evaluar el efecto de los retinoles o carotenoides en el curso del asma. Ensayos como el de Checkley et al.64,65 son una rara excepción. Estos permitirán determinar con precisión si la ingesta de algún suplemento de estos nutrientes posee algún efecto sobre el curso de la enfermedad asmática.
Conclusiones
El estrés oxidativo involucra la ruptura del equilibrio redox y se ha relacionado con el asma. Por tanto, cabía esperar que la ingesta de vitaminas antioxidantes tendría algún efecto clínico terapéutico en dicha patología. Los trabajos revisados aquí demuestran que la evidencia es insuficiente para recomendar el uso de cualquier suplemento vitamínico para la prevención o tratamiento de asma (Cuadro 1). Los resultados obtenidos dependen del tipo de investigación; numerosos estudios aleatorizados controlados por placebo no sostienen resultados similares a los de investigaciones observacionales. Un sesgo importante en los primeros es la manera de medir los nutrientes ingeridos por los participantes del ensayo. Generalmente, los alimentos ricos en las vitaminas antioxidantes a evaluar son también ricos en algunos otros nutrimentos con propiedades potencialmente benéficas como los polifenoles (que tienen propiedades antioxidantes), magnesio o selenio, por mencionar algunos. Es posible también que las vitaminas antioxidantes presenten efectos sinérgicos, aditivos o antagónicos con algunos de estos.
Cuadro 1 Estudios controlados por placebo y aleatorizados

25(OH)D = calcifediol, C-ACT = prueba del control del asma para niños, FeNO = fracción de óxido nítrico exhalada, IgE = inmunoglobulina E, IVD = insufi ciencia de vitamina D, PCRas = proteína C reactiva de alta sensibilidad, PRBM = prueba del reto bronquial con metacolina, SVD = sufi ciencia de vitamina D, TFEM = tasa de fl ujo espiratorio máximo, VEF1 = volumen de espiración forzada en 1 segundo
Es importante recordar que las asociaciones presentes en los estudios observacionales y en los llevados a cabo con modelos animales no necesariamente se reproducen en los estudios clínicos y, por tanto, no deben ser usados como base para indicaciones clínicas.
Al no existir una evidencia fuerte del beneficio de los suplementos vitamínicos en el asma basada en ensayos clínicos y considerando que estos incluso pueden inducir situaciones como riesgo aumentado de cáncer, disminución potencial de la microbiota y efectos proinflamatorios, parece razonable recomendar a los pacientes no abusar de estos suplementos y procurar una dieta saludable y balanceada que incluya frutas y verduras frescas en abundancia y considerar la administración de suplementos vitamínicos a personas con niveles bajos o con franca insuficiencia.
El efecto de la ingesta de nutrientes vitamínicos varía entre zonas geográficas y no se ha establecido si isoformas de las vitaminas o aspectos farmacogenéticos inciden en la respuesta de las poblaciones en ensayos controlados con placebo y desarrollados en periodos de tiempo mayores a un año.










nueva página del texto (beta)





