Clasificación JEL: C14, J16, J31, J71, O54.
Introducción
Las disparidades de género en los ámbitos económico y social han atraído una gran atención entre académicos y diseñadores de política pública en todo el mundo, y México no es la excepción. El caso del país es interesante por varias razones. La primera es que de acuerdo con el índice de brechas de género globales (López-Carlos y Zahidi, 2005), entre los 56 países estudiados México se encuentra en el lugar número 52, sólo por encima de India, Corea, Jordania, Pakistán, Turquía y Egipto. Así, en el subconjunto de países analizados, México se encuentra en el último lugar de América Latina en materia de igualdad de género. La segunda razón es que, a pesar de su nivel de desarrollo, las tasas de participación laboral de las mujeres mexicanas se encuentran entre las más bajas de la región y del mundo, aunque su participación ha aumentado considerablemente en las últimas dos décadas: ha pasado de 22% en 1990 a 40% en 2010, de acuerdo con los datos censales. Por último, la brecha salarial de género ha decrecido gradualmente en los últimos 30 años, pero poco se sabe del papel que en esa dinámica ha desempeñado el sesgo de selección en la participación laboral de las mujeres, así como el del comportamiento de la brecha a lo largo de la distribución y su evolución en el tiempo. El objetivo de este artículo es arrojar luz sobre estos dos últimos aspectos de la brecha salarial de género en México.
Las brechas salariales de género en México se han estudiado asiduamente. Entre los primeros análisis de las brechas salariales se encuentra el de Alarcón y McKinley (1994), quienes utilizaron la muestra urbana de la Encuesta Nacional de Ingreso y Gasto de los Hogares (ENIGH) de 1984, 1989 y 1992. En sus trabajos encontraron que en 1984 las mujeres ganaban 23.3% menos que los hombres; hacia 1989 esta cifra había aumentado a 28.4%, y en 1992 disminuyó a 25.3%. Siguiendo la línea de investigación de Oaxaca (1973) y Blinder (1973), estos autores realizaron una descomposición de la brecha salarial en la media, mediante la estimación de ecuaciones de Mincer (1974), para analizar tanto la parte de la brecha originada por características observables como la parte provocada por los retornos a tales características. Encontraron también que sólo 27.5% de la brecha se explicaba por diferencias en capital humano en 1984, mientras que en 1989 la proporción fue de 14.4% y en 1992 de 21.2%; es decir que entre 70 y 85% de las brechas se debían a diferencias en los retornos al capital humano, lo cual podría sugerir discriminación en contra de las mujeres o diferencias en productividad que no fueron controladas en la regresión.
Por su parte, Brown, Pagan y Rodríguez-Oreggia (1999) analizaron los cambios en las brechas salariales entre 1987 y 1993 con base en datos de los terceros trimestres de la Encuesta Nacional de Empleo Urbano. Ellos realizaron una descomposición de Wellington (1993) de los cambios de la brecha en el tiempo, y una descomposición de Oaxaca-Blinder para analizar el efecto de la estructura ocupacional en la brecha. Encuentran que la brecha creció en el periodo de un nivel inicial de 20.8%, en 1987, a 22%, en 1993. Este crecimiento en la brecha se debió a cambios en las dotaciones, pues a causa de los cambios en los retornos la brecha se hubiese cerrado. Los autores también encontraron que la mayor parte de la brecha se generó por diferencias en retornos. Sin embargo, lo interesante de sus hallazgos es que la inclusión de controles ocupacionales aumenta la proporción de la brecha explicada por diferencias a los retornos, lo cual, según explican, puede ser resultado de la poca desagregación de las categorías ocupacionales. Es decir, la segregación ocupacional disminuye la brecha salarial en México, lo cual contrasta con los resultados de otros países (Blau, Simpson y Anderson, 1998).
Más recientemente, Pagan y Ullibarri (2000) analizaron la desigualdad salarial entre hombres y mujeres por medio del índice de Jenkins, corrigiendo por selección en la participación laboral de las mujeres. Con base en datos de la ENEU del tercer trimestre de 1995, encontraron que existe mayor desigualdad entre personas con alta y baja escolaridad, así como entre aquellas con mayor experiencia. Por su parte, elaboraron una descomposición del tipo Oaxaca-Blinder mediante la ENIGH 2000, corrigiendo por sesgo de selección con la metodología de Heckman (1974, 1979). Los autores fueron los primeros en incluir en su análisis zonas urbanas y rurales. Hallaron que 85% de la brecha se debe a diferencias en retornos y que ésta es mayor en zonas rurales; de hecho, el efecto de las dotaciones otorga una ventaja a las mujeres. Por último, García y Mendoza (2009) elaboraron una descomposición de Oaxaca-Blinder sin corregir por sesgo de selección y usando datos de la ENOE 2006. Su hallazgo fue una brecha salarial de 12.4% y, al contrario que el resto de la bibliografía, determinaron que 87.6% de la brecha se explica por diferencias en las dotaciones, según la cual el 12.4% restante corresponde a diferencias en los retornos a éstas.
Los últimos años han visto todavía más investigación respecto de las brechas salariales con otro conjunto de herramientas para su descomposición. Calónico y Ñopo (2008) utilizan la ENEU de 1994 a 2004 para hacer un análisis con emparejamiento en las dotaciones de hombres y mujeres. Su objetivo principal es analizar el papel de la segregación ocupacional horizontal y jerárquica en las brechas salariales. Ellos encuentran que la eliminación de la segregación jerárquica disminuiría la brecha en 5 puntos porcentuales, mientras que la eliminación de la segregación horizontal aumentaría la brecha en 6 puntos porcentuales. La segregación jerárquica tiene un papel decreciente en el periodo, mientras que la horizontal tiene un papel creciente. Por su parte, Popli (2008) elabora un comparativo de distintas descomposiciones utilizando las ENIGH de 1984, 1994, 1996 y 2002. La principal contribución de este artículo es la introducción de una descomposición semiparamétrica que permite analizar la brecha en la distribución. Encuentra evidencia de que los cambios en las brechas salariales se deben sobre todo a la parte baja de la distribución. Además halla clara evidencia de "pisos pegajosos" y evidencia sugestiva de "techos de cristal", puesto que la parte no explicada de la brecha salarial es mayor en la parte baja y alta de la distribución, aunque en la parte alta de la distribución esto no es generalizable a todo el periodo. En la versión publicada, Popli (2013) extiende su análisis para considerar brechas en el sector formal e informal por separado, además de que corrige por selección de participación.
Existen diversos problemas con la bibliografía en el caso de México.1 Primero, Alarcón y McKinley (1994), Brown et al. (1999), y Pagán y Ullibarri (2000) utilizan los ingresos laborales mensuales en su análisis. El ingreso laboral mensual está compuesto tanto por el salario como por las horas trabajadas y puede haber brechas de género en ambos componentes. El componente que importa para el análisis es el precio que otorga el mercado al trabajo, lo cual se mide por el salario por hora. Controlar por las horas trabajadas en las especificaciones econométricas no salva de problemas a estas mediciones, puesto que existe un serio problema de endogeneidad entre las horas trabajadas y el salario por hora.
En segundo lugar, la mayor parte de los análisis en el caso mexicano se han elaborado sobre la media de brecha salarial, siendo Popli (2008, 2013), y Pagán y Ullibarri (2000) las únicas excepciones a esta crítica. La medición de la brecha en la media puede esconder importantes diferencias en el comportamiento de ésta a lo largo de la distribución de los salarios. El artículo de Albrecht, Björklund y Vroman (2003)) fue uno de los primeros estudios que encontraron un patrón creciente de la brecha salarial a lo largo de la distribución en Suecia, lo cual fue descrito como un "techo de cristal" que las mujeres no pueden superar en sus niveles salariales. Más tarde, De la Rica, Dolado y Llorens (2008) encontraron que en España además existe un efecto de "pisos pegajosos", el cual se observa como un patrón decreciente de la brecha para los trabajadores con baja escolaridad. Estas particularidades de la distribución de las brechas salariales son importantes en el diseño de políticas públicas que promuevan la igualdad entre hombres y mujeres, puesto que éstas podrían estar más focalizadas a ciertos grupos poblacionales. A pesar de que el índice de Jenkins utilizado por Pagán y Ullibarri (2000) utiliza la información de toda la distribución de la brecha, el índice es una medida que resume esa información y, por tanto, no permite caracterizar adecuadamente la distribución en su totalidad. Pagán y Ullibarri (2000) encuentran evidencia de una mayor brecha entre individuos con alta y baja escolaridad, lo cual sugiere la existencia de "techos de cristal" y "pisos pegajosos".
Una tercera y última crítica a la bibliografía sobre México es que es necesario hacer una corrección por la selección de participación de las mujeres en el mercado laboral. Olivetti y Petrongolo (2008) apuntan a la necesidad de corregir por sesgos de selección cuando se comparan las brechas salariales entre países, puesto que la composición de las mujeres que trabajan puede ser muy diferente entre distintos países, tanto en características observables como en características no observables.2 Sin embargo, esta necesidad también se pone de manifiesto cuando se comparan las brechas salariales en el tiempo en un país que, como México, ha experimentado incrementos importantes en la participación laboral de las mujeres. Además, las brechas salariales observadas pueden ser artificialmente bajas si existe selección positiva de las mujeres al mercado laboral; por ejemplo, Borraz y Robano (2010) encuentran que la brecha por selección es 50% mayor que la brecha observada en el caso uruguayo. En la bibliografía descrita, Alarcón y McKinley (1994), Brown et al. (1999), Artecona y Cunningham (2002), y Calónico y Ñopo (2008) hacen una comparación de las brechas salariales en el tiempo sin tomar en cuenta la selección de participación al mercado laboral. Si bien se controla por cambios en la composición de la fuerza laboral femenina a través de características observables, también es posible que existan cambios de composición en características no observables. En nuestra revisión de la bibliografía únicamente Pagán y Ullibarri (2000) y Martínez Jasso y Acevedo Flores (2004) corrigen por selección de participación en el mercado laboral, aunque ellos no comparan las brechas en el tiempo.
Nuestro artículo es más parecido a Popli (2013), pero nosotros no enfatizamos el papel del sector de ocupación como lo hace ella. Al corregir por selección de participación, Popli (2013) elabora un modelo logístico multinomial en el que las alternativas son la no participación, el sector formal y el sector informal. Así, ella da por sentado que existe independencia de alternativas irrelevantes en la decisión de participación, lo cual no es un supuesto adecuado en el caso de la formalidad e informalidad. De acuerdo con la evidencia empírica, el sector formal y el informal no se encuentran enteramente segmentados; se observa que los individuos transitan entre sectores y en cierta medida también se argumenta que el sector informal sirve como un escalafón a la formalidad (Maloney, 1999). También hay evidencia de que en el caso de las mujeres existen diferenciales salariales compensatorias a la informalidad (Juárez, 2012). Por ello, el supuesto de independencia de alternativas irrelevantes no es adecuado en el contexto mexicano. Nosotros no consideraremos el sector de participación en el análisis, dado que se añade un problema adicional a la corrección de la selección, que no se puede resolver fácilmente.
En este artículo analizamos la brecha salarial de género en México para el periodo que comprende de 1990 a 2010 utilizando los Censos de Población y Vivienda levantados por el Instituto Nacional de Estadística y Geografía (INEGI). Para complementar la estadística descriptiva, también hacemos uso de las encuestas de empleo (ENE, para generalizar su descripción) y las Encuestas de Ingreso y Gasto de los Hogares (ENIGH) para el sector urbano. Para llevar a cabo la descomposición utilizamos la metodología propuesta por DiNardo, Fortin y Lemieux (1996) (en adelante DFL) al igual que Popli (2008, 2013). Además de que esta metodología no nos restringe a la descomposición en la media de la distribución, nos permite incorporar fácilmente controles por sesgo de selección en la participación laboral, lo cual hacemos de una forma distinta a Popli (2013). A diferencia de otros métodos computacionalmente demandantes, DFL nos permite recuperar las distribuciones de salarios de hombres y mujeres con claros contrafactuales como, por ejemplo, la distribución salarial de las mujeres si a ellas les pagaran de acuerdo con la estructura de salarios de los hombres, o bien la distribución salarial de las mujeres si todas ellas trabajaran, pero manteniendo constante su estructura de salarios. A diferencia de Popli (2013), el ponderador que corrige por selección le otorga mayor peso a quienes no trabajan para así reconstruir la distribución salarial que se obtendría si todos participaran en el mercado laboral. Además, el uso de datos censales nos permite caracterizar de una forma mucho más precisa la brecha salarial a lo largo de la distribución.
Encontramos que la brecha salarial para todo el país fue de 0.6%, 6.7% y 6.1% en 1990, 2000 y 2010, respectivamente. Si limitamos la muestra a áreas urbanas de más de 2 500 habitantes, la brecha salarial fue de 14.2%, 11.6% y 7.8% para cada uno de esos años, respectivamente, así que confirmamos el hallazgo anterior de la bibliografía del cierre paulatino de la brecha. Si todas las mujeres trabajaran y su estructura de salarios se mantuviera constante, la brecha salarial sería aún mayor, pues crecería en 20 puntos porcentuales en 1990 y 2000, y 14 puntos porcentuales en 2010, lo cual es evidencia de selección positiva, en concordancia con Popli (2013) y en contraste con Pagán y Ullibarri (2000). La brecha salarial promedio esconde patrones importantes de las distribuciones salariales: para cuantiles bajos encontramos un claro efecto de "piso pegajoso" y para cuantiles altos encontramos clara evidencia de un "techo de cristal", observamos que el efecto de "piso pegajoso" se ha mantenido constante en el tiempo, mientras que el efecto de "techo de cristal" ha disminuido, en contraste con Popli (2008) que atribuye los cambios a la parte baja de la distribución.
En lo relativo a la cuestión de si la brecha se explica por características o retornos, nuestros resultados confirman que la mayor parte de la brecha se explica por diferencias en los retornos, con la excepción de 1990. Sin embargo, cuando sólo consideramos áreas urbanas encontramos que conforme nos movemos hacia arriba en la distribución, la brecha se explica en mayor medida por las diferencias de género en las características de los trabajadores. Este último efecto es aún más claro cuando consideramos la selección de participación. Es decir, en un país como México, con cambios tan importantes en la participación laboral de la mujer, es necesario llevar a cabo una corrección para que las brechas sean comparables en el tiempo. Cuando se hace esta corrección, la brecha salarial total para todo el país en 1990, 2000 y 2010 era de 20%, 27% y 26% en promedio, respectivamente. Es decir, para 1990 y 2000 la brecha salarial total es 20 puntos porcentuales mayor que la observada, mientras que para 2010 es únicamente 14 puntos porcentuales mayor. Estos resultados indican que las mujeres se seleccionan positivamente en el mercado laboral mexicano: aquéllas con mayores salarios son las que deciden trabajar.
La caracterización de la brecha a lo largo de toda la distribución de salarios es importante para el diseño de políticas públicas orientadas a alcanzar la igualdad de género en cuestiones laborales. Desde hace unos años México se encuentra haciendo un esfuerzo más orientado a promover la igualdad de género.3 La existencia de "pisos pegajosos" y "techos de cristal" en el caso de México sugiere el uso de políticas públicas enfocadas a los individuos situados en la parte baja y alta de la distribución salarial. Arulampalam et al. (2007) y Christofides, Polycarpou y Vrachimis (2013) proponen que los arreglos institucionales en el mercado laboral se encuentran correlacionados con estos efectos en países europeos. Por su parte, De la Rica, Dolado y Llorens (2008) muestran pruebas de que los "pisos pegajosos" en España se podrían explicar por un mecanismo de discriminación estadística en contra de las mujeres de baja escolaridad. Las investigaciones sobre México en el futuro deberán orientarse hacia la búsqueda de las causas de la existencia de tales efectos, así como de los cambios que observamos en la brecha salarial debida a retornos en el tiempo.
El resto del artículo se estructura de la siguiente forma: la primera sección describe la metodología utilizada y presenta una revisión de la bibliografía más reciente sobre el tema. La sección II describe los datos utilizados, la selección de la muestra y presenta la estadística descriptiva. La sección III presenta los resultados del artículo. Por último, la sección IV ofrece un análisis sobre los resultados, así como acerca de sus implicaciones para la política pública y presenta las conclusiones.
I. Metodología y revisión de la bibliografía
En general, la bibliografía elabora variantes de la descomposición de Oaxaca (1973) y Blinder (1973) en términos de características observables y no observables. Para ello, la descomposición de Oaxaca-Blinder básica estima regresiones mincerianas de los salarios, de las cuales se obtienen los retornos a las características de hombres y mujeres por separado, γH y γM , respectivamente. La Ecuación 1 muestra la descomposición de Oaxaca-Blinder básica utilizando la distribución de salarios (W) de hombres como la distribución de referencia:4
en la que H indexa a los hombres y M a las mujeres;
De la misma manera, la mayoría de los artículos ha estimado la descomposición de Oaxaca-Blinder en la media de la distribución salarial (Weichselbaumer y Winter-Ebmer, 2005), lo cual oculta características muy importantes de la distribución de la brecha salarial. Sin embargo, la Ecuación 1 puede generalizarse para cualquier cuantil en la distribución de los salarios (Fortin, Lemieux y Firpo, 2011). Además, Albrecht, Van Vuuren y Vroman (2009) fueron los primeros en estimar una descomposición de las brechas salariales de género por medio de regresiones cuantiles y controlando por sesgo de selección. El problema con la descomposición de Oaxaca-Blinder en la media y en su versión por cuantiles es que pueden existir errores en la forma funcional estimada para obtener los retornos a las características de los trabajadores.
En este artículo seguimos la metodología semiparamétrica propuesta por DiNardo, Fortin y Lemieux (1996) para descomponer la brecha en el componente de características observables y el componente de retornos o, en general, de características no observables. Este método permite estimar un contrafactual de la distribución salarial completa de los hombres como si éstos tuvieran las características de las mujeres.5 Este método no ha sido muy utilizado para descomponer brechas salariales de género, con excepción de Barón y Cobb-Clark (2010) para el caso de Australia, y de Popli (2008 y 2013) para el caso de México. Asimismo, este método puede ser generalizado fácilmente para controlar por sesgo de selección en características observables.
A diferencia de las descomposiciones por cuantiles que también permiten caracterizar toda la brecha salarial en toda la distribución, dfl no tiene los problemas de especificación de la forma funcional de los salarios por ser una metodología semi-paramétrica. Además, de acuerdo con Fortin, Lemieux y Firpo (2011), con el objetivo de recuperar la distribución salarial, el procedimiento de regresión cuantil implica estimar un gran número de regresiones cuantiles (al menos 100) e integrar los resultados de los coeficientes a toda la distribución de características observables.6,7 Debido a que este procedimiento es computacionalmente intensivo, Machado y Mata (2005) recomiendan un proceso de remuestreo en el que se seleccionan sólo ciertas características observables. Esta alternativa no es muy útil en nuestro caso debido a que utilizamos datos censales (contamos con cerca de 16 millones de observaciones para todos los años), así que el procedimiento continúa siendo computacionalmente demandante.
La gran ventaja de DFL es que la distribución original es recalculada para ajustar por diferencias en características observables y que la implementación es relativamente rápida. Su desventaja es que únicamente puede controlar por diferencias en características observables presuponiendo retornos constantes. En la descomposición elaborada por Albrecht, Van Vuuren y Vroman (2009) para Holanda es posible obtener diferentes retornos cuando se controla por sesgo de selección. Esto es, con su metodología es posible obtener una diferencia en salarios por sesgos de selección que se deben a características observables y a retornos. DFL sólo permite asignar diferencias en características observables.8
Los autores de DFL proponen utilizar distribuciones kernel no paramétricas. Sea Fg(W) la distribución de salarios de g, en la que g ={H,M}. Entonces, las distribuciones de salarios de hombres y mujeres que trabajan (T i=1) pueden ser escritas como:
Estas distribuciones son fácilmente estimables con funciones de densidad kernel en las que kernel K(·) cumpla con
en el que h representa el ancho de banda del kernel y N indica el número de observaciones.9
El contrafactual se define como la distribución de salarios de los hombres, pero como si estos tuvieran las mismas características que las mujeres, y se denota como
en la que Ψ(Χ) se define como la razón
Sin embargo, esta razón es difícil de estimar por la multidimensionalidad del vector de características observables X. Aplicando la regla de Bayes, esa razón puede reescribirse como:
La gran ventaja de DFL es que transforma un problema multidimensional (Ecuación 5) en uno unidimensional (Ecuación 6). Esa transformación implica estimar Ψ(Χ), lo cual es relativamente sencillo pues se trata de un modelo logístico o de probabilidad normal en el que la variable dependiente es el sexo y las variables explicativas son las características observables X.11 Una vez obtenido el peso Ψ(Χ), se estima una función de densidad no paramétrica como en la Ecuación 4, pero incluyendo el ponderador respectivo:
Adicionalmente, la Ecuación 6 no controla por sesgos de selección puesto que sólo se utiliza la muestra que trabaja y tiene salarios válidos para la estimación. La corrección por selección muestral es importante, pues, como Olivetti y Petrongolo (2008) lo muestran, las brechas salariales que no controlan por selección tienen un sesgo que es decreciente con respecto al nivel de participación laboral femenina. Dados los cambios en la participación laboral en México, la presencia de este sesgo no permite que las brechas estimadas en distintos años sin controlar por selección sean comparables. Por ello, nosotros estimaremos la distribución salarial de las mujeres si todas ellas trabajaran. Es decir, estimaremos la siguiente ecuación:
donde el ponderador
Intuitivamente, el peso
entonces el peso únicamente ajusta por el inverso de la probabilidad de trabajar dada por g(T=1|X) El ponderador
Una vez obtenido el ponderador
en la que
Por último, estamos interesados en la distribución de salarios de las mujeres si todas ellas trabajaran y fueran remuneradas bajo la estructura salarial de los hombres; esto es:
donde el ponderador
Luego, comparamos el efecto de los retornos entre las distribuciones de hombres y mujeres si todas las mujeres trabajaran; es decir, calculamos la diferencia entre
En la bibliografía internacional se han elaborado varios análisis de las brechas salariales con regresiones cuantiles y corrección por selección. Albrecht, Van Vuuren y Vroman (2009) encuentran que en Holanda la brecha salarial tiene un efecto de "techo de cristal", en el sentido de que la brecha es creciente conforme nos movemos hacia cuantiles mayores de la distribución; además la mayor parte de la brecha está relacionada con el componente de retornos o características no observadas, Chzhen y Mumford (2011) encuentran un resultado similar para el caso de Gran Bretaña. Los casos de España y Colombia también han sido analizados con esa metodología pero con resultados ligeramente distintos. Aunque los estudios de De la Rica, Dolado y Llorens (2008) para España, y de Badel y Peña (2010) para Colombia encuentran efectos de "techo de cristal" como los estudios previos, ellos también encuentran un efecto de "piso pegajoso" en la brecha salarial. Badel y Peña (2010) concluyen lo importante del control de selección, puesto que la brecha salarial crece en aproximadamente 50% después de la corrección. Para Uruguay, Borraz y Robano (2010) encuentran evidencia significativa de un "techo de cristal", pero encuentran que el efecto de la selección es decreciente con respecto al cuantil del salario. Todos los estudios descritos encuentran que la brecha salarial hubiera sido mayor al corregir por selección. En cuanto a las descomposiciones que utilizan DFL en México, Popli (2013) corrige por selección, pero la forma en que ella elabora la corrección no se extiende del modelo no paramétrico como lo hacemos nosotros. Además, sus ponderadores terminan dando mayor peso a los individuos que sí participan en el mercado laboral, así que no es claro cómo se incluye a los no participantes en su análisis.
II. Datos y estadística descriptiva
Para llevar a cabo nuestro análisis descriptivo utilizamos las encuestas más relevantes para el caso mexicano: los Censos de Población y Vivienda de 1990, 2000 y 2010; las encuestas de empleo anuales para el periodo de 1989 a 2012 (ENE para generalizar)13 y la Encuesta Nacional de Ingreso y Gasto de los Hogares (ENIGH) de 1989 a 2012, todas elaboradas por el Instituto Nacional de Estadística y Geografía (INEGI). En todas las encuestas utilizamos como ingreso el ingreso laboral reportado en el mes de referencia. La medida de ingreso que se utiliza en la bibliografía es el salario por hora, el cual se encuentra dado por el ingreso laboral dividido entre horas trabajadas a la semana multiplicadas por 4.33. Por tanto, los resultados que utilicen el salario por hora tienen un peso igual al factor de expansión multiplicado por horas trabajadas.14
Las variables explicativas que utilizamos son: edad, variables dicotómicas de nivel educativo (primaria o menos, secundaria, preparatoria y universidad o más), variables dicotómicas de grupos geográficos (vive en área urbana, vive en Nuevo León, Jalisco, Distrito Federal, estados del sur -Chiapas, Guerrero y Oaxaca- y estados fronterizos, excluyendo a Nuevo León), estado civil (individuo casado o cohabitando), si el encuestado es el jefe de hogar. Este tipo de variables son las que se consideran usualmente en los análisis de distribución de salarios entre hombres y mujeres (Albrecht et al., 2009; Badel y Peña, 2010; Weichselbaumer y Winter-Ebmer, 2005).
La muestra está limitada a individuos entre 18 y 65 años de edad. Asimismo, no tomamos en cuenta a individuos con información inválida en las características observables, lo cual representa menos de 1% del total de observaciones en promedio para todas las encuestas. El Cuadro 1 muestra las estadísticas descriptivas para hombres y mujeres tanto en la muestra com pleta como restringiendo a aquellos individuos que trabajan. El tamaño de muestra es grande y llega a casi 16 millones de observaciones para todo el periodo. El porcentaje de individuos casados ha disminuido conforme pasa el tiempo, pero cuando restringimos la información a los que trabajan se observa un aumento en la proporción de mujeres casadas. La participación laboral femenina medida por la decisión de trabajar (horas positivas en la semana de referencia) se ha incrementado 18 puntos porcentuales en el periodo. La mayor parte de este incremento se debe a participación laboral de tiempo completo. Estos cambios en la participación justifican la necesidad de corregir por selección para poder comparar las brechas salariales en el tiempo. Asimismo, la educación promedio ha aumentado tanto para hombres como para mujeres. El porcentaje de mujeres con un título universitario casi se ha triplicado en el periodo. Cuando comparamos la escolaridad de las mujeres que trabajan con la de todas las mujeres, se observa que las de menor escolaridad están menos representadas en la muestra de trabajadoras. Por otro lado, en las características de los hombres hay mayor similitud entre los trabajadores y el total, debido al alto porcentaje de participación laboral entre ellos. Lo mismo ocurre para variables geográficas. Las mujeres urbanas tienen una mayor probabilidad de trabajar que las mujeres en el sector rural.

a Cálculos hechos por los autores con base en los censos de población de 1990, 2000 y 2010. La variable tiempo completo se refiere a aquellas personas con 30 horas de trabajo o más en la semana de referencia. La variable de estados del sur se refiere a Chiapas, Guerrero y Oaxaca; la variable de estados fronterizos se refiere a os estados que tienen frontera con Estados Unidos con excepción de Nuevo León. Todos los resultados utilizan el factor de expansión.
Cuadro 1 Estadísticas descriptivas. Personas de 18-65 años de edad (1990-2010)a
El Cuadro 2 analiza más detalladamente la oferta laboral por grupos. Lo primero que notamos es que la oferta laboral de los hombres es relativa mente constante para todos los grupos analizados. Por el contrario, la participación laboral femenina ha aumentado para todos los grupos, si bien de forma heterogénea. Por ejemplo, las mujeres de 18 a 24 años incrementaron su oferta laboral en 6 puntos porcentuales, mientras que las mujeres de 35 a 49 años incrementaron su participación en 26 puntos porcentuales. Por otro lado, las mujeres con menor escolaridad han incrementado su oferta laboral en 14 puntos porcentuales. Para las mujeres más escolarizadas se observa un incremento de 1990 a 2000 y después su participación se mantuvo relativamente constante. La Gráfica 1 muestra la participación laboral femenina con base en las encuestas de empleo (ENE) para el sector urbano. La gráfica es congruente con los resultados del censo en mostrar un incre mento de la oferta laboral para todas las mujeres, y especialmente para las mujeres con menor escolaridad o que están casadas.

a Cálculos hechos por los autores con base en los Censos de Población de 1990, 2000 y 2010. Trabajo se define como horas positivas de trabajo en la semana de referencia.
Cuadro 2 Oferta laboral por género (1990-2010)a

a Cálculos hechos por los autores con base en las encuestas de empleo de 1989-2010 restringido para el sector urbano (+100 000 habs.). Todos los resultados utilizan como peso el factor de expansión. Trabajo se define como horas positivas en la semana de referencia. El grupo de mujeres casadas incluye mujeres no legalmente casadas pero en cohabitación.
Gráfica 1 Participación laboral femenina (ENE 1989-2010)a
La Gráfica 2 muestra la brecha salarial observada para cada cuantil del 1 al 100 en el periodo 1990-2010. El Panel A muestra el resultado para toda la muestra y el Panel B restringe al sector urbano (+2 500 habs). En 1990 las mujeres ganaban más que los hombres en la parte baja de la distribución. Es decir, no existe evidencia de un "piso pegajoso" para las mujeres en ese año, sin embargo sí se observa un "techo de cristal". Para ese mismo año la brecha salarial es creciente empezando aproximadamente en el cuantil 70. Para 2000, la brecha salarial cambia en la parte baja de la distribución. De hecho, para 2000 y 2010 existe evidencia de un "piso pegajoso", en el sentido que la brecha salarial es decreciente en los cuantiles bajos. Cuando comparamos los Paneles А у B observamos que el mayor salario de las mujeres en la parte baja de la distribución en 1990 se debe principalmente al sector rural. El Panel B se enfoca en las áreas urbanas y se observa una brecha salarial de aproximadamente 10% en los cuantiles bajos, y con un ligero incremento en la brecha a lo largo del tiempo.15 En promedio, la brecha salarial se redujo un punto porcentual entre 2000 y 2010 (véase el Cuadro 1). Sin embargo, esa reducción esconde aspectos importantes. Por ejemplo, la Gráfica 2, Panel B, muestra con claridad que la brecha salarial ha cambiado poco para los cuantiles 1-70, y el área en que se ha observado una reducción importante en la brecha es en los cuantiles 71-100. Como análisis de robustez, presentamos brechas salariales por cuantiles en la Gráfica 3, realizada con base en las encuestas de empleo y la ENIGH. En los Paneles А у B se muestra la evolución de los cuantiles 5, 10 y 25 desde 1989 hasta 2012. La gráfica muestra que en poco ha cambiado la brecha salarial para esos cuantiles en ambas encuestas. En cambio, los Paneles C y D presentan la evolución de los cuantiles 75, 90 Y 95, en lo que se aprecia una clara disminución en la brecha salarial en el periodo. Por tanto, las encuestas disponibles como los censos, las encuestas de empleo, y las encuestas de ingreso-gasto (ENIGH) muestran una tendencia similar: estancamiento de la brecha salarial para cuantiles bajos y una disminución de la brecha para cuantiles altos.

a Cálculos hechos por los autores con base en los Censos de Población de 1990, 2000 y 2010. Todos los resultados utilizan como peso el factor de expansión multiplicado por las horas trabajadas en la semana de referencia. Sector urbano se define como individuos que viven en localidades con más de 2 500 habitantes.
Gráfica 2 Brecha salarial (1990-2010)a

a Cálculos hechos por los autores con base en las encuestas de empleo de 1989 a 2012 en los Paneles А у В, y las ENIGH de 1989 a 2012 en los Paneles C y D, restringido para el sector urbano (+100 000 habs.). Todos los resultados utilizan como peso el factor de expansión multiplicado por las horas trabajadas en la semana de referencia.
Gráfica 3 Brecha salarial (ENE, 18-2012)a
El Cuadro 3 muestra brechas salariales para grupos específicos utilizando los datos censales. Los resultados muestran un incremento del promedio de 1990 a 2000, y una ligera disminución de 2000 a 2010. La Gráfica 2 nos permite saber que estos cambios se deben principalmente a las modificaciones en las colas de la distribución. La brecha salarial es mayor para las mujeres muy jóvenes y las mayores (50+), pues en este último caso la brecha salarial es de casi 15% en 2010. El grupo educativo con menor brecha salarial está conformado por individuos con preparatoria, pero es mayor para individuos con primaria o menos. La brecha salarial en áreas urbanas se mantuvo constante durante el periodo de 1990 a 2000 y decreció de 2000 a 2010. El efecto entre 1990 y 2000 se debe a un incremento en la brecha en la parte baja y una disminución de la brecha en la parte alta. En resumen, en 2010 la brecha salarial se encontró en 6% para todo el país, y en 8% para áreas urbanas, aunque la brecha salarial es aún mayor para cuantiles bajos y muy altos, lo que sugiere efectos de "piso pegajoso" y "techo de cristal".

a Cálculos hechos por los autores con base en los Censos de Población de 1990, 2000 y 2010. Todos los resultados utilizan como peso el factor de expansión multiplicado por las horas trabajadas en la semana de referencia.
Cuadro 3 Brecha salarial promedio para diferentes grupos (1990-2010)a
Para analizar con mayor profundidad estos efectos, la Gráfica 4 presenta brechas salariales por escolaridad. El Panel A incluye individuos con secundaría o menos, y el Panel B incluye individuos con preparatoria o más. El Panel A muestra un claro patrón decreciente de la brecha salarial a lo largo de la distribución para 2000 у 2010.16 Por el contrario, el Panel B muestra un claro patrón creciente de la brecha salarial. Para los años 2000 y 2010 la brecha salarial para mujeres con baja escolaridad prácticamente no ha cambiado. La brecha salarial para mujeres con alta escolaridad ha ido disminuyendo en el tiempo, especialmente para los cuantiles más altos. Este resultado es similar al encontrado por De la Rica, Dolado y Llorens (2008) en España.
III. Resultados
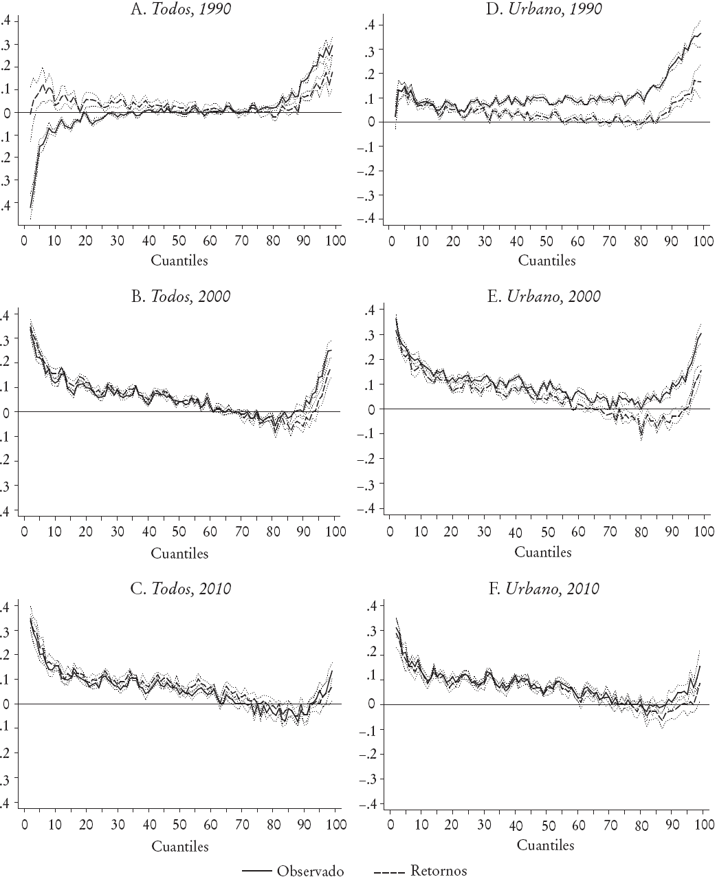
Las Gráficas 5 a 7 muestran los resultados principales del artículo para la muestra completa y subgrupos específicos. La Gráfica 5 muestra la brecha salarial observada

a Cálculos hechos por los autores con base en los Censos de Población de 1990, 2000 y 2010. Todos los resultados utilizan como peso el factor de expansión multiplicado por las horas trabajadas en la semana de referencia. El sector urbano se define como individuos que viven en localidades con más de 2 500 habitantes. Los errores estándar son calculados con 200 repeticiones de remuestreo (bootstrap). Se hace el procedimiento de remuestreo a todo el procedimiento desde la estimación de los pesos de reponderación.
Gráfica 5 Brecha salarial observada y brecha salarial por retornos. Todos y áreas urbanas (1990-2010)a

a Cálculos hechos por los autores con base en los Censos de Población de 1990, 2000 y 2010. Todos los resultados utilizan como peso el factor de expansión multiplicado por las horas trabajadas en la semana de referencia. El sector urbano se define como individuos que viven en localidades con más de 2 500 habitantes. Los errores estándar son calculados con 200 repeticiones de remuestreo (bootstrap). Se hace el procedimiento de remuestreo a todo el procedimiento desde la estimación de los pesos de reponderación. La verdadera brecha salarial compara la distribución observada de los hombres con la distribución de las mujeres si todas ellas trabajaran.
Gráfica 6 Brecha salarial total controlando por selección, brecha salarial observada y brecha salarial por retornos. Todos y áreas urbanas (1990-2010)a

a Cálculos hechos por los autores con base en los Censos de Población de 1990, 2000 y 2010. Todos los resultados utilizan como peso el factor de expansión multiplicado por las horas trabajadas en la semana de referencia. El sector urbano se define como individuos que viven en localidades con más de 2500 habitantes. Los errores estándar son calculados con 200 repeticiones de remuestreo (bootstrap). Se hace el procedimiento de remuestreo a todo el procedimiento desde la estimación de los pesos de reponderación. La verdadera brecha salarial compara la distribución observada de los hombres con la distribución de las mujeres si todas ellas trabajaran. Baja escolaridad incluye a individuos con secundaria o menos y alta escolaridad incluye a individuos con preparatoria o más.
Gráfica 7 Brecha salarial total controlando por selección, brecha salarial observada y brecha salarial por retornos. Grupos de educación (1990-2010)a
La Gráfica 5 no controla por posibles sesgos de selección y, como argumentamos anteriormente, en un país con cambios en la participación laboral de la mujer tan importantes es necesario llevar a cabo esa corrección para que las brechas sean comparables en el tiempo. Para calcular la brecha salarial total,
La Gráfica 6 también muestra el efecto de los retornos tomando en cuenta la selección de participación en el mercado laboral [véase la ecuación 12]. Los precios explican menos de la brecha total que de la brecha observada, especialmente para cuantiles mayores a la mediana. En otras palabras, para cuantiles arriba de la mediana, en general no habría diferencias salariales entre hombres y mujeres, si estas últimas fueran pagadas como los hombres y todas ellas trabajaran. Sin embargo, para cuantiles bajos el efecto de precios se encuentra en niveles cercanos a la brecha total. En resumen, las características observables de las mujeres en cuantiles altos son más importantes que en cuantiles bajos para explicar la brecha salarial total.
Por último, la Gráfica 7 muestra los resultados para toda la muestra (rural y urbana), pero dividiendo por baja y alta escolaridad. Las gráficas son claras en mostrar que la brecha salarial observada y verdadera para cuantiles con escolaridad alta ha disminuido a lo largo del tiempo, no siendo éste el caso para los individuos con baja escolaridad. De hecho, la diferencia entre la brecha total y la observada para los cuantiles con baja escolaridad es decreciente con respecto a los cuantiles, lo cual indica que la selección positiva se va perdiendo conforme aumentan los salarios. En contraste, para los individuos con escolaridad alta, la diferencia entre la brecha total y la observada es relativamente constante. Así, el grado de selección positiva es mayor para los de baja educación en cuantiles bajos de la distribución de salarios. La Gráfica 7 muestra con claridad la existencia de un "piso pegajoso" entre los individuos de baja escolaridad, que se ha mantenido constante entre 2000 y 2010; en cambio, el "techo de cristal" entre los individuos de escolaridad alta sí se ha reducido en el tiempo (la pendiente de las brechas ha decrecido en el tiempo).
IV. Análisis de los resultados y conclusiones
En este artículo pusimos en práctica la metodología propuesta por DiNardo, Fortin y Lemieux (1996) para descomponer las brechas de género salariales en México con base en los censos de 1990 a 2010. DFL nos permite caracterizar la brecha salarial a lo largo de toda la distribución de salarios y también nos permite corregir por sesgos de selección de una forma relativamente sencilla. A diferencia de Popli (2013), nosotros no distinguimos entre sectores de empleo, puesto que ello conlleva hacer ciertos supuestos poco realistas para el caso del mercado laboral mexicano. De esta manera, nuestra mirada a las brechas salariales en México fue más global.
De acuerdo con nuestros resultados, la brecha salarial ha decrecido en el periodo. La brecha salarial para áreas urbanas (más de 2 500 habitantes) fue de 14.2%, 11.6% y 7.8% en promedio para los años 1990, 2000 y 2010 respectivamente. Sin embargo, este decrecimiento en la brecha se encuentra dominado por una caída en la brecha en la parte alta de la distribución salarial, lo cual contrasta con los resultados de Popli (2008), quien atribuye los cambios a la parte baja de la distribución. Encontramos clara evidencia de efectos de "pisos pegajosos" entre aquellos con baja escolaridad y de "techos de cristal" en la parte alta de la distribución salarial y particularmente aquellos con alta escolaridad. Estos efectos no se habían caracterizado por nivel educativo para el caso de México. Popli (2008 y 2013) encuentra una evidencia no muy clara de la existencia de "techos de cristal" en el caso mexicano en la última década, pero no para la de 1990. Nuestro uso de datos censales permite una mejor caracterización de estos efectos a lo largo de toda la brecha. Sin embargo, Popli (2008) encontraba evidencia contundente de "pisos pegajosos" en México.
En términos de si la brecha se explica por características o retornos, nuestros resultados confirman que la mayor parte de la brecha se explica por diferencias en los retornos, con la excepción de 1990. Sin embargo, cuando sólo consideramos áreas urbanas encontramos que conforme nos movemos hacia arriba en la distribución, la brecha se explica más por las diferencias de género en las características de los trabajadores. Este último efecto es aún más claro cuando consideramos la selección de participación. En un país como México, con cambios tan importantes en la participación laboral de la mujer, es necesario llevar a cabo una corrección por selección de participación para que las brechas sean comparables en el tiempo. Cuando se hace esta corrección, la brecha salarial total para todo el país en 1990, 2000 y 2010 era de 20%, 27% y 26% en promedio, respectivamente. Es decir, para 1990 y 2000 la brecha salarial total es 20 puntos porcentuales mayor que la observada, mientras que para 2010 es sólo 14 puntos porcentuales mayor. Estos resultados indican que las mujeres se seleccionan positivamente respecto al mercado laboral mexicano: aquellas con mayores salarios potenciales son las que deciden trabajar.
La mayor parte de la bibliografía anterior sobre México no había caracterizado la brecha salarial a lo largo de toda la distribución de salarios. Ello impedía observar los efectos de "pisos pegajosos" y "techos de cristal" que en aquélla se mencionan. Arulampalam et al. (2007) y Christofides et al. (2013) presentan pruebas de que en Europa ambos efectos están correlacionados con la existencia o falta de políticas públicas dirigidas a la reconciliación de la familia y el trabajo -como las bajas por maternidad y paternidad, la disponibilidad de guarderías y estancias infantiles, entre otras- así como con otros arreglos institucionales que afectan más directamente la distribución de los salarios, como los salarios mínimos o los sindicatos. Los resultados de estos artículos no son concluyentes respecto al efecto de estas instituciones, puesto que algunas de las correlaciones que encuentran se contradicen entre ambos estudios, lo cual sugiere que dependen fuertemente de la muestra de países utilizada y podrían no ser generalizables al caso mexicano. Por su parte, De la Rica et al. (2008) muestran pruebas que sugieren que los "pisos pegajosos" en España se pueden deber a discriminación estadística de las mujeres de baja escolaridad. Esto es, puesto que los patrones saben poco del apego al mercado laboral de las mujeres de baja escolaridad (son las que tienen una menor participación laboral), entonces ofrecen salarios menores a aquellas que se incorporan al mercado laboral. Conforme las mujeres adquieren más experiencia, el problema de información sobre su compromiso laboral se va resolviendo y, por tanto, los empleadores empiezan a ofrecer salarios cada vez más similares a los de los hombres.
Para el caso de México, la única causa explorada de la brecha no explicada o la brecha de retornos ha sido la liberalización comercial Artecona y Cunningham (2002) encuentran evidencia que sugiere que la liberalización comercial provocó una disminución de la discriminación en las empresas manufactureras que fueron más afectadas por la liberalización. Por su parte, Aguayo-Téllez, Airola y Juhn (2010) encuentran que la liberalización comercial no afectó los salarios, pero sí tuvo un efecto en el empleo de las mujeres. De esta manera, la evidencia sobre esta posible causal no es muy concluyente. Consideramos que investigaciones futuras deben abordar la cuestión de las causas de los cambios en las brechas salariales de género y de la existencia de "pisos pegajosos" y "techos de cristal". Creemos que el mecanismo expuesto por De la Rica et al. (2008) podría también estar operando en el caso mexicano. Por otra parte, y siguiendo a Arulampalam et al. (2007) y Christofides et al. (2013) también es necesario explorar el efecto que tuvieron los cambios institucionales de las décadas de 1980 y 1990 (como la caída del salario mínimo real, la negociación colectiva de los salarios y la cobertura sindical) en la brecha salarial de género. Por ejemplo, Arulampalam et al. (2007) sugieren que la dispersión salarial está negativamente relacionada con los "techos de cristal" y positivamente relacionada con los "pisos pegajosos". Si este resultado fuese generalizable a México, deberíamos observar que la disminución de la desigualdad entre 2000 y 2010 se hubiera reflejado en mayores "techos de cristal" y menores "pisos pegajosos", lo cual contrasta con nuestros resultados. Así, es importante analizar cómo la reducción observada en la desigualdad salarial en la década pasada afectó la brecha salarial de género en el contexto mexicano. Otra posible línea de investigación se abre en torno al hallazgo sistemático en la bibliografía sobre México de que la segregación ocupacional de hecho favorece la brecha salarial de género, lo cual es congruente con los resultados de Australia (Barón y Cobb-Clark, 2010), pero no con los de otros países (Blau, Simpson y Anderson, 1998), así como con la creencia generalizada de que la segregación ocupacional es una causal de la existencia de la brecha salarial. Un mayor entendimiento de estas causales nos daría mejores fundamentos para diseñar políticas públicas que promuevan la igualdad de género en el mercado laboral.










nueva página del texto (beta)


















