Clasificación JEL: J16, J22.
Introducción
En este documento se estima el efecto de los salarios en las decisiones de la oferta laboral de hombres y mujeres en Uruguay en el margen extensivo e intensivo. Para ello se recurre a las especificaciones y técnicas econométricas propuestas por la bibliografía para estimar elasticidades de la oferta al salario a lo largo del ciclo de vida (elasticidad intertemporal) y sus respuestas a cambios paramétricos en el perfil salarial (elasticidad no compensada).
Blundell y MaCurdy (1999) señalan la existencia de una abundante bibliografía empírica con el objetivo de analizar la oferta laboral y en particular para medir cómo los trabajadores responden a cambios en los salarios y el ingreso. Sin embargo, destacan que la interpretación de los resultados no siempre es precisa, debido a la falta de un modelo teórico y a las especificaciones empleadas.
Un mejor conocimiento de la magnitud de la elasticidad en la oferta de trabajo al salario real es clave para una mayor comprensión de la manera en que los trabajadores responden a las fluctuaciones de la economía y ante cambios de políticas económicas. La distinción entre la elasticidad intertemporal y la no compensada de la oferta de trabajo es fundamental para la evaluación de políticas públicas en materia de impuestos, seguridad social y otros programas sociales.1 Además, la oferta laboral es un indicador básico del potencial productivo de una economía y como tal, tiene un papel clave como determinante del crecimiento económico. Asimismo, la consideración del ciclo de vida se vincula con la tasa de ahorro y en particular es un elemento por considerar para la sostenibilidad del sistema de pensiones (Blundell y MaCurdy, 1999; Pencavel 1998 y 2000; Robbins, Salinas y Manco, 2009).
Finalmente, la relevancia del tema se fundamenta en la creciente dedicación de las mujeres al trabajo remunerado, lo cual constituye una de las más importantes transformaciones sociales ocurridas en los decenios recientes en las economías occidentales. Blau et al. (2005) argumentan que si bien las mujeres han incrementado su participación en el mercado laboral, persisten diferencias en la magnitud de dichas elasticidades. Éstas se explican con base en los papeles de género en los hogares y a las diferencias de género observadas respecto a la ponderación de las carreras laborales. Dessing (2002) asocia la magnitud de las elasticidades con la respuesta de las mujeres como fuerza de trabajo secundaria y con las restricciones financieras que enfrenta su hogar. Goldin (2006) argumenta respecto a la ampliación del horizonte de la trayectoria laboral femenina y del fortalecimiento de su identidad como trabajadoras y sugiere que su comportamiento en el mercado de trabajo podría aproximarse al de los hombres. Las pruebas sobre estos aspectos aún no son concluyentes, por lo que cobra relevancia evaluar posibles diferencias en la magnitud de las elasticidades entre ambos sexos y analizar la existencia de cambios intergeneracionales en el caso de la oferta femenina.
El análisis de la oferta laboral por medio de pseudopaneles cuenta con importantes antecedentes en la bibliografía internacional, entre ellos Pencavel (1998 y 2002), quien realiza dos contribuciones al análisis de la oferta en los Estados Unidos. En su primer estudio analiza la oferta laboral femenina entre 1975 y 1994, y obtiene una relación positiva entre la oferta laboral medida en horas y el salario. Al estimar la relación para cada cohorte encuentra pequeñas diferencias que indican que las cohortes más jóvenes tienen elasticidades salario-oferta mayores. Pencavel (2002) sugiere analizar conceptualmente las consecuencias de la especificación adoptada para la ecuación de oferta en las elasticidades obtenidas y propone ecuaciones para los parámetros correspondientes a cada una. Realiza una aplicación empírica para la oferta masculina de los Estados Unidos, considerando los años 1967-1998. El autor señala que si bien las investigaciones anteriores encuentran elasticidades masculinas de pequeña magnitud e incluso negativas, ello responde a que estiman elasticidades no compensadas. Pencavel encuentra elasticidades intertemporales positivas y cercanas a las presentadas en trabajos previos; las no compensadas son pequeñas en valor absoluto, en algunos casos positivas y en otros negativas.
En la región, y en particular en Uruguay, no abundan los estudios que apliquen la metodología de pseudopaneles considerando distintas elasticidades de la oferta laboral y que evalúen diferencias en las magnitudes por género. Robbins et al. (2009) aplica la misma metodología para la oferta femenina de Colombia y llega a conclusiones compatibles con las de Pencavel. Bassi (2003) aplica la misma metodología para medir el efecto de los salarios en la oferta laboral de las mujeres en Argentina. Encuentra elasticidades positivas, pero considerablemente más bajas que las observadas para las economías desarrolladas en el periodo 1975-2002. Sugiere una tendencia hacia la convergencia en la magnitud de las elasticidades masculinas y femeninas y, si bien en su estudio no lo confirma, plantea la necesidad de nuevos trabajos que permitan contrastar esta hipótesis.
González y Sala (2011a) analizan la elasticidad intertemporal2 para los países del Mercosur (1997-2009) y encuentran importantes disparidades entre ellos. Paraguay, Brasil y Uruguay presentan elasticidades negativas y lo asocian con la existencia de restricciones en el acceso al crédito que no permitirían a los trabajadores ajustar su comportamiento al ciclo de vida. Sin embargo, este artículo no considera posibles diferencias en la magnitud de las elasticidades según sexo.3 Espino et al. (2009, 2011) examinaron la elasticidad no compensada de la oferta de trabajo en los ingresos laborales reales sobre la base de un pool de datos de corte transversal y se concentran en la población que vive en pareja en Uruguay. Si bien confirman una elasticidad masculina menor que la femenina, entre estas últimas no encuentran pruebas de cambios intergeneracionales en la magnitud de dichas elasticidades.
Este artículo aplica la metodología de pseudopaneles para estimar la elasticidad de la oferta intertemporal y de la elasticidad no compensada (Ghez y Becker, 1975; Blundell y MaCurdy, 1999; Pencavel, 2002). La amplitud temporal de la Encuesta Continua de Hogares de Uruguay permite realizar tres contribuciones a la bibliografía del tema. En primer lugar, aporta pruebas comparables de la magnitud de las elasticidades intertemporal y no compensada de Uruguay. A diferencia de los países desarrollados, y al igual que en el caso de Argentina, el comportamiento cíclico que caracteriza a la economía uruguaya y sus consecuencias en los salarios reales ofrecen una oportunidad valiosa para estimar la magnitud de dichas elasticidades. En segundo lugar, la aplicación de especificaciones congruentes y una metodología común permite evaluar la existencia de diferencias en la magnitud de las elasticidades para ambos sexos e identificar los efectos que operan en cada caso. En tercer lugar, aporta pruebas de la existencia de cambios intergeneracionales respecto a la conducta laboral de la población femenina.
Los resultados que arrojan las estimaciones de la elasticidad intertemporal y no compensada son compatibles con las predicciones teóricas y se sitúan en magnitudes comparables con los hallazgos de estudios anteriores. Esto confirma la importancia de distinguir conceptualmente ambas elasticidades y las ventajas que ofrece en este sentido la metodología propuesta por MaCurdy (1981). Para el caso uruguayo, las pruebas encontradas confirmarían que las personas adoptan un comportamiento laboral que busca optimizar su salario a lo largo del ciclo de vida. Estos hallazgos son contrarios a los de González y Sala (2011a) y su hipótesis de la existencia de restricciones al crédito. Se confirman las diferencias por sexo esperadas y un efecto sustitución superior en el caso femenino. Los resultados parecen confirmar la existencia de cambios intergeneracionales en la población femenina y rechazan que en su comportamiento domine una lógica del trabajador añadido. Esto podría responder a que las mujeres han fortalecido su identidad como trabajadoras y ampliado el horizonte temporal de su trayectoria laboral, lo cual es congruente con los hallazgos de Espino et al. (2012) acerca del comportamiento de las mujeres con estudios terciarios.
El documento se organiza de la siguiente manera. A continuación se presentan los aspectos conceptuales que se requiere considerar en la identificación de las elasticidades de la oferta de trabajo y se describe la estrategia empírica. En la sección II se realiza un análisis descriptivo del mercado de trabajo en el largo plazo y en la III se presentan los resultados de las estimaciones econométricas. Por último, se resumen las principales conclusiones.
I. Elasticidades salariales: aspectos conceptuales y estrategia empírica
1. Aspectos conceptuales
Los modelos de oferta de trabajo estáticos surgen de la teoría básica del consumidor aplicada a las decisiones individuales de consumo de ocio (bien normal) y de bienes de mercado en un momento dado (Blundell y MaCurdy, 1999). Un aspecto clave es cómo cambia la asignación de tiempo de los trabajadores ante variaciones en los salarios. El signo y la magnitud de la elasticidad depende de dos efectos: el efecto renta y el efecto sustitución. El primero es negativo y explica el cambio en las horas de trabajo debido a un aumento en el ingreso, considerando el precio del ocio constante. El efecto sustitución es positivo y mide la respuesta del trabajador ante un aumento en la tasa de salarios, en el supuesto de que el ingreso se mantiene constante (el consumo de ocio es relativamente más caro). Ambos efectos suelen darse conjuntamente y el resultado neto depende de la magnitud de cada uno. El efecto ingreso predominaría para los trabajadores con salarios más altos, mientras que el efecto sustitución dominaría entre aquellos con salarios más bajos y entre las mujeres, caracterizadas como mano de obra secundaria debido a su asignación social de responsabilidades en los trabajos no remunerados.
Los modelos de oferta de trabajo dinámicos interpretan la participación en el mercado de trabajo como parte de un proceso de toma de decisiones, a lo largo del ciclo de vida, que pueden verse afectados por cambios en su estado sanitario, la composición familiar o el salario real. Según MaCurdy (1981) y Blundell y MaCurdy (1999), salvo que se suponga la existencia de miopía completa o mercados de capitales “perfectamente imperfectos”, las decisiones de oferta de trabajo están relacionados intertemporalmente y son una función del salario presente, los salarios futuros descontados, la riqueza y las restricciones existentes en los distintos periodos. Debe señalarse que las trayectorias laborales a lo largo del ciclo de vida suelen ser distintas entre hombres y mujeres, dadas las posibles interrupciones a que pueda dar lugar la maternidad y la crianza de los niños y, fundamentalmente, como consecuencia de la división sexual del trabajo en los hogares y la cultura predominante.
La distinción entre los modelos estáticos y dinámicos es fundamental para definir la estrategia empírica y la interpretación de las elasticidades de las ecuaciones de oferta (Blundell y MaCurdy, 1999). Basado en MaCurdy (1981) y Pencavel (2002) este artículo utiliza la ecuación de oferta de trabajo de Frisch, la cual supone que los agentes mantienen la utilidad marginal de la riqueza constante en el tiempo (λt ).4 Esta función descompone las decisiones de consumo de ocio y de oferta laboral observadas en cada periodo; la evolución futura de estas variables sólo incide en las decisiones presentes si alteran el valor del parámetro λt .5 Para deducir la elasticidad intertemporal a nivel analítico, el problema de optimación para la cohorte k con grupo el grupo educativo s, queda definido como:
en el que α representa la edad; U, una función de utilidad específica para cada edad, que depende del consumo (C) y de las horas de trabajo (h) y es actualizada a partir de la tasa de preferencia por el tiempo (τ ). En la restricción presupuestal, A 0 representa la riqueza inicial real, w es el salario real y r la tasa de interés a la que el individuo puede endeudarse o prestar dinero. Aplicando logaritmos a la condición de optimación de primer orden de las personas que trabajan horas positivas, se puede despejar la función de oferta laboral para una cohorte k, con años de educación s y edad α. Esto deriva en una ecuación que vincula las horas de trabajo con el salario corriente (w), un vector de efectos fijos a nivel de cohortes (wk ) y efectos fijos por nivel educativo (vs ). Los efectos fijos wk y vs , captan la incidencia de las utilidades marginales constantes para cada cohorte y nivel educativo (MaCurdy, 1981; Pencavel, 2002).
Esta ecuación permite arribar a la elasticidad intertemporal, θ, la cual mide la respuesta de las horas de trabajo a cambios en los salarios a lo largo del ciclo de vida, manteniendo constante la utilidad marginal de la riqueza. Los individuos a lo largo de su vida tienden a concentrar las horas de trabajo en las edades en que sus salarios son mayores, por lo que este parámetro es positivo. El parámetro
refleja la razón entre las tasas de descuento del individuo y las tasas de interés. Finalmente, εk , s = −θ ln bk , s (α) representa los gustos para las diferentes cohortes (se supone cómo un término error iid).
Aplicando diferencias se arriba a la ecuación 3. Esta especificación presenta algunas ventajas ante la presencia de incertidumbre (Deaton, 1985):
Por otra parte, a partir de la ecuación de oferta de Frisch se puede analizar cómo cambian las respuestas laborales ante variaciones en el perfil salarial. En este caso se supone que los consumidores tienen preferencias heterogéneas y λ 0 deja de ser constante y modeliza como una función de la trayectoria salarial a lo largo del ciclo de vida y de la riqueza Aα , lo que se expresa en (4):
Esta ecuación (4) incluye la riqueza inicial y los salarios pasados y futuros. En general esta información no está disponible, por lo que se supone que dada una cohorte y un grupo educativo, para cierta edad, el logaritmo de los salarios sigue una forma cuadrática. Finalmente, para la edad “α”, la riqueza inicial es sustituida por el ingreso no laboral observado para esa edad, y una forma cuadrática de la edad.6 Sustituyendo ambas formas en 4 y luego en 3, se arriba a la ecuación de oferta laboral:
en la que δ = θ + ηα representa la elasticidad no compensada y mide la respuesta de las horas trabajadas7 frente a un cambio salarial para la edad α, asociado con un cambio paramétrico que afecta el comportamiento a lo largo del ciclo de vida. Este parámetro incorpora cómo los incrementos salariales alteran la utilidad marginal de la riqueza a lo largo del ciclo de vida. Es de esperar que la misma sea decreciente con los salarios reales y la riqueza, por lo que cada coeficiente ηα debería ser negativo. En consecuencia el signo de la elasticidad no compensada será indeterminado y su magnitud será menor o igual a la elasticidad intertemporal.8 En primeras diferencias se llega a la ecuación:
2. Estrategia empírica
A continuación se presenta la estrategia empírica utilizada en este artículo, basada en Pencavel (2002) y posteriormente, se describen los datos utilizados.
a) Metodología de estimación. Las estimaciones se basan en los indicadores sintéticos que surgen de la información de pseudopaneles construidos a partir de una serie de encuestas de corte transversal. Una cohorte de individuos se define como el conjunto de personas nacidas en un grupo de años sucesivos, que pueden ser seguidas a lo largo del tiempo en términos muestrales. Para lograr cohortes sintéticas más homogéneas, además de considerar la generación de nacimiento, se utilizan variables que no se modifican con el tiempo, como el sexo y, a partir de cierta edad, la escolaridad. Baltagi (2005) argumenta la existencia de una tensión entre el número de cohortes y su representatividad. Un mayor número de grupos permite una composición interna más homogénea, pero las cohortes sintéticas podrían perder representatividad. Si el número de grupos es reducido, los estadísticos van a ser más robustos, pero resumirán información de individuos más heterogéneos.
Heckman y MaCurdy (1980) y Pencavel (2002) destacan tres importantes ventajas del uso de pseudopaneles. En primer lugar, permiten aproximarse a la distribución intertemporal de las horas trabajadas, lo cual no es posible con información de corte transversal. En segundo lugar, pueden minimizar sesgos debido a errores de medición en las variables de los microdatos, al trabajar con promedios o estadísticos similares por cohorte. En tercer lugar, permiten incorporar variables macroeconómicas, lo cual no es posible en corte transversal. Deaton (1985) plantea una ventaja adicional, y es que los pseudopaneles, al construirse a partir de muestras nuevas cada año, no presentan el problema de desgranamiento clásico de los datos de panel.
MaCurdy (1981) plantea el uso de pseudopaneles para la estimación de funciones de oferta laboral derivadas en el apartado anterior. Deaton (1985) reconoce las ventajas que ocasiona el uso de estas técnicas al incorporar los efectos fijos pero sugiere la necesidad de considerar posibles errores de medición que podrían surgir de trabajar con pseudopaneles. Argumenta que si las cohortes son construidas a partir de un número significativo de observaciones, estos problemas se pueden obviar, y las estimaciones arrojan estimadores congruentes. Esta situación se aplica al presente artículo.
Con base en las recomendaciones de Deaton (1985) y el procedimiento seguido por Pencavel (1998 y 2002), se utiliza el método de mínimos cuadrados ponderados (MCP), cuyos ponderadores se definen en la siguiente sección. Asimismo, se estiman los errores estándar por el procedimiento de White, considerando la posible existencia de heteroscedasticidad.
La bibliografía plantea que la estimación de ecuaciones de oferta laboral podría enfrentar problemas de endogeneidad (Pencavel, 1998). Los ingresos laborales en términos reales pueden estar correlacionados con el término de error en la ecuación principal. Las causas de esta correlación podrían estar asociadas a la existencia de variables no observables que expliquen las horas y los ingresos, o a la existencia de errores de medición. Con el objetivo de mitigar los potenciales problemas de endogeneidad, se utilizaron dos conjuntos de variables para instrumentar el salario, tanto en las regresiones para hombres como para mujeres. Siguiendo los trabajos de Pencavel (1998, 2002) y Robbins et al. (2009) en una primera especificación se utilizan como variables instrumentales las importaciones y el tipo de cambio real interactuando entre sí, e interactuando cada una con un polinomio de grado cuatro de la edad y con los años de escolaridad (VIA).9 En segundo lugar, para el caso de los hombres se utilizan los salarios de las mujeres solteras que trabajan y para las mujeres, los salarios de los hombres solteros (VIB).10 El fundamento para la selección de estos instrumentos es que en ambos casos las variables estarían muy correlacionadas con el salario del sexo opuesto y es de esperar que el salario de las mujeres solteras sea exógeno a la decisión de la cantidad de horas trabajadas por los hombres. El razonamiento es análogo en relación con el salario de las mujeres y su instrumentación por medio del ingreso de los solteros.11 Para evaluar la calidad de los instrumentos y la magnitud del potencial sesgo se realizan las pruebas propuestas en Bound et al. (1995).12
En las estimaciones de la oferta femenina se tratan posibles problemas de sesgo de selección muestral que podrían surgir de un problema de autoselección o de truncamiento incidental (Heckman, 1979). Este sesgo puede ser especialmente relevante en el caso de la oferta femenina ante la existencia de no observables que incidan en la decisión de participar y en la asignación de horas una vez que ingresaron al mercado de trabajo. La bibliografía no es contundente respecto al mejor tratamiento de este problema, cuando las estimaciones utilizan pseudopaneles. Pencavel (1998) sugiere incluir un término de selección derivado de las proporciones de empleo (observado y proyectado) para cada cohorte.13
b) Fuente de información. La información en que se basa este trabajo proviene de las Encuestas Continuas de Hogares (ECH) del Instituto Nacional de Estadística para el periodo 1986-2010. La ECH proporciona información de hogares e individuos relacionada con el empleo y los ingresos.14 Su compatibilización a lo largo de ese periodo permite la construcción de cohortes sintéticas, representativas del Uruguay urbano.
El estudio abarca las cohortes nacidas entre los años 1932-1936 hasta las nacidas entre 1977-1981, que se construyen haciendo grupos de cinco generaciones según sexo. Para cada cohorte sólo se incluyen las edades en las que se observa a las cinco generaciones que la componen, lo que permite obtener un número suficiente de individuos por celda para obtener estadísticos sintéticos representativos. Para aislar los efectos que podrían tener el tiempo destinado a la formación entre los trabajadores jóvenes y la etapa de retiro de la actividad, el tramo de edad considerado fue de 25 a 60 años. En el Cuadro A1 del apéndice se resume el número de observaciones por cohorte a lo largo del tiempo.
El rango del número de observaciones utilizado para la construcción de los indicadores sintéticos varía entre las celdas conforme cambia la ponderación de los grupos etarios y las encuestas que se toman como base para la identificación de las mismas. Por tanto, para las medias de cada grupo-cohorte, cada observación de los microdatos fue ponderada según la proyección poblacional para cada año. Estas proyecciones son utilizadas para ponderar cada celda en el procedimiento de estimación.
Para estimar los parámetros de interés de las ecuaciones (2), (3), (4) y (5), se utilizan por otra parte, como indicador de la oferta, las horas promedio trabajadas por la cohorte (margen intensivo) y sus tasas de participación (margen extensivo).15 En el primer caso los microdatos utilizados corresponden a todas las personas que perciben ingresos por trabajo, y en el segundo se considera el total de personas de cada cohorte. En las estimaciones de las elasticidades se utilizan las horas y los ingresos del empleo principal, decisión que se fundamenta en Espino et al. (2012).16 En el cuadro A2 del apéndice se resumen los criterios de construcción de las variables utilizadas en las estimaciones.
II. Una mirada del largo plazo
En este apartado se analiza la evolución intergeneracional y en el ciclo vital de las principales variables vinculadas a la oferta de trabajo: participación laboral, horas trabajadas e ingreso laboral.
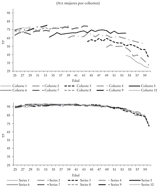
La tasa de actividad femenina aumentó sostenidamente desde mediados del decenio de los ochenta pasando de 41.3% en 1986 hasta 55.2% en 2010.17 La tasa de actividad masculina por su parte se mantuvo relativamente estable, con una pequeña caída para el mismo periodo: 73.7 a 72.7%. El crecimiento de la participación femenina también es posible constatarlo por medio de las distintas generaciones (Gráfica 1).

GRÁFICA 1 Tasas de participación femenina y masculina por cohortes según edad. Total del país (localidades de 5 mil y más habitantes)
Las mujeres presentan una tendencia a disminuir el promedio de sus horas trabajadas entre las distintas cohortes para una misma edad. Lo anterior se verifica en las estadísticas de corte transversal y cuando se analiza la evolución de las horas por medio de pseudopaneles (Gráfica 2). En el caso masculino la disminución de las horas promedio de trabajo es menos pronunciada. El promedio de horas trabajadas es diferente según sexo, con un promedio de 36 horas a la semana en las mujeres, mientras que para los varones es de 45 horas.

GRÁFICA 2 Promedio de horas trabajadas por mujeres y varones en la actividad principal según cohorte. Total del país
A diferencia de lo que ocurre con la participación, la evolución de las horas trabajadas a lo largo del ciclo de vida no muestra una pauta definida. En el caso femenino, las horas se mantienen relativamente estables para las distintas edades, presentando una pequeña tendencia al descenso a partir de los 50 años de edad. Las cohortes de varones parecen trasladar hacia edades más tempranas las mayores cargas horarias de trabajo y las horas promedio se reducen a partir de los 55 años (Gráfica 2). En Uruguay las mujeres, a diferencia de los varones, no parecen verificar la predicción del modelo teórico que refiere que las horas de trabajo presentan una forma de U invertida a lo largo del ciclo vital.
Aunque no se observan cambios significativos en la participación masculina se verifica una pequeña tendencia decreciente en sus horas trabajadas. Por su parte, las generaciones más jóvenes de mujeres tienen una mayor participación, aunque también presentan una pequeña caída en las horas laborales. Por tanto, aumenta la participación femenina en el mercado laboral mientras que su dedicación no es forzosamente mayor a la de las generaciones anteriores. La tendencia de la participación es coincidente con la de los Estados Unidos (Pencavel, 1998), pero no ocurre lo mismo con la evolución de las horas trabajadas que según el autor aumentan en las generaciones más jóvenes.
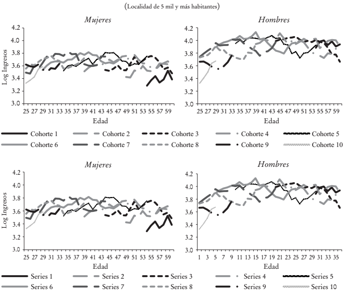
La evolución de los ingresos laborales reales para las distintas cohortes presenta diferencias entre generaciones, y no parece adoptar el comportamiento esperado en el ciclo de vida (Gráfica 3). Las diferencias por sexo son significativas cuando se comparan los ingresos laborales, siendo más grandes para los hombres. Por su parte, las brechas de ingresos entre generaciones son menos marcadas en el caso femenino.

GRÁFICA 3 Promedio de horas trabajadas por mujeres y varones en la actividad principal según cohorte. Total del país
Esta evolución contrasta con la serie hallada por Pencavel para los Estados Unidos en el periodo 1975-1994, en la que los salarios reales aumentan monótonamente con la edad y con la cohorte. Esta evolución diferente podría estar vinculada con el comportamiento cíclico de la economía uruguaya y en particular con la gran caída en los ingresos salariales reales que se verificó como resultado de la crisis económica y financiera a principios del decenio de los 2000. Más allá de esto, la evolución de la participación femenina parece no responder al ciclo y su tendencia creciente domina en el largo plazo, lo cual da indicios de que las mujeres no responderían a la lógica del trabajador añadido. Como se analizará en la siguiente sección, la magnitud de las elasticidades encontradas sería una prueba en este sentido.
III. La elasticidad de la oferta a los salarios
A continuación se presentan las elasticidades que resultan de la estimación de las ecuaciones 2-5. i) Se compara la elasticidad intertemporal y la no compensada en el margen intensivo por sexo; ii) se profundiza en el comportamiento de la oferta femenina analizando las decisiones en el margen extensivo, y iii) se analiza la existencia de cambios intergeneracionales. Las estimaciones se realizan para los dos instrumentos descritos en la subsección I.2.a y se presentan los estadísticos de las pruebas sugeridas por Bound et al. (1995).
1. Elasticidad intertemporal y no compensada masculina y femenina
Las estimaciones realizadas presentan elasticidades intertemporales positivas, con magnitudes relativamente altas y comparables con las obtenidas en la bibliografía. Si bien la estimación puntual resulta mayor para las mujeres, las diferencias entre sexos no son estadísticamente significativas. En la bibliografía internacional algunos trabajos encuentran elasticidades no significativamente distintas de 0 para los hombres, lo cual es congruente con que la oferta masculina sea inelástica (Pencavel, 2002). González y Sala (2011a) encuentran elasticidades intertemporales negativas para Uruguay, con base en pseudopaneles y sin distinguir por sexo. En el contexto del ciclo de vida esta respuesta podría estar asociada a que los hogares enfrentan restricciones de acceso al crédito o incertidumbre respecto a las oportunidades de empleo futuro (Lundberg, 1985). Los hallazgos para el caso uruguayo rechazarían estas hipótesis y estarían indicando que tanto las mujeres como los hombres presentan un comportamiento compatible con la lógica del ciclo de vida.
Con el objetivo de corregir el problema de sesgo de selección en la oferta laboral femenina, basados en Pencavel (1998) se incluye en la regresión un término de selección derivado de las proporciones de empleo (observado y proyectado) para cada cohorte (Cuadro 2). Los coeficientes del término de corrección arrojan resultados ambiguos; en algunos casos no son significativos y en otros no permiten descartar la presencia de problemas de sesgo de selección. Cuando las estimaciones consideran el sesgo los resultados son congruentes, las magnitudes son similares o mayores de las que surgen cuando no se aplica dicha corrección. Sin embargo, se debe considerar que este procedimiento enfrenta algunas limitaciones que son analizadas en Pencavel (1998).18 La estimación de las elasticidades no compensadas para hombres y mujeres se presenta en el cuadro 3. Los resultados son similares a los hallazgos de la bibliografía internacional y a los hallazgos para el caso uruguayo de Espino et al. (2009).19
CUADRO 2 Elasticidades intertemporales con corrección de sesgo. Todas las mujeresa

a VIA: Interacción entre importaciones y edad, edad al cuadrado, al cubo y a la cuatro. Interacción entre tipo de cambio real, edad al cuadrado, al cubo y a la cuatro. Interacción entre educación e importaciones. Interacción entre educación y tipo de cambio real. Interacción entre el tipo de cambio real y las importaciones. VIB. Salario por hora de los hombres solteros
b Se incluye la tasa de empleo real.
c Se incluye la tasa de empleo proyectada.
Las magnitudes son compatibles con lo que predice el modelo; es decir, en todos los casos presentan una magnitud inferior a la elasticidad intertemporal. Dependiendo del instrumento utilizado, la estimación puntual de la elasticidad masculina varía en un rango de 0 a 0.19, lo que no permite identificar la magnitud del efecto ingreso, que en el extremo podría compensar el efecto sustitución. Para la oferta laboral femenina la estimación puntual de la elasticidad no compensada se sitúa entre 0.21 y 0.22, lo que indicaría el predominio del efecto sustitución en el efecto ingreso. La magnitud de la elasticidad no compensada femenina resulta estadísticamente mayor o igual a la de los varones. Esto es compatible con que las mujeres tienen un efecto sustitución relativamente mayor que los varones, mientras que el efecto ingreso sería igual o un poco mayor entre estos últimos. Los resultados son coherentes con hallazgos anteriores de la bibliografía de la oferta laboral femenina y su mayor sensibilidad a cambios salariales. La especificación de la elasticidad no compensada que incluye la variable “otros ingresos no laborales”, cuando se realiza con VIA presenta un coeficiente negativo para las mujeres y no es significativamente distinto de 0 con VIB. Para los varones esta variable no es significativa en ningún caso. Si se considera al ocio como un bien normal, un signo negativo sería congruente, e implica que conforme aumenta la renta de los hogares se incrementa su consumo y disminuyen las horas destinadas al trabajo remunerado. Por tanto, existe ciertas pruebas de que el efecto renta del hogar opera con mayor intensidad entre las mujeres, dado que si bien las mujeres asignan una relevancia creciente a su participación en el mercado de trabajo, aún predomina el papel de proveedor de los hombres.
La sensibilidad de la oferta femenina a los cambios salariales podría ser distinta según su estado civil y la composición del hogar, por lo cual en el Cuadro 4 se realizan estimaciones de las elasticidades no compensadas controlando por variables demográficas.20 Con base en Pencavel (1998) se calcula el porcentaje de mujeres con presencia de menores en el hogar y el porcentaje de mujeres casadas y unidas para cada celda y momento del tiempo. Por otra parte se realizan estimaciones considerando la posible presencia de sesgo de selección. Como es de esperar, la presencia de menores está asociada a una menor dedicación al mercado laboral, mientras que el coeficiente de estado civil no tiene resultados concluyentes. Las estimaciones de las elasticidades confirman los resultados anteriores aunque el coeficiente de los otros ingresos no laborales no es significativo.
CUADRO 4 Elasticidades no compensadas de las mujeres, incluyendo variables demográficas y término de seleccióna

a VIA: Interacción entre importaciones y edad, edad al cuadrado, al cubo y a la cuatro. Interacción entre tipo de cambio real, edad al cuadrado, al cubo y a la cuatro. Interacción entre educación e importaciones. Interacción entre educación y tipo de cambio real. Interacción entre el tipo de cambio real y las importaciones. VIB: Salario por hora y otros ingresos de los hombres solteros. Interacción entre educación e importaciones. Interacción entre el tipo de cambio real y las importaciones.
b Se incluye la tasa de empleo real.
c Se incluye la tasa de empleo proyectada.
Para examinar la robustez de estos resultados se estiman las elasticidades intertemporales y no compensadas por sexo a partir de las variables en diferencia [(ecuaciones 3 y 5)]. Las pruebas realizadas no permiten descartar la hipótesis de debilidad de los instrumentos VIB, pero la rechazan para el conjunto de instrumentos VIA. En este último caso, la elasticidad intertemporal de las mujeres es significativa, positiva y similar a las estimaciones anteriores (pero no es diferente a la de los hombres). Para la elasticidad no compensada no se rechaza que para las mujeres sean significativamente distintas de 0 (véase el cuadro A5 del anexo).21 Los resultados son compatibles con lo analizado previamente y confirmarían un efecto sustitución de mayor magnitud entre las mujeres.22
En síntesis, los resultados de las estimaciones de la elasticidad intertemporal y no compensada son compatibles con lo que predice la teoría y se sitúan en magnitudes comparables con los hallazgos de estudios anteriores. Esto confirma la importancia de la distinción conceptual entre ambas elasticidades y las ventajas que ofrece la metodología propuesta por MaCurdy para su aproximación. Finalmente, para el caso uruguayo las pruebas encontradas confirmarían que las personas suponen un comportamiento que busca optimar su salario a lo largo del ciclo de vida. Se encuentran diferencias por sexo, confirmando un efecto sustitución superior para las mujeres y un efecto ingreso superior para los hombres. Finalmente, la confirmación de un comportamiento congruente con el ciclo de vida y la existencia de una elasticidad no compensada positiva para las mujeres, podría representar pruebas contrarias al comportamiento anticíclico del trabajador añadido.23
2. Elasticidades en el margen extensivo
En la sección II se verificó que la participación laboral de la población masculina se mantiene muy alta entre generaciones, mientras que las mujeres aumentan su participación por medio de las diferentes cohortes. Por este motivo, en el margen extensivo se realizaron las mismas estimaciones del apartado anterior pero sólo para las mujeres. En este caso la variable dependiente resume el porcentaje de activos que presenta cada cohorte en los distintos momentos, lo que podría interpretarse como una propensión a participar.
CUADRO 5 Elasticidades intertemporales y no compensadas para las mujeres en el margen extensivoa

a VIA: interacción entre importaciones y edad, edad al cuadrado, al cubo y a la cuatro. Interacción entre tipo de cambio real, edad al cuadrado, al cubo y a la cuatro. Interacción entre educación e importaciones. Interacción entre educación y tipo de cambio real. Interacción entre el tipo de cambio real y las importaciones. VIB (int): salario por hora de los hombres solteros y otros ingresos no salariales de los hombres solteros. En el caso de la no compensada incluye además otros ingresos de los hombres solteros. Interacción entre educación e importaciones. Interacción entre el tipo de cambio real y las importaciones.
Al igual que en el margen intensivo, el signo de la elasticidad intertemporal de la participación en el mercado laboral, ante cambios en el perfil salarial, es positivo. La especificación de la elasticidad no compensada en el margen extensivo permite incorporar la tasa de desempleo como control y analizar cuál es la respuesta de la oferta laboral femenina al ciclo económico.24
El signo y la significación del coeficiente de la tasa del desempleo masculino para cada año aportan pruebas adicionales de la lógica del trabajador añadido, pues permiten caracterizar cómo reaccionan los trabajadores al ciclo económico (Cuadro 6). El trabajador añadido surge como una fuente de ingresos adicional de los hogares ante los momentos de recesión, y se caracteriza por una relación negativa entre su dedicación al trabajo remunerado y las remuneraciones o la riqueza del hogar. En un contexto de ciclo de vida es de esperar que el efecto trabajador añadido sólo sea importante en presencia de restricciones al crédito o incertidumbre (Lundberg, 1985). Dependiendo de si se incluyen variables demográficas, el coeficiente es negativo o no significativamente distinto de 0. Por tanto, las pruebas son contrarias a la hipótesis del trabajador añadido. Este resultado es compatible con las magnitudes de las elasticidades encontradas.25
CUADRO 6 Elasticidades no compensadas de las mujeres, incluyendo la tasa de desempleo de los hombresa

a VIA: interacción entre importaciones y edad, edad al cuadrado, al cubo y a la cuatro. Interacción entre tipo de cambio real, edad al cuadrado, al cubo y a la cuatro. Interacción entre educación e importaciones. Interacción entre educación y tipo de cambio real. Interacción entre el tipo de cambio real y las importaciones. VIB (int): salario por hora de los hombres solteros y otros ingresos no salariales de los hombres solteros. En el caso de la no compensada incluye además otros ingresos de los hombres solteros. Interacción entre educación e importaciones. Interacción entre el tipo de cambio real y las importaciones.
En síntesis, la participación laboral femenina parecería responder a la lógica del ciclo de vida, lo cual parece descartar un dominio de la hipótesis del trabajador añadido para las mujeres uruguayas y es compatible con los resultados obtenidos en la subsección 1.
3. Cambios intergeneracionales
Las estimaciones de los “efectos cohorte” en la ecuación (4) permiten evaluar la existencia de un cambio discreto entre generaciones en el promedio de horas trabajadas y en la participación. En la gráfica 4 se presentan estos efectos fijos correspondientes a las estimaciones de las elasticidades del Cuadro 1. Se observa una tendencia decreciente en el promedio de horas trabajadas para las cohortes más jóvenes; este hecho se verifica tanto en las estimaciones con VIA como con VIB. La aplicación de las pruebas estadísticas habituales permite afirmar que el efecto cohorte es significativamente menor en las cohortes 1972-1976 y 1977-1981 (9 y 10) en relación con las cohortes 1942-1946 y 1947-1951 (3 y 4).

a Este coeficiente equivale a una transformación logarítmica de la utilidad marginal de la riqueza inicial de cada cohorte en relación con la cohorte 1.
GRÁFICA 4 Efecto cohortes en el margen intensivo para mujeres (estimación puntual y desvíos)
Puesto que estos parámetros representan una transformación logarítmica de la utilidad marginal de la riqueza inicial, la tendencia decreciente podría estar asociada con el perfil salarial de las mujeres más jóvenes a lo largo de su ciclo de vida, que es relativamente mayor que el de sus pares de mayor edad.26
En el cuadro 7 se propone un modelo más general que las especificaciones de la subsección 1, en el sentido de permitir que las elasticidades difieran entre las cohortes más jóvenes y el resto, según a un posible cambio en las elasticidades intertemporales entre las distintas generaciones.27 Como se observa, por un lado, entre las generaciones más jóvenes la elasticidad intertemporal es significativamente más alta, lo cual podría estar asociado a que este grupo de mujeres logra articular mejor el tiempo destinado a su trabajo remunerado con el no remunerado, o tienen mayor certidumbre en su trayectoria laboral a lo largo de su ciclo de vida.28
CUADRO 7 Elasticidades intertemporales, según grupo de cohortesa

a VIA: interacción entre importaciones y edad, edad al cuadrado, al cubo y a la cuatro. Interacción entre tipo de cambio real, edad al cuadrado, al cubo y a la cuatro. Interacción entre educación e importaciones. Interacción entre educación y tipo de cambio real. Interacción entre el tipo de cambio real y las importaciones. VIB: salario por hora de los hombres solteros.
En el caso de las no compensadas (Cuadro 8) se encuentran magnitudes inferiores a la intertemporal para cada grupo y las discrepancias entre grupos no son significativamente distintas de 0. Al observar las diferencias entre ambas elasticidades, existen indicios de que el efecto ingreso sea más importante entre las mujeres del grupo de cohortes más viejo. Esto es compatible con lo hallado en los efectos fijos para cada cohorte y sugiere que la hipótesis del trabajador añadido tendría más sentido en las cohortes mayores, mientras tendería a no verificarse en las cohortes más jóvenes. Entre estas últimas, la mayor magnitud del efecto ingreso indicaría un comportamiento más parecido al masculino.
CUADRO 8 Elasticidades no compensadas de las mujeres, según grupos de cohortesa

a VIA: interacción entre importaciones y edad, edad al cuadrado, al cubo y a la cuatro. Interacción entre tipo de cambio real, edad al cuadrado, al cubo y a la cuatro. Interacción entre educación e importaciones. Interacción entre educación y tipo de cambio real. Interacción entre el tipo de cambio real y las importaciones. VIB: salario por hora de los hombres solteros y otros ingresos no salariales de los hombres solteros.
La elasticidad presenta signo negativo y significativo para los otros ingresos del hogar, en las especificaciones con el instrumento VIA. La inclusión de las variables demográficas no altera estas conclusiones.
Finalmente se analizan los efectos fijos en las ecuaciones de participación, considerando la posibilidad de cambios intergeneracionales en la decisión en el margen extensivo (se corresponde con las elasticidades intertemporales estimadas en el Cuadro 5). Los dos instrumentos utilizados muestran resultados robustos sobre una mayor participación promedio entre las mujeres más jóvenes, lo cual concuerda con lo observado en la sección II.
Conclusiones
El presente artículo permite confirmar la importancia de los cambios recientes en la oferta laboral femenina, la cual explica el crecimiento en la participación del mercado laboral uruguayo en los pasados tres decenios. La reducción en la brecha de participación por sexo responde a un comportamiento secular asociado a cambios intergeneracionales. Los resultados de las estimaciones de las elasticidades intertemporal y no compensada son compatibles con lo que predice la teoría y se sitúan en magnitudes comparables con los hallazgos de estudios previos. La elasticidad intertemporal en el margen intensivo es significativa y positiva, lo que confirmaría que tanto los hombres como las mujeres asumen un comportamiento congruente con las predicciones del modelo de ciclo de vida. Asimismo, cuando se incorpora el efecto ingreso y se estiman las elasticidades no compensadas, sus magnitudes son inferiores a las intertemporales, lo cual representa pruebas favorables a las especificaciones propuestas por Pencavel (2002). Los resultados muestran que la magnitud de la elasticidad no compensada femenina es estadísticamente mayor o igual que la obtenida para los hombres. Esto sería compatible con que las mujeres tienen un efecto sustitución relativamente mayor que los varones, mientras que el efecto ingreso sería igual o un poco mayor entre estos últimos.
Los resultados son congruentes para los dos instrumentos aplicados, tanto en las estimaciones en nivel como en diferencia, aunque en estas últimas se relativiza la existencia de diferencias de género. Las magnitudes de las elasticidades son robustas al tratamiento de los problemas de sesgo de selección y la inclusión de controles adicionales.
Respecto a las estimaciones en el margen extensivo, la participación femenina en el mercado parecería responder a lo lógica del ciclo de vida. Con base en el signo de las elasticidades se encuentran pruebas indirectas contrarias de un comportamiento laboral explicado por la hipótesis del trabajador añadido. La consideración del ciclo económico por medio de la variable desocupación masculina tiene resultados en el mismo sentido.
Se encuentran ciertas pruebas de la existencia de cambios intergeneracionales al interior de la población femenina. Los resultados permiten afirmar que las generaciones de mujeres más jóvenes participan en mayor medida que las generaciones anteriores, pero una vez en el mercado destinan en promedio menos horas. La conducta diferencial en el margen intensivo y extensivo podría estar asociada al ingreso de mujeres casadas y unidas, que si bien incrementan su participación en el trabajo remunerado, siguen asumiendo responsabilidades en el hogar. Por otra parte, las pruebas del cambio en la elasticidad intertemporal podrían estar indicando que las generaciones más jóvenes logran articular el trabajo en el hogar y en el mercado, pues ajustan su dedicación de acuerdo con su trayectoria laboral a lo largo del ciclo de vida. Existen indicios de que el efecto ingreso es más importante entre las mujeres de cohortes más jóvenes, lo que estaría indicando para este grupo un comportamiento más parecido al masculino.
Es de esperar que la participación laboral femenina siga aumentando, mientras que en el margen intensivo la tendencia sería ambigua, dependiendo de la capacidad que dispongan los hogares para conciliar el trabajo remunerado y las responsabilidades familiares. Esto da mayor relevancia a la necesidad de elaborar políticas públicas basadas en la corresponsabilidad que faciliten la inserción laboral femenina, considerando los distintos perfiles salariales y las exigencias de las actividades de cuidados en los hogares. Los hallazgos de este documento son relevantes en el contexto regional según la bibliografía y la hipótesis de la convergencia en el comportamiento laboral entre ambos sexos. Estos cambios podrían responder a que las mujeres han fortalecido su identidad como trabajadoras y ampliado el horizonte temporal de su trayectoria laboral, lo cual es compatible con los hallazgos de Espino et al. (2012) comportamiento de las mujeres con estudios terciarios.
Finalmente, en relación con posibles cambios en las políticas según Blundell y MaCurdy (1999), podría entenderse que la elasticidad no compensada es el parámetro relevante para predecir qué consecuencia en la oferta podrían tener las reformas que incidan en el salario. El dominio del efecto sustitución en el efecto ingreso indicaría que las mujeres, y en menor medida los hombres, responderán reduciendo un poco las horas destinadas al mercado de trabajo, si las reformas reducen su salario neto. Las pruebas encontradas en este trabajo no son contundentes en cuanto a los desestímulos de este tipo de políticas en las decisiones de participación. No obstante, estas conclusiones están sujetas a una serie de supuestos muy restrictivos, ya que se basan en un modelo de equilibrio parcial en el que los agentes mantienen estables sus preferencias y no encuentran restricciones en su optimación.
Un mayor conocimiento de estos elementos puede contribuir a mejorar la situación de las mujeres en el empleo y a elaborar políticas de conciliación que consideren tanto el trabajo remunerado como las obligaciones relativas al trabajo no remunerado en los hogares. Asimismo, podría resultar una aportación para las políticas relativas a la seguridad social de las mujeres.










nueva página del texto (beta)

















