Clasificación JEL: O54, I31, I32.
Introducción
Sin duda, el relativamente alto nivel de pobreza alimentaria en México continúa siendo uno de los grandes desafíos del país. De acuerdo con el Consejo Nacional de Evaluación de las Políticas Sociales (Coneval), en 2010 aún 18.8% de la población total generaba un ingreso menor al valor de la línea de pobreza alimentaria. El valor de esta línea de pobreza corresponde al costo de adquirir una serie de bienes alimenticios básicos, por lo que refleja que casi uno de cada cinco habitantes aún carece de los recursos para satisfacer necesidades nutricionales mínimamente adecuadas.
Un hecho relevante es que las tendencias de la pobreza alimentaria no han sido uniformes durante los pasados 20 años. Se incrementó entre 1992 y 1996, disminuyó constantemente entre 1996 y 2006 hasta llegar a 13.8%, y aumentó nuevamente a 18.8% entre 2006 y 2010. Esto tuvo como consecuencia que 6.5 millones de personas adicionales pasaran a formar parte del grupo de pobreza alimentaria en el transcurso de los pasados cuatro años.
Existen al menos cuatro elementos claramente asociados a estas tendencias. El primero son crisis financieras observadas en 1994 y 2008, que al igual que las crisis macroeconómicas anteriores de 1982 y 1988 se caracterizaron por una contracción pronunciada de la actividad económica de manera prácticamente generalizada, con efectos negativos en los ingresos de la gran mayoría de los hogares del país. La primera de estas crisis fue generada por factores internos mientras que la segunda se asocia al colapso de los mercados financieros internacionales que generaron condiciones externas adversas. De la misma manera, el entorno macroeconómico favorable del periodo 1996-2006 ha sido una de las explicaciones de la caída de la pobreza en dicho periodo.1
El segundo elemento tiene relación con la dinámica del mercado laboral. Es bien sabido que la pobreza responde de manera sensible a cambios en los salarios reales y en la productividad de la mano de obra, por lo que incrementos (reducciones) en los salarios propiciados por el entorno macroeconómico, la inversión, la estabilidad económica, etc., pueden afectar proporcionalmente más a los hogares de menores ingresos.2 Se esperaría por tanto que el incremento de los salarios reales durante el periodo 1996-2006 y su contracción en 1992-1996 y 2006-2010 estuviera también asociado a las tendencias observadas.
El tercer elemento es la política social y en particular los mecanismos utilizados por el gobierno para apoyar el consumo de los hogares de menores ingresos, independientemente de los elementos mencionados líneas arriba. De hecho, el Estado mexicano ha sido innovador internacional en la elaboración y ejecución de políticas para hacer frente al problema de la pobreza alimentaria utilizando transferencias condicionadas (incluyendo por ejemplo al Programa de Desarrollo Humano Oportunidades), y se considera que su papel ha sido importante para amortiguar efectos negativos en algunos periodos. En años recientes se agregó a Oportunidades un conjunto adicional de transferencias -incluyendo las focalizadas a los adultos mayores- que se han traducido en mayores ingresos para la población de menores recursos. Se esperaría que la expansión de estas acciones desde mediados de los años noventa hubiera tenido un efecto de reducción de la pobreza desde entonces, y que incluso pudiera haber amortiguado mayores incrementos derivados del ciclo económico.
Un cuarto elemento, que ha adquirido importancia en años recientes, es el costo de la canasta de alimentos utilizada para cuantificar el valor de la línea de pobreza alimentaria. Hasta mediados del decenio de los 2000 los precios de estos bienes habían fluctuado en línea con la inflación general, o incluso se habían reducido como consecuencia de los rápidos incrementos en la producción mundial derivados sobre todo de cambios tecnológicos y de avances científicos. Productos específicos como el maíz, el trigo, el frijol y el arroz -que además de estar incluidos en sí mismos, se utilizan para producir otros alimentos procesados de la dieta básica de la canasta alimentaria- presentaron precios relativamente estables y en algunos casos a la baja, que incluso abarataron el costo de la línea de pobreza en algunos años. Una reducción en el valor de la línea de pobreza propicia una caída en la proporción de población pobre si el resto de sus determinantes se mantienen inalterados, ya que implica un incremento en la capacidad adquisitiva de los hogares en términos reales.
A partir de mediados del decenio de los 2000, sin embargo, el panorama internacional experimentó un cambio significativo en este sentido. En 2006 el precio internacional de una serie de alimentos incluyendo al maíz, el trigo y el arroz, entre otros, empezaron a tener incrementos desproporcionados en un corto tiempo, lo cual despertó una señal de alarma en los mercados mundiales por el papel que desempeñan como nutrimentos de primera necesidad en todo el mundo y en especial en los países en desarrollo. A partir de ese año han ocurrido nuevos incrementos en los precios, con consecuencias considerables y que continuaron hasta fines de 2012. De acuerdo por ejemplo con un comunicado de prensa del Banco Mundial emitido en febrero de 2011, solamente en el segundo semestre del 2010 el aumento en el precio de los alimentos llevó a cerca de 44 millones adicionales de personas a la pobreza. Diversos estudios incluyendo a FAO, WFP e IFAD (2012) han alertado incluso que este nuevo fenómeno ha revertido importantes avances en el combate a la pobreza que se habían obtenido en los pasados 20 años en el mundo en desarrollo.
En teoría un aumento en los precios de los alimentos genera al menos dos tipos de efectos. El primero, ya señalado, es que incrementa el costo de los bienes de consumo primario, con lo cual el ingreso disponible de los hogares dedicado al consumo se reduce en términos reales, lo cual llevaría a un aumento de la pobreza. El segundo efecto es que un mayor precio de venta implica mayores ingresos para los productores que ofrecen estos productos en el mercado. Por tanto, para los hogares que son netamente consumidores el efecto será negativo (y previsiblemente de aumento de la pobreza) mientras que para los netamente productores será positivo (y con un efecto de reducción de pobreza). Para los hogares que son simultáneamente consumidores y productores el efecto dependerá de la estructura de consumo, de las elasticidades precio de la demanda y del volumen de producción, entre otros efectos.
El presente artículo se enfoca precisamente en analizar el efecto precio para el caso de México, y en particular, en sus efectos en la pobreza alimentaria en el país. En este sentido, ofrecemos al menos tres contribuciones a la bibliografía actual. La primera consiste en realizar una descomposición de los cambios en la pobreza para el periodo 1992-2010 utilizando técnicas que permiten dilucidar el efecto que han tenido el crecimiento, los salarios y las transferencias gubernamentales -que han sido estudiados anteriormente- y también el efecto del aumento en el precio relativo de los bienes que conforman la canasta alimentaria. La segunda contribución consiste en verificar si los hogares en pobreza han cambiado sus pautas de consumo a partir de los aumentos en los precios relativos. La tercera es la estimación de las elasticidades precio de la demanda de los 22 productos incluidos en la canasta alimentaria, con lo cual pueden describirse las estrategias que siguen los hogares para amortiguar el efecto precio.
La importancia del hincapié en los efectos precio radica, por una parte, en que para el año 2012 las perspectivas de crecimiento de la economía mexicana son en general positivas, con proyecciones oficiales de incremento de alrededor de 4% del producto interno bruto, y aumentos en el empleo, los salarios y el gasto social; sin embargo, la inestabilidad y la alta variabilidad en los precios de los alimentos lleva a pensar que los precios de los productos primarios pueden seguir a la alza. Esto obliga a revisar si las políticas sociales de reducción de la pobreza actuales serán suficientes para amortiguar estos potenciales efectos negativos en el bienestar de la población en pobreza alimentaria del país.
Además, el tema es importante por sus posibles consecuencias de largo plazo. Como lo han documentado Bhutta, Bawany, Ferzole y Rivzi (2008) los efectos son aún mayores si el precio afecta las pautas de consumo de los hogares, y en particular si reduce el acceso a la población de menor edad y a mujeres en embarazo a bienes con mayor beneficio nutricional. Es bien sabido que una alimentación deficiente en estas etapas tiene consecuencias futuras en las capacidades motrices y cognitivas, la productividad y la salud, entre otros efectos.
El documento se organiza en cinco secciones. La primera presenta una perspectiva internacional de los cambios en los precios de los alimentos, revisa las principales explicaciones de las causas del fenómeno y examina las metodologías utilizadas para estimar su efecto en la pobreza. La segunda presenta la evolución histórica de la pobreza alimentaria y de los precios, para poner el análisis en un contexto histórico adecuado. La tercera presenta la descomposición de los cambios en la pobreza en sus efectos de salarios, de transferencias gubernamentales, de otros ingresos y de precios. La cuarta sección describe las modificaciones en las pautas de consumo de alimentos por parte de la población pobre en los años recientes. La quinta sección presenta una serie de estimaciones de las elasticidades precio de la demanda de cada uno de los rubros incluidos en la canasta alimentaria, lo cual revela las estrategias seguidas por los hogares para aminorar el efecto. Presentamos una serie de innovaciones importantes respecto a estudios anteriores en cuanto a la estimación de elasticidades precio, que se describen más adelante. Por último, se presentan nuestras principales conclusiones y analizan distintas opciones de política pública para hacerle frente al fenómeno en estudio.
I. Perspectiva internacional de precios de los alimentos y pobreza
Esta sección ofrece una visión del contexto en el que se han manifestado los incrementos en los precios de los alimentos en los años recientes. Inicia con una descripción de las tendencias mundiales, para después analizar las causas que se han identificado en la bibliografía internacional del fenómeno. Además, examinamos los enfoques metodológicos que han seguido otros autores para medir el efecto de los cambios de los precios en la pobreza, y resumimos los resultados que se derivan de ellos.
1. Evolución de los precios de los alimentos en los mercados internacionales
El desproporcionado aumento en los precios de los alimentos en años recientes ha sido parte de una tendencia general de incremento en el valor de los bienes primarios en los mercados internacionales. La Gráfica 1 muestra por ejemplo la evolución de los precios de los alimentos, los aceites y las oleaginosas, los granos y otros bienes de acuerdo con el seguimiento que realiza mensualmente el Banco Mundial (véase Food Price Watch, 2012). Claramente puede observarse que el precio de los granos alcanza un pico en el primer semestre de 2008 con incrementos de alrededor de 150% en su valor en sólo unos meses. A continuación los precios se reducen y permanecen más o menos estables entre diciembre del 2008 y junio del 2010 para volver a incrementarse en más de 100% hacia junio del 2011. Los alimentos en general y los aceites y las oleaginosas siguen la misma pauta.
Estas tendencias se corroboran en el seguimiento a los precios mensuales de alimentos en los mercados internacionales realizado por la FAO, mostrados en la Gráfica 2. La perspectiva en este caso también llega hasta 2012 y permite identificar que entre 2005 y 2008 los aceites y las oleaginosas incrementaron su precio en casi 200%, mientras que las semillas lo hicieron en alrededor de 150% y las harinas en una proporción un poco inferior. Después de la reducción observada en 2009 los precios volvieron a incrementarse a montos similares a los observados en 2008 y se han mantenido cerca de sus valores desde entonces. La Gráfica 3 muestra pautas similares para los precios de la carne de ave, de ovino y de cerdo, todas evolucionando en la misma dirección y llegando a aumentos de casi 200% en el 2012.
El Cuadro 1 muestra la evolución reciente de alimentos críticos para la subsistencia humana, y en especial para los pobres entre 2010 y 2011 y muestra que los incrementos en los precios internacionales del maíz, el arroz, el trigo, la azúcar, la soya y los aceites -todos ellos parte de la canasta alimentaria en México- fueron de 84, 21, 55, 62, 47, y 45%, respectivamente, en estos productos en el transcurso de solamente un año.3

FUENTE: Food Price Watch, Banco Mundial, agosto de 2011.
Cuadro 1 Cambio en los precios de alimentos (Porcentaje)
Los datos muestran que en los meses de mayo y junio del 2012 se observa un nuevo incremento en los precios de los alimentos. Este acontecimiento reciente ha sido motivo de preocupación generalizada. De acuerdo con el Banco Mundial (2012) estos cambios recientes se han diferenciado de los previos en dos aspectos importantes. Por una parte, han estado acompañados de una volatilidad de precios inusitada que genera factores de incertidumbre adicionales. Por la otra, los aumentos han abarcado a un conjunto aún más amplio de productos alimenticios, lo cual deja menos opciones a los hogares para modificar sus pautas de consumo hacia productos de menor precio y ajustarse a la nueva realidad.
2. Algunas explicaciones de la dinámica de los precios
Existen múltiples análisis de las posibles causas del sostenido aumento en los precios de los alimentos. Por ejemplo, el Banco Mundial (2012) argumenta que la escalada en dichos precios se explica por tendencias de mediano plazo en ámbitos asociados como el aumento en los precios del petróleo que es un insumo para la producción agrícola, por la depreciación del dólar respecto a otras monedas, por la especulación en los mercados financieros, por la creciente escases de agua y tierra para la producción, y por el aumento en el ingreso en países en desarrollo que han presionado la demanda. Sin embargo, también apunta a otras causas más recientes y coyunturales como las sequías y los desastres naturales que recién se han acumulado precisamente en zonas de alta productividad agrícola.
En un estudio reciente, Kappel, Pfeiffer y Werner (2010) resaltan como factor principal una contracción en la oferta causada por malas cosechas y factores climáticos simultáneamente con una combinación de incrementos en la demanda por el crecimiento poblacional y del ingreso en los países más poblados. A esto se ha aunado la alta especulación financiera detonada por una excesiva volatilidad en los mercados. Conceição y Marone (2008) coinciden con esta explicación.
Nicoleta (2011) estudia de manera pormenorizada el caso de la volatilidad en los precios del maíz y coincide en la importancia de los factores climáticos, el aumento en los precios de insumos de producción incluyendo sobre todo el petróleo, la demanda por biocombustibles, la depreciación del dólar y la especulación bursátil. Agrega, sin embargo, un elemento adicional que tiene relación con los cambios en las pautas de consumo. De acuerdo con la autora dichos cambios se deben sobre todo al incremento en la demanda de carne por parte de la población china que ha ocasionado un desproporcionado aumento en la compra de granos para la engorda y alimentación para la producción de productos cárnicos.
Uno de los análisis más amplios al respecto es el de Headey y Fan (2008), que prueban formalmente distintas hipótesis intentando descartar aquellas con menos poder explicativo. Los autores concluyen que entre las múltiples explicaciones, el incremento en los precios internacionales del petróleo, la depreciación relativa del dólar estadunidense y el incremento en la demanda por biocombustibles -especialmente el etanol- constituyen las principales causas del fenómeno. En un documento reciente de 2012, el Banco Mundial presenta un panorama amplio y clasifica las diversas causas en aquellas que son de largo, mediano, corto (cíclicas) e inmediato plazos respectivamente, y diferencia los factores de oferta y demanda en cada caso. Esto permite organizar de mejor manera los distintos elementos.
El Cuadro 2 resume el análisis. Entre los factores de largo plazo que afectan la demanda se identifican por ejemplo el incremento de población y de ingresos que generan presión en el mercado de productos cárnicos (que requieren granos para su producción), mientras que por el lado de la oferta la escases creciente de tierra y agua para la producción, el cambio climático y los subsidios, entre otros, parecen desempeñar un papel preponderante. El principal factor de mediano plazo es la creciente demanda por biocombustibles, y por parte de la oferta el incremento de costos de producción diversos. Los principales factores de corto plazo son la especulación financiera y los cambios adversos en el clima aunados a nuevas enfermedades y plagas que han afectado la producción agrícola. Entre los efectos más recientes (inmediatos) se encuentran la crisis financiera internacional que ha causado una restricción mundial en el crédito para la producción, las restricciones en el uso de tierra para la agricultura y el crecimiento en el precio de las acciones de productos agrícolas específicos.
Para los propósitos del presente artículo, quizá la conclusión más importante que se derivan de estos análisis es que las causas del crecimiento en los precios de los alimentos se atribuyen primordialmente a efectos globales que afectan a todos los países. Por ejemplo, la mayor parte de los elementos en el Cuadro 2 se refieren a variables que se definen en los mercados internacionales en los que la influencia de un país en particular -incluso en el caso de las economías más grandes del planeta- no es directamente visible. Esto sugiere que si bien cada país en lo individual puede instituir políticas para amortiguar el efecto de la escalada en precios, ninguno, incluido México, puede atacar de manera global las causas estructurales del problema. Este hecho es relevante para el análisis de las consecuencias políticas que se presenta más adelante.
3. Metodologías y resultados
Al igual que existen estudios diversos que intentan dilucidar las causas del fenómeno en análisis, también existe una multiplicidad de investigaciones que intentan medir el efecto de la escalada de los precios en la pobreza. Existen básicamente dos enfoques generales al respecto. Por una parte, se han elaborado estudios desde una perspectiva macroeconómica en la que se estima el efecto del incremento de precios en el país, considerando en cada caso si el país de que se trate es importador o exportador neto de alimentos. Un ejemplo ilustrativo es el de la FAO (2008), que se enfoca en dilucidar el cambio en la pobreza derivado de aumentos de precios provocados por el incremento en la demanda por biocombustibles en los países en desarrollo. En este caso se estudian los efectos en la oferta agregada de alimentos, el acceso físico a ellos, la estabilidad de precios y el consumo agregado final. La conclusión central es que el efecto negativo provocado en el consumo de los hogares a nivel agregado es superior al efecto positivo que se presenta en los países productores de semillas. Solamente en el mediano plazo, si un país es capaz de aumentar su producción de granos y semillas significativamente, puede revertir el panorama haciendo el efecto ingreso mayor al efecto consumo.
Por otra parte, existe una amplia bibliografía que analiza el tema desde un enfoque microeconómico utilizando datos de hogares en lugar de estudiar los flujos agregados de las cuentas nacionales, como lo hace el enfoque macroeconómico. En esta bibliografía existen también distintos enfoques metodológicos. Uno de ellos se basa en los trabajos de Deaton (1988, 1989), quien analiza el efecto de un incremento en precios en el consumo utilizando al hogar como unidad de referencia. A partir de la definición de la función consumo y de la función de producción del hogar, el autor predice los efectos esperados por el choque de precios, simulando el valor del ingreso real de cada familia derivado del encarecimiento de los productos. Específicamente, calcula el ingreso adicional que requeriría un hogar para mantener constante su estructura de consumo ante el incremento presupuestario. Por parte de los ingresos, la simulación es similar y consiste en estimar el ingreso excedente que se deriva de mantener constante la estructura de producción, y cuantificando los productos a los nuevos precios. En ambos casos el enfoque es de equilibrio parcial, ya que no se toman en cuenta los posibles efectos sustitución hacia otros alimentos en el caso de consumo y hacia la mayor producción en el caso del ingreso. Una extensión a este enfoque, establecida por Ravallion (1990) y Ravallion y Van de Walle (1991), consiste en estimar la magnitud de posibles efecto ingreso positivos derivados de un incremento en los salarios agrícolas causados por el incremento de precios. Este efecto se observa en los asalariados y se agrega al efecto positivo de los productores.
Varios estudios siguen el enfoque anterior y abarcan a un conjunto amplio de países. Por ejemplo, Wodon y Zaman (2008) se enfocan en los países de África del Sursahara y encuentran que el efecto consumo tiene un efecto negativo significativamente mayor que el efecto ingreso, lo cual ha resultado en incrementos considerables de la pobreza derivados de los mayores precios de los alimentos. Dessus, Herrera y De Hoyos (2008) analizan datos de 72 países en desarrollo y llegan a conclusiones similares. Ivanic y Martin (2008) utilizan encuestas de hogares de 10 países de bajos ingresos y también encuentran que los efectos consumo negativos contrarrestan cualquier efecto de reducción de la pobreza proveniente de los mayores ingresos para los productores. Csaki y Buchenrieder (2010) utilizan datos de países europeos y del centro de Asia para realizar estimaciones similares, y llegan a la misma conclusión. Wodon et al (2008) obtienen resultados en la misma línea para los países centroafricanos y del oeste de África. Existen también estudios de países individuales como el de Linh Vu y Glewwe (2008) para el caso de Vietnam, en la misma dirección.
Para el caso de México, se han hecho estudios del mismo tipo en años recientes. Uno de ellos es el de Chávez et al (2009), quienes además de estimar el efecto precio como otras investigaciones, indagan algunas posibles respuestas de los hogares ante el choque de precios utilizando datos de 2006. Otro es el de Valero-Gil y Valero (2008) que también utilizan datos de 2006 para simular los posibles efectos ingreso y consumo utilizando precios de 2008, y arriban a la conclusión de que la pobreza moderada y extrema podrían haber aumentado de 25 a 33.5, y de 10.6 a 16%, respectivamente, debido a la reducción en el poder de compra de los hogares más pobres.
Otro enfoque seguido en la bibliografía económica para abordar el tema es la utilización de modelos de equilibrio general que permiten rastrear procesos adicionales detonados por un incremento en el precio de los alimentos, como por ejemplo, la sustitución de los hogares hacia otros bienes. Algunos ejemplos son los análisis de Warr (2008), Nkang, Omonona, Yusui y Oni (2012), y Del Río, Manuel e Islas (2010). En estos casos, un atractivo del enfoque es que logran captar efectos más allá de la reacción de corto plazo de los hogares, ya que simulan los enlaces hacia el sector productivo, y su posible respuesta a modificaciones en el entorno. Es interesante notar, que al igual que el primer enfoque microeconómico mencionado, el resultado de estas investigaciones apuntan a que el efecto consumo negativo es significativamente mayor al efecto positivo por parte de la producción, lo cual genera un incremento de la pobreza.
Existen también estudios que documentan el efecto del aumento de precios por medio de su efecto en la estructura de demanda de alimentos y sus consecuencias para la nutrición. Un caso ilustrativo es el de Bhutta et al (2009), quienes han corroborado con datos de 14 países en desarrollo que el choque de precios ha tenido consecuencias negativas significativas en la nutrición de menores de cinco años, madres en embarazo y recién nacidos, que pueden tener efectos de carácter permanente. Este enfoque sugiere la necesidad de contar con mecanismos de amortiguación eficaces como parte de la política de atención a la pobreza ante posibles aumentos subsecuentes en los precios de los alimentos.
II. Evolución de la pobreza y de los precios de los alimentos
Como ya se ha destacado, existen algunos estudios para México que han estimado el efecto del alza del precio de los alimentos en la pobreza que se basa en el enfoque de consumo de Deaton (1988, 1989), utilizando información para un sólo año (véase Chávez et al, 2009, y Valero-Gil y Valero, 2008). El presente artículo toma un horizonte de tiempo más amplio y utiliza otros enfoques metodológicos. El periodo considerado en el nuestro es de 1992 a 2010 -un ciclo de casi 20 años- que son para los que existe datos comparable de la Encuesta Nacional de Ingresos y Gastos de los Hogares, y por que para el análisis puntual del efecto del aumento de precios es conveniente tomar un enfoque de largo plazo de la evolución de la pobreza para poner los cambios recientes en perspectiva. Para ello, presentamos a continuación una nueva serie de estimaciones de pobreza para el periodo 1950-2010, que hasta donde sabemos es la serie más amplia que se ha desarrollado hasta ahora. Después de describir los aspectos metodológicos presentamos nuestras estimaciones y posteriormente describimos la evolución de los precios de los alimentos en el país.
1. Metodología de medición de la pobreza
Para calcular la pobreza en un punto en el tiempo es necesario contar con información del acceso a los recursos con que cuentan las personas y los hogares. Para México, existen 19 puntos en el tiempo en el periodo 1950-2010 para los cuales hay información que permite realizar una medición de pobreza: 1950, 1956, 1958, 1963, 1968, 1977, 1984, 1989, 1992, 1994, 1996, 1998, 2000, 2002, 2004, 2005, 2006, 2008 y 2010.4 La ventaja de contar con una serie de estimaciones que abarca un periodo de 60 años es que los cambios recientes asociados a los incrementos en los precios de los alimentos pueden ponerse en perspectiva. La limitación, sin embargo es que como se explica en Székely (1998, 2005) las confiabilidad de las encuestas para los años 1950 a 1968 es menor que las de años subsecuentes. Las dos limitaciones más importantes son, primero, que el grado de subdeclaración del ingreso difiere de una encuesta a otra, y segundo, que las encuestas hasta 1968 utilizaron una definición más bien débil de los ingresos no monetarios. El principal problema con la subdeclaración de ingresos es que su monto puede variar significativamente de un año a otro y sesgar las estimaciones, pero por otra parte, cualquier intento de corrección puede introducir sesgos adicionales. Desafortunadamente no existe una metodología robusta y ampliamente aceptada para hacer frente a este hecho.
Para hacer nuestras estimaciones compatibles con las de Székely (2005) utilizamos las distribuciones corregidas por Altimir para el periodo 1950-1968, así como las distribuciones originales calculadas directamente de los micro datos para 1977 y todas las ENIGH subsecuentes. Los dos motivos por el que decidimos utilizar los datos ajustados para 1950-1968 son, primero, que las mayores diferencias metodológicas surgen precisamente para la comparación de las cinco primeras encuestas, pero si cada una se “corrige” utilizando los mismos criterios, entonces es posible obtener una base más compatible. Segundo, dado que el método de Altimir es el más satisfactorio de entre todos los que “corrigen” las incongruencias de los ingresos no monetarios, su aplicación garantiza un grado mayor de comparabilidad con las encuestas de 1977-2010, que sí captaron adecuadamente las fuentes de ingreso no monetario.
En el cálculo de la pobreza en México con las bases de datos descritas anteriormente utilizamos la primera metodología oficial del gobierno mexicano desarrollada y propuesta por el Comité Técnico para la Medición de la Pobreza (CT) en 2002, y descrita en Cortés et al (2004) y Székely (2006). Específicamente utilizamos la definición de pobreza alimentaria que es la población que cuenta con un ingreso per capita insuficiente como para adquirir una alimentación mínimamente aceptable. La metodología utiliza el ingreso per capita total por persona -incluyendo los ingresos monetarios y no monetarios como indicador de bienestar. Implícitamente esto supone una escala de adulto equivalente con valor de 1, y que no existen economías a escala en el consumo dentro del hogar. No se realiza ajustes a cuentas nacionales, se toma los ingresos 0 como tales y no se realiza ajustes a los datos en los (pocos) casos de no respuesta.5
Para actualizar el valor de la línea de pobreza utilizamos el índice nacional de precios por tipo de alimento -es decir, se deflaciona por separado cada uno de los rubros de la línea de pobreza respectiva utilizando los precios para cada bien específico- mientras que para deflacionar los ingresos se utiliza el índice nacional de precios al consumidor. Es importante tomar en cuenta que la utilización de las mismas líneas de pobreza a lo largo del tiempo y el realizar los procedimientos de deflación de esta manera, implica suponer que las pautas de consumo y las preferencias y necesidades de los individuos no varían a lo largo de los años. Idealmente las líneas de pobreza para periodos extensos como el que analizamos aquí debían de mostrar estos cambios naturales en el tiempo, pero debido a la falta de información, no hemos podido tomar en cuenta estos aspectos en nuestro análisis.6
Un elemento metodológico que es importante destacar es que para realizar nuestros cálculos es posible obtener acceso a los registros individuales de cada una de las encuestas de hogares de 1977 y años subsecuentes, pero para los años previos solamente contamos con datos publicados de la distribución del ingreso por decil, así como el valor del ingreso promedio de la población. Esta limitación se subsana utilizando la metodología propuesta por Datt y Ravallion (1992), que permite precisamente estimar la pobreza a partir de datos agregados, siempre y cuando se cuente con información de la distribución del ingreso, el ingreso medio y la línea de pobreza. Específicamente, los autores establecen una fórmula basada en los parámetros de la curva de Lorenz que se deducen de una distribución específica, propuesta por Villaseñor y Arnold (1989).7 El grado de precisión de las estimaciones de pobreza utilizando este procedimiento es considerable.8 Este es un elemento por destacar, ya que las descomposiciones de los cambios en la pobreza que presentamos en las siguientes secciones utilizan la parametrización de la curva de Lorenz de manera intensiva.
2. Pobreza en México (1950-2010)
La Gráfica 4 muestra nuestra estimación de pobreza alimentaria 1950-2010, mientras que el Cuadro 3 presenta los valores absolutos de número de pobres para toda la serie. A nuestro saber, esta es la serie más completa que puede construirse para el caso de México, y es la única en analizar el periodo 1950-2010 utilizando una metodología compatible.

FUENTE: Cálculos de los autores utilizando la metodología oficial de medición de la pobreza.
Gráfica 4 Evolución histórica de la pobreza alimentaria en México
La gráfica muestra una tendencia general de disminución de la pobreza en los 60 años en observación. Específicamente se observa que en 1950 la pobreza alimentaria alcanzaba a 61.8% de la población total, mientras que seis decenios después, en 2010, la proporción es de 18.8%; es decir, hubo una reducción de 70% en la proporción de población pobre durante seis decenios. A lo largo de la serie se identifican cuatro puntos de inflexión: en 1968 en el que se detiene una pronunciada tendencia decreciente; en 1994 de incremento abrupto; en 1996 en el que cambia la tendencia hacia la baja, y 2008 en el que se suspende nuevamente la tendencia decreciente observada durante 1996-2006.9
Debido a que el ritmo de crecimiento poblacional fue mayor que la velocidad a la que se redujo la pobreza, el número absoluto de personas en situación de pobreza no se redujo de manera significativa durante el periodo. Entre 1950 y 2010 el número de personas en pobreza alimentaria aumentó de 16.7 a 20.6 millones -una diferencia de prácticamente 4 millones.
La Gráfica 4 muestra que la reducción porcentual durante el periodo de 60 años no se dio sin interrupciones. Se observa una disminución continua y considerable entre 1950 y 1984 -con los avances más marcados entre 1950 y 1968, durante los cuales el PIB real por habitante casi se triplica-. Posteriormente existe un estancamiento entre 1984 y 1994, que coincide con la crisis macroeconómica de 1982. De hecho, sorprende que aunque en el transcurso de este decenio se observa un aumento en el producto interno bruto per capita en términos reales de más de 22%, la pobreza permanece prácticamente constante.
Entre 1994 y 1996 se presenta un incremento sin precedentes en la pobreza en México. Durante el periodo en análisis no existe ningún otro caso en el que el bienestar de la población se haya deteriorado de manera más marcada entre dos años consecutivos. Como es bien sabido, el PIB per capita real se redujo en alrededor de 7% entre 1994 y 1995. Debido a esto en 1996 la pobreza alcanza niveles similares a los observados alrededor de 30 años antes en los años sesenta. De hecho, en ese año se registra uno de los mayores niveles de pobreza relativa y la mayor pobreza en términos absolutos de todo el periodo 1950-2010. Solamente entre 1994 y 1996, el número absoluto de personas en pobreza alimentaria aumenta 16 millones.
A partir de 1996 la pobreza se reduce de manera continua hasta el año 2006 y para ese año se revierte totalmente el incremento observado a mediados del decenio de los noventa. Entre estos dos años el porcentaje de población en pobreza alimentaria cae 62%, lo que implica que 21 millones personas salieron de esta condición. En 2006 se presenta el menor nivel de pobreza durante todo el periodo de 60 años.
Entre 2006 y 2010 se presenta nuevamente un incremento considerable en el porcentaje de pobres alimentarios de 13.8 a 18.8% de la población total -quivalente a un aumento de 36% en el índice de pobreza. Durante esos años el número absoluto aumentó 6.6 millones de personas. Sin embargo, la mayor parte del incremento se observa entre 2006 y 2008, que son precisamente los años en los que inicia el crecimiento en los precios de los alimentos a nivel mundial. En 2008 se inicia la crisis financiera internacional que tuvo como consecuencia una caída del PIB real en México de más de 5 puntos. Entre 2008 y 2010 tanto el porcentaje como el número absoluto de pobres se estabiliza.
Para los propósitos del presente análisis, quizá el aspecto más importante que revelan las cifras es que visto en perspectiva histórica, el incremento en la pobreza alimentaria entre 2006 y 2010 es relativamente menor al comparado por ejemplo con el episodio 1994-1996. De hecho, a juzgar por la tendencia en la Gráfica 4 2006 parece ser un episodio de pobreza atípicamente baja, mientras que el crecimiento en 2008 no alcanza a revertir los avances logrados desde 1996.
En suma, durante los pasados 60 años en México la pobreza se ha reducido de manera considerable, pero han existido puntos de quiebre importantes, coincidentes con las crisis macroeconómicas que ha vivido el país. En dichos episodios el progreso en términos de la proporción y el número absoluto de pobres se detuvo o sufrió reveses considerables. El incremento a partir de 2006, sin embargo, en perspectiva histórica no representa cambios considerables. En secciones posteriores de este artículo presentamos estimaciones del efecto que ha tenido el aumento en el precio de los alimentos en estas tendencias.
La Gráfica 5 presenta una descripción general de las características del hogar que están más asociadas a la condición de pobreza alimentaria en los pasados dos decenios. Cada punto en la gráfica corresponde al valor del efecto marginal de la variable de que se trata, de la probabilidad de ser pobre alimentario, estimado a partir de una regresión probit con datos de las ENIGH. La gráfica refleja por una parte, que las asociaciones con la probabilidad de pobreza han sido más o menos estables en el tiempo durante el periodo 1992-2010 y, por otra, que las tres variables con una asociación mayor son la educación -que reduce la probabilidad de ser pobre alimentario en más de 30%-, el número de ocupados dentro del hogar -que tiene también un efecto negativo de alrededor de 15%- y el número de personas que integran el hogar -que incrementa la probabilidad en alrededor de 10%-. Si el jefe del hogar es del género masculino también se asocia a una menor probabilidad de pobreza, aunque en menor medida. Por otra parte, la edad del jefe, contar con un mayor número de personas mayores a 65 años y estar ubicado en un área rural, incrementa la probabilidad, aunque en una magnitud menor.
3. Evolución de los precios de los alimentos
La Gráfica 6 documenta los cambios observados en México en los precios de los alimentos incluidos en la canasta alimentaria. Para obtener la serie completa utilizamos los índices nacionales de precios al consumidor para el rubro de los alimentos consumidos por los hogares en los primeros tres deciles de la distribución del ingreso para 1992-1995, y de los alimentos incluidos en la canasta alimentaria para el periodo 1996-2010. La información proviene del Instituto Nacional de Estadística, Geografía e Informática (INEGI), y utilizamos las dos series debido a que para 1992-1995 no se cuenta con el índice específico para la canasta alimentaria.10

FUENTE: Cálculos de los autores utilizando información del INEGI.
Gráfica 6 A partir de 1996 los precios de la canasta alimentaria crecen más que la inflación total
La Gráfica 6 normaliza los índices al valor observado en 1992, y muestra que para el periodo 1992-1996 en el que la pobreza se incrementó de manera considerable, los precios de los alimentos que componen la canasta básica crecieron a un ritmo muy similar al del índice nacional de precios al consumidor que integra a todos los bienes de consumo. Sin embargo, precisamente a partir de 1996 se empieza a identificar una tendencia divergente, con mayores crecimientos para los bienes incluidos en la canasta básica. Entre 1996 y 2006 la brecha entre ambos índices permanece casi constante, pero a partir de 2006 se incrementa mucho y continua hasta 2010. Esta tendencia coincide con las pautas internacionales descritos en la sección anterior de este artículo.
La Gráfica 7 muestra la evolución pormenorizada de los precios en zonas urbanas y rurales de los bienes incluidos en la cuantificación de la canasta alimentaria que se utiliza para medir la pobreza alimentaria. Dichos índices, elaborados por Coneval presentan una pauta muy similar a la observada para 2007-2012 en los mercados internacionales (véase Gráficas 1 y 2) pero también revela que los periodos de creciente inflación en los bienes de la canasta alimentaria de México se observan desde 2005. Específicamente, en los meses de marzo a abril de ese año, la inflación para la canasta alimentaria rural y urbana fue casi 12% mayor que la inflación general. Una pauta similar se observa entre septiembre del 2006 y julio del 2007, con inflaciones también superiores en alrededor de 12 por ciento.

FUENTE: Cálculos de los autores utilizando información del INEGI.
a Evolución mensual del valor de la canasta alimentaria (línea de bienestar mínimo) y del Índice Nacional de Precios al Consumidor (INCPC).
Gráfica 7 Serie de precios Conevala
Finalmente, la Gráfica 8 presenta a detalle el cambio en el índice de precios para cada uno de los productos que se incluyen en el cálculo de la línea de pobreza alimentaria (canasta alimentaria). La gráfica también incorpora el cambio en el INPC durante el periodo, y muestra que para 20 de los 33 productos incluidos la inflación es mayor a la observada en el indicador de precios general (INPC). Destacan los casos de la tortilla de maíz, el frijol y la azúcar, que son productos de primera necesidad y que presentan las mayores brechas con respecto al índice general. También se observan diferenciales significativos en el caso del cocido, la cebolla, el pollo rostizado, la leche, el maíz en grano, la naranja, el plátano, el pan de dulce y el pescado, todos con incrementos mayores al INPC, y que se caracterizan por ser parte de la dieta cotidiana de la población.

FUENTE: Cálculos de los autores utilizando información del INEGI.
Gráfica 8 Incremento de precios de productos incluidos en la canasta alimentaria e inflación general entre 1995 y 2010
Nuestro objetivo en la siguiente sección es verificar si los cambios en los precios mostrados en las gráficas anteriores se asocian a las pautas de pobreza alimentaria mostrados en la Gráfica 4.
III. Descomposición de los cambios en la pobreza (1992-2010)
Esta sección realiza una descomposición de los cambios en la pobreza para el periodo 1992-2010 utilizando la metodología propuesta por Székely y Rascón (2005). Esta metodología tiene similitudes con las simulaciones basadas en la metodología de Deaton (1998, 1999), aunque presenta dos diferencias importantes. La primera es que dado que la descomposición se realiza en el marco de la medición de la pobreza, además de identificar el efecto precio en el consumo, dicho efecto se puede comparar con otras variables que afectan la pobreza durante el mismo periodo, como los salarios, las remesas, las transferencias de ingreso de los programas sociales y los negocios propios, entre otros.
La segunda diferencia, es que la descomposición permite captar simultáneamente el efecto consumo y el efecto ingreso. El efecto ingreso se calcula identificando los ingresos que reciben los hogares por negocios propios, que en el caso de los hogares más pobres, provienen por lo general de ingresos por actividades agrícolas. Es importante resaltar, sin embargo, que los ingresos por negocios propios también incluyen las actividades no agrícolas por lo que en sentido estricto sobrestiman dicho efecto.
1. Aspectos metodológicos de la descomposición
Para realizar la descomposición Székely y Rascón (2005) parten de la idea de que la pobreza es una función que depende de tres elementos: los ingresos, su distribución y el valor de la línea de pobreza:
en la que:
PV = nivel de pobreza,
t = año de referencia,
μ = ingreso promedio de la población en t,
L = curva de Lorenz que representa la distribución del ingreso en t,
z = valor de la línea de pobreza en t.
Por tanto, un cambio en la pobreza entre un punto en el tiempo y otro se representa como:
La metodología de descomposición de Datt y Ravallion (1992) mencionada en la sección II consiste en aislar el efecto de cambios en μ y L en la pobreza, preguntado cuál sería el nivel de PVt si en lugar de evaluar esta variable en función de μt, Lt y zt, evaluamos PV en función de μt+1 , Lt y zt,, es decir, se obtiene la pobreza que resultaría en una situación en la que el ingreso cambia como efectivamente lo hizo en la realidad, pero la distribución del ingreso evaluada con la curva de Lorenz en t, permanece inalterada. El efecto ingreso es por lo tanto I = PV(μt+1 , Lt, , zt) − PV(μt, Lt, zt). Esta situación es equivalente a un aumento neutral en los ingresos de todos los hogares en la proporción μt+ 1/μt.
De igual manera, la metodología puede utilizarse para responder cuál sería la pobreza si en lugar de evaluar PV en función de μt, Lt y, zt,, evaluamos, PV en función de μt, Lt + 1 y zt, es decir, se obtiene la pobreza que resultaría en una situación en la que el ingreso no cambia, pero la distribución del ingreso sí se modifica como en realidad lo hizo. Esta situación es equivalente a una reducción (aumento) proporcional neutral en los ingresos de los hogares en el periodo 2, que hacen que el ingreso promedio de la población sea equivalente al ingreso promedio del primer periodo, y se calcula como D = PV (μt, Lt+1,, zt) − PV (μt, Lt, zt).11
Aunque Datt y Ravallion no consideran la posibilidad de modificar la variable z, debido a que generalmente la pobreza para dos puntos en el tiempo se estima utilizando una z constante. Sin embargo, cuando z se deflaciona utilizando los índices de precios contenidos en la canasta de satisfactores utilizados como punto de referencia para la medición de la pobreza y estos crecen a mayor velocidad que el índice nacional de precios al consumidor utilizado para deflacionar los ingresos -o cualquier otra variable utilizada como indicador del bienestar- pueden darse situaciones en las que z se aprecie o se deprecie en términos reales respecto al ingreso. Por tanto, también es pertinente preguntar cuál sería el nivel de PVt si en lugar de evaluar esta variable en función de μt, , Lt y zt, evaluamos PV en función de μt , Lt y zt, + 1, es decir, se obtiene la pobreza que resultaría en una situación en la que los precios de los satisfactores incluidos en la línea de pobreza, relativos al ingreso, varían de la manera en la que en realidad lo hicieron, mientras que tanto el ingreso promedio de la población, como su distribución, permanecen inalterados. Este componente se calcula como Z=PV(μt, Lt, zt,+1)-PB (μt, Lt, zt), y es el componente central de nuestro análisis. Con esta misma lógica, se puede ir un poco más allá de los cambios agregados, partiendo del principio de que:
es decir, que el ingreso total es la suma -ponderada por el peso específico (β) de la fuente i- de los ingresos provenientes de cada una de las fuentes de ingreso i y, que por tanto, el cambio en el ingreso total resulta de la suma de los cambios en cada una de las fuentes individuales i. Por tanto, el efecto ingreso es equivalente a:
en el que μi(t+1) , μn−i,t representa el cambio en el ingreso medio que se hubiera producido de haberse modificado la fuente de ingreso i en la proporción que realmente lo hizo, mientras que las restantes fuentes de ingreso (n - i) y la distribución del ingreso total L permanecen inalteradas. Esto hace posible aislar el efecto ingreso de cada una de las fuentes individuales, de manera que la suma total de los efectos equivalen al efecto ingreso total.
En el caso del efecto distribución la descomposición por fuentes no es tan directa, ya que aunque:
los cambios en la curva de Lorenz provenientes de cada fuente no forzosamente se suman de manera lineal para producir una nueva curva de Lorenz en t + 1. La modificación en la distribución de cada una de las fuentes de ingreso i pueden alterar la curva de diversas maneras, y es necesario por tanto reproducir la pauta del cambio distributivo específico para cada fuente.
En este caso, el efecto distribución para cada fuente de ingresos consiste en preguntar cuál sería el nivel de PV si en lugar de evaluar esta variable en función de μt, Lt y zt, se estima el ingreso en función de μt , pero con la distribución del ingreso que resulta de modificar Lt, únicamente tomando en cuenta el cambio en la distribución de la fuente i(PV = f (μt, (L(i,t+1) , Ln−i,t), zt). Una manera de ilustrar esta comparación consistiría en desglosar la distribución del ingreso de la fuente i en t por percentiles de ingreso (o un desglose mayor), de manera que se pueda obtener la proporción del ingreso de la fuente i en cada percentil en t. Obteniendo el mismo desglose para t + 1, se puede modificar el monto de ingreso en cada percentil en t (y por tanto en cada hogar), multiplicándolo por el factor que garantiza que cada percentil cuente con la misma proporción del ingreso de la fuente i en t + 1, a su vez que el monto total de la fuente i permanece inalterado.
En términos más formales, L(i,t+1) se puede calcular utilizando la parametrización de la curva de Lorenz propuesta por Villaseñor y Arnold (1989) descrita en la sección II y que consiste en estimar los parámetros de una curva de Lorenz para después reproducir la curva para cualquier ingreso dado. En nuestro caso, L(i,t+1) se obtiene parametrizando la curva de Lorenz para la fuente de ingreso i, en t + 1 para luego reestimar L para la fuente i en el año t; es decir, se predice el ingreso de la fuente i que corresponde a cada par de coordenadas de la curva de Lorenz, y posteriormente se agregan las fuentes de ingresos restantes, observadas en t para obtener la distribución del ingreso total. Esto mismo se lleva a cabo para cada una de las fuentes de ingreso por separado.
En total, podemos entonces identificar tres tipos de efectos: i) el efecto ingreso para cada fuente i; ii) el efecto distribución para cada i, y iii) un efecto línea de pobreza que capta el efecto del diferencial entre el crecimiento de los precios de los bienes contenidos en la canasta alimentaria y la inflación general. La suma de los primeros dos efectos informa sobre el efecto total que tiene cada fuente de ingreso en los cambios en la pobreza.12
2. Descomposición de los cambios en la pobreza (1992-2010)
La Gráfica 9 presenta los resultados de la descomposición de la pobreza para los periodos 1992-1996, 1996-2006 y 2006-2010. Realizamos la descomposición para todas las fuentes de ingreso, y en algunos casos de especial interés, como es el de los programas sociales, se identificó el efecto específico de algunos subrubros. Para la presentación de los resultados agregamos los efectos ingreso y distribución para cada fuente de ingreso y presentamos el efecto total del ingreso específico.
Nuestros resultados muestran que para el periodo 1992-1996, en el que la pobreza alimentaria creció 14.6 puntos, se observan principalmente dos efectos asociados con el ciclo macroeconómico: la contracción de los salarios reales -a los que se adjudica 10 de los 14.6 puntos en la descomposición- y a la caída en los ingresos por negocios propios -que en sí mismos hubieran provocado un incremento de cinco puntos en la pobreza alimentaria-. Es interesante notar que el efecto precio (que capta el efecto pemanente del diferencial en la inflación entre la canasta alimentaria y el índice nacional de precios al consumidor general) es prácticamente de 0. En ese periodo el crecimiento del flujo de remesas del extranjero hacia los hogares pobres contribuyó a reducir la pobreza. Si estos flujos no hubieran ocurrido, la pobreza hubiera crecido en 1.6 puntos adicionales.
El panorama es significativamente distinto para el periodo 1996-2006 en que la pobreza alimentaria se redujo 23.3 puntos. En este caso, de acuerdo a la descomposición, la reducción se explica por un aumento en los salarios reales -que en sí mismos hubieran provocado una caída de la pobreza de 12 puntos- y por un incremento en los ingresos de los negocios propios que tuvieron un efecto reductor de la pobreza de casi 8 puntos. Ambos efectos están asociados al crecimiento económico con estabilidad que se observó durante ese periodo. Las transferencias del programa Oportunidades también desempeñaron un papel importante al generar un efecto reductor de la pobreza de alrededor de cinco puntos, mientras que las remesas contribuyeron con un efecto menor, de alrededor de dos puntos. Un aspecto importante por destacar es que las ENIGH no empezaron a registrar como un rubro específico a las transferencias gubernamentales de Oportunidades hasta 2002 por lo que su efecto no se incluye en la estimación del periodo 1992-1996.
Es probable que el efecto del programa Oportunidades sea una subestimación del efecto real de dicho programa. El motivo es que, a diferencia de las ENIGH 2002-2006, en las que es posible identificar de manera independiente y específica los ingresos por el programa, las ENIGH anteriores a 2002 no permiten identificar de manera independiente estos ingresos, sino únicamente el agregado de “becas y donativos provenientes de instituciones”, el cual los incluye. De hecho, Oportunidades no inició sus operaciones sino hasta 1998 por lo que este rubro de ingreso no existía como tal en el primer punto de comparación. Sin embargo, dado que existían otros tipos de beneficios en ese año para obtener el efecto correspondiente la descomposición compara la pobreza en 1996 estimada con el rubro de “becas y donativos provenientes de instituciones” y con la pobreza estimada para 2006, considerando solamente los ingresos y cobertura del programa Oportunidades -y no todo el rubro de becas, donativos, etc.- de 1996.
En el caso de los precios, sorprende a primera vista el hecho de que su efecto en este periodo sea de incremento de la pobreza alimentaria, a pesar de que los aumentos sostenidos en los índices internacionales se observan sobre todo a partir de 2008. La Gráfica 5 contribuye a explicar este resultado. Como puede observarse, el índice de precios de la canasta alimentaria crece desproporcionadamente con respecto a la inflación en los meses de septiembre a diciembre de 2006 mientras que los índices son considerablemente menores en los meses previos y posteriores a este episodio. El motivo por lo que esto es relevante es porque las ENIGH se realizan precisamente en el periodo agosto-noviembre de cada año, por lo que en el caso particular de 2006 pueden haber captado un efecto estacional atípico que se refleja en las descomposiciones de pobreza. Este resultado da una idea de la sensibilidad del efecto precio en la pobreza por medio del consumo. Según nuestras estimaciones si el único cambio entre 1996 y 2006 hubiera sido el diferencial de inflación de precios, la pobreza se hubiera incrementado en casi tres puntos, en lugar de disminuir.
La descomposición para el periodo 2006-2010 muestra un panorama distinto. En este caso, la tasa de pobreza se incrementó en cinco puntos en el transcurso de solamente dos años entre 2006 y 2008, para luego subir un poco hacia 2010. Durante el episodio 2006-2010 se observan dos efectos negativos que se refuerzan entre sí y que explican prácticamente todo el cambio. Por una parte, la caída en los salarios reales atribuible a la recesión por la crisis financiera internacional tuvo un efecto de aumento de la pobreza por sí mismo de cuatro puntos. El segundo elemento es precisamente el crecimiento de los precios de los alimentos por encima de la inflación. Este componente por sí mismo explica tres puntos de aumento de la pobreza. El efecto de ingresos por negocios propios, que teóricamente podría contrarrestar este efecto por su efecto positivo en los ingresos de los agricultores, es también de incremento de la pobreza, y contribuye con un punto adicional. Como ya se señaló los ingresos por negocios propios incluyen a los ingresos agrícolas y otros de actividad empresarial.
Durante ese periodo la pobreza alimentaria no creció aún más, gracias al efecto positivo de las transferencias de Oportunidades y Procampo. En conjunto, los beneficios de estas dos transferencias hubieran reducido la pobreza en 2.5 puntos si no se hubieran presentado otros efectos. Quizá el resultado más importante por destacar para los propósitos del presente documento, es que incluso durante el periodo 2006-2010 de alta inflación alimentaria, el efecto precio no fue el predominante para explicar la dinámica de la pobreza. Durante 1996-2010 este efecto ha presionado a la pobreza a la alza, pero ha sido superado por el efecto de los cambios de los salarios reales, e incluso de las transferencias del programa Oportunidades.
IV. Cambios en las pautas de consumo
Como se analizó en la sección I las estimaciones del efecto precio en la pobreza que se basan en el enfoque de Deaton son de naturaleza parcial, ya que no considera efectos de equilibrio general ni considera los cambios en las estrategias de consumo de los hogares para amortiguar el efecto de los cambios en los precios. Esta sección precisamente verifica si en el caso de los hogares mexicanos se observan cambios en la estructura de consumo relacionados con la inflación alimentaria documentada en la sección anterior.
La Gráfica 10 muestra la pauta de consumo de los hogares en pobreza alimentaria utilizando los datos de las ENIGH 1992-2010 y la metodología oficial de medición de la pobreza. Es importante advertir que la proporción de hogares pobres ha cambiado de año a año como se observó en la Gráfica 4, por lo que la composición de la muestra es distinta en cada caso -en particular en 1994-1998- el porcentaje de hogares pobres es significativamente más alto.

FUENTE: Cálculos de los autores con base en las ENIGH.
Gráfica 10 Pautas de consumo de hogares pobres
Además, es importante destacar que mientras los periodos 1992-1996 y 2006-2010 son de incremento en la pobreza, los años comprendidos entre 1996 y 2006 presentan una reducción sostenida. Este hecho es importante, ya que los ciclos económicos afectan el presupuesto de los hogares, lo cual también puede afectar su reacción a cambios en los precios. Dado que la elasticidad precio de la demanda de los productos incluidos en la canasta alimentaria tiende a ser baja, se esperaría que el porcentaje de recursos destinado a los alimentos en periodos de aumentos relativos de precios se incrementara, mientras que se reduciría en el caso contrario. Si los cambios en los precios se aúnan a modificaciones en el entorno económico, los efectos pueden magnificarse. Específicamente, en el periodo 2006-2010 se presentó una combinación de aumento de precios y de reducción en el ingreso, y ambos efectos tenderían a incrementar la importancia relativa de los alimentos como proporción del consumo total del hogar.
Los resultados de la Gráfica 10 apuntan precisamente en este sentido. Destaca, por una parte, que la proporción del gasto de los hogares en pobreza alimentaria destinada a alimentos se mantiene en alrededor de 38% durante los años noventa -con una reducción a 35% en 1994- y se reduce continuamente a valores cercanos a 35% hasta 2006. Este cambio es compatible con una combinación de incremento en los ingresos y estabilidad relativa en los precios de los alimentos. Entre 2006 y 2010 se observa un cambio abrupto a la alza, con el porcentaje de gasto en alimentos llegando a casi 40. Esto parece ser resultado de la combinación del efecto precio y el efecto ingreso en sentido contrario a los observados en el periodo anterior.
Es interesante advertir que entre 1992 y 1996 no se observa alteraciones importantes en la estructura de consumo de los hogares pobres alimentarios. En cambio, entre 1996 y 2006, que son años de crecimiento económico, si existen modificaciones importantes ya que la reducción en la importancia relativa de los alimentos como bien de consumo fue acompañada por aumentos en el gasto en vivienda, transporte, esparcimiento y accesorios personales. Entre 2006 y 2010 también se observa modificaciones importantes, aunque precisamente en sentido contrario. En este caso, el crecimiento en la importancia del gasto alimentario se dio de manera simultánea con reducciones en bienes y enseres domésticos, esparcimiento y accesorios personales.
Las pruebas por tanto indican, que el incremento en los precios de los alimentos se ha acompañado de cambios significativos en la estructura de consumo de los hogares en pobreza alimentaria. Esto sugiere que en periodos de alza en precios y contracción económica los hogares reaccionan protegiendo el gasto más esencial para la supervivencia, que es el relacionado con su alimentación.
La Gráfica 11 presenta información del cambio en el consumo relativo de cada uno de los bienes incluidos en la canasta alimentaria. Específicamente comparamos la proporción del consumo total dedicado a cada producto en 2010 en relación con la proporción destinada en 2006 y mostramos los productos para los que el incremento en la proporción es mayor. Nos centramos en este episodio por ser el que presenta las mayores variaciones de precios como se dijo líneas arriba. Las proporciones por producto y para cada año se encuentran en el Cuadro A1 del Apéndice.

FUENTE: Cálculos de los autores con base en las ENIGH.
Gráfica 11 Consumo dedicado a bienes de la canasta alimentario
Los resultados muestran que los hogares en pobreza alimentaria sí realizaron cambios en la estructura de consumo básico para bienes que integran la canasta alimentaria. En particular, destaca el incremento en la proporción destinada al arroz, al trigo, al pollo a los aceites y a la tortilla de maíz, que muestran incrementos de prácticamente el doble de la proporción del gasto que absorbían en 2006. También se tuvieron incrementos relativos importantes en el gasto destinado a carne, frijol, pescado, verduras, cereales y leche. Este resultado es en particular relevante dado el contenido nutricional de estos productos.
A primera impresión los cambios en las proporciones sugieren que los hogares en pobreza alimentaria protegieron el consumo de dichos bienes en un contexto adverso de incremento en precios y desaceleración económica. Sin embargo, es importante notar que las modificaciones en las proporciones consumidas pueden deberse a una variedad de factores, incluyendo las preferencias, el cambio en el ingreso, la existencia de mayor información e incluso el incremento en la escolaridad que puede incidir en el tipo de bienes que se prefieren dentro del hogar. La siguiente sección intenta aislar el efecto precio que se asocia a estas modificaciones.
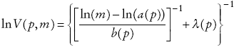
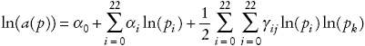
V. Estimación de elasticidades precio de la demanda para los hogares en pobreza alimentaria (1992-2012)
Esta sección estima de manera formal las elasticidades precio de la demanda de los productos incluidos en la canasta alimentaria, con el objetivo de precisar las estrategias de amortiguamiento de los hogares que se detonan específicamente a partir de un cambio en los precios, manteniendo otros elementos constantes. Analizamos primero los aspectos metodológicos de las estimaciones y a continuación presentamos los resultados.
1. Aspectos metodológicos de las estimaciones de elasticidades precio de la demanda
Nuestras estimaciones de elasticidades compensadas y no compensadas de la demanda se basan en la metodología del sistema de demanda de Deaton y Muellbauer (1980), corrigiendo por el término cuadrático de Poi (2012) y utilizan la variable demográfica de estado de pobreza como en Banks, Blundell y Lewbel (1997).
En la revisión de bibliografía para México se encuentra algunos artículos recientes de cálculo de sistemas de demanda ya sea para medir los procesos en la pobreza o efectos de los impuestos en el consumo de alimentos. Estos estudios se enfocan en unos cuantos productos y realizan las estimaciones para un solo año o a los más dos. Por ejemplo, Chávez et al (2009) calculan las elasticidades de la demanda para la ENIGH 2006, usando cinco tipos de productos,13 y registran los coeficientes del modelo pero no las elasticidades calculadas. Valero (2006) utiliza un sistema de demandas para estimar elasticidades de 11 productos, para las ENIGH 1992 y 2002.14 Por otra parte Chávez y Terrazas (2011) estiman elasticidades para ocho bienes usando la ENIGH 2008.
El presente artículo es el primero que realiza estimaciones para los 22 grupos de productos incluidos en la canasta alimentaria para el periodo de 18 años de 1992 a 2010, utilizando las series de las ENIGH. Además, es el primer estudio para México que presenta elasticidades para personas pobres y no pobres, así como el primero en presentar elasticidades compensadas y no compensadas, directas y cruzadas.
Seguimos la metodología de Banks, Blundell y Lewbel (1997) que se basa en la función de utilidad indirecta:
en la que pi es el precio del bien i para i = 0, 1, ..., 22, b(p) denota la función que agrega precios
representa la función trascendental logarítmica que se define como:
Sujeto a las siguientes restricciones de homogeneidad y simetría de Slutsky:
Los 22 rubros de gasto incluidos en la especificación se presentan en el Cuadro A2 del Apéndice.
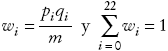
Los rubros de la canasta se construyeron con base en la canasta urbana del Coneval que incluye los rubros del 1 al 21, y se agregaron en la estimación el rubro 22 (otros alimentos) y el rubro 0 (resto del gasto) para garantizar la incorporación del gasto completo del hogar. Así por ejemplo qi denota la cantidad del bien i = 0, 1, ..., 22 que consumió el hogar, de tal manera que el porcentaje de gasto por hogar gastado en cada rubro lo denotamos como
Los porcentajes de gasto promedio por hogar para los años 1992 a 2010 se encuentran en el Cuadro A1 del Apéndice.
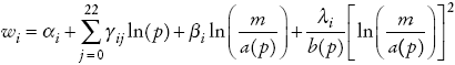
De la ecuación 1, y aplicando la identidad de Roy, se obtiene la ecuación de porcentaje de gasto en cada bien i = 0, 1, ..., 22:
en la que:
wi = la proporción del gasto utilizada en el bien i;
pi = el precio del bien i;
m = el gasto total del hogar.
A continuación, con base en Banks, Blundell y Lewbel (1997), incorporamos la variable demográfica de pobreza, la cual denominamos como z. Con esto, eR (p, u) es la función de gasto de un hogar de referencia, que son los hogares en pobreza. Esta función, usando Ray (1983) y Poi (2012), se escribe de la siguiente manera:
en la que
en el que ηj representa la j-ésima columna de la matriz de parámetros. Y la ecuación de gasto se escribe de la siguiente manera:
en la que
Las elasticidades se calcularon suponiendo simetría en la ecuación de Slustky, y se registran las elasticidades compensadas y no compensadas. Las elasticidades no compensadas del bien i respecto a un cambio en el precio del bien j son:
Las elasticidades compensadas se obtienen de la ecuación de Slutsky como
Para realizar las estimaciones utilizamos las ENIGH y la definición de gasto propuesta por Coneval para obtener el gasto monetario.16 Los precios de los bienes para cada uno de los distintos grupos de la canasta alimentaria se construyeron usando un promedio ponderado por la cantidad consumida. El grupo de otros alimento y el de otros bienes (grupos 22 y 0, respectivamente) se agrupa usando el mismo criterio.
Por otra parte, para aquellos bienes que presentaron un consumo positivo pero precio nulo, como el gasto en taxis o en seguros de vida, se imputó el precio unitario. Estas categorías se agrupan en la de “otros bienes” con el resto del gasto.
Para aquellos alimentos que presentan consumo positivo, pero cantidad y precio no registrado, se les imputó el precio promedio del bien en el municipio de referencia. Dado que el sistema de demanda requiere precios para poder ser estimado, los hogares que no consumían algún grupo de la canasta se les imputó el precio del hogar más cercano dentro de ese mismo municipio. El estimador obtenido puede por tanto interpretarse como la intensidad de la reacción del consumidor a cambios en los precios de los bienes que consume. Es una medida libre de unidades específicas, ya que informa de cuál es el cambio porcentual en la cantidad demanda respecto a un cambio porcentual en el precio, cualquiera que sea la unidad de medida de las cantidades (kgs, lts, mts) y la de los precios (pesos, dólares, euros).
Lo anterior facilita la comparación en la sensibilidad al precio de distintos bienes en distintos países y momentos en el tiempo. En términos generales las elasticidades se pueden clasificar en cinco tipos:
i). Inelásticas. En valor absoluto, toman valores entre cero y menos uno, ε ∈(0,1);
ii). Elásticas. En valor absoluto, toman valores mayores a uno, |ε|> 1;
iii). Perfectamente inelásticas. Toman valor de 0, ε = 0;
iv). Perfectamente elásticas. En valor absoluto, toman valores muy grandes, ε → ∞, y
v). Elasticidad unitaria ε = 1.
Asimismo, las elasticidades pueden ser directas o cruzadas, se les llama directas cuando observamos el cambio porcentual que sufre un bien como respuesta a un cambio porcentual en su precio, y llamamos elasticidades cruzadas a las que nos muestran el cambio porcentual en la cantidad demanda como respuesta en el cambio porcentual del precio de otro bien. Por ejemplo, en el caso de bienes complementarios como el café y la azúcar el incremento en el precio de uno de ellos disminuirá su cantidad demanda y también de la del bien que es su complemento. Por lo contrario, si dos bienes son sustitutos, un aumento porcentual en el precio traerá como consecuencia el aumento porcentual en la cantidad demandada del bien sustituto.
2. Estimación de elasticidades
La sección IV mostró que entre 2006 y 2010 los hogares mexicanos tuvieron un incremento en el porcentaje de su consumo dedicado a los alimentos. Este aumento se dio en el marco de un crecimiento relativo en los precios de los alimentos considerados en la canasta básica y de una caída en el ingreso, pero puede deberse a múltiples factores como los cambios en las preferencias, la información disponible del contenido nutricional de cada bien, etc. Esta sección investiga si la modificación en las pautas de consumo se debe a que los hogares reaccionan de manera distinta a cambios en los precios de diferentes bienes. Es decir, aislamos el efecto precio de los muchos otros elementos que pueden influir en los cambios en el consumo de cada rubro.
Incluso, las elasticidades permiten dilucidar si los cambios observados en el consumo se deben a una estrategia generalizada de mantenimiento del gasto absoluto en alimentos básicos, o si los hogares realizan también estrategias de sustitución incluso entre este tipo de alimentos, ante el cambio en el precio de mercado.
Las elasticidades precio de la demanda por producto permiten verificar este aspecto puntualmente. Si la elasticidad precio para cada uno de los productos incluidos en la canasta fuera la misma, la interpretación sería que los hogares no sustituyen entre distintos alimentos, sino que realizan un ajuste generalizado y proporcional en ellos. En cambio, si las elasticidades varían por producto, esto puede interpretarse como que algunos alimentos son más sensibles que otros. Los que presentan una menor elasticidad son alimentos que los hogares tienden a “proteger”, mientras que los de elasticidad mayor a 1 son los que están dispuestos a dejar de consumir ante modificaciones en su precio. Esta información es importante ya que en el caso de existir evidencia de “protección”, una consiguiente política pública puede ser el ofrecer instrumentos complementarios de apoyo para que los hogares garanticen el consumo de los productos que consideran más indispensables.17
El primer resultado importante es que de los 22 productos para los que se estima la elasticidad, 18 presentan niveles entre 0 y -1, es decir, son productos que los hogares tienden a seguir consumiendo a pesar de que se incrementa su precio. También es importante notar que incluso en este grupo de 18 productos existen diferencias importantes, lo cual sugieren que algunos productos son más “valorados” o protegidos que otros. El hecho de que existan cuatro productos con elasticidad precio entre -1 y -2 sugiere que los hogares mexicanos si presentan una reacción diferenciada entre productos ante una modificación en los precios.
Entre los 18 productos relativamente inelásticos destaca el caso del huevo, los aceites, las verduras, los tubérculos, el frijol, las frutas frescas y los productos derivados del trigo, para los que la elasticidad se encuentra entre los valores de 0 y -0.8. En estos casos, un incremento de 1% en los precios lleva a una reducción de menos de 0.8% en su consumo. Un elemento por destacar es que todos estos bienes cuentan con un alto contenido nutricional, lo cual sugiere que los hogares siguen una estrategia racional de “proteger” el consumo de bienes importantes para la nutrición.
Los restantes bienes inelásticos, que presentan valores entre -0.8 y -1, son la azúcar y las mieles, los alimentos preparados para consumir dentro del hogar, las bebidas no alcohólicas (incluyendo los jugos, refrescos, etc.), la tortilla de maíz, los productos derivados del trigo, el arroz -que incluso tienen elasticidades un poco mayores a -1 en algunos años-, los cereales y la carne de pollo. El queso fresco y los derivados de la leche también se encuentran en este grupo, aunque con elasticidades muy cercanas a -1. Los resultados por tanto sugieren que los hogares responden de manera menos que proporcional al consumo de estos productos ante un cambio en los precios. Sin embargo, su sensibilidad es mayor a la observada en el primer grupo de alimentos mencionados en el párrafo anterior. Los productos que presentan una elasticidad mayor a -1 son la carne de cerdo, las carnes procesadas, los pescados frescos y la leche. En este caso ante incrementos en los precios unitarios, los hogares responden más que proporcionalmente reduciendo su consumo.
Un segundo resultado importante es la alta estabilidad en los valores de las elasticidades a lo largo del tiempo. Este resultado puede tomarse, por una parte, como indicio de que la metodología y datos utilizados son robustos -no presentan cambios abruptos en periodos reducidos- y, por la otra, de que los hogares cuentan con estrategias de protección al consumo congruentes en el tiempo para los bienes que consideran indispensables. Las elasticidades prácticamente no se alteran en ninguno de los años para las que realizamos la estimación en el caso de las bebidas no alcohólicas, las verduras, las carnes procesadas, las frutas frescas, los productos derivados del trigo, la carne de pollo y los pescados. En los únicos casos en los que se observan modificaciones significativas a lo largo de los años -aunque sin una pauta claramente identificada- son los alimentos preparados para consumo en el hogar, la tortilla de maíz, los cereales, la carne de cerdo, la leche y sus derivados.
En cuanto a las diferencias entre grupos poblacionales destaca que en los casos de 11 productos, las elasticidades observadas entre la población pobre y no pobre es casi indistinguible. Este grupo está integrado por las frutas frescas, los alimentos preparados para consumo en el hogar, las bebidas no alcohólicas, los cereales, la carne de cerdo, las carnes procesadas, la carne de pollo, los pescados frescos, la leche, el queso y los derivados de la leche. Estos son productos, por tanto, en los que independientemente del ingreso del hogar se observa una reacción similar ante un aumento de precios.
El grupo de productos para el que los hogares pobres presentan una relativamente menor elasticidad son las leguminosas. En el caso del huevo, los aceites, los tubérculos, las verduras y legumbres, la azúcar y mieles, la tortilla, los derivados del trigo y el arroz en grano, los hogares no pobres presentan una menor sensibilidad a incrementos en los precios. Para el caso de las elasticidades cruzadas, se observa que en caso de los bienes más elásticos para la población pobre como son el huevo, el aceite, la papa, el frijol, la azúcar y las bebidas, las elasticidades cruzadas son menores que las observadas en la población no pobre. Por ejemplo, un aumento de un punto porcentual en el precio del huevo conlleva un aumento en el consumo de aceite de hasta 0.17 puntos porcentuales en 1992, para la población no pobre, mientras que para la población pobre este aumento es de 0.44 puntos porcentuales.
En suma, nuestras estimaciones muestran que los hogares mexicanos reaccionan diferenciadamente al consumo incluso de productos de primera necesidad (incluidos en la canasta alimentaria) ante cambios en los precios. Destaca que la elasticidad es en particular reducida para productos de alto valor alimenticio, lo cual sugiere que se realizan estrategias de amortiguación para minimizar los efectos en la nutrición de los miembros del hogar. Los productos básicos altamente valorados y que tienen menores variaciones ante aumentos de precios son susceptibles para ser protegidos mediante el apoyo de políticas públicas específicas (véase Cuadro A3 del Apéndice).
Conclusiones y consecuencias de política
A partir de 2008 se ha observado un crecimiento inusitado en los precios de los alimentos en los mercados internacionales. Esto ha sido motivo de preocupación reciente, ya que la población de menores recursos tiende a gastar una mayor proporción de su ingreso en alimentos, por lo que los incrementos pueden afectar negativamente su bienestar de manera más que proporcional.
Los incrementos de precios han seguido observándose durante todo 2012, lo cual obliga a la reflexión de si las políticas de atención a la población en pobreza deberían de modificarse para incorporar nuevos mecanismos de apoyo que permitan a los hogares amortiguar los potenciales efectos negativos. El presente artículo analiza los efectos de los cambios en los precios en la pobreza alimentaria para el caso de México con el objetivo de generar información para dicho análisis.
Un primer elemento por destacar es que de acuerdo con estudios disponibles que examinan las causas del aumento generalizado de precios, los incrementos se deben a la dinámica de los mercados internacionales y no forzosamente a políticas o decisiones tomadas en países individuales como México. Las explicaciones apuntan a que los aumentos se deben a una combinación de incrementos en la demanda por biocombustibles, de productos cárnicos -que requieren granos básicos para su producción- una combinación de fenómenos naturales adversos, la depreciación real del dólar y la especulación en los mercados financieros, entre otros determinantes. Por tanto, más que incidir en las causas estructurales del fenómeno, el margen de acción de los países parece estar en enfocarse en contrarrestar los efectos que se derivan de él.
Otro elemento importante es que la mayor parte de los análisis que han intentado cuantificar la magnitud del efecto del aumento de precios en la pobreza coinciden en que los efectos negativos en el consumo provenientes de la reducción en el poder de compra de los hogares es generalmente mayor al potencial efecto positivo de reducción de pobreza que experimentan los hogares que son netamente productores de bienes alimenticios. La conclusión de estos resultados es que una política que intente modificar los precios tendrá mayor éxito si incide en reducirlos para amortiguar el efecto consumo, en comparación con políticas de incentivos que beneficien sólo a los productores.
Entre los diversos enfoques que se han adoptado en la bibliografía para estudiar el fenómeno destacan los análisis macroeconómicos que estiman efectos agregados entre países, así como las metodologías que utilizan datos microeconómicos para estimar los efectos en el hogar. Para este último enfoque se han seguido estrategias orientadas a medir el valor de pérdida del consumo por medio del monto de ingreso compensado necesario para neutralizar cambios en el consumo (según el enfoque propuesto por Deaton), y también se han establecido modelos de equilibrio general que intentan captar efectos sustitución entre bienes de consumo y de producción para dilucidar los efectos totales.
Para el caso de México tomamos como base este tipo de metodologías y enfoques para ofrecer una serie de innovaciones en el análisis. Respecto al uso de información la innovación consiste primero en presentar la serie de pobreza alimentaria más amplia posible en el país para el periodo 1950-2010 para poner los cambios recientes en contexto. Nuestros resultados muestran que si bien los aumentos en la pobreza observados durante 2006-2010 -que son los años en los que se incrementan los precios de productos alimenticios- dichos cambios son relativamente menores a juzgar por otros episodios como 1992-1996 en los que la pobreza aumentó de manera mucho más considerable.
Otra innovación es el análisis de las variaciones en consumo de los hogares pobres para los alimentos incluidos en la canasta alimentaria utilizada para medir la pobreza. En este sentido, los agregados muestran que los hogares mexicanos incrementaron significativamente sus consumos de alimentos durante el periodo 2006-2010 relativo a otros productos. Incluso al examinar las variaciones en el gasto para los 22 productos incluidos en la canasta alimentaria, se observa que las variaciones son diferenciadas entre los distintos bienes.
En cuanto a las innovaciones metodológicas, la primera consiste en realizar una descomposición de los cambios en la pobreza para los periodos 1992-1996, 1996-2006 y 2006-2010 con base en un enfoque metodológico que permita identificar la contribución del cambio en los precios de los alimentos en la pobreza y compararla con otros efectos. En este sentido, nuestros resultados indican que si bien los efectos precio tuvieron un incremento de la pobreza (sobre todo entre 2006 y 2010), su efecto es menor al registrado por otros como la reducción en los salarios reales. Sin embargo, el efecto precio es mayor (de incremento de pobreza) al efecto combinado de las transferencias de los programas Oportunidades y Procampo, que muestran un efecto reductor de pobreza.
La segunda innovación metodológica consiste en estimar por primera vez para el caso mexicano la elasticidad precio de la demanda para los 22 productos incluidos en la canasta alimentaria para el periodo 1992-2010, identificando las diferencias en elasticidades entre la población pobre y no pobre. Además, se estiman las elasticidades compensadas, no compensadas y cruzadas para todos los productos. Estas estimaciones permiten identificar las estrategias de amortiguación que siguen los hogares ante aumentos en los precios.
Nuestras pruebas llevan a concluir que 18 de los 22 productos de la canasta alimentaria son inelásticos. Es decir, son productos que los hogares tienden a seguir consumiendo a pesar de que se incrementa su precio. Entre estos productos destacan el huevo, los aceites, las verduras, los tubérculos, el frijol, las frutas frescas y los productos derivados del trigo, con las menores elasticidades, lo cual sugiere que la estrategia de los hogares consiste en “proteger” el consumo de estos bienes ante cambios adversos en el entorno. En el extremo opuesto se identifican productos como la carne de cerdo, las carnes procesadas, los pescados frescos y la leche, que los hogares dejan de consumir más que proporcionalmente cuando se aumenta su costo.
Un hecho notorio es que el valor de las elasticidades es significativamente estable para la mayoría de los productos, lo cual puede reflejar que las estrategias de amortiguación de los hogares son congruentes a lo largo del tiempo. Además observamos que para la mitad de los productos las elasticidades presentadas para los hogares pobres y no pobres son muy similares, lo cual refleja que en estos casos no se observan reacciones distintas de acuerdo con el ingreso. El grupo de productos para el que los hogares pobres tienen una relativamente menor elasticidad son las leguminosas, mientras que en el caso del huevo, los aceites, los tubérculos, las verduras y legumbres, la azúcar y mieles, la tortilla, los derivados del trigo y el arroz en grano, los hogares no pobres presentan una menor sensibilidad a incrementos en los precios.
A partir de estos resultados, surge la pregunta de si la política social de México debería de modificarse para hacer frente a un probable entorno de continuación de incrementos en los precios de los alimentos en el futuro. Tanto los aumentos de precios recientes, como los resultados de la descomposición del cambio en la pobreza 2006-2010, sugerirían que la respuesta debe ser afirmativa. Si los precios pueden generar incrementos significativos en la pobreza como los estimados en el presente estudio, parece indispensable contar con estrategias de amortiguación para proteger el bienestar de la población de menores ingresos.
¿Cuáles son las opciones? Algunos estudios recientes desde una perspectiva internacional han apuntado a distintas intervenciones que pueden ser de utilidad para la reflexión del caso mexicano.18 Por ejemplo, FAO (2012) sugiere reforzar los programas de transferencias monetarias para compensar a los hogares pobres por la reducción en su poder de compra -con un enfoque similar al sugerido por Deaton-. Por otra parte, el Banco Mundial (2012a) propone combinar políticas de incentivos para la mayor producción de alimentos, mayor inversión en investigación y tecnología para aumentar la productividad agrícola, la introducción de mecanismos de reducción de riesgos en los mercados bursátiles (incluyendo la institución de un fondo de estabilización de precios por 4 mil millones de dólares), así como el reforzamiento de la asistencia a las víctimas de los efectos climáticos. Otra propuesta es la de Von Braun (2008), quien sugiere combinar cuatro tipos de acciones: reforzar la atención a grupos expuestos a desastres naturales y hambrunas, eliminar cualquier restricción a las exportaciones de alimentos, impulsar la producción de alimentos y cambiar las políticas de producción de biocombustibles.
Un estudio más relacionado al caso mexicano es el del Banco Mundial (2010), que sugiere focalizar las acciones de política en cuatro tipos de intervenciones: i) el uso de programas de transferencias condicionadas para focalizar ingresos hacia los hogares pobres de manera que se compense el efecto negativo del efecto precio en su poder de compra; ii) la dotación de información para que los hogares puedan realizar una distribución más eficiente de sus recursos destinando mayor gasto a productos con mayor contenido nutricional; iii) la introducción de nuevos apoyos e incentivos a la producción para incrementar la oferta de alimentos, incluyendo el crédito, el acceso a fertilizantes y nuevas tecnologías, y a medios de comercialización más favorables, y iv) el uso de las políticas de reducción de aranceles para incrementar la importación de productos sujetos a aumentos abruptos de precios en el corto plazo.
Es interesante notar que en 2008 el gobierno mexicano anunció una serie de acciones compatibles con la anterior propuesta. Durante el primer semestre de ese año se difundieron las “Acciones en apoyo a la economía familiar” (véase Sedesol, 2008) que incluyeron tres ejes: facilitar el abasto de los consumidores mexicanos a precios accesibles de alimentos, reforzar los apoyos para incrementar y hacer más eficiente la producción agrícola y la introducción de un complemento de ingreso a los hogares en pobreza alimentaria. Sin embargo, la información disponible sugiere que solamente la tercera de estas acciones llegó a instrumentarse en la práctica. La acción concreta consistió en incluir una transferencia de 120 pesos mensuales a los participantes en los programas Oportunidades, de apoyo alimentario de Diconsa y de apoyo alimentario a zonas marginadas, con el objetivo de amortiguar el efecto precio.
De hecho, una revisión de los instrumentos de política existentes en el país muestra que el espectro de acciones podría ser significativamente mayor al planteado en 2008. En realidad, la Secretaría de Desarrollo Social (Sedesol) cuenta con al menos cuatro programas dirigidos a apoyar la salud y la alimentación de la población en pobreza, y que podría estructurar un conjunto de intervenciones más completo. Los programas son Oportunidades, de Abasto rural Diconsa, de Abasto social de leche y el Programa de apoyo alimentario.
Específicamente, de los resultados presentados en este artículo se infieren las siguientes propuestas:19
i). Integrar en los programas de capacitación nutricional del Programa Oportunidades información sobre cambios recientes en los precios de los productos de alimentos de consumo básico, así como posibles estrategias de optimación del gasto para amortiguar el efecto en la nutrición familiar. La información puede ser ofrecida a las madres de familia que reciben la capacitación nutricional como parte de su corresponsabilidad en el programa.
ii). Utilizar la red de abasto de Diconsa para ofrecer específicamente los productos que presentan una menor elasticidad precio de la demanda, a precios accesibles. Los productos considerados como de primera prioridad por el valor de su elasticidad son el huevo, los aceites, las verduras, los tubérculos, el frijol, las frutas frescas y los productos derivados del trigo. Además, se sugiere considerar incluir otros bienes con baja elasticidad como la azúcar y las mieles, las bebidas no alcohólicas (incluyendo los jugos, refrescos, etc.), la tortilla de maíz, los productos derivados del trigo, los cereales y la carne de pollo.
iii). Ampliar temporalmente el padrón del Programa de abasto social de leche para garantizar a las familias con menores ingresos el acceso a leche fortificada sobre todo en periodos de aumentos de precios.
iv). Incrementar de manera temporal, en secuencia con los aumentos de precios, las transferencias del Programa de apoyo alimentario y del Programa 70 y más, que benefician a la población con mayores niveles de pobreza y que presumiblemente recienten mayores efectos de aumentos en los precios.
Además, en línea con las propuestas con otros estudios, se sugiere considerar el reforzar la producción de los bienes más sensibles en el consumo de los hogares en pobreza alimentaria, con la lógica de que una mayor oferta de ellos en el mercado tenderá a reducir sus precios. Con base en las elasticidades estimadas, los productos prioritarios para motivar su producción y oferta son el huevo, las verduras, los tubérculos, el frijol, las frutas frescas, el trigo, la azúcar y las mieles, la tortilla de maíz, los cereales y la carne de pollo.
Para impulsar y promover incrementos en la oferta de estos bienes, la Sedesol cuenta con tres programas específicos que pueden orientarse a ampliar la oferta. Los primeros dos apoyan la creación de fuentes de empleo por medio de los programas de empleo temporal (PET) y de atención a jornaleros agrícolas (AJA). En el caso del PET, los apoyos consisten otorgar beneficios en efectivo a personas de 16 años de edad o más que por motivos coyunturales no cuentan con opciones de trabajo, y que están dispuestos a emplearse en obras de beneficio comunitario, social o familiar a cambio de una remuneración equivalente a 99% del salario mínimo vigente.20 El AJA ofrece apoyos a familias de jornaleros que cambian de residencia dependiendo de la ubicación de la demanda por mano de obra en el sector agrícola que responde a la temporalidad de los ciclos estacionales durante el año. Concretamente, pueden ofrecerse incentivos especiales por medio de ambos programas, a la producción de los alimentos con menor elasticidad de la demanda, señalados anteriormente.
El tercer programa en esta línea es el de opciones productivas (OP), que consiste en apoyos crediticios para financiar proyectos de alta productividad. La incorporación de tasas preferenciales o montos adicionales a los productores que incrementen la producción de los mismos bienes caracterizados por su baja elasticidad de la demanda, podría reforzar las acciones anteriores.
En suma, con los instrumentos de política pública ya existentes puede integrarse una combinación de apoyos a la demanda, con incentivos a aumentar la oferta de bienes críticos para la alimentación de los hogares más pobres, con el fin de amortiguar posibles efectos negativos en su consumo y nutrición en el futuro. Los datos recientes de la evolución de los precios internacionales de los alimentos llevan a pensar que una estrategia como la que se sugiere puede llegar a constituir un componente crítico de la política social en los años por venir.










nueva página del texto (beta)



























