Clasificación JEL: D19, J22, C79, C35.
INTRODUCCIÓN
En los años recientes las investigaciones y estimaciones econométricas de la oferta laboral han presentado muchas extensiones al modelo básico de libro de texto -el modelo de un individuo que maximiza su utili dad escogiendo una combinación óptima de consumo y ocio- mostrando una tendencia clara a extender los modelos de decisión individuales a los hogares (Cahuc y Zylberberg, 2004; Apps y Rees, 2009). Estos esfuerzos atienden al hecho innegable de que, de manera cotidiana, los individuos enfrentan decisiones que no pueden ser analizadas teórica o empíricamente de manera individual: las decisiones de quienes son compañeros o partíci pes con otra u otras personas en la misma suerte. Después de todo es un hecho insoslayable que las parejas o familias que viven juntas suelen tomar decisiones considerando a otros miembros del hogar, sobre todo en lo que respecta a la asignación de tiempo y dinero.
Aun cuando en este ámbito un gran cuerpo teórico se ha preocupado por desarrollar y poner a prueba modelos de toma de decisiones familiares, la investigación empírica de la oferta laboral en México ha pasado por alto el estudio de posibles relaciones complejas de realimentación en las decisiones que al respecto toman los individuos que viven en el mismo hogar. Sin duda un factor que ha contribuido a esta tendencia es la complejidad que presupone la estimación de este tipo de modelos: regularmente éstos com binan sistemas de ecuaciones simultáneas con distintas variables endógenas no lineales, incluyendo variables dicotómicas. Sin embargo, la continua omisión de estos aspectos en el estudio de la oferta laboral no sólo impide la obtención de resultados potencialmente interesantes sino que introduce la posibilidad de un sesgo en el análisis empírico.
Una notoria excepción en la investigación de la oferta laboral en México es el trabajo reciente de (Acosta, 2009), que estima un modelo de interacción estratégica en su estudio de la participación de cónyuges en el mercado laboral. Toda vez que la teoría de juegos proporciona una estructura natural para modelar la interdependencia de decisiones cualitativas, en esta tesis se estimó el modelo estadístico de un juego simultáneo con espacios de estrategias discretos, múltiples equilibrios e información completa, suponiendo que sus observaciones de participación eran los equilibrios de Nash.
Uno de los problemas centrales de estos modelos de interacción estratégica es que las ecuaciones que describen las estrategias de equilibrio de los agentes dependen estrictamente de la estructura del juego y por ende del concepto de solución de equilibrio empleado. No es claro, por ejemplo, el efecto que tienen diferentes estructuras de interacción en las estimaciones empíricas, si éstas son sensibles o robustas a la correcta especificación de un modelo u otro o al tipo de equilibrio que se supone corresponden las observaciones. El propósito del presente artículo es contribuir en la respuesta a estas preguntas.
Como una extensión de esta línea de investigación que incorpora modelos de variables cualitativas endógenas al marco conceptual de la interacción estratégica de agentes,1 se han estimado diferentes modelos de oferta laboral, para hombres y mujeres mexicanos que viven en pareja, con los datos de la primera ola de la Encuesta Nacional sobre Niveles de Vida de los Hogares 2002 (ennvíh). Tomando mucho del trabajo de (Bjorn y Vuong, 1984, 1985) y la presentación del mismo que hace (Kooreman, 1994), hemos estimado como referencia en nuestras comparaciones un modelo que parte del supuesto de que las variables endógenas observadas representan el resultado de juegos discretos secuenciales, no repetidos y de información perfecta y completa; en particular hemos supuesto el resultado de equilibrio de un juego no cooperativo de Stackelberg. También se ha estimado con fines comparativos un modelo que supone las observaciones como el equilibrio de Nash de un juego simultáneo y tres modelos más que pueden considerarse anidados en los dos modelos anteriores: uno recursivo de probabilidad, otro probit y uno de probit bivariado.
Se cree que la formulación presentada en este trabajo permite continuar el avance en el estudio de la oferta laboral en México, analizando cómo los diferentes marcos de interacción estratégica presupuestos en los modelos afectan la estimación empírica, no sólo de modelos unipersonales de hogares balcanizados -en que cada función de utilidad depende sólo de si el respectivo miembro del hogar trabaja-, sino también de otros modelos que sí incorporan explícitamente el comportamiento estratégico en los hogares de México.
Después de una sección introductoria general a los modelos de decisión de los hogares, la sección II revisa algunos trabajos empíricos de la oferta laboral que toman a México como caso de estudio. La sección III continúa con la derivación del modelo estadístico de Stackelberg, parte central de nuestro análisis, y su relación con los otros modelos estimados. Tras una breve descripción de los datos utilizados en la sección IV, la sección V presenta el análisis de los principales resultados de nuestras estimaciones. Por último se presenta las conclusiones y algunos comentarios finales.
I. MODELOS DE DECISIÓN DE LOS HOGARES
En su libro de economía laboral, (Cahuc y Zylberberg, 2004) resumen así el punto de partida de la teoría neoclásica de la oferta de trabajo: "para mantener un empleo es necesario primero decidir hacerlo". Cómo se llega a este tipo de decisiones es siempre objeto de discusión entre economistas. El modelo estándar usado en el estudio empírico de las decisiones de oferta laboral, es de un tomador de decisiones individual, que divide su tiempo entre oferta laboral y ocio, y asigna el ingreso resultante a bienes de consumo. Este modelo postula que cada individuo dispone de una cantidad limitada de tiempo, sobre la que tiene que decidir cuánto asignar al ocio y al trabajo remunerado. Hay una vasta bibliografía que usa este modelo para analizar estas decisiones en diferentes contextos: estáticos, en el marco de un ciclo de vida, con incertidumbre. Los estudios empíricos de oferta laboral también se han multiplicado en el curso de los recientes decenios. El desarrollo de estos estudios, revisados extensamente por (Blundell y MaCurdy, 1999), se ha beneficiado de los avances alcanzados en la aplicación de métodos eco-nométricos a datos individuales, y del deseo de evaluar las políticas econó micas públicas que intentan influir directamente en la oferta laboral.
Aunque este tipo de modelos ha rendido frutos importantes a lo largo de los años, el análisis teórico y empírico sugiere que estos modelos ofrecen un fundamento inadecuado para la obtención de un entendimiento apropiado de las decisiones de los hogares, y para estimar los parámetros de portamiento de hogares formados por dos adultos, en particular si tienen niños (Apps y Rees, 2009). Después de todo, la familia tiene una influencia considerable en el comportamiento de sus miembros y la oferta de trabajo no es una excepción a esta regla (Blau, 1997; Gustman y Steinmeier, 2000). Consecuentemente, el modelo neoclásico básico ha tenido que ser adaptado para tomar en cuenta la influencia de las estructuras familiares. Toda vez que un hogar está conformado por varios individuos con preferencias posiblemente diferentes, pueden surgir situaciones en que los miembros del hogar tengan un conflicto de intereses.
Al analizar el comportamiento de toma de decisiones de los hogares es esencial modelar correctamente cómo los miembros del hogar resuelven sus conflictos y alcanzan una decisión conjunta en estas situaciones. Sin embargo, las aproximaciones tomadas en el cuerpo teórico que se ocupa de estos temas difieren mucho. No se ha alcanzado un consenso respecto a cuál aproximación es la mejor para describir la interacción entre los miembros de un hogar, cuestión que tiene consecuencias empíricas importantes. (Samuelson, 1956) y (Becker, 1973, 1974) fueron los primeros economistas en reconocer que los hogares se conforman de varios individuos. Desde 1970 ha emergido un vasto cuerpo teórico de la toma de decisiones al interior de los hogares, inspirado en su mayoría en el trabajo precursor de Becker de la economía del matrimonio. Grosso modo, este cuerpo teórico puede dividirse en dos ramas, el abordaje cooperativo y el no cooperativo.
El abordaje cooperativo destaca la eficiencia en el sentido de Pareto como una característica de la toma de decisiones al interior del hogar. Esta rama incluye el modelo tradicional unitario, los modelos colectivos y los de negociación cooperativa. El modelo unitario extiende el modelo bási co neoclásico de la manera más simple, partiendo del principio de que la familia puede estudiarse como un agente con función de utilidad propia. Tradicionalmente, los estudios empíricos del comportamiento del hogar se han basado en esta primera generación de modelos económicos que tratan al hogar como una unidad de toma de decisiones. El modelo es referido a menudo como uno de preferencias comunes. De acuerdo con este modelo, el hogar maximiza una función de utilidad conjunta o, más precisamente, una función de bienestar del hogar sujeta a una restricción presupuestaria común. Por su parte el modelo colectivo postula que tomar decisiones es fundamentalmente algo que hacen los individuos, y que la familia no es más que un marco particular que modifica el rango de posibles elecciones de cada uno de sus miembros (Chiappori, 1988, 1992). Los modelos de negociación dan cuenta del comportamiento cooperativo suponiendo la conducta de los hogares como resultado de un juego cooperativo, particularmente un juego de negociación de Nash. Ejemplos de modelos cooperativos incluyen los trabajos de Manser y Brown (1980), McElroy y Horney (1981), Apps y Rees (1988) y Chiappori (1988).
Por otra parte el abordaje no cooperativo supone que una decisión con junta es resultado de un juego no cooperativo entre los miembros del hogar. Ejemplos de este tipo de abordaje son los trabajos de Kooreman (1994), Lundberg y Pollack (1994), Hiedemann (1998) y Gustman y Steinmeier (2000). La mayoría de los autores que utilizan el marco de juegos cooperativos en el estudio de los hogares pasan por alto las limitaciones legales y problemas prácticos asociados al supuesto de que contratos vinculantes controlan a los individuos en las familias. En este sentido parece claro que, en términos descriptivos, la toma de decisiones en los hogares se caracteriza mejor como no cooperativa. Pudiese haber leyes, normas sociales y costumbres que constriñen las acciones individuales de los agentes al interior de los hogares, pero ciertamente parece extravagante sugerir que esto se resume en un mecanismo para hacer compromisos vinculantes completos (Apps y Rees, 2009). Naturalmente, en el contexto de los modelos no cooperativos, suponer que las decisiones de oferta laboral de los hogares son resultado de un juego no cooperativo, no significa que las partes no se procuren una a otra y quieran llegar a un acuerdo; antes bien, significa que el acuerdo alcanzado no es soportado por compromisos vinculantes que obligan la instrumentación del conjunto acordado de acciones, sino por el interés propio de los jugadores.
En general la bibliografía empírica no ha proporcionado muchas pruebas de cómo funciona realmente el proceso de decisión al interior de los hogares. De manera general, la investigación económica, fundada en juegos cooperativos, supone que resultados eficientes se obtienen debido a las re laciones familiares de largo plazo y a que los miembros de una familia, uno esperaría, tienden a ser considerados unos con otros. Si bien hay quien considera controvertido el uso de modelos no cooperativos en el contexto de los hogares, la evidencia empírica no parece estar de acuerdo con la idea de que los individuos que conforman un hogar puedan siempre alcanzar una decisión óptima en el sentido de Pareto (Dercon y Krishnan, 2000; Udry 1996). Con el fin de arrojar un poco de luz en la cuestión de cuál modelo es mejor para las aplicaciones empíricas, (Hernxs, et al 2007) compararon el desempeño empírico de modelos en ambas ramas con datos de parejas noruegas, encontrando que el juego de Stackelberg con el liderazgo del varón ofrece un mejor ajuste a los datos que el juego de Nash y el modelo unitario.
En este estudio hemos tomado partido extendiendo la bibliografía empírica de la oferta laboral con un abordaje no cooperativo. Para modelar la decisión conjunta de oferta laboral de individuos que viven en pareja como el resultado de un comportamiento no cooperativo, el supuesto básico de nuestro estudio es que la misma estructura de toma de decisiones es observada por todas las parejas en nuestra población, y que éstas toman sus decisiones de oferta laboral de acuerdo con el juego de Stackelberg con el liderazgo del varón; esto es, de acuerdo con un juego asimétrico en el papel de los jugadores y con espacios de estrategias discretos.2 La estimación estructural de juegos no cooperativos de decisión discreta se ha desarrollado desde los trabajos seminales de (Bjorn y Vuong, 1984, 1985) y (Bresnahan y Reiss, 1991).3 En estos modelos el econometrista estudia las decisiones discretas observadas de los agentes, suponiendo pagos latentes para los agentes y tomando en consideración la interacción estratégica de los mismos. Imponiendo una cierta estructura, la que induce el concepto de equilibrio de Stackelberg en nuestro caso, el econometrista estima parámetros estructurales con los que puede poner a prueba estadística el comportamiento es tratégico predicho por la teoría. Estos análisis, sin embargo, son relevantes sólo si la estructura supuesta del juego es válida, cuando menos como una aproximación.
El principal propósito de este artículo es contribuir al análisis en torno de si los investigadores habrían de emplear juegos simultáneos o secuenciales, contrastando las estimaciones correspondientes a modelos generados por estas diferentes estructuras de decisión. Nuestro artículo es el primero en llevar a cabo estas estimaciones para México. En la sección III especificamos de manera pormenorizada el modelo de comportamiento no cooperativo de Stackelberg y analizamos brevemente su relación con el modelo de decisiones simultáneas de Nash y otros modelos más usuales anidados en estas dos estructuras de decisión. En la siguiente sección revisamos la bibliografía empírica de la oferta laboral en México, la cual ha tendido a enfocar a in dividuos aislados suponiendo exógena, implícitamente, el comportamiento del compañero o compañera de quienes viven en pareja.
II. EL ESTUDIO DE LA OFERTA LABORAL
En los trabajos de la oferta laboral que toman a México como caso de estudio, la regla general ha sido soslayar cualquier interacción entre los miembros del hogar en el proceso de toma de decisiones. (Smith, 1981), por ejemplo, que estudia los determinantes de la participación femenina en la fuerza laboral en la ciudad de México, toma en sus estimaciones el salario potencial del cónyuge como una variable exógena. (Wong y Levine, 1992), que estudian el efecto de la estructura del hogar en la participación en la oferta laboral de madres recientes en zonas urbanas de México, formulan ecuaciones de forma reducida de la participación femenina en la fuerza la boral y fertilidad tomando como dado el comportamiento del cónyuge o pareja, basados en el ejemplo de trabajos como el de (Hausman, 1985).
Por su parte, (Valero Gil, 1997), que analiza los cambios en la participación en el mercado de trabajo en el área metropolitana de Monterrey de 1976 a 1996, utiliza modelos individuales, estimando por separado ecuaciones para jefes de familia, hombres y mujeres, parejas e hijos. Entre los principales resultados de su estudio encuentra que otras variables como la escolaridad de los miembros de la familia son endógenas. Resalta nuevamente que entre las principales limitaciones de estos estudios se encuentra la manera en que se separa entre variables endógenas y exógenas (otros ingresos).
En otro estudio, Anderson y Dimon (1998) investigan los efectos culturales y estructurales de los determinantes de la participación de mujeres ca sadas en la fuerza de trabajo en México. En este trabajo los autores suponen que las decisiones de las mujeres en los hogares son tomadas en el contexto del bienestar de la familia en su conjunto, maximizando una función de utilidad en línea con la tradición iniciada por Becker. En todos estos tra bajos se soslaya el conflicto potencial de las preferencias de los individuos que conforman las parejas tomando como variable exógena otros ingresos del hogar, entre los que se incluye el salario de los cónyuges; se puede decir lo mismo del modelo estructural neoclásico estático estimado por (Gong y Van Soest, 2002), que analizan la oferta laboral y participación en la fuerza de trabajo de mujeres casadas en la ciudad de México. Un estudio que sus autores enfocan es el papel que desempeña la estructura familiar como un factor determinante de la oferta laboral de las mujeres.
En un examen más de las condiciones en las cuales las mujeres se incorporan al mercado laboral, (Cerruti, 2000) compara los determinantes individuales, familiares y de mercado de la participación en la fuerza laboral de mujeres casadas que viven con sus cónyuges en dos de las áreas metropolitanas más grandes de la América Latina: Buenos Aires y la ciudad de México. Su análisis, si bien pone particular atención a las influencias familiares, atendiendo sobre todo a la asociación de las pautas de participación en la fuerza laboral entre parejas -que asocia a las estrategias de generación de ingresos familiares-, no considera ninguna interacción entre estas decisiones al incluir entre las variables exógenas el comportamiento del cónyuge en el mercado laboral.
Esta continua omisión no sólo impide a la investigación obtener resultados potencialmente interesantes sino que introduce la posibilidad de sesgo en el análisis empírico. Esto es así siempre que en las decisiones de participación en el mercado laboral de los hogares haya decisiones interrelacionadas. En presencia de decisiones interrelacionadas, la estimación empírica de ecuaciones únicas puede conducir a errores en la estimación de parámetros relevantes. Es un problema muy conocido, particularmente a partir de los modelos lineales, que no toman en cuenta la endogeneidad de una variable que puede sesgar mucho los resultados. Es natural suponer que semejante sesgo se extiende a modelos no lineales -(Yatchew y Griliches, 1985) han derivado el sesgo aproximado en un modelo probit con regresores continuos endógenos-. Desafortunadamente estas consideraciones se omiten por lo general en los estudios económicos de los determinantes de la oferta laboral de nuestro país.
Por otra parte, estudios cualitativos apuntan hacia la interacción con la pareja como un factor determinante en el estudio de la oferta laboral en México. El estudio de Bergstrom y Heymann (2005), enfocado en las vidas cotidianas de madres trabajadoras mexicanas en el estado de Chiapas, encontró que la calidad de las relaciones maritales y de familia afectaba de manera importante la posibilidad y el modo en que eran capaces las mujeres chiapanecas de conseguir y mantener empleos -las entrevistas conducidas en ese estudio abarcaban temas específicos de la relación con sus cónyuges o compañeros y otros implicados en la vida familiar cotidiana de las mujeres-. Desde luego, contar con el apoyo de los compañeros, esposos y otros miembros de la familia tiene un efecto positivo en algunas madres trabajadoras. En el mismo sentido, (García y de Oliveira, 1994) encontraron que, para la mayoría, la participación de las mujeres en la fuerza laboral se presentaba no como la búsqueda individual de superación personal sino como una respuesta a las necesidades familiares, en la que el ingreso de su pareja era la variable clave para explicar la decisión de trabajar.
A este respecto, una excepción notoria en los estudios de oferta laboral en México es el de (Acosta, (2009). En éste se presenta, como parte de la estimación econométrica de modelos de interacción estratégica, un modelo de participación en la fuerza laboral en México. El modelo se estima en el contexto de un juego simultáneo con espacios de estrategias discretos, múltiples equilibrios e información completa -esto es un modelo de ecuaciones simultáneas no lineales, con un mecanismo específico de selección de equilibrio-. De acuerdo con sus estimaciones, las decisiones de participa ción en el mercado laboral de los varones no parecen verse afectadas por las decisiones de participación de sus parejas. En cambio, las decisiones de las mujeres sí parecen ser afectadas significativamente (de manera negativa) por las decisiones de sus compañeros o cónyuges.
Aunque los modelos de interacción estratégica reconocen que las decisiones que los agentes toman dependen de las decisiones tomadas por otros agentes, las ecuaciones que describen las estrategias de equilibrio de los agentes dependen a su vez de la estructura del juego y el concepto de solución de equilibrio empleado. Este es uno de los problemas centrales de estos modelos econométricos con microfundamentos en teoría de juegos: no hay claridad respecto a cuál de los múltiples conceptos de solución habría de usarse en el modelaje empírico.
No es claro, por ejemplo, que en un ambiente de información completa el modelo simultáneo estático que presenta (Acosta, 2009) sea el indicado para analizar las decisiones de participación laboral de las familias mexicanas. En este sentido, la toma de decisiones al interior del hogar bien pudieran ser mejor modeladas como un proceso dinámico o secuencial. En definitiva requiere un mayor estudio de cómo la elección de un concepto de solución afectará las estimaciones resultantes.
Una ventaja clave de la derivación estadística de modelos de elección, a partir de modelos de la teoría de juegos, es que uno puede estudiar cómo cambios en el juego y el comportamiento de los agentes afectan las probabilidades de los resultados observados. Desde luego, como es habitual en los estudios empíricos, con los modelos de teoría de juegos, los investigadores empíricos enfrentan la búsqueda racional de equilibrio ante factores contrapuestos de adherirse a la teoría y desarrollar un modelo estimable, siempre que con estructura adicional hay también costos de especificación. De esta manera, el modelo estimado por (Acosta, 2009) puede ser ampliado describiendo diferentes procesos de decisión al interior de los hogares con otras estructuras y conceptos de equilibrio. Con las intuiciones de la teoría juegos volviéndose centrales en muchos campos de la investigación empíri ca, es un desafío para la investigación empírica explorarles.
A pesar de sus ventajas conceptuales, al menos dos problemas prácticos han limitado el uso de estos modelos. Una razón conocida por los dedicados a la investigación empírica es la dificultad de acopiar la cantidad suficiente de datos del mismo problema de decisión. Una segunda razón es la complejidad y los desafíos computacionales que suponen estos modelos de interacción estratégica. Muchos modelos de máxima verosimilitud, por ejemplo, requieren la evaluación de integrales probabilísticas multinomiales de muchas dimensiones. A menudo también las regiones de integración que describen las decisiones de los agentes no son rectangulares. Estas dificultades computacionales han limitado el uso de métodos de máxima verosimilitud a aplicaciones en las que hay pocos agentes y estrategias.
III. EL MODELO ESTADÍSTICO
En cuanto a la estimación empírica general de estos modelos, (Bresnahan y Reiss, 1990, 1991) y (Berry, 1992) demostraron cómo es posible desarrollar modelos estadísticos de respuesta cualitativa muy generales a partir de modelos fundados en la teoría de juegos. Estas aproximaciones comienzan por relacionar datos discretos de las decisiones de los agentes, a las acciones, información, pagos y estrategias de los mismos. A estas descripciones, los modeladores añaden un concepto de solución de equilibrio que identifican las estrategias más preferidas de los agentes. Este concepto de solución de equilibrio remplaza el axioma de preferencia revelada usado por los modelos de un solo agente. Una vez que el modelo teórico está completo, el modelador postula una especificación estocástica para los pagos de los agentes. Esta especificación estocástica, junto con el concepto de solución del juego, permite al modelador calcular las probabilidades de los resultados del juego y por este medio construir una función de verosimilitud para los datos observados.
1. El modelo de Stackelberg
El modelo principal en este artículo parte del supuesto de que las variables endógenas observadas representan el resultado de juegos discretos secuenciales, no repetidos y de información perfecta y completa, basados en el concepto de equilibrio no cooperativo de Stackelberg (ES).4 En un juego de Stackelberg el papel de los jugadores es asimétrico. Uno de los jugadores, el líder, se supone que maximiza su utilidad anticipando la reacción del otro jugador, el seguidor.
Con datos de las decisiones conjuntas de oferta laboral en una muestra de parejas en los hogares mexicanos, se pretende modelar los pagos de juegos en que el investigador observa únicamente información cualitativa de las decisiones tomadas por los agentes. En este tipo de aplicaciones, en que las variables endógenas representan las acciones de dos agentes, en hacer coincidir la estructura del juego teórico con la distribución hipotética de las variables observadas -y no observadas - , se sigue la aproximación usual a los modelos unipersonales de elección discreta introducidos por (McFadden, 1974, 1982), y (Hausman y Wise, 1978), usando modelos de umbral de comportamiento; con la diferencia de que en estos modelos de interacción la función de pagos de un agente toma como argumentos directamente las decisiones de otros agentes.
Se considera así dos jugadores, cada uno con dos posibles estrategias. La acción seguida por el jugador i(i=L,S) es denotada por la variable dicotómica y i. Se supone además que el jugador L es el líder de Stackelberg, y el jugador S es el seguidor. Sea UL(y l, ys) el pago del jugador L cuando éste toma la acción yl y el jugador S toma la acción y s. De manera análoga, sea Us(yl, ys) el pago del jugador S cuando éste toma la acción y s y el jugador L decide tomar la acción y l. Se tiene entonces la forma extensiva mostrada en la Gráica 1.
En la resolución de este juego es posible seguir un proceso de inducción hacia atrás que requiere dos comparaciones de utilidad por parte del seguidor y una comparación por parte del líder. Las dos comparaciones de utilidad del seguidor pueden ser resumidas por una función de reacción. De manera similar, la comparación relevante de utilidad para el líder puede expresarse en términos de una regla de decisión. Suponiendo además que el líder no cambia de opinión en la segunda etapa del juego respecto a la acción tomada en la primera, el resultado del juego es no sólo un equilibrio de Stackelberg, sino también un equilibrio de subjuego perfecto.
El cambio en la utilidad del seguidor debido a un cambio en su propia acción por seguir, para una acción dada del líder, determina la función de reacción del seguidor,
El signo de esta función de reacción determina la mejor respuesta del seguidor a la decisión tomada por el líder:
Toda vez que es el signo de la función de reacción y no su magnitud lo que influye en la decisión del seguidor, hay cuatro posibles funciones de reacción: tomar la acción 1 sin importar la decisión que tome el líder (F1), tomar la acción 0 sin importar la acción que tome el líder (F2), tomar la misma acción que tome el líder (F3) y tomar la acción opuesta a la que tome el líder (F4). El Cuadro 1 muestra las preferencias que conducen a cada función de reacción.
En tanto que la función de reacción del seguidor se infiere de las mismas dos comparaciones de utilidad sin importar las preferencias del líder, la comparación de utilidad relevante para el líder sí depende de las preferencias del seguidor:
en que ys(yl) representa la mejor respuesta del seguidor a la estrategia y l. El signo de esta regla de decisión guía la decisión por tomar:
El jugador líder, al tomar su decisión acerca de la estrategia por seguir, "1" o "0", debe considerar los pagos del jugador S. Esto es, el líder sigue la acción yl de tal manera que cuando el jugador S tome la acción ys, UL(yl, ys ) le dé el mayor pago posible.
Por ejemplo, si el seguidor actúa de acuerdo con la función de reacción F1 al tomar su decisión, el líder habrá de escoger la acción 1 siempre que UL(1,1) > UL(0,1), en tanto que escogerá la acción 0 cuando la desigualdad se invierta. Según esta regla el líder adopta la acción que maximiza sus pagos, condicional en la función de reacción que describe el comportamiento del seguidor.
Sea
En este marco de teoría de juegos las preferencias de ambos jugadores quedan completamente caracterizadas por el orden de estos niveles de utilidad. Una vez definidas las funciones de reacción del seguidor Fj y las comparaciones de utilidad del líder
y además
o bien
y además
Nótese que sólo un equilibrio de Stackelberg corresponde a cada uno de los ocho posibles pares de reglas de decisión y funciones de reacción como se indica en el Cuadro 3.5
Nótese además que hay dos modos de llegar a cada equilibrio. Por ejem plo, el resultado en que ambos jugadores toman la acción 1, (1,1), se obtiene si el seguidor tiene por estrategia dominante 1 (F1) y el líder prefiere el resultado en que ambos toman la acción 1 al resultado en que sólo el seguidor toma la acción
Especificación empírica. La instrumentación empírica de este tipo de modelos se basa en la hipótesis de utilidad aleatoria de (McFadden 1974, 1981) para introducir una estructura estocástica. Esta hipótesis descompone Ui( y l, ys
) en un componente determinista que depende de un vector X de variables observadas exógenas y un componente aleatorio ε que sigue una cierta distribución de probabilidad; siendo el vector de parámetros
Esta especificación supone que el cambio en la utilidad del líder (seguidor) causado por el cambio en la acción del seguidor (líder) no depende de X; por ejemplo
Si se atiende la siguiente notación:
De acuerdo con esta parametrización, cada posible función de reacción F j
del seguidor se observa si y sólo si se satisface cierta condición del componente aleatorio εs. Por ejemplo, la función de reacción F1 se observa si y sólo si
El signo de la expresión
Al igual que la función de reacción del seguidor, la regla de decisión del líder puede expresarse en términos de los parámetros del modelo como se muestra en el Cuadro 5. De manera análoga para el caso del seguidor definimos la notación:
Como se explicó líneas arriba, una vez que se determina la función de reacción del seguidor, la comparación de utilidad correspondiente del líder también se determina; esto es, si la función de reacción del seguidor es F;-, el líder realiza la comparación de utilidades que definen a
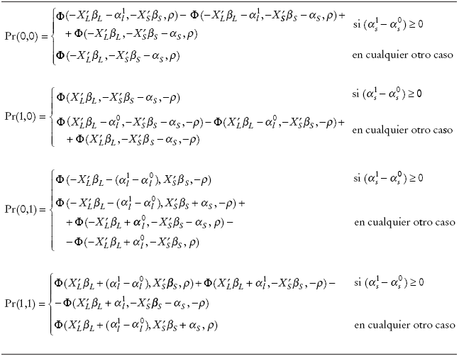
Es la distribución de los componentes aleatorios (εL , εS) la que induce un estructura probabilística en las decisiones observadas (yl, ys). Así es posible derivar las probabilidades conjuntas por parte del líder y el seguidor de cada uno de los equilibrios de Stackelberg. Sea Pr(l, s) la probabilidad de que las variables aleatorias yi y ys adopten los valores l y s, l , s ϵ {0,1}, el Cuadro 7 muestra estas probabilidades de acuerdo con las condiciones en las que se observan los correspondientes equilibrios de Stackelberg.
En adelante habremos de suponer que el vector de componentes aleatorios (εL
, εS) se distribuye de manera normal bivariada con media 0, varianza unitaria, y coeficiente de correlación p. Una vez introducida la función de distribución de los componentes aleatorios, usando los Cuadros 4 y 6, es posible derivar las probabilidades en función de los parámetros desconocidos. Toda vez que el signo de la expresión

a Φ(a, b, p) representa la función de densidad acumulada de una normal bivariada estándar evaluada en α = εL y b = εs con correlación p.
Cuadro 8 Probabilidades asociados a cada resultado del cuadro 8a

a Muestra las áreas correspondientes al caso en que
Gráfica 2 Áreas de integración

a Muestra las áreas correspondientes al caso en que
Gráfica 3 Areas de integración
Dadas las expresiones para las probabilidades Pr(l, s) de las variables dicotómicas observadas y l y y s, la función loglikelihood para el modelo de Stackelberg con muestreo aleatorio toma la siguiente forma:
en la que el subíndice i indiza las observaciones.
2. Comparación de modelos
Ahora que se ha desarrollado el modelo en que los resultados observados del problema secuencial de toma de decisiones son generados como equilibrios de Stackelberg de un juego con dos jugadores, se está en posición de compararle con el modelo recursivo de probabilidad para variables di-cotómicas (Maddala y Lee, 1976), y los modelos probit y probit bivariado. También, con fines comparativos, se presenta sucintamente la estructura de un juego simultáneo que no supone ningún tipo de asimetría entre los jugadores con el uso del concepto de equilibrio de Nash.
a) Modelo recursivo de probabilidad. De acuerdo con su formulación usual, el modelo recursivo de probabilidad describe un sistema de ecuaciones recursivas en términos de variables latentes continuas, en que las variables dicotómicas observadas son generadas con base en una regla que separa la variable continua en dos clases codivisionales. En nuestro caso, el modelo recursivo de probabilidad correspondiente es:
Este modelo es idéntico al modelo de Stackelberg descrito líneas arriba si éste observa adicionalmente las restricciones
b) Modelos probit y probit bivariado. Al igual que el modelo recursivo usual de probabilidad, las restricciones adicionales al modelo de Stackelberg pueden derivar en la especificación de modelos probit y probit bivariado según se agreguen también restricciones en el coeficiente de correlación p con el que se distribuyen los componentes aleatorios (εl, εs), p = 0 y en el parámetro que da cuenta del efecto que tiene la decisión del líder respecto a la del seguidor
c) Modelo de Nash. La principal diferencia en un modelo de Nash es que las decisiones y las acciones consecuentes de ambos jugadores se realizan de manera simultánea, lo que desdibuja la asimetría entre el líder y el seguidor presente en un modelo de Stackelberg.8 En el modelo de Nash cada jugador maximiza su función de utilidad, dada la acción del otro jugador. Ambos jugadores ajustan sus acciones hasta que las decisiones son mutuamente congruentes. De manera análoga a la definición de equilibrio de Stackelberg es posible definir un equilibrio de Nash como una asignación (y¡, y s) tal que
además
Luego, entonces el equilibrio de Nash (en) se determina por el signo de las funciones de reacción
y
De acuerdo con lo que hemos parametrizando las utilidades, las funciones de reacción del modelo de Nash puden expresarse de la siguiente manera general en función de los parámetros del modelo:
Con la misma notación utilizada anteriormente, se tiene que
A diferencia del modelo de Stackelberg, en el modelo de Nash surge una dificultad adicional: la no existencia o multiplicidad de equilibrios para los pares
Finalmente es importante considerar que aun cuando en todos los casos hay siempre una probabilidad positiva de existencia de estrategias puras debido a la parametrización del modelo, el modelo de Nash no es un caso particular del modelo de Stackelberg o viceversa. A diferencia de lo que ocurre con los modelos recursivo y probit, no hay una prueba estadística que nos permita escoger un mejor modelo de entre las opciones sino que otras medidas de la bondad de ajuste de los modelos habrán de compararse.
IV. DESCRIPCIÓN DE LOS DATOS
Para el análisis empírico se utilizaron datos de la oferta laboral de los hogares en México. Los datos utilizados provienen de la Encuesta Nacional sobre Niveles de Vida de los Hogares 2002 (ENNViH; Rubalcava y Teruel, 2006).
Esta es una encuesta de tipo longitudinal cuya tercera ola fue levantada en 2009. En 2002 la ENNVÍH consiguió encuestar a una muestra de 8 440 hogares en 150 localidades dentro del país y representatividad nacional, urbano, rural y regional. Uno de los principales atractivos de la ENNViH es que recaba en una sola base de datos información detallada acerca de los hogares mexicanos. La muestra seleccionada para la estimación de nuestro modelo consiste en los hogares conformados por al menos una pareja (constituida por un hombre y una mujer) en edad de trabajar (entre 15 y 65 años de edad). La muestra resultante, que descarta las observaciones que no contaban con todas las variables de interés, consiste de 3 168 hogares.
Toda vez que en México (y en la muestra) la proporción de varones que no participan en la fuerza laboral es pequeña (5.5% de la muestra), y debido a que en la muestra más de 80% declaró trabajar más de 40 horas por semana con un promedio de 48.7 horas, parece más interesante en términos de la variabilidad de los datos modelar la decisión de trabajar 48 horas a la semana o más (8 horas diarias, 6 días a la semana) que modelar la decisión de trabajar o no trabajar.10
Modelando al varón en la pareja como el líder de Stackelberg,11 en nuestro análisis empírico definimos las variables dependientes y l y y s como
Es importante advertir el uso de una definición expandida de "trabajo" para el caso de las mujeres en nuestras estimaciones, definición de variables y descripción de los resultados. En "trabajo fuera del hogar" se ha incluido trabajo en el sector formal, informal, pagado y no pagado (por ejemplo, negocios familiares) sin importar las horas trabajadas; en particular no se trata al complemento de esta categoría como equivalente al ocio en los modelos de decisión de oferta laboral neoclásicos. El Cuadro 10 muestra la frecuencia relativa con la que se observan los diferentes resultados del juego de Stackelberg (yl, ys)..
Variables explicativas
Para la función de reacción del seguidor y la regla de decisión del líder se consideraron inicialmente varias características individuales (específicas de cada miembro de la pareja) y del hogar que, como se ha mostrado en la vasta bibliografía del tema, pueden influir en las respectivas decisiones de oferta laboral. En particular se probaron en cada ecuación medidas de estudios formales de los individuos (años de escolaridad), experiencia laboral (años trabajados), edad, la pertenencia a algún grupo étnico, el número de personas que viven en el hogar, la presencia en el hogar de otros individuos en edad de trabajar (por género) y adultos mayores (que cuenten con 65 años de edad o más), el número de niños menores de 6 años viviendo en el hogar y si el hogar se encuentra en un medio rural (una población se considera rural cuando tiene menos de 2 500 habitantes). El Cuadro 11 presenta las medias y desviaciones estándar (entre paréntesis) de estas variables explicativas. Se muestra estas estadísticas descriptivas para la muestra completa y para cada posible resultado (yl, ys) por separado.
Como se observa, la edad promedio de los varones en la muestra es de alrededor de 40 años y de 37 años para el caso de las mujeres. En ambos casos la educación formal promedio rebasa los 8 años, es decir el segundo año de la educación secundaria. Es importante notar que aun cuando las cifras son semejantes, la de los varones es mayor. La diferencia en los años de experiencia laboral es particularmente notoria: en promedio los varones en la muestra tienen 16.2 años más de experiencia que las mujeres.
La determinación última del conjunto de variables explicativas incluidas en los modelos estimados se obtuvo por medio de un análisis combinatorio, con un modelo probit bivariado que comprendió como criterio la significación individual y conjunta de los estimadores. En ambas ecuaciones la pertenencia a algún grupo étnico resultó no significativa. Asimismo, variables demográficas como el tamaño del hogar (número de individuos), la presencia de adultos mayores varones y mujeres en edad de trabajar resultaron estadísticamente no significativas. En la ecuación probit del varón, respecto a la composición del hogar, sólo la presencia de otros varones en edad de trabajar resultó sig nificativa y, en cuanto a las características propias de los individuos, sólo su escolaridad y edad se mostraron significativas. En cuanto a la ecuación probit de la mujer, la presencia en el hogar de niños menores de seis años y adultos mayores mujeres se probaron significativas así como el que el hogar forme parte de una comunidad rural. Al igual que en la ecuación probit de los varones, sólo las características propias de las mujeres se probaron significativas en su ecuación en la que a la escolaridad y edad se agrega la experiencia como variable estadísticamente significativa. Con base en estos resultados se especificó el conjunto de variables explicativas en los modelos estimados.
V. Resultados
En esta sección se analizan los principales resultados de nuestras estima ciones.12 El Cuadro 12 muestra el resultado de la estimación de los modelos estudiados. En primer lugar se atiende al efecto que en las decisiones en el modelo de Stackelberg se ha estimado tienen las características respectivas de cada individuo y la composición del hogar. Estos mismos resultados se observan con diferencias mínimas en el resto de los modelos. Luego de este análisis de los efectos estimados, se avanza de la misma manera en las estimaciones realizadas de los parámetros que dan cuenta de la interacción entre los individuos y de su relación con los supuestos implícitos en los otros modelos así como sus consecuencias.

a Errores robuaros estándar entre paréntesis. Los niveles de significación indican: *** p < 0.01, ** p < 0.05, * p < 0.10.
b Implícito en la estimación de
Cuadro 12 Estimaciones por máxima verosimilituda
1. Características individuales
Las estimaciones correspondientes al modelo de Stackelberg (primera columna del Cuadro 12) indican que varias características individuales y de la composición del hogar afectan las decisiones de oferta laboral de las parejas. Según el efecto que la edad de cada individuo tiene en las decisiones modeladas, en ambos casos el parámetro estimado resultó negativo y altamente significativo. Esto es que cuanto mayor sea la edad del varón menor es la probabilidad de trabajar 48 horas o más a la semana o de trabajar fuera del hogar para el caso de la mujer. Este resultado contrasta con las estimaciones realizada en un contexto similar por Acosta (2009), que encuentra un efecto positivo y significativo de la edad en la decisión de participar en la fuerza laboral de la mujer en el marco de un juego de Nash cuando su pareja decide la misma cuestión. En el caso de los hombres parece natural que los problemas asociados a la edad actúen contra la decisión de acometer las faenas que sumen por semana 48 horas o más. Este mismo signo negativo en el caso de la mujer, por otra parte, pudiera estar reflejando la posible persistencia de actitudes tradicionales hacia ciertos papeles de género en las mujeres de mayor edad en la muestra.
La propia educación formal alcanzada por cada individuo resulta también muy significativa para ambos miembros de la pareja aunque con signos diferentes. El signo negativo de esta variable en el caso de los hombres quiere decir que a mayor escolaridad los varones se encuentran menos inclinados a trabajar tanto como 48 horas por semana, quizá debido a las mejores condiciones y oportunidades de empleo asociadas con la educación formal. Por otra parte, para el caso de las mujeres, la mayor escolaridad proporcio na mayores incentivos para trabajar fuera de casa. Esto bien puede reflejar el hecho de que las mujeres más preparadas académicamente enfrentan un costo de oportunidad más alto al trabajar sólo en el hogar. Es natural pensar que conforme los individuos se preparan más académicamente, el salario potencial de mercado se incrementa, aumentado en consecuencia el costo de oportunidad de las mujeres de ser amas de casa. Por otra parte, la escolaridad también incrementa el abanico de oportunidades de empleo fuera del hogar. Este resultado es una regularidad en las estimaciones realizadas de la participación laboral femenina (cf. Anderson y Dimon, 1998).
La influencia de la experiencia en el trabajo fuera del hogar de las mujeres es positiva y significativa; esto es, las mujeres que han trabajado más años fuera de casa son más proclives a seguir haciéndolo o empezar de nuevo. Al igual que la escolaridad, la experiencia laboral suele ser un factor explicativo importante del salario potencial, por lo que a este resultado le aplica la misma interpretación ofrecida para la escolaridad en el caso de las mujeres. Es más probable que mujeres con ofertas salariales mayores trabajen más, en promedio, fuera del hogar. Por otra parte, en el caso de los hombres, nuestro análisis preliminar sugiere que una vez que se ha controlado por los efectos de la edad y escolaridad, la experiencia laboral no tiene ningún valor explicativo para nuestro modelo.
2. Características del hogar
Respecto a las estimaciones correspondientes a las características demográficas que influyen en las decisiones de los individuos, es una regularidad en este tipo de estudios encontrar que la presencia de niños particularmente jóvenes se muestren como una restricción en las decisiones de oferta laboral, sobre todo para las mujeres. En este sentido nuestras estimaciones no son una excepción, la presencia de niños menores de 6 años se estimó como un factor negativo y altamente significativo en la decisión de trabajar fuera de casa para las mujeres. No es ocioso notar que la presencia de niños muy jóvenes en el hogar actúa como un elemento disuasorio significativo de trabajar fuera del hogar únicamente de las mujeres, prueba de que aún son grandes las perspectivas de género tradicionales en nuestro país. Si bien hay buenas razones para pensar que la presencia de niños muy pequeños tiende a incrementar el salario de reserva de los nuevos padres, en México los varones tradicionalmente se ocupan menos del cuidado de los niños.
Siguiendo con los efectos de la estructura del hogar, es notorio que el contar en el hogar con la presencia de mujeres mayores de 65 años tenga un efecto positivo significativo en la probabilidad de trabajar fuera del hogar de las mujeres. Tomados en conjunto este resultado y el efecto que tiene la presencia de niños pequeños en el hogar, es posible que la disposición en el hogar de otros adultos mujeres, que por su edad es menos probable que trabajen, reduzca los costos de las mujeres de trabajar fuera del hogar al saber que en dicha eventualidad los hijos más jóvenes se quedan al cuidado de las abuelas.
Con base en las variables utilizadas para explicar la decisión del varón, vemos que la presencia en el hogar de otros varones en edad de trabajar reduce la probabilidad de trabajar 48 horas o más a la semana. Es posible que la significación estadística de esta variable recoja el efecto que otros ingresos familiares tienen en la oferta de trabajo del varón en la pareja. Después de todo, en la muestra, alrededor de 95% de los hombres en edad de trabajar tienen empleo.
Por último, pertenecer a una comunidad rural (con población menor de 2 500 habitantes) se muestra como un factor importante que actúa contra la decisión de las mujeres de trabajar fuera de casa. En este caso, el valor del parámetro es negativo y significativo a 1%. Es probable que este resultado obedezca a la naturaleza y características de las relaciones y papeles de gé nero incorporados en estereotipos culturales en las zonas rurales del país. Diferencias en la definición de los papeles "apropiados" para hombres y mujeres entre poblaciones rurales y urbanas podrían estar detrás de la diferencia notoria en la manera en que las mujeres participan en el mercado laboral. Acosta (2009) encuentra de manera similar efectos significativos de la región del país en las decisiones de participación en la fuerza laboral de las mujeres. En definitiva, papeles culturales, bajos salarios potenciales y discriminación en el mercado laboral son factores todos que bien pueden todavía desempeñar un papel importante en hacer del trabajo doméstico la opción de empleo más viable para mujeres en nuestro país.
3. Parámetros de interacción
Los parámetros de interacción estratégica son de particular interés para nuestro análisis. En el cuadro 12 se observa que en el modelo de Stackelberg a S
y
La estimación del coeficiente a S resultó muy significativo, con signo ne gativo, lo que es expresión de que la decisión de los varones de trabajar 48 horas o más a la semana tiene efectos altamente significativos en términos estadísticos en la decisión de las mujeres de trabajar fuera de casa. Esto es prueba de que al tomar las mujeres la decisión de trabajar fuera de casa, un factor importante por considerar es si sus parejas trabajan o no más de 48 horas por semana; actuando esto último contra dicha decisión. Es posible que este parámetro esté recogiendo el efecto negativo en la participación en la fuerza laboral de las mujeres casadas de un incremento en el ingreso real de sus cónyuges, una pauta que (Mincer, 1962) fue el primero en señalar y que (Anderson y Dimon, 1998) encontraron para el caso de México. Por otra parte, es posible también que el parámetro esté recogiendo el compor tamiento de las mujeres ante participaciones intermitentes de sus parejas en el mercado laboral. Es de esperar en este contexto que las mujeres cuyas parejas tienen empleos poco estables, tiendan a hacer contrapeso trabajando más fuera del hogar.
El hecho de que
Por otra parte, la significación estadística a 10% del parámetro
La estimación significativa de p en el modelo de Stackelberg indica que los componentes aleatorios εL y εS de las utilidades están correlacionados de manera positiva. El valor de que maximiza el valor de función logarítmica de verosimilitud es 0.52. Debe recordarse en este punto que en nuestro modelo no es sólo la correlación entre variables omitidas en las ecuación del varón y la mujer, sino que surge de una relación más complicada entre los términos εL y εS, en la que
4. Comparación de modelos
Una comparación simple entre los coeficientes estimados βL y βS (estadísticamente significativas) para los diferentes modelos indica que los signos de los coeficientes son bastante robustos respecto al tipo de interacción supuesta entre las parejas al interior del hogar.
Como se explicó líneas arriba, el modelo de Stackelberg deviene un modelo recursivo de probabilidad si
Como ya parecía indicar la significación estadística de
Dadas nuestras estimaciones y la interpretación anterior de las restricciones implícitas en el modelo recursivo usual, se observa que estas restricciones no son realistas toda vez que imponen el que las utilidades del varón en la pareja (de trabajar o no 48 horas o más a la semana) no dependen del que su pareja trabaje fuera del hogar. Luego, la formulación del modelo recursivo usual es inapropiada, ya que supone implícitamente que el líder es indiferente a la acción tomada por el seguidor en nuestro modelo. Aun cuando hemos supuesto al varón en la pareja como líder de Stackelberg, y en este sentido que éste toma primero su decisión de trabajar o no más de 48 horas a la semana, en principio, éste habría de tomar su decisión tomando en cuenta la acción condicional de su pareja al tomar su decisión, la restricción implícita en el modelo recursivo conduce a soslayar el efecto que tiene en el comportamiento del varón en las decisiones de la mujer.
En ausencia de información directa del proceso de toma de decisiones al interior de los hogares, la diferencia entre el modelo de Stackelberg y el de Nash es básicamente en su forma funcional.14 Una manera de comparar estos modelos es atendiendo al criterio de información de Akaike (CIA) también presentado en el cuadro de resultados para cada uno de los modelos. De acuerdo con nuestras estimaciones el modelo de Stackelberg se muestra preferido al modelo de Nash, y este último a los modelos anidados en el modelo de Stackelberg. Es importante notar que los modelos recursivo, probit individuales y bivariado también se encuentran anidados en el modelo de Nash. Las pruebas correspondientes de proporción de verosimilitudes y de Wald (no mostradas en el cuadro de resultados) permiten rechazar los modelos en favor del modelo de Nash con valores p menores de 0.1062.
Las estimaciones de a S
muestran alguna variación entre columnas, siendo no significativo en la estimación del modelo probit individual.15 Por otra parte, es importante advertir que los valores estimados para a S
son todos negativos. Esto significa que, ceteris paribus, el varón al trabajar 48 horas o más por semana hace a la mujer menos proclive a participar en la fuerza laboral. Sin embargo, los modelos de probabilidad recursivo y de Nash, parecen estimar sistemáticamente una mayor probabilidad de que ambos miembros de la pareja trabajen, Pr (1,1), si bien el modelo de Nash parece hacerlo en mayor medida. Este es un resultado que podría esperarse del modelo recursivo respecto al de Stackelberg, toda vez que el primero deja de lado por completo el comportamiento estratégico del varón: el signo positivo y significativo de
Vale la pena notar que si bien en el Cuadro 12 el parámetro αL en el modelo de Nash no es significativo, a los niveles tradicionales de confianza, éste se estimó con un valor p de 0.105. Lo que indica la probable conducta estratégica del varón en el juego de Nash estimado en el mismo sentido que el detectado en el modelo de Stackelberg. Aun cuando intuitivo, este resultado difiere de los hallazgos de Acosta. En sus estimaciones, Acosta no en cuentra prueba alguna de comportamiento estratégico por parte del varón en un juego de Nash, ciertamente más refinado y de participación laboral.
Conclusiones
En esta investigación hemos argumentado la necesidad de desbordar el modelo de individuos aislados que subyace en gran parte del trabajo empírico de la oferta laboral en México. Con datos de la ENNViH, se ha propuesto otra formulación basada en la teoría de juegos. Como punto de partida, supusimos que las variables de oferta laboral observadas eran resultado del equilibrio propio de la interacción entre parejas en los hogares, para generar así modelos estocásticos que adoptan un marco de utilidad aleatoria.
Particularmente hemos estimado dos modelos diferentes de interacción fundados en los conceptos de equilibrio de Nash y de Stackelberg. Estos modelos se ha demostrado, pueden interpretarse, en este marco conceptual de teoría de juegos, como una generalización de otros modelos que pasan por alto el carácter endógeno de las decisiones: el modelo probit bivariado recursivo, el modelo probit bivariado estándar y el modelo probit univaria-do. La estimación de estos modelos, anidados en los modelos de interac ción, nos ha permitido poner a prueba estadística la efectiva interacción de las decisiones de oferta laboral en los hogares.
En la especificación de nuestros modelos hemos utilizado diferentes variables independientes para hombres y mujeres con el fin de explotar la mayor variabilidad posible de los datos. En tanto que para las mujeres hemos considerado las opciones de trabajar o no fuera del hogar como su espacio de estrategias, en el caso de los hombres el espacio de estrategias ha consistido en la decisión de trabajar o no 48 horas o más por semana.16 Nuestras estimaciones sugieren que los principales factores demográficos que ejercen influencia en las decisiones de oferta laboral de hombres y mujeres son con mucho parecidos, si bien en diferentes contextos y metodologías, a los presentados en la vasta bibliografía del tema: edad, escolaridad, número de hijos en edad preescolar y estructura del hogar.
Estos resultados, congruentes en los cinco modelos estimados, apuntan hacia la importancia de los papeles culturales de la reducción de los costos del cuidado infantil y del salario potencial en las decisiones de oferta laboral de las mujeres, así como de otras posibles fuentes de ingreso en el hogar para el caso de las mismas decisiones tomadas por los varones. Al respecto, nuestro trabajo se suma a la muy extensa evidencia empírica de la importancia de estos factores, analizada en parte para el caso de México en la sección II.
Sin embargo, en adición a estos resultados, el marco analítico y econo-métrico propuesto para el estudio de la oferta laboral de los hogares en México hizo posible poner a prueba estadística la pertinencia de modelar las decisiones de oferta laboral de los hogares como resultado de la interac ción estratégica de sus miembros. De acuerdo con nuestras estimaciones, hay evidencia empírica en favor de este tipo de modelaje. Toda vez que diversos modelos que no consideran esta influencia recíproca de las decisiones se probaron anidados en los modelos de interacción estratégica, hemos sido capaces de rechazarles en favor de la especificación propuesta; esto es, hemos sido capaces de rechazar la hipótesis de que los individuos no se comportan estratégicamente. Además, los coeficientes de los que se tenía grandes expectativas respecto al sentido en que habrían de afectar las respectivas decisiones de oferta laboral, se probaron con los signos adecuados y estadísticamente significativos.
Particularmente, en cuanto a las características individuales y del hogar se refiere, la robustez de las diferentes especificaciones de los coeficientes estimados -así como de su significación - , nos permite afirmar la influen cia estructural directa de los parámetros de interacción estratégica en el rechazo de las pruebas estadísticas en favor de los modelos que consideran la interdependencia de las decisiones de oferta laboral individuales al interior de los hogares. En definitiva, mucho parece permanecer inexplicado des pués de controlar por estas variables, y añadir la interacción estratégica de los agentes al modelo contribuye significativamente a la explicación de las decisiones de oferta laboral de las parejas.
Más aún, nuestro enfoque ha destacado el efecto que tiene en las estimaciones el suponer diferentes estructuras de decisión en la definición del proceso generador de las variables observadas. A este respecto, suponer el liderazgo -en el sentido de Stackelberg- del varón en la toma de decisiones parece captar razonablemente bien la interacción estratégica de las parejas al interior de los hogares mexicanos.
Aun cuando nuestro modelo es relativamente complicado, como se observa a partir de su derivación estadística y los requerimientos de programación de los evaluadores correspondientes,17 estamos convencidos de que a partir de lo robusto de los resultados obtenidos, tanto en términos de los signos esperados de los coeficientes, como la significación estadística de los parámetros de conducta estratégica, el análisis empírico de la oferta laboral en México necesita considerar las estructuras de decisión al interior de los hogares.
Desde el punto de vista de la política pública, nuestros resultados tienen importantes consecuencias respecto a la aproximación necesaria para el mo-delaje y estimación de los parámetros de respuesta conductuales. Mismos que son necesarios para la evaluación de los efectos de cambios en la política social e incluso para la aplicación de programas sociales que buscan promover el empleo. Como han hecho notar (Arceo y Campos, 2010), el efecto que puedan tener los programas sociales depende estrictamente de la repercusión que tengan en las decisiones de oferta laboral de los individuos, particularmente en las decisiones de las mujeres, lo que torna autoevidente la relevancia de las interacciones que respecto a estas decisiones observen los individuos al interior de los hogares. Nuestros resultados sugieren que programas específicamente enfocados a la equidad de género, como por ejemplo el Programa Nacional de Igualdad entre Mujeres y Hombres (Proigualdad), puede tener importantes efectos en la oferta laboral no sólo de su población objetivo sino también de otros miembros del hogar por medio de la interacción de las decisiones observadas en los hogares. De esta manera, asuntos fundamentales de la equidad y eficiencia, que subyacen en la formulación de este tipo de políticas, precisan un análisis que se ha tornado más complejo en el contexto de las diferentes estructuras de toma de decisiones de las familias.
Cada vez más la investigación econométrica y el análisis teórico sugieren que en el análisis de la oferta laboral es necesario considerar a los hogares para obtener un entendimiento satisfactorio de las decisiones individuales, señalando la importancia de estimar los parámetros conductuales de los hogares formados por dos adultos, en particular si tienen a su cuidado niños en edad preescolar. Los hallazgos de nuestra investigación apuntan, ciertamente, hacia las limitaciones de los estudios que obvian este problema en el análisis de la oferta laboral en México, y a la necesidad tanto de un marco conceptual adecuado como de estimaciones confiables y robustas de los parámetros conductuales. Se sigue acumulando la evidencia empírica de que las políticas de promoción del empleo habrían de ser dirigidas a las familias antes que a los individuos, la mayoría de las cuales dependen de las decisiones tomadas por una pareja. El propósito principal de esta investigación ha sido contribuir al estudio de la oferta laboral en México desde esta perspectiva, cuya generali zación del modelo estándar nos parece de la mayor relevancia. Esencialmente pensamos que esta investigación contribuye a repensar el problema de la oferta laboral en México como un problema de decisión de los hogares.
Si bien los datos muestran que en muchos hogares, tras la llegada de los hijos, hay una marcada división del trabajo, con las mujeres tendiendo a especializarse en la producción en el hogar de bienes y servicios, sobre todo de cuidado infantil, no es para nada aventurado afirmar que las perspectivas culturales del papel apropiado de las mujeres en el hogar han ido cambiando en los años recientes y con ellas los procesos de toma decisiones de las familias. Es decir, los hogares se han tornado cada vez más heterogéneos respecto a las estructuras de decisión de oferta laboral de los miembros del hogar. Si bien no es difícil especular respecto a esta heterogeneidad de los hogares, mucho trabajo empírico necesita realizarse antes de tener una comprensión cabal de la estructura de decisión detrás de los fenómenos de oferta laboral en México. A este respecto, los modelos que hemos estimado pueden ser extendidos de manera natural para considerar modelos más generales de comportamiento de los hogares: diferentes conceptos de equilibrio, más jugadores y espacios de estrategias continuos.










nueva página del texto (beta)
































