Introducción
La leche es uno de los productos alimenticios básicos más consumidos a nivel mundial debido a que es fuente de calcio, fósforo, magnesio, zinc y selenio. Contiene vitaminas liposolubes A, De hidrosolubles como el complejo B (riboflavina B2, cobalamina B12, niacina B3, tiamina B1) y la vitamina C en escasa cantidad (Sánchez et al., 2020).
El consumo de leche bovina puede traer tanto beneficios como daños a la salud. Por lo anterior, Ebringer, Ferencík, y Krajcovic (2008), afirman que la leche es una buena fuente de proteínas (aminoácidos esenciales), grasa (ácidos grasos insaturados), vitaminas y minerales. Mientras que Serrano-Riaño y Minga-Narváez (2015), en su estudio realizado en Colombia, señalan que existen dos grupos de bovinos, Taurus e Indicus, los cuales producen leche de tipo A1 (proveniente de la raza Taurus y en la posición 67 de la Beta-caseína tiene un aminoácido denominado “histidina”) y leche tipo A2 (proveniente de la raza Indicus, la cual en la misma posición 67 de la Beta-caseína tiene un aminoácido denominado “prolina”). Basado en eso, indican que enfermedades tales como la diabetes tipo 1 y arteriosclerosis están asociadas a la leche bovina tipo A1; sostienen que, el cáncer de mama está relacionado con el virus de leucemia bovina.
La leche bovina se produce en los períodos de lactancia en el ciclo reproductivo de las vacas que provienen del ganado especializado, cruzas y ganado de doble propósito. El líquido es insumo para diversos productos procesados: pasteurizada en sus múltiples presentaciones, quesos, mantequillas, cremas, fórmulas lácteas y sueros (SADER, 2021).
A nivel mundial el consumo y comercio de alimentos, pero en particular el de los lácteos ha sido influenciado por factores macroeconómicos tales como el ingreso y el precio, así como por la evolución de la población mundial y su localización, por las políticas de apoyo a la producción y comercialización en distintos países y de las negociaciones internacionales. Se ha visto afectada la demanda, la oferta y el comercio mundial (SE, 2012).
La producción de leche bovina en 2021 a nivel mundial fue de 544.1 millones de toneladas. Tal volumen de producción representó un incremento de aproximadamente 4.5 millones de toneladas con respecto al año anterior (Orús, 2024). Los principales países productores de leche bovina fueron Estados Unidos de América (16.0%), India (13.0%), Brasil (6.0%), China (5.0%), Alemania (5.0%) y México, quien ocupa el 15º lugar a nivel mundial con el 2% del total (Canilec, 2022).
En México, la producción total de leche bovina fue de 12,842 millones de litros en 2021, lo cual representó un aumento del 3.2% en comparación con 2020, año en el que los principales estados productores de leche fueron, Jalisco (2 mil 626 millones de L), Coahuila (mil 458 millones de L), Durango (mil 291 millones de L), Chihuahua (mil 159 millones de L) y Guanajuato (874 millones de L). Lo anterior suma 57% de la producción en el país y son los estados en los que se busca fomentar la sostenibilidad (SADER, 2021) En contraste, los estados que representan una oportunidad de desarrollo en este sector son Veracruz, Tabasco, Chiapas y Campeche los cuales aportan solo el 12% de la producción nacional (Forbes, 2021).
Las principales empresas de la industria nacional son Grupo Lala, con el 21.4% de participación de mercado y Alpura con el 10.2% (Sánchez-Fermín, 2017). La empresa comercializa diversos productos lácteos y ha establecido 60 distribuidores y 15 centros de distribución en una empresa que produce y procesa aproximadamente dos millones de litros de leche al día (Alpura, 2022).
En México, el consumo de leche percápita diario es de 250 ml, el cual es bajo comparado con países como Holanda (900 ml), Estados Unidos (740 ml) o Nueva Zelanda (600 ml) (González, 2021). Adicionalmente, la producción de leche en México muestra un déficit de cuatro mil millones de litros al año, ya que solo se producen doce mil millones de litros, pero se consumen casi 16 mil millones, dicho déficit ha sido cubierto a través de importaciones de leche en polvo.
En el período 2009-2021, México incrementó su importación de leche en polvo pasando de 186,863 a 316,890 toneladas y con una tasa de crecimiento media anual del 1.056 durante el período (SIAVI, 2021). En 2021 las importaciones sumaron 965 millones de dólares, mientras que en el período 2011-2020 fluctuaron entre 542 y 789 millones de dólares (Morales, 2022). México se ha mantenido como el segundo importador mundial de leche (Alonso-Pesado y Rodríguez-de Jesús, 2021).
De acuerdo con la SE (2012), en las últimas décadas el consumo de lácteos ha aumento en los países industrializados, ya que al contar con un mayor poder adquisitivo su consumo per cápita ha ido en aumento. Los países en desarrollo también han alcanzado niveles altos de consumo de lácteos, debido a que su ritmo de crecimiento poblacional ha aumentado y por lo tanto su consumo por habitante.
En el estado de México, los diez principales municipios productores de leche son Texcoco, Zumpango, Teoloyucan, Jilotepec, Aculco, Cuautitlán, Polotitlán, Tequixquiac, Acolman y Almoloya de Juárez, los cuales aportan casi el 50% de la producción lechera del territorio mexiquense y presentan una derrama económica de casi 2.7 millones de pesos al año (Edomex Informa, 2019).
En el municipio de Texcoco, lo que más se produce en la región es ganado bovino, porcino, ovino, caprino y equino. Son los ranchos productores de leche los que más sobresalen. Esos ranchos, a finales de la década de 1990, mantenían un registro de 4 500 cabezas de ganado lechero, dichos espacios se encuentran alejados de la zona urbana del municipio (López-Ruiz, 2017).
El municipio de Texcoco registra una población urbana de 277,562 habitantes, de los cuales el 51.40% son mujeres y el 48.60% son hombres. Los rangos de edad que concentran mayor población son de 15 a 19 años (9.2%), de 20 a 24 años (8.8%) y de 10 a 14 años (8.4%). Suman entre ellos el 26.5% de la población total (Gobierno de México, 2020). Lo anterior indica que un poco más de un cuarto de la población del municipio son jóvenes y el resto de población se encuentra en un rango de edad de entre 25 años y más.
Al respecto la SE (2012), menciona que el factor principal que influye en el aumento del consumo de leche es el crecimiento poblacional (70.0%) y en segundo lugar el aumento del consumo per cápita (30.0%). Además, que los niveles de demanda y consumo de lácteos dependen de los niveles de urbanización, es decir, los cambios de población rural a urbana, ya que la población urbana tiende a demandar distintos tipos de productos lácteos que contribuyan a mejorar las condiciones de salud, pero que no están disponibles en el medio rural.
De acuerdo con el número de habitantes del municipio de Texcoco y tomando en cuenta el consumo per cápita nacional, éste tendría un consumo diario de leche de alrededor de 70,000 litros diarios considerando el consumo per cápita promedio nacional, lo cual podría variar si se considera que dentro de esta población existan personas que son intolerantes o alérgicos a la lactosa, con tendencia al cuidado del medio ambiente, así como a su salud o en busca de productos funcionales.
La población económicamente activa (PEA) en el municipio de Texcoco está representada por más del 50.0% de la población total. La mayoría de la PEA recibe más de dos salarios mínimos (salario mínimo = 207MXN), clasificándose, entonces, como una población de clase social media de acuerdo con el Instituto Nacional de Estadística y Geografía (INEGI, 2021) y la cual podría representar a quienes deciden la compra de leche bovina en el hogar en términos económicos, ya que son los que cuentan con el poder adquisitivo.
Por lo anterior, el objetivo de este estudio fue conocer los factores que determinan el consumo de leche bovina en el municipio de Texcoco. La hipótesis de la investigación plantea que los principales factores que influyen en el consumo de leche bovina son el ingreso y el precio, debido a que estos son los principales factores de la demanda y son los que el consumidor toma en cuenta a la hora de la compra.
Metodología
El estudio se desarrolló en el municipio de Texcoco, se tomaron en cuenta 10 de las 105 localidades pertenecientes al municipio y se eligieron aquellas con mayor población: la cabecera municipal Texcoco de Mora, seguida de San Miguel Coatlinchan, San Miguel Tocuila, San Luis Huexotla, Villa Santiago Cuautlalpan, Santa Martha, San Bernardino, San Miguel Tlaixpan, San Jerónimo Amanalco y San Diego.
En el cálculo de la muestra se tomó en cuenta la población total a entrevistar en el municipio de Texcoco, la cual fue de 277,562 habitantes, según la Encuesta de Población y Vivienda del INEGI (2020). El tamaño de la muestra se obtuvo como se indica en la Fórmula 1:
Donde:
n: tamaño de la muestra p: porcentaje estimado de variabilidad positiva (50 %)
q = 100-p (variabilidad negativa)
N = población total del universo de estudio (277,562 habitantes)
Z = nivel de confianza en la distribución Z de tablas (al 95% de confianza), Z= 1.96.
E: error o precisión de estimación permitido (5 %)
Sustituyendo valores en la Fórmula 1 se obtiene el tamaño de muestra (Fórmula 2):
El tamaño de la muestra calculado fue de 384 personas; sin embargo, se levantaron 400 cuestionarios, de los cuales 16 fueron excluidos para la realización del modelo, debido a que ese número de entrevistados no aportaron información. Los 400 cuestionarios se obtuvieron en 10 localidades del municipio de Texcoco, principalmente en la cabecera municipal, las que se jerarquizaron de mayor a menor de acuerdo con su densidad poblacional durante los meses de octubre, noviembre, diciembre de 2022 y enero de 2023. Los individuos se entrevistaron en lugares como plazas, tiendas de barrio, mercados públicos, centros comerciales y tiendas de abarrotes, debido a que estos son los principales lugares a donde el consumidor acude a comprar alimentos, incluida la leche. El criterio de selección de los individuos fue su disposición a contestar el cuestionario; aunque la obtención de la muestra no fue obtenida mediante un proceso probabilístico, los datos obtenidos si arrojan información pertinente para el fenómeno en estudio.
Las variables en la encuesta se consideraron por bloques: 1) en un primer bloque se preguntó el nombre, lugar de la encuesta, género, edad, ocupación y escolaridad; 2) en un segundo bloque se inquirió acerca del consumo de leche, frecuencia (veces por semana), preferencias en cuanto a la presentación de la leche, precios, lugares de adquisición y miembros que conforman su familia; 3) en un tercer bloque se inquirió sobre la razón de porque no consume leche y si consume algún sustituto de la misma, en caso de consumirlo, de qué tipo, precio, satisfacción, frecuencia de consumo (veces por semana), razón de consumo, lugares de adquisición, nivel de ingresos e ingreso destinado a su consumo en alimentos. Los datos obtenidos se capturaron en una plantilla estructurada en una hoja de cálculo de Excel.
El análisis estadístico se realizó con modelos de regresión cuantitativos, los cuales permiten encontrar la probabilidad de que un acontecimiento suceda: estos modelos probabilísticos expresan que si Xi aumenta, Pi = E(Y = 1|X) también aumentará, dentro del intervalo 0 - 1 (Gujarati, 2003). En los modelos, la variable dependiente es dicotómica, es decir, que se plantearon dos opciones: a) consume leche bovina, denotado con 1 (éxito) y; b) no consume leche bovina, denotado con el valor 0 (fracaso). Las variables independientes pueden ser codificadas como intervalos, o ser categóricas, es decir, se predicen valores de una variable que únicamente pueden tomar dos valores. Para la modelación las variables independientes utilizadas fueron género (GEN), edad (EDAD), escolaridad (ESC), precio de la leche bovina (PRECL), número de integrantes por familia (NIF) e ingreso familiar (INGF). Las funciones de distribución acumuladas que representan los modelos de respuesta 0 o 1 son los de logística (logit) y de la normal (probit).
La función logística del modelo logit acumulada se expresa en la Fórmula 3:
Donde:
Pk = Probabilidad de que un evento ocurra (Consuman o no consuman leche bovina)
β0,1,2,3,4,5,6 = Coeficientes calculados
X1,2,3,4,5,6 = Representan el conjunto de variables que describen las características del consumidor entrevistado (X1 = GEN, X2 = EDAD, X3 =ESC, X4 = PRECL, X5 = NIF y X6 = INGF)
El modelo Probit (conocido como normit) utiliza una función de distribución normal estándar, la cual presenta una mayor dificultad para su cálculo, debido a que es una integral, como lo muestra la Fórmula 4 (Sánchez, 2012).
Cada parámetro (βj) indica la intensidad en que se mueve la probabilidad de la variable dependiente cuando aumenta la variable independiente y su signo indica la relación que existe entre ambas variables, si éste es negativo existe una relación inversa, es decir, que si la variable independiente aumenta la variable dependiente disminuye y viceversa; si el signo es positivo indica una relación directa, es decir, que si la variable independiente aumenta también lo hará la variable dependiente y viceversa. Los parámetros cuantifican los efectos marginales de las variables indirectas sobre la probabilidad de la variable dependiente. La teoría económica indica que el efecto marginal expresa el efecto que sobre la variable dependiente provoca un cambio pequeño en una variable independiente, ceteris paribus (todo lo demás constante) (Wooldridge, 2008).
En los modelos no lineales (logit y probit) los efectos marginales son representados a través de la derivada de yi (variable dependiente o explicada) con respecto de xj (variable independiente o explicativa), dicha derivada representa el incremento en la probabilidad cuando se incrementa en una unidad la variable explicativa, esto afectará a la variable dependiente a la cual va referido tal efecto marginal, lo anterior se ve expresado en la Fórmula 5 (Solano-García y González-Martínez, 2001).
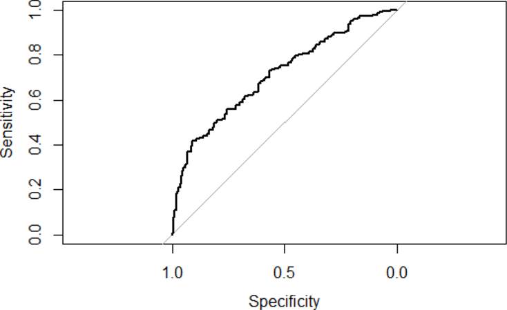
La capacidad del modelo para clasificar a los individuos que consumen leche bovina de los que no lo hacen, se le conoce como poder discriminatorio. Las curvas Receiver Operating Characteristics (ROC) son la representación gráfica del poder discriminatorio y/o del rendimiento de un modelo de clasificación binaria para todos los umbrales de clasificación, cuanto más se aproxima una curva a la esquina superior izquierda, más alta es la exactitud global de la prueba (Escalona-Cortés, 2011). El área bajo la curva ROC coincide con la probabilidad de que la identificación de los individuos de la muestra sea adecuada. De acuerdo con Escalona-Cortés (2011), “el poder predictivo es la capacidad que tiene el modelo para predecir la variable dependiente, basado en los valores de las variables independientes” (p. 30). El valor predictivo del modelo estimado se juzga mediante el valor del “Accuracy”. Dicho parámetro y la curva de ROC para ambos modelos se estimaron mediante el software estadístico RStudio 4.1.1.
Resultados
En principio se realizó un análisis de las frecuencias relativas de las variables de la encuesta aplicada a los habitantes del municipio de Texcoco, Estado de México. Los entrevistados fueron principalmente mujeres (73.5%) con un rango de edad entre 18 y 68 años y un promedio de 34 años. El 51.50% de las familias estuvieron integradas por 3 y 4 miembros; en tanto que el 38.03% afirmó no tener algún menor de edad entre sus miembros y el 61.97% señaló que tienen al menos un menor de edad (Cuadro 1).
Cuadro 1 Datos generales de los entrevistados
| Concepto | Frecuencia | Porcentaje |
| Género | ||
| Femenino | 282 | 73.5 |
| Masculino | 102 | 26.5 |
| Edad | ||
| Edad promedio femenina | 33 | - |
| Edad promedia masculina | 37 | - |
| Edad promedio de ambos | 34 | |
| Escolaridad | ||
| Sin escolaridad | 7 | 1.8 |
| Educación básica-media superior incompleta | 22 | 5.7 |
| Educación básica-media superior completa | 184 | 47.9 |
| Licenciatura y postgrado | 171 | 44.5 |
| Integrantes por familia | ||
| 1-2 | 80 | 20.8 |
| 3-4 | 198 | 51.5 |
| 5-6 | 96 | 25 |
| 7-8 | 10 | 2.7 |
| Ingreso familiar mensual | ||
| Bajo (Menos de 2,100 pesos) | 14 | 3.6 |
| Medio bajo (De 2,101-5,000 pesos) | 68 | 17.70 |
| Medio alto (De 5,001-8,500 pesos) | 165 | 42.96 |
| Medio (De 8,501-15,000 pesos) | 106 | 27.60 |
| Alto (Más de 15,000 pesos) | 31 | 8.07 |
Fuente: elaboración propia con información obtenida en los cuestionarios
De acuerdo con el Tabla 1, el 42.96% de los entrevistados registró un ingreso medio entre 5001.00 a 8500.00 pesos mensuales y; solo el 8.07% de los consumidores percibe un ingreso alto de más de 15,000.00pesos mensuales. Lo anterior concuerda con lo expresado en el estudio de Trujillo-Murillo, Hernández-Ortiz y Martínez-Damián (2019), el cual fue realizado en el mismo municipio, Texcoco, Estado de México, pero acerca de la disposición a pagar por productos orgánicos, donde encontraron que el ingreso promedio de la población muestra para el estudio de dicho municipio se ubicó entre 4,000.00 a 8,000.00 pesos.
Con la información obtenida de la encuesta, se encontró que el 66.75 % gasta entre 24.0 y 50.0% del ingreso familiar en consumo de alimentos; el 29.5% destina más del 50.0%; y solo el 3.15% de la población destina menos del 20.0% del ingreso familiar a este rubro.
De acuerdo con la población entrevistada, el 54.16% no presenta restricciones para consumir leche; sin embargo, el 45.84% representado por personas de entre 21 a 65 años de edad muestran limitaciones para su consumo. Una de las causas principales es la intolerancia a la lactosa (15.5%).
En la modelación de probabilidad de que el entrevistado consuma o no leche bovina la variable precio de la leche tuvo datos faltantes, debido a que el 45.84% de la población muestra no son consumidores de leche, por lo tanto, no dieron respuesta alguna. Por ello, se realizó una imputación de media únicamente en esa variable. La imputación es el proceso de conversión de los datos faltantes en datos simulados, esto, con el fin de no interferir o minimizar de la mejor forma la incidencia en el resultado esperado (Araneda, 2021). Mediante un código generado en el software estadístico RStudio se obtuvo 29.17 como valor para la sustitución de los valores faltantes.
El estadístico de ajuste que se tomó en cuenta para cada uno de los modelos estadísticos realizados en este estudio fue el Akaike (AIC), el cual es una medida de la calidad relativa de un modelo estadístico, para un conjunto dado de datos; éste método selecciona el mejor modelo entre un conjunto de modelos. El modelo seleccionado en términos de calidad relativa será aquel que tenga el valor mínimo de AIC (Akaike,1974).
El modelo logit seleccionado fue el que obtuvo el valor mínimo de AIC (485.58), de la misma forma que para el modelo probit (485.14); ambos modelos en términos de calidad relativa fueron seleccionados como los mejores dentro de un conjunto de modelos con AIC mayores a los expresados anteriormente. Lo anterior coincide con lo expresado por Rodríguez-Martínez et al. (2009), donde presenta la obtención de modelos estadísticos de rendimiento de aplicaciones paralelas basado en la selección de modelos mediante el criterio de información de Akaike, es decir, se selecciona el mejor modelo entre un conjunto de modelos estructurados por el usuario y ofrece información adicional para valorar el modelo propuesto.
El poder discriminatorio para el modelo logit fue de 71.06% de pares concordantes y el área bajo la curva de 0.7106. Lo anterior, de acuerdo con Escalona-Cortés (2011), es un poder discriminatorio aceptable, debido a que, cuanto más se aproxima la curva a la esquina superior izquierda, más alta es la exactitud global de la prueba, es decir, existe mayor coincidencia de los pares concordantes de la variable dependiente con las variables independientes (Figura 1).

Fuente: elaboración propia con el software estadístico RStudio 4.1.1
Figura 1 Curva de Receiver Operating Characteristic (ROC).
Al analizar los coeficientes estimados y la probabilidad de encontrar valores mayores de ese coeficiente a la distribución de Z, la cual debe de ser menor al 5.0%, tres de las seis variables consideradas resultaron estadísticamente significativas, es decir, con un Pr (>|Z|) < 0.05, siendo estas: género masculino (GEN M), escolaridad (ESC) e ingreso familiar (INGF). En contraste tres variables quedaron excluidas del modelo por no ser estadísticamente significativas con un Pr (>|Z|) > 0.05. En el Cuadro 2, se muestran los resultados de los modelos logit y probit, los cuales no muestran diferencias en términos cuantitativos.
Cuadro 2 Estimaciones de los parámetros de los modelos logit y probit.
| Modelo | Logit | Probit | ||||
|---|---|---|---|---|---|---|
| Parámetro | Coeficiente | Z value | Pr (>|z|) | Coeficiente | Z value | Pr (>|z|) |
| Intercepto | 2.01986 | 2.431 | 0.015075 | 1.263367 | 2.507 | 0.012161 |
| GEN M | 0.73360 | 2.720 | 0.006528 | 0.451137 | 2.772 | 0.005576 |
| EDAD | 0.01809 | 1.430 | 0.152715 | 0.010755 | 1.413 | 0.157730 |
| ESC | -0.68641 | -3.469 | 0.000523 | -0.421150 | -3.553 | 0.000382 |
| PRECL | -0.00042 | -0.066 | 0.947453 | -0.000290 | -0.072 | 0.942261 |
| NIF | 0.13807 | 1.737 | 0.082403 | 0.083558 | 1.729 | 0.083796 |
| INGF | -0.47155 | -3.600 | 0.000319 | -0.291786 | -3.684 | 0.000230 |
Fuente: elaboración propia con estimaciones del software estadístico RStudio 4.1.1. Dónde: Género Masculino (GEN M), Edad (EDAD), Escolaridad (ESC), Precio de la leche (PRECL), Número de integrantes por familia (NIF) e Ingreso familiar (INGF).
Tomando las estimaciones del Tabla 2 de las variables significativas (GEN M, ESC e INGF), el modelo logit para la probabilidad de ocurrencia del evento (consumo de leche bovina) se muestra en la Fórmula (1).
El valor predictivo del modelo estimado se juzgó mediante el valor del “Accuracy”, el cual fue de 0.6380, valor que indica un poder predictivo adecuado.
El modelo probit que se estimó se sustituyó en la Fórmula 2:
En referencia a los signos de los parámetros estimados de cada variable, indica la dirección en que se mueve la probabilidad cuando aumenta la variable explicativa, en este caso el consumo de leche bovina. La variable escolaridad (ESC) tuvo un coeficiente negativo, lo que indica un comportamiento inverso, a menor escolaridad mayor será la probabilidad de consumo de leche bovina y viceversa. La variable ingreso familiar (INGF) tuvo un comportamiento semejante, donde ante un aumento en el ingreso familiar la probabilidad de consumo de leche bovina disminuye, ceteris paribus, respectivamente. Los coeficientes no tienen una interpretación directa, pero pueden utilizarse para cuantificar los efectos marginales de las variables explicativas en el consumo de leche bovina, empleando el valor dado por las medias de la muestra de variables independientes. Esto es, los efectos marginales indicaran en qué medida se verá afectada la probabilidad de consumo de leche bovina cuando una de las variables explicativas tenga un cambio, manteniéndose las demás variables constantes (Cuadro 3).
Cuadro 3 Efectos marginales
| Variable | Logit | Probit |
|---|---|---|
| GEN M | 0.1551 | 0.1564 |
| EDAD | 0.0039 | 0.0038 |
| ESC | -0.1464 | -0.1471 |
| PRECL | -0.0001 | -0.0001 |
| NIF | 0.0294 | 0.0292 |
| INGF | -0.1006 | -0.1019 |
Fuente: Elaboración propia con estimaciones del software estadístico RStudio 4.1.1 Dónde: Género Masculino (GEN M), Edad (EDAD), Escolaridad (ESC), Precio de la leche (PRECL), Número de integrantes por familia (NIF) e Ingreso familiar (INGF).
En el Cuadro 3 se indica en qué medida se verá afectada la probabilidad de consumo de leche bovina cuando una de las variables explicativas tenga un cambio, manteniéndose las demás variables constantes. De acuerdo con el efecto marginal para el género masculino (GEN M), si este tiene un punto de incremento, manteniéndose las demás variables constantes el aumento en la probabilidad de consumir leche bovina de acuerdo con el modelo logit será de 0.1551%; mientras que en el modelo probit se registra un aumento del 0.1564%.
El efecto marginal de la variable ingreso familiar (INGF) es de -0.1006% (Logit) y de 0.1019% (Probit), lo que indica que los consumidores disminuyen en esas proporciones su probabilidad de consumo de leche bovina cuando su ingreso se ve afectado positivamente, es decir, si esta variable aumenta en un punto porcentual manteniéndose las demás constantes, la probabilidad de consumo de leche bovina disminuirá en dichas proporciones.
Finalmente, es necesario destacar que la investigación generó información específica del comportamiento del consumidor de leche bovina del Municipio de Texcoco. De acuerdo con los resultados del estudio, el género masculino afecta positivamente a la probabilidad de consumo de leche bovina, mientras que la escolaridad y el ingreso familiar la limitan. Por ello, lo que se esperaría que a través de la difusión de información respecto a los beneficios y perjuicios para la salud del consumo de leche bovina la población en general disminuyera su consumo, y que el incremento en el ingreso, así como en la educación desincentivara el consumo y al mismo tiempo reducir en un mediano plazo el déficit existente en el país.
Discusión
La encuesta mostró que el 52.0% de la población manifestó consumir leche pasteurizada, principalmente envasada en presentación de un litro. El 43.75% de la población tiene un consumo de leche promedio de tres a cinco veces por semana, en tanto que el 28.37 % se sitúa en un consumo bajo, es decir de una a dos veces por semana. Lo anterior es contrastante con el estudio de Valencia-Sandoval (2013), sobre la caracterización del consumidor de leche de bovino en Ciudad de México, donde encontró que el 87.8% de los entrevistados manifestó consumir leche bovina de una a dos veces por día; solo el 12.2% restante indicó no consumirla, principalmente por problemas de intolerancia a la lactosa.
González (2021), menciona que el consumo de leche en México es tres veces menor respecto al consumo en Estados Unidos y que el consumo diario per cápita mexicano es de 250 ml. Es bajo comparado con países como Holanda de 900 mililitros, Estados Unidos 740 ml o Nueva Zelanda 600 ml. Además, solo el 4.9% de la producción nacional es comercializada sin pasteurizar (cruda).
En cuanto a la intolerancia a la lactosa Menghi (2002), menciona que los casos de alergia al consumo de leche bovina han ido en aumento en la población en general. Otras de las causas por las que la población entrevistada dijo no consumir leche bovina fue el desagrado por este producto (11.5 %), por el seguimiento de alguna dieta (8.0 %), por recomendación médica (6.25 %) u otra (3.25 %), tal como alergia. Resultados similares fueron encontrados por Varela-Moreiras (2018), quien menciona que, así como la leche puede ayudar a prevenir ciertas enfermedades, también puede producirlas. Como es el caso de la intolerancia a la lactosa o la alergia a la proteína de la leche de vaca; patologías que cada vez son más comunes hoy en día y cuyos síntomas son similares y pueden confundirse. Una de las variables que determinaron la probabilidad de consumo de leche en el municipio de Texcoco fue el género masculino (GEN M) con un impacto positivo, es decir, que, si la población del género masculino aumenta en dicho municipio también lo hará la probabilidad de consumo de leche bovina y viceversa. También indica que son hombres los que consumen en mayor medida dicho producto.
La Fundación Española de la Nutrición (FEN, 2020), en un informe sobre el estudio El consumo de leche y derivados como indicador de calidad de la dieta y estilos de vida de la población, analizó la situación de consumo de lácteos en España. Se tomaron en cuenta diferentes variables tales como: consumidores de lácteos y calidad en la dieta, consumidores o no de lácteos y estado de salud y socialización en el consumo de lácteos, entre otras. En ese estudio se diferenció a los consumidores por género, y se encontró que las mujeres son las principales consumidoras de leche bovina y productos lácteos.
La escolaridad (ESC) fue una variable que impactó negativamente la probabilidad de consumo de leche bovina en el municipio de Texcoco. Eso indica que los consumidores con mayor grado de educación no están dispuestos a consumir una mayor cantidad de leche debido a que tienen mayor nivel educativo y empleos laborales con mejor remuneración económica por lo cual, pueden elegir entre consumir o no leche bovina, desincentivando de ese modo el consumo de leche. Resultados similares fueron encontrados por Valencia-Sandoval, Mora-Flores y MartínezDamián (2021), respecto a la escolaridad, que es un factor que influye en el consumidor, para comprar y consumir leche bovina, y la elección de la marca de leche que comprará. Otra variable que tuvo efecto negativo en la probabilidad de consumo de leche bovina fue el ingreso familiar (INGF), lo anterior indica que los consumidores con mayores ingresos suelen disminuir su consumo de leche debido a que su poder adquisitivo es mayor y tienen la opción de consumir leche bovina o cambiarla por sustitutos. Mientras que las personas con ingresos menores suelen destinar sus recursos para cubrir las necesidades básicas de alimentación.
Rodríguez-Salomón y Armenta-Ramírez (2018), señalan que en México el consumo de leche es considerado, por tradición, un producto necesario dentro de la alimentación humana, posicionándose dentro de la dieta mexicana como el cuarto producto al cual las familias mexicanas dedican mayor gasto. Sin embargo, debido a que las tendencias a consumir productos que beneficien a la salud se han incrementado, las familias con mayor poder adquisitivo tienen mayor ventaja de decidir su consumo (leche o sustitutos de leche); de acuerdo con este estudio se encontró que los hogares mexicanos gastan en consumo de leche entre un 7.91 % y un 11.22%.
En México los productos lácteos son considerados bienes normales debido a la relación inversa que existe entre gasto y demanda de este tipo de productos. Otros factores analizados fueron la edad (EDAD), el precio de la leche (PRECL) y el número de integrantes por familia (NIF) para el municipio de Texcoco, pero no resultaron significativos. Valencia-Sandoval, Mora-Flores, Brambila-Paz, Martínez-Damián y Vaquera-Huerta (2015), reportaron que en la Ciudad de México el precio de la leche y el ingreso no fueron significativos, sin embargo, el tamaño de las familias fue relevante.
Conclusión
Las variables que resultaron ser estadísticamente significativas en cuanto a la probabilidad de consumir o no leche bovina en el municipio de Texcoco, Estado de México, fueron el género masculino, la escolaridad y el ingreso familiar. El mayor efecto marginal en la decisión de consumo se presenta al aumentar el género masculino. Ello indica que si la población de este género aumenta, la probabilidad de consumo de dicho producto se verá afectada positivamente; mientras que los efectos marginales de la escolaridad y el ingreso familiar tuvieron un impacto negativo, es decir, que ambas variables desincentivan el consumo. Las demás variables analizadas como el precio de la leche bovina, la edad y el número de integrantes por familia no resultaron ser un factor significativo para los consumidores al momento de decidir la compra del producto, por lo menos para la población muestra de dicho municipio.










nueva página del texto (beta)



