Introducción
A finales de la década pasada y comienzos de la actual se empezaron a dar los primeros pasos firmes en la constatación empírica de los efectos que una buena inteligencia emocional puede ejercer sobre las personas. En general, los primeros trabajos se encaminaron a examinar el constructo de inteligencia emocional, se centraron en el desarrollo teórico de modelos y en la creación de instrumentos de evaluación rigurosos (Mayer, Caruso y Salovey)1. En la actualidad, existe suficiente base teórica y se han desarrollado las herramientas necesarias para examinar de forma fiable la relación de este concepto con otras variables relevantes, tanto en experimentos de laboratorio como en estudios de campo. De hecho, la línea de investigación vigente se centra en establecer la utilidad de este nuevo constructo en diversas áreas vitales de las personas, con el objetivo de demostrar cómo la inteligencia emocional determina nuestros comportamientos y en qué áreas de nuestra vida influye más significativamente.
Con relación a las investigaciones ligadas al logro académico y profesional se ha producido un considerable aumento en el número de trabajos que tienen como objeto específico el análisis de las relaciones entre inteligencia emocional, inteligencia general y rendimiento académico.
Barchard2 evaluó a estudiantes universitarios controlando habilidades cognitivas que tradicionalmente se han visto relacionadas con el rendimiento (habilidad verbal, razonamiento inductivo, visualización), junto con variables clásicas de personalidad (neuroticismo, extraversión, apertura, amabilidad y responsabilidad). Sus resultados apoyaron la idea de que los niveles de inteligencia emocional de los universitarios predecían las notas obtenidas al finalizar el año lectivo. Por tanto, la inteligencia emocional se suma a las habilidades cognitivas como un potencial predictor, no solo del equilibrio psicológico del alumnado, sino también de su logro escolar.
Vela3 obtuvo resultados semejantes con estudiantes estadounidenses: se produjo una correlación significativa entre la inteligencia emocional y el rendimiento académico; además, la inteligencia emocional contribuyó a predecir el rendimiento más allá de lo que lo hizo un test estandarizado de logro, empleado para la admisión de los estudiantes.
Newsone, Day y Catano4 compararon grupos que habían logrado diferentes niveles de rendimiento: estudiantes con altas puntuaciones académicas versus estudiantes con bajas puntuaciones académicas. Cuando se realizó esta división, el rendimiento académico apareció fuertemente vinculado con varias dimensiones de inteligencia emocional, como las subescalas de habilidades intrapersonales, la adaptabilidad y el manejo del estrés. Mediante análisis discriminante se utilizó la inteligencia emocional como variable predictora para la inclusión en el grupo de alto y bajo rendimiento académico. De forma general, la inteligencia emocional fue un poderoso predictor para identificar a estudiantes de primer año que iban a tener buen éxito académico al finalizar el semestre.
Distintas variables relativas a la inteligencia emocional y los principales indicadores del rendimiento académico ponen de manifiesto que los aspectos emocionales guardan cierta relación con el logro académico en línea con los trabajos de Schutte et al.5, Parker, Summerfeldt, Hogan y Majeski6, Petrides, Federickson y Fumham7 y Drago8. Esta relación se mantiene incluso cuando se controla el efecto del cociente intelectual, como en el caso de Vela3.
Ciarrochi, Chan y Caputi9 encontraron que los estudiantes universitarios con niveles altos de inteligencia emocional muestran una mayor empatía, una satisfacción ante la vida más elevada y mejor calidad en sus relaciones sociales.
En España, investigaciones con estudiantes adolescentes de enseñanza secundaria mostraron que altas puntuaciones en inteligencia emocional se han asociado a puntuaciones más elevadas en autoestima, felicidad, salud mental y satisfacción vital, y a menores puntuaciones en ansiedad, depresión y supresión de pensamientos negativos (Fernández-Berrocal y Extremera)10. El mismo tipo de relaciones entre la inteligencia emocional y el ajuste emocional en estudiantes universitarios se ha encontrado en otros países de habla hispana como Chile (Fernández-Berrocal, Salovey, Vera, Ramos y Extremera)11.
Algunos estudios anglosajones encontraron datos empíricos entre la inteligencia emocional y las relaciones interpersonales. Por ejemplo, mediante autoinformes se han encontrado relaciones positivas entre una elevada inteligencia emocional y mejor calidad de las relaciones sociales (Schutte et al.)5. En la misma línea, Mayer, Caruso y Salovey1 mediante una medida de habilidad (MEIS) encontraron que los estudiantes universitarios con mayor puntuación en inteligencia emocional tenían también mayor puntuación en empatía. Otros estudios han sido realizados en etapas más tempranas. Por ejemplo, se ha encontrado que los alumnos de primaria que obtenían mayores puntuaciones en una versión infantil del MEIS eran evaluados por sus compañeros como menos agresivos y sus profesores los consideraban más propensos a los comportamientos prosociales que a los estudiantes con puntuación baja en inteligencia emocional.
En un estudio realizado en Estados Unidos por Lopes, Salovey y Straus12, se han hallado evidencias sobre la relación entre inteligencia emocional y la calidad de las relaciones sociales. Los estudiantes que puntúan alto en inteligencia emocional mostraron mayor satisfacción en las relaciones con sus amigos e interacciones más positivas, percibieron un mayor apoyo parental e informaron de menos conflictos con sus amigos más cercanos, incluso cuando se controlaron variables de personalidad e inteligencia.
Como se puede observar, numerosos estudios realizados demuestran la influencia que tienen las emociones en los estudiantes. El presente trabajo apoya la nueva visión de teóricos como Mayer, Caruso y Salovey1, los cuales adoptan una postura multidimensional de la inteligencia, en la que distinguen varios tipos de talentos o inteligencias relativamente distintas e interdependientes. Sostienen que habría que ir más allá del cociente intelectual, es decir, más allá de la inteligencia analítica, para identificar a personas inteligentes con pronóstico de resultados favorables en la vida, de modo que la inteligencia analítica no es suficiente para desempeñarse de manera exitosa en el mundo real.
Sin embargo, a pesar de múltiples estudios realizados sobre el tema, la mayoría de los instrumentos empleados para medir la inteligencia emocional han sido diseñados y validados para poblaciones diferentes a la mexicana. Además, no existe hasta la fecha estudio alguno que correlacione la Escala de Bienestar Psicológico (EBP) de Sánchez Cánovas13 con el instrumento diseñado en México por Cortés, Barragan y Vazquez14 Perfil de Inteligencia Emocional (PIEMO) y los valores predictivos que puedan tener sobre el rendimiento académico de los alumnos.
Método
Se trata de un estudio tipo encuesta transversal, descriptiva y observacional. Se evaluó a 90 estudiantes pertenecientes a la Escuela Superior de Rehabilitación con sede en el Instituto Nacional de Rehabilitación de la Secretaría de Salud, de una población estudiantil nivel licenciatura de 126 alumnos de 3.er y 5.° semestre, de las carreras de Terapia Física, Terapia en Comunicación Humana y Terapia Ocupacional. Los alumnos fueron seleccionados aleatoriamente, teniendo como criterio de inclusión haber asistido a clase el día de la evaluación y cursar el 3.er o 5.° semestre de la carrera. Se eliminó a los candidatos que no asistieron ese día o no llenaron adecuadamente los instrumentos. De los 90 estudiantes, 39 (43.3%) pertenecían a la licenciatura de Terapia Física, 7 (7.8%) a la de Terapia Ocupacional y 44 (48%) eran de Comunicación Humana. El 84.4% era de sexo femenino y el 15.6%, masculino. Tenían 21.6 ± 2.8 años de edad (rango 18-31). El 36.7% cursaban el 3.er semestre y el 63.3% eran de 5.° semestre. El 7.8% estaban casados (n = 7) y el 17.8% trabajaban (n = 16).
Se aplicaron 2 instrumentos: la EBP, elaborada por Sánchez-Cánovas (2007), en la Universidad de Valencia(España), evalúa el grado de felicidad y satisfacción con la vida que la persona percibe, a partir de 65 ítems distribuidos en forma diferencial en 4 subescalas: bienestar subjetivo, bienestar material, bienestar laboral y bienestar en las relaciones con la pareja; también permite hacer una valoración global del grado de bienestar psicológico de una persona, a partir de un índice general que depende de la combinación de estas 4 subescalas. En cuanto a su confiabilidad, reporta coeficientes de consistencia interna alfa de Cronbach (α) de 0.941 puntos para la escala combinada (65 ítems), y de 0.886 puntos para la escala ponderada (24 ítems). También se reportan coeficientes que oscilan entre 0.870 y 0.935 puntos para cada subescala.
El PIEMO (2000), elaborado por Cortés et al. del Instituto Nacional de Psiquiatría (México), consta de 161 reactivos distribuidos en 8 escalas (inhibición de impulsos, empatía, optimismo, habilidad social, expresión emocional, reconocimiento de logro, autoestima nobleza), con los cuales se obtiene un coeficiente emocional que delinea un perfil de inteligencia emocional que se normaliza. La transformación a ordinal se establece como inteligencia emocional: muy alta = 130-120 puntos, alta = 115-105 puntos, media = 100-90 puntos, baja = 85-75 puntos, muy baja = 70-55 puntos. El instrumento alcanzó un coeficiente de consistencia interna alfa de Cronbach de 0.958 en población mexicana.
El aprovechamiento escolar se tomó del promedio general de la historia académica que presentaban los alumnos al momento de cursar el 3.er semestre o el 5.° semestre, según correspondió en la muestra. De acuerdo con los promedios obtenidos, se clasificaron en desempeño académico: bajo de 7.0-7.9 con 32 alumnos (35.6%); medio de 8.0-8.9 con 46 alumnos (51.1%) y alto de 9.0-10.0 con 12 alumnos (13.3%). Las formas de distribución de las puntuaciones se verificaron con el estadístico de Kolmogorov-Smirnov y las correlaciones de las escalas se efectuaron con r de Pearson o rho de Spearman, según el caso, en tanto que, las diferencias en los promedios de las escalas según rendimiento académico, se contrastaron con análisis de varianza o la prueba de Kruskal-Wallis.
Resultados
El test del PIEMO arrojó un coeficiente de consistencia interna alfa de Cronbach de 0.82 (IC 95%: 0.77-0.87, p = 0.0001), tomado solo con las subescalas de bienestar subjetivo y material, dado que solo 16 alumnos trabajaban y 7 estaban casados. La EBP tuvo un coeficiente alfa de Cronbach de 0.779 (IC 95%: 0.66-0.85, p = 0.0001).
Véanse, en la tabla 1, los promedios obtenidos en la muestra general. Destáquese que para bienestar psicológico laboral y de pareja los resultados solo se aplicaron para los 7 casados y los 16 que trabajaban.
Tabla 1 Estadísticos descriptivos. Cuestionarios de Perfil de Inteligencia Emocional (PIEMO) y la Escala de Bienestar Psicológico (EBP)
| N | Mínimo | Máximo | Media | Desv. típ. | |
|---|---|---|---|---|---|
| Perfil de inteligencia emocional | |||||
| Perfil de IE general | 90 | 81 | 126 | 109.08 | 9.919 |
| Inhibición de impulsos | 90 | 4 | 18 | 11.14 | 2.795 |
| Empatía | 90 | 5 | 14 | 11.50 | 1.850 |
| Optimismo | 90 | 4 | 15 | 11.50 | 2.215 |
| Habilidad social | 90 | 4 | 15 | 11.89 | 2.700 |
| Expresión emocional | 90 | 4 | 16 | 11.66 | 2.469 |
| Reconocimiento de logro | 90 | 3 | 14 | 11.30 | 1.833 |
| Autoestima | 90 | 5 | 15 | 11.49 | 2.068 |
| Nobleza | 90 | 3 | 15 | 11.30 | 1.991 |
| Bienestar psicológico | |||||
| Bienestar psicológico subjetivo | 90 | 5 | 99 | 81.80 | 20.590 |
| Bienestar material | 90 | 4 | 99 | 79.96 | 21.708 |
| Bienestar laboral | 16 | 55 | 99 | 90.75 | 14.461 |
| Relaciones con la pareja | 7 | 50 | 99 | 71.29 | 15.703 |
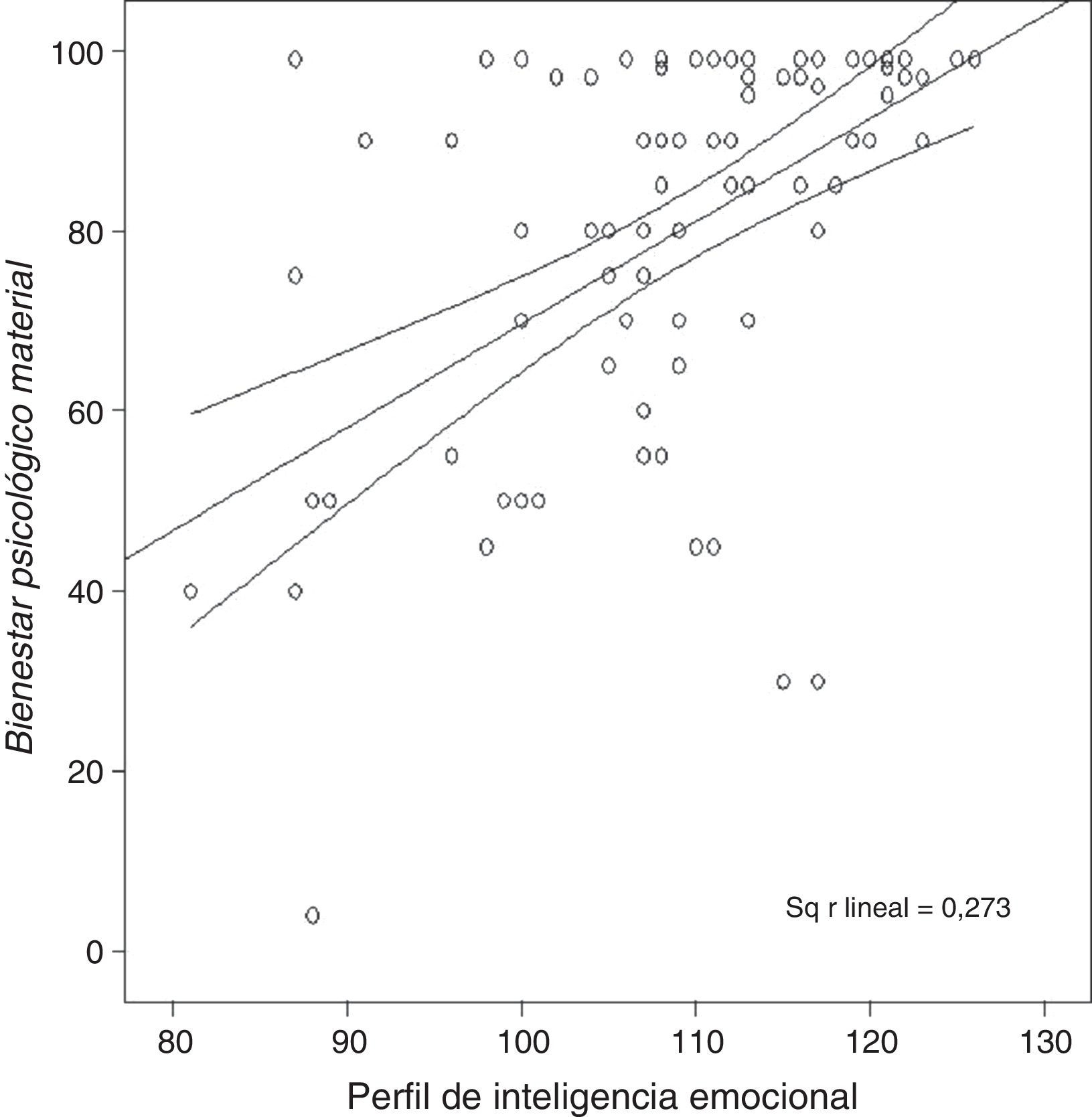
El puntaje general del PIEMO correlacionó significativamente con los puntajes de bienestar psicológico subjetivo (rho = 0.505, p = 0.0001) y con bienestar material (rho = 0.527, p = 0.0001); a su vez, las dimensiones de bienestar subjetivo y material correlacionaron fuertemente entre sí (rho = 0.653, p = 0.0001); de manera que a mayor puntaje en el test de perfil emocional correspondió mayor puntaje en bienestar psicológico subjetivo y material (figs. 1 y 2 ).

Figura 1 Correlación entre el perfil de inteligencia emocional y el bienestar psicológico subjetivo (n=90).
Desglosando las correlaciones por dimensiones del cuestionario de inteligencia emocional con las de bienestar psicológico subjetivo y material (véase tabla 2) con excepción de las dimensiones empatía y nobleza, las 6 dimensiones restantes de la inteligencia emocional correlacionaron con la dimensiones de bienestar psicológico subjetivo, mientras que el bienestar material no correlacionó significativamente con empatía, nobleza ni habilidad social.
Tabla 2 Coeficientes de correlación entre las dimensiones del bienestar psicológico subjetivo y material con las de inteligencia emocional. Total de la muestra (n=90)
| Dimensiones perfil emocional | Bienestar psicológico subjetivo | p | Bienestar material | p |
|---|---|---|---|---|
| Inhibición | 0.388 | 0.0001 | 0.404 | 0.0001 |
| Empatía | 0.10 | 0.33 | 0.16 | 0.13 |
| Optimismo | 0.560 | 0.0001 | 0.572 | 0.0001 |
| Habilidad social | 0.387 | 0.0001 | 0.18 | 0.09 |
| Expresión emocional | 0.390 | 0.0001 | 0.465 | 0.0001 |
| Logro | 0.514 | 0.0001 | 0.419 | 0.0001 |
| Autoestima | 0.443 | 0.0001 | 0.480 | 0.0001 |
| Nobleza | 0.07 | 0.48 | 0.13 | 0.20 |
En el análisis de varianza (ANOVA), las medias obtenidas en el perfil de inteligencia emocional no se diferenciaron según el desempeño académico de los alumnos, ya que los de bajo desempeño alcanzaron 110.5 ± 8.1 puntos, los de medio 108.8 ± 10.3 y los de alto 106.0 ± 12.4 (p = 0.38); sin embargo, la dimensión de autoestima puntuó más alto (12.0 ± 1.6 puntos) en los de bajo desempeño académico y más bajo (11.0 ± 2.3 puntos) en los de desempeño alto, quedando los de desempeño medio también el medio de autoestima con 11.2 ± 2.3 puntos (p = 0.14). Por otra parte, cabe subrayar que en general el bienestar psicológico subjetivo correlacionó de manera negativa con el promedio de calificación de los alumnos (rho = −0.220, p = 0.03) en el sentido de que a mayor bienestar psicológico subjetivo correspondió la tendencia hacia un menor promedio de calificaciones (fig. 3).

Figura 3 Correlación general entre bienestar psicológico subjetivo y promedio de calificaciones de los alumnos (n=90).
Obsérvese (tabla 3) que agrupados en escala ordinal por desempeño académico hubo diferencia significativa en el bienestar psicológico subjetivo (p = 0.04). En las comparaciones pareadas de Bonferroni, los alumnos de bajo desempeño tuvieron una media en bienestar psicológico subjetivo significativamente mayor que los de desempeño medio (p = 0.05), pero no mayor que los de desempeño alto (p = 0.27). Ahora bien, las 2 dimensiones del perfil de inteligencia emocional que correlacionaron más intensamente con el bienestar psicológico subjetivo fueron optimismo y logro (ver tabla 2), y fueron las 2 únicas covariables que influyeron significativamente para ajustar los promedios del bienestar psicológico subjetivo según los subgrupos de rendimiento académico. Véanse en la tabla 3 los promedios ajustados por análisis de covarianza con 11.3 para logro y 11.5 para optimismo.
Tabla 3 Estimaciones del análisis de covarianza considerando logro y optimismo para la dimensión bienestar psicológico subjetivo según desempeño académico (n=90)
| Desempeño académico | BP subjetivo (medias ± DE) no ajustado | BP subjetivo (medias ± DE) ajustado con análisis de covarianzaCon logro 11.3 puntos y optimismo 11.5 puntos |
|---|---|---|
| Bajo | 89.0 ± 11.0 | 88.5 ± 2.8 |
| Medio | 77.8 ± 23.3 | 76.8 ± 2.3 |
| Alto | 77.4 ± 25.0 | 82.8 ± 4.6 |
| p | 0.04 | 0.004 |
De acuerdo con la tabla 3, en realidad (considerando las puntuaciones en logro y optimismo de los alumnos), aunque los de rendimiento bajo continuaron siendo significativamente más altos en el promedio de bienestar psicológico, el promedio ajustado de los de rendimiento académico alto subió de 77.4 a 82.8 puntos en bienestar psicológico subjetivo, de manera que en las comparaciones pareadas bajos vs. medios (p = 0.006), bajos vs. altos (p = 0.87) y medios vs. altos (p = 0.75); solo los de bajo rendimiento establecen una diferencia significativa respecto al nivel de desempeño medio, pero no se diferencia del nivel de desempeño alto.
Discusión
Numerosos estudios han demostrado que altos niveles de inteligencia emocional predicen un mejor bienestar psicológico. Este resultado coincide con lo encontrado en la presente investigación. Se observó que, en efecto, el PIEMO14 y la EBP13 están fuertemente correlacionados, especialmente las dimensiones de optimismo, logro y autoestima del PIEMO con la dimensión de bienestar subjetivo y material de la EBP. Sin embargo, un hallazgo interesante fue encontrar que el mayor rendimiento académico no parece estar necesariamente asociado al bienestar psicológico subjetivo de los alumnos, ni a las dimensiones de optimismo, reconocimiento de logro y autoestima (PIEMO), lo cual difiere de lo reportado por Bachard2, Vela3, Newsone, Day y Catano4, entre otros, que describen que la inteligencia emocional se suma a las habilidades cognitivas como un predictor del logro escolar. En este sentido se observa que por lo menos las escalas de optimismo, reconocimiento de logro y autoestima del PIEMO no son aplicables en esta generalización. Una problemática en los instrumentos de evaluación es que cada autor evalúa y crea sus propios criterios y constructos conceptuales para fundamentar las medidas psicométricamente válidas de los test. Por tal razón, se hace necesario ahondar de manera más específica en los resultados obtenidos.
Cabe aclarar que, en la EBP, a mayor puntuación, mayor percepción subjetiva de felicidad o bienestar. Esto es importante ya que las respuestas se dan según la percepción subjetiva de cada alumno y no según índices externos.
Los resultados arrojados de forma descriptiva muestran que los alumnos de promedios más bajos buscan momentos de distracción y descanso, se sienten capaces de realizar su trabajo, creen que han logrado lo que querían, se enfrentan a sus tareas con buen ánimo, les gusta lo que hacen, refieren que se concentran con facilidad, sienten tranquilidad sobre su futuro económico, consideran que todo va bien, piensan que las condiciones en que viven son cómodas. En general, muestran una actitud positiva hacia las exigencias de la vida cotidiana, con una visión positiva de la vida y con reconocimiento de sus logros. Lo interesante es observar que dichas descripciones fueron totalmente opuestas en los alumnos que obtuvieron las calificaciones más altas.
Conclusiones
Este fenómeno hace necesario profundizar en el tema de cómo los alumnos están percibiendo la variable de desempeño escolar. Se puede observar que un perfil de buena autoestima, reconocimiento de logro y visión positiva de la vida no son parámetros suficientes para garantizar buenas calificaciones escolares. Tampoco las calificaciones altas garantizan el bienestar o el sentimiento de felicidad y satisfacción de los alumnos. El estudio presenta la limitación de tener una muestra pequeña; por la etapa vital que están atravesando los jóvenes solo 7 son casados y 16 trabajan. Esto restringió establecer la valoración global del grado de bienestar psicológico, ya que este se obtiene a partir de un índice general que depende de la combinación de las 4 subescalas (bienestar subjetivo, bienestar material, bienestar laboral y bienestar en las relaciones con la pareja). Se encontró que el estado civil solo introdujo diferencias significativas en los promedios de edad con 21.3 ± 2.3 años para los solteros y 26.0 ± 4.2 para los casados (p = 0.002). Trabajar o no solo establece diferencias en la edad con 24.6 ± 3.6 para los que trabajan contra 21.0 ± 2.1 para los que no lo hacen (p = 0.002).
Es significativo destacar que los alumnos que cursan la licenciatura en la Escuela Superior de Rehabilitación fueron aspirantes que aprobaron un proceso de selección en el que fueron evaluados sus capacidades de inteligencia, aspectos emocionales y de personalidad. Es necesario generar líneas de investigación que amplíen la visión del fenómeno, ya que el objetivo final es formar profesionales que vivan exitosamente (bienestar psicológico) y alcancen sus metas.
Al respecto, es interesante la propuesta que hace Hernández15, por detectar y mejorar estrategias cognitivo-emocionales, que es lo que puede ser operativo, más que ocuparse únicamente en obtener cocientes meramente intelectuales o emocionales. En este sentido, se podrían establecer programas integrales de formación de recursos humanos que brindaran estrategias cognitivo-emocionales que faciliten el aprendizaje. Dos líneas de investigación que se podrían desprender de lo anterior para conocer este fenómeno serían: ¿Qué paradigmas cognitivo-emocionales están contribuyendo al malestar de los alumnos con altas calificaciones? ¿Qué paradigmas cognitivo-emocionales están contribuyendo para que los alumnos con bienestar psicológico obtengan malas calificaciones?
Responsabilidades éticas
Protección de personas y animales
Los autores declaran que para esta investigación no se han realizado experimentos en seres humanos ni en animales.
Autoría/colaboradores
DSL diseñó y coordinó la investigación así, como la aplicación y calificación de los instrumentos de evaluación, la redacción del documento, la discusión y conclusiones. SRL realizó el tratamiento estadístico, metodológico y el análisis de resultados. CBV participó en la facilitación del instrumento PIEMO y en el proceso de su calificación.










nueva página del texto (beta)



