Introducción
El término hidrocarburos totales de petróleo (HTP) se utiliza para describir compuestos químicos que se originan del petróleo crudo (USEPA 2014); de acuerdo con la SEMARNAT (2003a) se dividen en hidrocarburos de fracción pesada (HFP), hidrocarburos de fracción media (HFM) e hidrocarburos de fracción ligera (HFL). Los productos comunes derivados del petróleo que los contienen son el petróleo crudo, el diésel y la gasolina, respectivamente. De acuerdo con la norma, el petróleo crudo y la gasolina contienen benceno, tolueno, etilbenceno y xileno (SEMARNAT 2003a). Producto de las actividades antropogénicas se obtienen aguas residuales, que entre otros compuestos, pueden con- tener metales pesados e hidrocarburos (Wild y Jones 1992).
La industria petrolera todos los días extrae millones de barriles de aguas congénitas como subproducto (Manfra et al. 2010); las cuales pueden contener sales disueltas, sólidos en suspensión, metales pesados, hidrocarburos y microorganismos (ARPEL 2012, Martel-Valles et al. 2013). Pero también pueden contener minerales esenciales para la nutrición de las plantas como K+ , Ca2+ , Mg2+ , Na+, Zn2+, Cu2+, SO4 2- , CO3 2- , Cl- y NO3- (Martel-Valles et al. 2014). Pero los hidrocarburos pueden acumularse en los seres vivos (Hellou et al. 2009) mediante la inhalación de vapores y partículas, ingestión directa y contacto (Bramard y Beck 1992), lo que representa un riesgo para la salud (Khan et al. 2008). En el caso de las plantas, los hidrocarburos pueden producir efectos negativos como retraso en la germinación, disminución de la biomasa y del área foliar (Adam y Duncan 2002). Hay diferentes grados de sensibilidad a los hidrocarburos entre las plantas de acuerdo con la especie (Manfra et al. 2010). En México la NOM-001-ECOL-1996 (SEMARNAT 1996) establece un límite de 15 mg L-1 diario y 25 mg L-1 promedio mensual para grasas y aceites en el agua de riego. Considerando la evidencia de que las aguas residuales con hidrocarburos se han utilizado para riego (Song et al. 2006). Estudios recientes indican que el benceno en los seres humanos y animales puede causar efectos negativos en el ADN (FAO y OMS 2009). Por lo anterior el objetivo del presente estudio fue determinar la respuesta del cultivo de tomate a la aplicación de gasolina, diésel y benceno.
Materiales y Métodos
El experimento se realizó en un invernadero de la Universidad Autónoma Agraria Antonio Narro, ubicada en Buenavista, Saltillo, Coahuila, México; con coordenadas 25◦ 22' LN y 101◦ 00' LO con altitud de 1 760 msnm. El periodo del cultivo fue del 13 de marzo al 14 de agosto de 2014; la siembra de las semillas de tomate tipo Saladette (Solanum lycopersicum L.) cv. Río Grande de hábito de crecimiento determinado se realizó en charolas de poliestireno de 200 cavidades; 38 d después de la siembra (dds) se realizó el trasplante en contenedores de polietileno rígido de color negro de volumen de 16 L, usando como sustrato una mezcla de turba ácida y perlita (1:1 v/v). Antes de iniciar los tratamientos las plantas se fortalecieron por 16 d con la solución nutritiva Steiner al 25 % (Steiner 1961).
La irrigación de las plantas realizó todos los días por medio de un sistema de riego por goteo, proporcionado flujo a las 9, 13 y 18 h; en los primeros dos riegos se aplicó solución nutritiva Steiner, la cual se fue incrementando en concentración de acuerdo con la etapa de crecimiento. El volumen de agua aplicado en cada riego fue de 500 mL, el pH se controló con la adición de H2SO4 . Los tratamientos consistieron en la aplicación diaria diésel con HFM, gasolina con HFL y benceno con HFL (SEMARNAT 2003a). Se utilizaron las concentraciones de 15 mg L-1 y 30 mg L-1 aplicados en 500 mL. El manejo del cultivo consistió en la realización de labores1 culturales de poda y tutoreo recomendadas para tomate bajo invernadero.
Se determinó el pH y la conductividad eléctrica (CE) en los lixiviados de cinco macetas tomadas al azar de cada tratamiento después del tercer riego del día con un equipo portátil marca HANNA modelo HI 98130. Las variables se evaluaron desde el día 54 al 108 después del trasplante (ddt). Las variables morfológicas se tomaron en cuatro plantas tomadas azar en cada tratamiento en fructificación a los 80 ddt. Las cuales fueron altura medida de la planta, tomada desde la base del tallo a la parte apical con un exómetro marca Truper de 3 m graduado en cm; diámetro de tallo, medido en la base del tallo con un Vernier digital Starrett modelo 799A; peso seco de la hoja y tallo, que se determinó deshidratando las muestras en una estufa de secado marca Mapsa modelo HDP 334 a 60 ºC por 72 h, para luego pesarlas en una báscula digital Ohaus. El peso seco de los frutos se obtuvo de la sumatoria de cinco cortes de frutos maduros, realizados a cinco plantas por tratamiento a los 80, 87, 94, 101 y 108 ddt, para lo cual se deshidrataron y pesaron.
El contenido de K, Ca, Mg, Na, Fe, Cu, Zn y Mn en raíz, tallo, hoja y fruto, se determinó en cuatro plantas tomadas al azar a los 80 ddt, las muestras se deshidrataron en una estufa marca Mapsa modelo HDP 334 a 60 ◦C por 72 h, posteriormente el tejido vegetal se digirió con HNO3 y HClO4, para luego filtrar y analizar con un espectrofotómetro de absorción atómica marca Varian AA de acuerdo con los métodos de la AOAC (1980), respectivos. El P en raíz, tallo, hoja y fruto, se determinó con el filtrado proveniente de la digestión, con el método espectrofotométrico con el reactivo aminonaphthol de ácido sulfónico ANSA (Harris y Popat 1954) con un espectrofotómetro UV-Vis modelo Helios Epsilon a longitud de onda de 640 nm. La determinación del N en raíz, tallo, hoja y frutos, se realizó con el método Micro-Kjeldahl (AOAC 1980), para lo cual las muestras se digirieron con ácido sulfúrico y mezcla reactiva de selenio, el filtrado proveniente de la digestión se destiló y por medio de titulación se obtuvo la concentración de NH3.
Para evaluar la calidad de fruto se seleccionaron cinco frutos de cinco plantas seleccionadas al azar del primer corte de frutos a los 80 ddt, en los que se determinó el contenido de sólidos solubles totales (SST), pH, conductividad eléctrica (CE) y potencial de óxido reducción (POR). El contenido de SST se realizó en la pulpa de cinco frutos macerados de los que se colocó una gota en un refractómetro marca ATAGO. El pH y CE se midieron con un equipo portátil marca HANNA modelo HI 98130 y el POR se determinó con un potenciómetro HANNA modelo HI 98121. Para determinar la distribución mineral, se sumó la concentración total por planta en mmol kg-1 de peso seco de N, P, K, Ca, Mg, Na, Fe, Cu, Zn y Mn, en raíz, tallo, hoja y fruto. Para luego determinar el porcentaje localizado en cada parte de la planta.
El diseño experimental fue completamente al azar con siete tratamientos y 20 repeticiones por tratamiento, los tratamientos fueron las aplicaciones de gasolina, diésel, y benceno a 15 y 30 mg L-1 cada uno, más el testigo sin hidrocarburos; la unidad experimental fue una maceta con una planta. El análisis estadístico se realizó por medio de un análisis de varianza (ANVA) y prueba de medias DMS de Fisher (α ≤ 0.05) con el paquete estadístico Statsoft Statistica (Statistica 2007).
Resultados
La aplicación de gasolina, diésel y benceno tuvo el pH de los lixiviados entre 5.5 a 6.5. Estando los tratamientos con benceno y gasolina con 15 mg L-1 en el límite inferior (Figura 1). Los tratamientos provocaron que la CE de los lixiviados (Figura 1), se incrementara en todos los tratamientos, con excepción del benceno a 30 y gasolina a 15 mg L-1, que tuvieron valores bajos. Los tratamientos no tuvieron efectos significativos en el diámetro de tallo, altura de planta, peso seco de hoja, peso seco de tallo y peso seco de fruto (Figura 1). El tratamiento con 30 mg L-1 de diésel ocasionó daño en la parte basal del tallo, lo que provocó la muerte del 55 % de las plantas.

Figura 1. pH y conductividad eléctrica (CE) de los y variables de planta medidas en plantas de tomate tratadas con hidrocarburos. Letras diferentes en las columnas indican efectos significativos de acuerdo con Fisher (α ≤ 0.05). Las barras representan el error estándar de la media.
La aplicación de hidrocarburos modificó la distribución de nutrimentos en las diferentes partes de la planta (Figura 2), excepto en el fruto, en donde el porcentaje de minerales en la mayoría de los tratamientos fue igual al testigo. En los tratamientos que mostraron menor contenido mineral en los frutos se observó mayor concentración en la raíz, como el caso del Na con 15 mg-1 de benceno, del P y Cu con 15 mg L-1 de diésel, del Mn con 30 mg L-1 de diésel, del K con 30 mg L-1 de benceno y, del Mg y Fe con 15 mg L-1 de gasolina (Figura 2).

Figura 2. Distribución mineral en raíz, tallo, hoja y fruto de plantas de tomate tratadas con solución nutritiva Steiner (Testigo) y dos concentraciones de benceno diésel y gasolina. Los valores en la parte superior de las barras representan la concentración total absorbida en m mol kg-1.
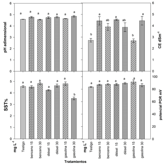
En el fruto, el pH y POR no presentaron diferencias significativas entre tratamientos (Figura 3). Los tratamientos con 15 mg L-1 de benceno y diésel, y gasolina con 30 mg L-1 incrementaron la CE en el fruto. Mientras que el tratamiento con gasolina a 30 mg L-1 disminuyó el contenido de SST. En los frutos el tratamiento de 30 mg L-1 de gasolina limitó la concentración de P y Na, mientras que el tratamiento con 30 mg L-1 de diésel limitó la concentración de Ca, Na y Cu, la gasolina a 15 mg L-1 limitó la concentración de Na y el benceno a 15 mg L-1 la concentración de Ca (Figura 4).

Figura 3 Variables evaluadas en frutos de plantas de tomate tratadas con hidrocarburos. Letras diferentes en las columnas indican efectos signi cativos de acuerdo con Fisher (α ≤ 0.05). Las barras representan el error estándar de la media.
Discusión
La disminución del pH en los lixiviados de las plantas con 15 mg L-1 de benceno y gasolina fue causada por los HFL, ya que estos al ser absorbidos por las plantas producen efectos totóxicos (Henner et al. 1999) y en condiciones de estrés las plantas incrementan su actividad liberando una mayor cantidad de H+ por la raíz, lo que acidifica el medio (Neumann y Römheld 2007). La CE estuvo de leve a moderada de acuerdo con la guía de calidad de agua de riego (Ayers y Wescot 1985), pero en los tratamientos con 15 mg L-1 de benceno y 30 mg L-1 de gasolina se tuvo aumento de la CE de los lixiviados, lo que puede deberse al efecto toxico de los hidrocarburos (Petenello et al. 2014). Esto ocasiona una menor asimilación de nutrimentos y mayor acumulación de sales en el lixiviado (Cadahía 2005). El diésel en concentración de 30 mg L−1 causó la muerte del 55 % de las plantas, este efecto tóxico posiblemente se deba a la capacidad del diésel de promover la generación de especies reactivas de oxigeno (Li et al. 2009). Lo que coincide con Martel-Valles et al. (2013 y 2014), quienes encontraron que el riego con aguas congénitas que contienen HFM causan la muerte de las plantas de tomate. Sin embargo, se ha reportado que las aguas residuales con hidrocarburos, tienen minerales esenciales para las plantas, por lo que podrían utilizarse como agua de riego (Wild y Jones 1992, Martel-Valles et al. 2013). Que las plantas no mostraran cambios notables en las variables morfológicas por efecto del riego con hidrocarburos, se debe a que la toxicidad depende de la especie y la concentración del hisrocarburo (Sharonova y Breus 2012). Al respecto Martel-Valles et al. (2013) encontraron que las aguas congénitas con HFM disminuyen el rendimiento y la biomasa del tomate; mientras que Trejo et al. (2013) encontraron que en pasto Brachiaria disminuye la producción de biomasa. Sobre esto mismo Martel-Valles et al. (2014) reportan que la aplicación de hidrocarburos causó un desbalance nutricional que se reflejó en cambios en la distribución mineral en la planta de tomate. El porcentaje de N y Zn se incrementó en los frutos de los tratamientos con 30 mg L-1 de hidrocarburos, debido a que en condiciones de estrés las plantas movilizan nutrimentos y azúcares a los sitios de reserva (de la O-Quezada et al. 2011). Mientras que Redondo-Gómez et al. (2014) encontraron que el diésel favoreció la asimilación de nutrimentos y no afectó el estado nutricional de Spartina argentinensis.
La calidad de fruto, fue favorecida con un incremento en la CE en plantas tratadas con benceno a 15mgL-1,diésel a 15mgL-1 y gasolina a 30 mg L-1, debido a que cuando las plantas presentan algún grado de estrés movilizan los minerales a los sitios de reserva (Álvarez-Herrera 2016); el estrés también causó el cambio en la distribución mineral (Figura 2). El tratamiento de gasolina con 30 mg L-1 disminuyó el contenido de SST, al respecto Casierra-Posada y Poveda (2005) reportan la disminución de la producción de azúcares en plantas expuestas a gasolina. En el fruto la concentración de P y Na disminuyó en el tratamiento con 30 mg L-1 de gasolina, debido a su efecto tóxico (Casierra-Posada y Poveda 2005), lo que se reflejó en la disminución del contenido de SST. El tratamiento de diésel con 30 mg L-1 limitó la concentración de Ca, Na y Cu por el efecto tóxico causado por los HFM (Martel et al. 2014), lo que contribuyo con el incremento de la CE en los lixiviados (Figura 1). En contraste Redondo-Gómez et al. (2014) encontraron que la aplicación de diésel incrementó la concentración de la mayoría de los nutrientes en Spartina argentinensis. La gasolina a 15 mg L-1 disminuyó la concentración de Na en el fruto, por la toxicidad causada (Fernández-Luqueño et al. 2012) y el benceno de 15 mg L-1 disminuyó la concentración de Ca en el fruto, quizá por el pH bajo (Figura 1), lo que se reflejó en una mayor CE en los lixiviados.
Conclusiones
El pH en los lixiviados de plantas de tomate disminuye con la aplicación de benceno a 15 y 30 mg L-1 y la gasolina a 30 mg L-1. La aplicación de benceno, diésel y gasolina provocó que la CE de los lixiviados se incremente. La aplicación de 30 mg L-1 de diésel causó la muerte del 55 % de las plantas, no se observó este efecto en el benceno y la gasolina. Los tratamientos con benceno, diésel y gasolina modificaron la distribución de minerales en los diferentes órganos de la planta de tomate. Los tratamientos con 15 y 30 mg L-1 de diésel aumentaron la concentración de nutrimentos en la raíz, tallo, hojas y fruto.










nueva página del texto (beta)



