Clasificación JEL: I21, O15, D1.
Introducción
Apesar de que Brasil ha alcanzado una matrícula escolar casi universal en educación primaria, la repetición de años escolares y la deserción escolar son frecuentes. Como resultado, las tasas de eficiencia terminal son considerablemente inferiores a la matrícula y muchos niños abandonan la escuela con estudios completados relativamente bajos. El problema es en particular acusado en los barrios más pobres. Una menor probabilidad de encontrar un buen trabajo y la pobreza son algunas de las consecuencias de un bajo logro escolar. Como lo ilustró Perlman: "a fines del decenio de los sesenta del siglo pasado, los padres de familia de las favelas [barrios pobres] con frecuencia les decían a sus hijos que si dejaban de ir a la escuela iban a terminar siendo recolectores de basura. En julio de 2003 el gobierno de la ciudad [Río de Janeiro] lanzó un concurso para 400 vacantes de recolectores de basura y 12 mil candidatos presentaron solicitud. Uno de los requisitos para concursar era contar con un certificado de preparatoria" (Perlman, 2003, p. 13) La importancia de la escolaridad como un factor que ayuda a que las personas salgan de la pobreza fue destacada por Gradin (2009) en su estudio de los factores que subyacen en la desigualdad del ingreso entre los grupos raciales de distintos países. El estudio muestra que en Brasil la escolaridad desempeña un papel decisiva como factor determinante de las diferencias en el ingreso, en comparación con los Estados Unidos y Sudáfrica, en donde las características demográficas y del mercado laboral son más importantes.
Este artículo tiene el objetivo de identificar los principales factores que conducen a la deserción escolar en los barrios de Fortaleza, al noreste de Brasil. Se basa en una extensa encuesta que se centró específicamente en los posibles factores de riesgo a los que se enfrentan los pobladores de estos barrios, en particular los jóvenes. Algunas de las principales ventajas de la encuesta son su amplia cobertura, que incluye a jóvenes de cada uno de los sexos, tanto escolarizados como no escolarizados, así como el amplío conjunto de problemas que aborda, a saber: antecedentes socioeconómicos, escolaridad, salud y sexualidad, capital social y violencia, y empleo y actividad económica. Asimismo, la estrategia de instrumentar la encuesta fue bastante original, ya que comprometió a organizaciones locales que trabajan en la prevención del crimen con jóvenes y pandillas de la localidad y empleó a jóvenes del lugar como entrevistadores, lo que garantizó una relación de confianza que propició respuestas creíbles y una tasa alta de respuesta, incluso para los temas delicados.
Estamos particularmente interesados en evaluar la medida en que la paternidad temprana, la mano de obra infantil y la pobreza ocasionan que los niños abandonen la escuela. Sin embargo, esas variables son potencialmente endógenas, en primer lugar porque podrían ser factores determinantes de la decisión de acudir a la escuela, de la cual no tenemos información y, por tanto, se les omitió del conjunto de variables explicativas que consideramos; y en segundo lugar, porque la mano de obra infantil y la maternidad temprana podrían determinarse simultáneamente con el abandono escolar. Por tanto, estimamos un modelo económico de deserción y expulsión escolar mediante un método de variables instrumentales, aprovechando el rico conjunto de variables que contiene la base de datos. A partir de la pregunta "¿qué edad consideras que es la ideal para empezar a tener relaciones sexuales?", obtuvimos un instrumento identificador de la maternidad temprana, ya que es probable que la creencia acerca de esta edad ideal induzca variación en la edad a la que ocurre la paternidad por primera vez, pero no debería tener ningún efecto directo adicional en la probabilidad de abandonar la escuela. De manera similar, usamos la pregunta "¿cuál es el salario mínimo mensual que estarías dispuesto(a) a aceptar a cambio de tu trabajo?", para instrumentar la variable de la mano de obra infantil y juvenil. Del mismo modo, el razonamiento es que es probable que el salario de reserva esté correlacionado con el hecho de si el niño o joven trabaja o no, lo cual afecta el resultado que nos ocupa -si él/ella asiste o no a la escuela- únicamente por medio de este canal de la decisión laboral.
El presente artículo está dividido en cinco secciones. La sección I presenta un panorama general del sistema de educación primaria en Brasil. La bibliografía anterior de las causas de la deserción escolar se examina brevemente en la sección II. Las secciones III y IV presentan los datos y su exploración preliminar. La sección V describe la metodología y presenta los resultados previos a la conclusión.
I. El entorno jurídico en Brasil
En Brasil la educación primaria comprende los grados 1 a 8 y es obligatoria para niños y adolescentes de 7 a 14 años de edad. Se divide en cuatro años de educación primaria y cuatro años de educación secundaria. La matrícula escolar es alta; casi el ciento por ciento de los niños inician el primer año. Se destaca el éxito que el país ha tenido en el aumento de su matrícula escolar, que pasó de 67% en 1970 a 96% en 1998 para el grupo etario de 7 a 14 años. Parte de esta tendencia reflejó la disminución en las tasas de natalidad, que pasó de 6% anual durante el decenio de los sesenta a 2% anual a fines del decenio de los noventa (UNESCO, 2006).
Sin embargo, también se destaca la ineficiencia del sistema escolar del país, ya que presenta tasas de asistencia escolar real por debajo de su matrícula, así como tasas de repetición del año escolar muy altas. En 1997 el 23% de los alumnos del sistema de educación primaria iban en camino a repetir el año al final del ciclo escolar, y 4% más abandonó los estudios (UNESCO, 2006). Como resultado, la brecha entre la edad y el grado escolar es amplia, y las altas tasas de matriculación no se traducen en mayores tasas de eficiencia terminal ni en una alta escolaridad entre quienes egresan de las escuelas. Esta situación ocurre a pesar de las mejoras que se han realizado, como el hecho de que aumentó la proporción de niños que terminan ocho años de educación primaria, de menos de la mitad en 1990 a 72% diez años después (Bruns et al, 2003, pp. 52-54). La jornada escolar dura cerca de cuatro horas y en muchos lugares hay tres turnos diarios (matutino, vespertino y nocturno). La edad laboral mínima en Brasil es de 16 años, después de que en 2001 se ratificó el acuerdo laboral internacional, Convenio 138, respecto a la edad mínima de admisión al empleo.
II. El punto de vista de la bibliografía de por qué los adolescentes abandonan la escuela
Un breve análisis del argumento teórico de por qué los niños abandonan los estudios puede arrojar luz para el estudio empírico. La función de producción de hogares de Becker (1965) es el punto de partida de los modelos más recientes (véase en particular Rosenzweig y Evenson, 1977) para la decisión de la asignación del tiempo en los hogares. Se considera que los padres de familia tienen preferencias respecto a la calidad de vida actual de la familia y el bienestar futuro de sus hijos. El bienestar futuro del niño se forja en la asignación de su tiempo entre los estudios y las actividades de otro tipo (es decir, esparcimiento, trabajo para el mercado o dentro del hogar). Por otra parte, el consumo familiar actual se forja mediante el ingreso familiar. La asignación del tiempo del niño puede tener un efecto multifacético en el ingreso familiar actual. En primer lugar, está la contribución potencial que el trabajo a cambio de un salario podría aportar al ingreso familiar. En segundo lugar, más allá de este costo de oportunidad por el tiempo dedicado a los estudios, hay un costo directo (libros, transporte, etc.) que lleva a la renuncia de consumo. Naturalmente, la maximización de la función de utilidad del hogar está sujeta a una restricción de presupuestación del tiempo, sobre todo el tiempo del niño. Por tanto, la decisión de si el niño abandona o no los estudios pondera los rendimientos relativos al tiempo dedicado a la escuela y sus costos relativos, que se forjan mediante varios factores y elecciones de opciones. Los mecanismos que construyen el futuro bienestar del niño y la importancia que la familia le adjudica al bienestar futuro del niño adquieren una importancia decisiva. Están influidos por factores como: los rendimientos de la educación en el mercado laboral, la demanda de trabajo y las regulaciones laborales, la calidad de las escuelas, los recursos familiares (pobreza, restricciones a la liquidez) y su acceso a los mercados crediticio y de productos. A pesar de que la mayoría de los modelos suponen que existe una abundancia de trabajo fuera del hogar -lo que le daría al adolescente derecho a un salario-, un entorno más realista considera que los empleos podrían estar racionados y que es opcional no dedicarle tiempo a la escuela mientras no se está en el mercado laboral. Deben tomarse en cuenta los costos y beneficios del trabajo en el hogar y de los distintos usos del tiempo libre.
En los países desarrollados el análisis empírico de los factores determinantes de la deserción escolar ha puesto de manifiesto aspectos como el consumo de drogas y alcohol, así como los trastornos psiquiátricos de los padres, controlando por posibles factores de confusión, como son el status socioeconómico de la familia, el sexo, el grupo racial y la edad del niño.1 Para los países en desarrollo se ha destacado con mayor frecuencia la correspondencia entre la escuela y la mano de obra infantil (véase un análisis extenso de los conceptos y una revisión pormenorizada de la bibliografía de la mano de obra infantil en Edmonds, 2008; Levinson et al, 2001, aportan pruebas de las consecuencias del uso de distintos conceptos de mano de obra infantil).2
En términos del método, estudios anteriores modelaron la probabilidad de que el niño trabajara o, como opción, que asistiera a la escuela, para estimar el modelo logit.3 En algunos casos, en el fondo de este enfoque subyacía la idea de que la asistencia a la escuela y la mano de obra infantil son actividades mutuamente excluyentes -si el niño trabaja, no va a la escuela, y viceversa-. En otros casos, el trabajo se incluyó entre los factores exógenos que explican el rendimiento escolar. Los resultados sugirieron que la pobreza, según se le percibe, por ejemplo, con base en el número de hermanos o el status laboral del padre, es un factor determinante de la mano de obra infantil y el rendimiento escolar mediocre.
Estudios posteriores reconocen la posibilidad de combinar el trabajo y la escuela, sobre todo en países en donde el horario de clases es sólo de medio día. Un método que se aplicó fue la estimación de un modelo logit multinomial que considera cuatro posibles estados: la especialización en la escuela, la especialización en el trabajo, una combinación de ambas actividades o la inactividad.4 Otros autores tomaron en cuenta la interdependencia de las dos decisiones al estimar modelos probit bivariados. Esto permite no sólo una sencilla comparación directa del efecto de cada variable en la probabilidad de trabajar y estudiar, sino también la cuantificación de la correlación no explicable entre las dos decisiones, asociada con factores no observados.5 Ambos métodos suponen que las decisiones respecto a la escuela y el trabajo se toman de manera simultánea. De la misma manera, Rosati y Rossi (2003) estimaron un modelo simultáneo de asistencia a la escuela y horas trabajadas. Algunos de los resultados en esta bibliografía, aunque no son totalmente unánimes, son: los niños mayores y los varones son más propensos a combinar los estudios y el trabajo; es menos probable que los hermanos mayores vayan a la escuela; es más probable que los niños con menores aptitudes abandonen los estudios para especializarse en el trabajo o dedicarse al ocio; hay una persistencia intergeneracional en el status de la mano de obra infantil; un mayor status socioeconómico aumenta la probabilidad de que el niño no abandone los estudios y reduce la probabilidad de que se dedique a trabajar; por otra parte, la pobreza motiva la especialización centrada únicamente en el trabajo o la inactividad; es más probable que las familias que poseen un negocio tengan hijos que trabajan, sin que forzosamente abandonen los estudios; los choques negativos que afectan al hogar, como el hecho de que el padre de familia quede desempleado, aumentan la probabilidad de que el niño abandone los estudios e ingrese al mercado laboral; existe una correlación negativa no explicada entre la asistencia a la escuela y el trabajo.
Aunque regresa al supuesto de que la mano de obra infantil es lo opuesto a los estudios, Fitzsimons (2007) aporta una mayor exploración del papel de los choques del ingreso. Va más allá de la idea de que el ingreso familiar actual determina la probabilidad de que el niño abandone los estudios y empiece a trabajar, y hace pruebas para determinar también si el riesgo del flujo de ingresos familiares importa o no.6 De hecho, la familia puede usar la mano de obra infantil como un mecanismo de seguro contra las fluctuaciones del ingreso en países en donde los mercados de seguros están subdesarrollados. Sus resultados apoyan la hipótesis de que la mano de obra infantil funge como un seguro al proteger contra la volatilidad del ingreso en el nivel agregado (pueblo), mientras que el riesgo idiosincrásico (nivel familiar) se maneja sin recurrir al uso de la mano de obra infantil.
Pal (2004) toma en cuenta específicamente la naturaleza secuencial de la progresión escolar para estimar un modelo probit secuencial. Encuentra que los factores determinantes del éxito escolar difieren según el nivel escolar y que la escolaridad de los padres es muy importante para el rendimiento académico en la primaria. Bedi y Marshall (2002) se centran en la interrelación entre la asistencia a la escuela y el logro escolar y encuentran que es más probable que los niños de los que se espera un mayor rendimiento acudan a la escuela.
Aún más reciente es el reconocimiento de la endogeneidad de la mano de obra infantil en las regresiones que explican los resultados escolares, lo cual lleva a la estimación de modelos de variables instrumentales. Se han empleado distintas variables que cambian la probabilidad de que el niño trabaje, sin tener un efecto directo en los resultados escolares. Gunnarsson et al (2006) exploraron la variación entre países en las edades de inicio y graduación de los grados obligatorios; Ravallion y Wodon (2000) exploraron la variación entre pueblos en la participación en un programa de alimentos a cambio de la asistencia a la escuela; Beegle et al (2009) usaron la variación entre regiones en los precios del arroz7 y los desastres naturales en Vietnam. Los resultados indican que la mano de obra infantil reduce el rendimiento escolar. Sin embargo, Ravallion y Wodon encuentran que el subsidio escolar, aunque aumenta importantemente la asistencia a la escuela, reduce la mano de obra infantil a dimensiones mucho menores, ya que es posible estudiar y trabajar al mismo tiempo debido a la corta duración del horario de clases. Orazem y Gunnarsson (2004) presentan un panorama general de la bibliografía del efecto de los resultados laborales, y particularmente un análisis de los instrumentos.
Las variables instrumentales también han sido el enfoque empírico por seguir en el estudio del caso de los Estados Unidos realizado por Chatterji y DeSimone (2005) , quienes emplearon el consumo de alcohol del mes anterior como instrumento en su estudio del efecto del consumo de alcohol en la deserción en la preparatoria; de manera similar, Roebuck et al (2004) usaron indicadores de religiosidad para estudiar el efecto del consumo de drogas en el rendimiento escolar. Seguiremos esta línea metodológica para estudiar los factores que orillan a los niños a dejar la escuela.
III. Barrios estudiados y procedimientos de compilación de datos
1. Fortaleza, noreste de Brasil
El recuento de la pobreza en el noreste se encuentra entre los más altos de Brasil. En particular, el estado de Ceará tiene uno de los Indicadores de Desarrollo Humano (IDH) más bajos de entre los 27 estados de Brasil.8 La capital del estado, Fortaleza, es la quinta ciudad más grande de Brasil, con 2.8 millones de habitantes y 402 favelas. De acuerdo con los estándares internacionales, Brasil es un país con desigualdades internas muy acusadas y es importante destacar que se observan grandes disparidades cuando se desagrega el IDH por barrio. El barrio más desarrollado de Fortaleza presenta un IDH comparable al de los países industrializados, mientras que los barrios menos desarrollados tienen un desarrollo comparable al de los países del África sursahariana. Los tres barrios estudiados abarcan una zona urbana relativamente homogénea en términos de pobreza extrema y escasa provisión de infraestructura y servicios públicos.
2. Datos
Los datos -tomados de la encuesta del Banco Mundial realizada en Fortaleza- fueron recabados en tres barrios de Fortaleza: Autran Nunes, Edson Queiroz y Pirambú en 2003. Cada uno de ellos tiene una población de alrededor de 20 mil habitantes y 4 500 casas. Se aplicaron aproximadamente 500 cuestionarios en cada barrio. Para garantizar la aleatoriedad de la muestra, se obtuvieron mapas detallados de los barrios, proporcionados por el gobierno municipal. Cada barrio se dividió en secciones basadas en los mapas disponibles, de modo que se entrevistó a aproximadamente uno de cada nueve hogares en cada uno de los tres barrios.
El instrumento de la encuesta cubrió 61 preguntas en cinco temas principales: i) antecedentes socioeconómicos; ii) educación; iii) salud y sexualidad; iv) capital social y violencia, y v) empleo y actividad económica. La elección de las preguntas y su redacción provienen del extenso trabajo de campo previo en el que participaron trabajadores sociales, psicólogos y ONG, en consulta con jóvenes y otros miembros de la comunidad (pueden conocerse mayores pormenores de la compilación de datos en Verner y Alda, 2004).
Se siguió una estrategia bastante original en el trabajo de campo, lo que garantizó la confianza entre los encuestados y el equipo de encuestadores. Dos grupos de equipos participaron en el proceso de compilación de datos: el equipo de investigación, conformado por estadísticos de la universidad local, psicólogos, ONG, voceros de derechos humanos, jóvenes y otras personas que vivían en los barrios seleccionados; el equipo de encuestadores, conformado por un coordinador general, tres coordinadores de barrio y los entrevistadores, que fueron reclutados en cada uno de los barrios. El Instituto de Investigación Organizada de Ceará,9 una ONG local que opera en barrios pobres, dirigió el proceso de entrevista. Tanto las entrevistas piloto como las definitivas fueron realizadas por jóvenes de los barrios. Algunos de los entrevistadores formaban parte del MH2OCE (Movimiento Hip Hop Organizado de Ceará),10 una organización que trabaja para prevenir la violencia en los barrios pobres de Fortaleza. MH2OCE trabaja con los miembros de pandillas locales, arreglo que le facilitó al equipo el acceso a las zonas más violentas de los barrios, ya que podía negociar el acceso a zonas que están controladas por grupos violentos, en particular pandillas rivales.
Estos arreglos especiales contribuyeron a que hubiera pocas preguntas sin respuesta y a que se dieran respuestas confiables con un reducido margen de error, aun cuando las preguntas se enfocaron en temas delicados. Las entrevistas se realizaron del 19 al 29 de junio de 2003 y fueron aplicadas por cinco entrevistadores en cada uno de los tres barrios. Cada entrevistador completó cerca de 10 cuestionarios por día, con la estricta supervisión del coordinador de equipo.
3. Selección de la muestra
En la bibliografía analizada se eligieron distintas grupos etarios en diversas estudios del rendimiento académico y el abandono escolar, con un límite inferior de 5 a 18 años de edad y un límite superior de 13 a 21. La elección invariablemente conlleva algún grado de arbitrariedad y frecuentemente está restringida por la disponibilidad de los datos. En el presente artículo, el análisis se enfocará en adolescentes de entre 12 y 18 años (el límite inferior está dictado por la disponibilidad de los datos, ya que se entrevistó a muy pocos jóvenes de menos de 12 años).11 Las estadísticas descriptivas se presentan en la siguiente sección y en el apéndice.
IV. ¿Qué distingue a los adolescentes escolarizados de los no escolarizados? Estadísticos descriptivos
La asistencia a la escuela se calcula a partir de una pregunta directa contenida en la encuesta: "¿vas o fuiste alguna vez a la escuela?" y la respuesta "sí, sí voy a la escuela" se codificó como nuestra variable de interés. La Gráfica 1 traza la asistencia a la escuela, por edad y sexo. En general, una proporción mayor de niñas que de niños permanecen en la escuela. A la edad de 12 años, la asistencia a la escuela es casi universal, pero mientras que las niñas aún presentan cifras altas hasta los 17 años, en el caso de los niños cae hasta casi 80% a partir de los 13 años. A la edad de 17 años se presenta otra caída pronunciada en la asistencia a la escuela en el caso de los niños, que se reduce de 60 a 50% a los 18 años. En el caso de las niñas, la edad de 18 años es el punto decisivo, cuando la proporción de asistencia a la escuela disminuye bruscamente, de 84 a 55 por ciento.

Fuente: Cálculos propios basados en la encuesta del Banco Mundial realizada en Fortaleza en 2003.
Gráfica 1 Asistencia a la escuela, por edad y sexo
El hecho de que el abandono escolar sea más común entre los niños que las niñas contrasta con lo que sucede en países de Asia y África (véase por ejemplo Jensen y Nielsen, 1997, sobre Zambia, Maitra y Ray, 2002, sobre Pakistán y Ghana), pero es una pauta que concuerda con la evidencia de otros países latinoamericanos (véase, por ejemplo Maitra y Ray, 2002, sobre el Perú), que tienen antecedentes sociales más parecidos a los de Brasil. La escolaridad de quienes abandonaron los estudios es bastante baja: la mayoría (tres cuartos) desertaron antes de terminar la primaria; sólo 9% terminó la escuela primaria y 13% terminó la escuela secundaria.
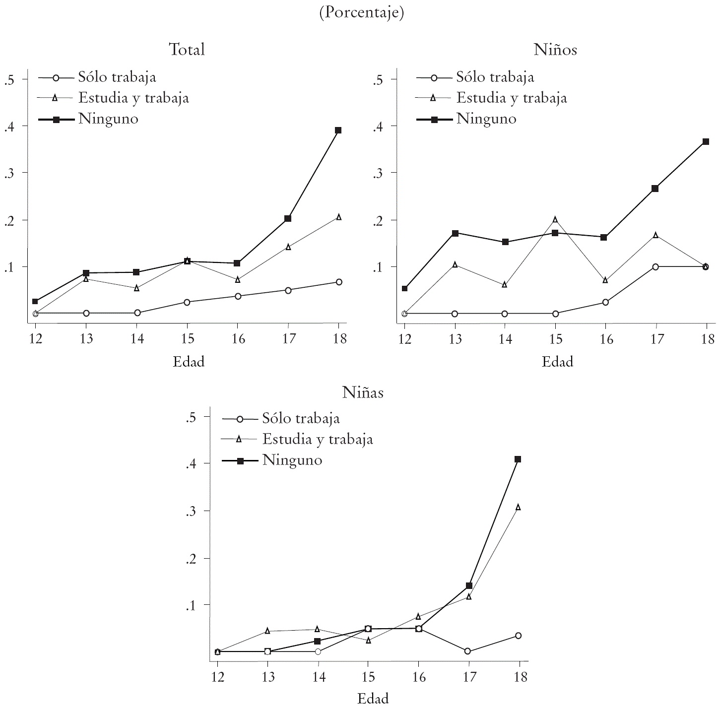
Dos preguntas distintas se concentran en el status que el encuestado tiene en la fuerza laboral. La primera: "¿qué haces cuando no estás en la escuela?" se codificó como un indicador de que el adolescente estaba trabajando si la respuesta era "trabajo". La segunda es: "¿trabajaste en los últimos 12 meses?" y su codificación es obvia. La Gráfica 2 destaca el hecho de que, después de los 16 años de edad, hay una creciente proporción de adolescentes que, a pesar de no tener un empleo, abandonan la escuela. Para la edad de 18 años, casi la mitad de los adolescentes no estudian ni trabajan. Estas cifras ponen en duda la importancia del trabajo como la fuerza que orilla a los adolescentes a abandonar la escuela en las zonas urbanas de Brasil.

Fuente: Cálculos propios basados en la encuesta del Banco Mundial realizada en Fortaleza en 2003.
a La categoría restante, los que sólo asisten a la escuela, no está trazada.
Gráfica 2 Distribución de niños según asistencia a la escuela y status laboral actual, por edad y sexoa
Por tanto, el problema es: ¿qué es lo que distingue a los adolescentes que asisten a la escuela de los que han desertado? El Cuadro 1 muestra la comparación. Como lo sugieren las gráficas, las niñas tienen menor representación entre los jóvenes que no asisten a la escuela; los adolescentes de más edad tienen mayor propensión a desertar. En términos de su grupo racial, no existen diferencias aparentes. Hay dos diferencias notorias que se destacan: más de un tercio de los jóvenes que no van a la escuela declaran haber padecido hambre en algún momento de su vida, comparado con el 17% de los que asisten a la escuela. Además, casi un tercio de los que no asisten a la escuela tienen hijos, a comparación de 4% de los adolescentes que van a la escuela. Al preguntarles que edad piensan que es la ideal para comenzar a tener relaciones sexuales, casi la mitad de los adolescentes no escolarizados respondieron con una edad de 17 años o menos; el 38% de los adolescentes escolarizados coincidió con ese punto de referencia. A pesar de que la proporción de adolescentes que trabajan actualmente no difiere marcadamente entre los grupos escolarizados y los no escolarizados, una proporción mayor de los no escolarizados ha trabajado en algún momento durante los pasados doce meses.
V. Factores que orillan a los adolescentes a abandonar la escuela
Las pruebas descriptivas sugiere que la pobreza extrema, la paternidad temprana y la mano de obra infantil podrían ser factores que orillan a los adolescentes a abandonar la escuela. No obstante, un marco de análisis multivariado podría revelar otras variables importantes asociadas con la deserción escolar y posiblemente traiga a colación el tema de la importancia de las ya destacadas. Asimismo, debería incluirse un conjunto de factores de confusión potenciales como controles en el análisis empírico.
Estamos particularmente interesados en el efecto de la paternidad temprana y el empleo en relación con las decisiones de escolarización. Un problema mayor que hay que abordar es la potencial endogeneidad de la decisión de trabajar y la paternidad temprana. Las decisiones de fertilidad, trabajo y estudios afectan la utilidad del adolescente. Sin embargo, la utilidad no es observable y ahora sólo observamos las decisiones reales. Dado que quienes abandonan la escuela no constituyen una muestra aleatoria, es probable que una comparación simple de las decisiones de escolarización de los adolescentes que trabajan y de los que no trabajan, o de los que son padres de familia y los que no lo son, genere resultados sesgados. En particular, podría haber factores omitidos que no podemos captar y que afectan la decisión de abandonar la escuela, pero que también son factores determinantes de la paternidad temprana y el status laboral. Entre estos factores se podrían incluir las aptitudes, motivación y, en general, las preferencias de los niños. Por tanto, adoptamos un enfoque de variables instrumentales.
Puesto en términos más formales, modelamos la probabilidad de que el adolescente abandone la escuela:
en la que Y2i es un vector de variables endógenas -el trabajo y la paternidad temprana-; X 1 i representa un vector de variables exógenas que incluye el sexo, la edad, el grupo racial, el haber padecido hambre en algún momento de su vida y la escolaridad de la madre. Dada la naturaleza endógena del trabajo y la paternidad temprana, β forzosamente generaría estimaciones incongruentes. Por tanto, instrumentamos estas variables.
Primero que nada, consideramos la edad que los adolescentes indicaron como la ideal para tener relaciones sexuales por primera vez como un instrumento de la paternidad temprana. La idea subyacente es que es probable que la creencia acerca de la edad adecuada para empezar a tener relaciones sexuales induzca una variación en la edad a la cual la paternidad o maternidad ocurren por primera vez, pero no debería tener un efecto adicional en la probabilidad de abandonar los estudios.
De manera similar, el salario de reserva -la cantidad mínima de dinero que la persona está dispuesta a aceptar para empezar a trabajar- se correlacionará con el hecho de si ésta trabaja o no, pero no debería afectar mediante ningún otro canal la decisión de abandonar la escuela. El análisis del salario de reserva declarado sugiere que los adolescentes efectivamente tienen una idea acertada del salario de mercado, lo que apoya la aseveración de que puede usarse como un indicador de los ingresos renunciados o el costo de oportunidad del tiempo dedicado a la escuela. La Gráfica 3 traza el salario de reserva declarado por los adolescentes encuestados y revela un pico muy claro en el salario mínimo nacional. Tomamos el salario de reserva como instrumento identificador del trabajo en el mercado laboral. X2i incluye nuestro conjunto de instrumentos identificadores, la edad ideal declarada para tener relaciones sexuales por primera vez (codificada como 1 si esa edad es de 17 años o menos) y el salario de reserva.

Fuente: Cálculos propios basados en la encuesta del Banco Mundial realizada en Fortaleza en 2003.
a La línea vertical indica el salario mínimo nacional.
Gráfica 3 Salario de reservaa
Observamos a los niños efectivamente no escolarizados si:
Por tanto, estimamos un modelo probit de variables instrumentales. El Cuadro 3 clarifica la definición de las variables en el modelo y presenta sus estadísticas descriptivas. La evidencia verificadora de la confiabilidad de los instrumentos se analizará una vez que hayamos presentado nuestros resultados centrales. Los resultados se presentan en el Cuadro 2. La columna 1 incluye un conjunto restringido de variables de control y la columna 2 registra un conjunto más amplio. Los resultados indican, primeramente, que la presencia de hijos propios orilla a los jóvenes a abandonar la escuela. La paternidad temprana aumenta en 0.46 la probabilidad de que el adolescente abandone la escuela (es decir, la propensión a no escolarizarse es 46 puntos porcentuales mayor a la de quienes no tienen hijos).12 De manera similar, la pobreza extrema afecta negativamente la asistencia a la escuela. Los adolescentes que declaran haber padecido hambre son más propensos a no escolarizarse. En su caso, la probabilidad aumenta en 0.11.

Fuente: Cálculos propios basados en la encuesta del Banco Mundial realizada en Fortaleza en 2003.
a La paternidad temprana y el trabajo se modelan como variables endógenas. Los instrumentos incluyen la edad declarada como ideal para tener relaciones sexuales por primera vez (codificada como 1 si esa edad es de 17 años o menos) y el salario de reserva. Errores estándar entre paréntesis. La referencia para computar los efectos marginales consiste en un hombre, cuya edad corresponde a la media, caucásico, cuya madre no terminó la escuela secundaria, que no ha padecido hambre y que declaró un salario de reserva igual al salario mínimo nacional. Los efectos cambian poco si se consideran puntos de referencia distintos. Para las variables ficticias se registra el efecto de un cambio discreto de 0 a 1.
* Significación de 10 por ciento.
** Significación de 5 por ciento.
*** Significación de 1 por ciento.
Cuadro 2 Probabilidad de estar no escolarizado, modelo probit de variables instrumentalesa
En contraste con la mayor parte de la bibliografía, encontramos que en este contexto urbano en particular el haber trabajado en algún momento durante los pasados 12 meses no tiene un efecto negativo en la asistencia a la escuela. Como lo sugiere un análisis de los datos brutos, la deserción escolar con frecuencia lleva a la inactividad y no al trabajo. Esto podría ser resultado de la acusada falta de oportunidades laborales a que se enfrentan actualmente los habitantes de estos barrios. También podría ser que dedicarle unas cuantas horas al trabajo permite sufragar el costo de la educación. De hecho, el trabajo de campo sugiere que no contar siquiera con el poco dinero que cuesta tomar el autobús para ir a la escuela todos los días puede llevar a la deserción escolar. El trabajo de Binder y Scrogin (1999) respecto a México se encuentra entre las pocas referencias que ponen de manifiesto que el trabajo no es forzosamente perjudicial para el rendimiento escolar, probablemente debido a su efecto en los recursos familiares.
Como se esperaba, la edad tiene un efecto importante en el abandono de la escuela y los adolescentes mayores tienen más probabilidades de dejarla. Después de controlar por los factores mencionados líneas arriba y la endogeneidad de la paternidad y el status laboral, las diferencias en las tasas de abandono escolar entre mujeres y hombres ya no son significativas. De manera similar, la probabilidad de estar no escolarizado no difiere significativamente entre grupos raciales. Esta prueba concuerda con los informes de Perlman (2004), p. 128, quien, al mostrar que los barrios pobres (en su caso, los de Río de Janeiro) tienen una mezcla importante de grupos raciales, encontró una escasa correlación entre el origen racial y varios resultados que se analizan en su estudio: la escolaridad, el status ocupacional, la ideología política, la movilidad social o las percepciones de los prejuicios.
La escolaridad de la madre, que se incluye en la especificación como un indicador de la posición económica familiar y sus preferencias, no tiene un efecto significativo en la probabilidad de que el adolescente abandone los estudios.
Los Cuadros A2 y A3 del apéndice muestran los resultados de las regresiones de primera etapa. Aunque estamos interesados en los resultados de la regresión de segunda etapa, cabe destacar que las regresiones de primera etapa apoyan nuestra estrategia de estimación. La regresión de la paternidad tiene buen poder predictivo (R 2 = 0.20). La edad declarada como ideal para tener relaciones sexuales por primera vez tiene un efecto significativo en la paternidad temprana, de modo que quienes registran una edad menor tienen mayores probabilidades de ser padres de familia. Naturalmente, es más probable que los adolescentes mayores sean padres de familia y es menos probable que las niñas tengan hijos, a comparación de los niños. La pobreza, que se captó con base en si los encuestados habían padecido hambre o no se asocia con una mayor probabilidad de ser padres precoces. La regresión de primera etapa para el status laboral da cuenta de 9% de la variación exógena de esa variable. El salario de referencia tiene un efecto negativo significativo en la probabilidad de estar trabajando, como se hipotetizó mediante el uso de esta variable instrumental. Los adolescentes mayores tienen mayores probabilidades de estar trabajando y el haber sufrido extrema pobreza en el pasado también se asocia con una mayor participación actual en el empleo.
Pusimos a prueba el supuesto de que el trabajo y la paternidad temprana son factores endógenos a la decisión de escolarización. El estadístico de la prueba de Wald apunta hacia el rechazo de la hipótesis nula de la exogeneidad de las variables instrumentales, por lo que la estimación del modelo de variables instrumentales es más apropiada que un probit simple. El cuadro A4 del apéndice presenta, con fines comparativos, los resultados de un modelo probit estándar. Curiosamente, los resultados de este modelo de referencia muestran que de no considerarse la endogeneidad de las decisiones del trabajo y la paternidad temprana puede efectivamente generarse resultados engañosos en el efecto del trabajo en la escolarización. El modelo probit estándar indica un efecto negativo aparente del trabajo en la asistencia a la escuela que, según hemos observado, no se presenta en el caso del contexto urbano en particular que estamos estudiando en Brasil, en donde el trabajo no afecta negativamente la asistencia a la escuela. Considerar la endogeneidad tiene consecuencias importantes para nuestro entendimiento de este fenómeno.13
Conclusiones
Aunque la mayor parte de la bibliografía de países en desarrollo se ha enfocado en la correspondencia entre la asistencia a la escuela y la mano de obra infantil, la evidencia tomada de las zonas urbanas de Brasil sugiere otras fuerzas pertinentes que llevan a los adolescentes a abandonar la escuela, especialmente la paternidad temprana y la pobreza extrema. La modelación empírica del efecto de estas variables resulta ser difícil dada su endogeneidad potencial. En el presente artículo, el problema se sorteó mediante el uso de la edad declarada por los adolescentes como la ideal para comenzar a tener relaciones sexuales como instrumento de la paternidad temprana, y el salario de reserva declarado como instrumento del trabajo en el mercado laboral. Nos basamos en los extraordinarios datos recabados por medio de una encuesta especialmente elaborada dirigida a los jóvenes y que contó con la participación de ONG y grupos de jóvenes locales en el proceso de compilación de los datos. Como tal, nos permitió llegar a los sectores más inaccesibles de los barrios bajos urbanos, además de que garantizó la confianza entre los encuestados y el equipo de encuestadores, lo que generó tasas de respuesta altas y respuestas confiables, incluso en el caso de los temas delicados que se abordaron.
Los resultados indican que la paternidad temprana tiene un gran efecto en términos de llevar a los adolescentes a abandonar la escuela. La pobreza extrema es otro factor que disminuye la asistencia a la escuela, ya que los niños que padecen hambre en algún momento de su vida tienen una menor probabilidad de asistir. En este contexto urbano específico, el trabajo no forzosamente tiene un efecto perjudicial en la asistencia a la escuela. La deserción escolar con mayor frecuencia lleva a la inactividad y no al trabajo, lo que podría deberse a la falta de oportunidades laborales. Otro posible razonamiento apunta al papel que el trabajar durante algunas horas puede tener en la capacidad de sufragar el costo de los estudios. En efecto, los costos como el transporte diario se mencionaron frecuentemente en las entrevistas como un obstáculo al progreso más allá de un cierto punto en la escuela.
A partir de estos resultados se puede derivar algunas consecuencias para las políticas. Reducir los costos de ir a la escuela -tanto directos como indirectos-, como el transporte, podría mejorar las tasas de escolarización. Una opción sería ampliar el programa de transferencias en efectivo condicionadas (Bolsa Família) a jóvenes de entre 15 y 18 años de edad que viven en los barrios pobres. Asimismo, los programas de desarrollo de la niñez temprana y mejores condiciones de nutrición y salud impulsarían las capacidades no cognitivas de los niños que viven en condiciones de extrema pobreza y, por ende, tendrían consecuencias duraderas en los resultados académicos.










nueva página del texto (beta)








