Introducción
El añil1 fue uno de los productos más lucrativos comercialmente en la Nueva España durante los siglos XVI al XIX. Los estudios materiales de pintura virreinal donde se ha localizado índigo en estratos pictóricos azules (Arroyo et al. 2012; Castañeda 2017; Falcón y Vázquez 2002; Illán y Romero 2008; Insaurralde Caballero 2018; Lara Barrera 2012; Meza Orozco 2014) demuestran que los artífices de la pintura muy posiblemente aprovechaban este material local como parte de su paleta. Esta evidencia contrasta con la idea de que los pintores en la Nueva España no utilizaron el añil (Díez 1994: 82), la cual, si bien no es vigente, puede tener origen en que muchos pintores europeos no recomendaban su uso, dada su inestabilidad ante la luz. Francisco Pacheco (1990) en El arte de la pintura de 1649, Pierre Le Brun (1849) en Recueil des essaies des merveille de la peinture de 1635 y Theódore de Mayerne (Fels 2004) en su serie de manuscritos de 1620 aseveraron que el índigo no era un pigmento apto para el óleo, percepción que, sin embargo, cambió en el siglo XVIII: Antonio Palomino (1795), en su tratado El museo pictórico y escala óptica no solamente lo recomendó, sino también dio varias recetas para purificarlo y mejorar sus cualidades.2
En el contexto de la pintura europea, concretamente en pintura de caballete de los siglos XVII al XVIII, se han observado efectos de decoloración en áreas azules pintadas con índigo (Van Eikema 2002); en cambio, en las pinturas novohispanas en las que, por medio de técnicas analíticas, se ha identificado azul añil se ha observado buen estado general de conservación, es decir, como un tono azul saturado. Ejemplo de esto son el grupo de pinturas del obrador de Arellano, en las que Insaurralde (2018) reportó la presencia de añil, entre ellas La anunciación a santa Ana y san Joaquín, que Castañeda (2017) tomó como caso de estudio. En dicha pintura no se identificó la presencia de pigmentos azules inorgánicos, es decir, el añil es el pigmento que confiere el tono. Por otro lado, se detectó que en ciertas áreas el índigo estaba en muy buen estado de conservación, mientras que en otras pudo haber sufrido decoloración. Al no poder asignar con certeza las causas por las que tuvo lugar una alteración de manera diferencial en la misma obra y, teóricamente, el mismo material: añil, se evidenció la necesidad de hacer una revisión de la bibliografía actual sobre los mecanismos de deterioro del índigo.
Al índigo o añil (Figura 1) se le suele definir como un colorante3 de origen vegetal o natural (Arroyo et al. 2012: 99; Haude 1998: 250; Illán y Romero 2008: 5). Cuando se refiere a su uso en la pintura al óleo, el término colorante puede generar confusiones debido a que, técnicamente, un colorante es inmiscible con un aglutinante graso, y para poder aprovecharse como material pictórico requiere fijarse en un sustrato inorgánico.4

FIGURA 1 Añil de Santiago Niltepec utilizado por los artesanos de Teotitlán del Valle, Oaxaca (Cortesía: María Castañeda).
El índigo de origen vegetal está compuesto por indigotina y una serie de componentes minoritarios, como indirubina, flavonoides, sales inorgánicas, entre otros. La molécula de la indigotina tiene al centro una estructura de electrones denominada enlace π conjugado, que es responsable de la absorción de la luz a cierta longitud de onda, lo que produce que se observe como una sustancia de color azul (Sandoval 2005: 37; Yamazaki et al. 2011: 1626). A dicha estructura se le denomina grupo cromóforo. La indigotina es sólida e insoluble en agua, características físicas que permiten que el índigo pueda dispersarse en una capa oleosa y funcionar como pigmento.5 No requiere fijarse a manera de laca, como otros colorantes orgánicos solubles, por ejemplo, la grana cochinilla.
El fotodeterioro del índigo ya era una preocupación de los pintores, como dan cuenta los tratados del quehacer artístico. Hoy en día se conoce que la ruptura del grupo cromóforo de la indigotina se debe a la interacción de la luz con agentes oxidantes, o reductores, en la atmósfera. Esta susceptibilidad se relaciona en las fuentes con mecanismos de oxidación y reducción, así como con la pureza del pigmento y las mezclas de materiales pictóricos (Van Eikema 2002). Por este motivo, en primera instancia se definirán los compuestos del añil, para después revisar la bibliografía reciente sobre los mecanismos de deterioro que afectan a la indigotina tanto de manera aislada como en una matriz de pintura de caballete.
Especies vegetales mexicanas productoras de añil y métodos de obtención
El índigo que se obtenía en Europa antes del descubrimiento de América provenía de la India y se obtenía de la especie vegetal Indigofera tinctoria (Clark et al. 1993: 191).6 En México la especie endémica es la Indigofera suffruticosa (Haude 1998: 250; Sandoval 2005: 20; Casanova-González et al. 2012). Los indígenas conocían perfectamente la forma de aprovechar el colorante azul, que utilizaban para producir el azul maya.
José Mariano Moziño describió en su tratado del siglo XVIII que el método de obtención del añil se hacía en pequeñas “paylas [sic] de cobre” (Sarabia 1994: 178). Posteriormente, el autor da cuenta sobre el método de obtención del pigmento en el sistema de tres pilas, también llamado real (Figura 2), así como el obraje hidráulico (Sarabia 1994). Esta última tipología de obraje sobrevivió aun hasta el siglo XIX, según dan cuenta vestigios arqueológicos en la zona de Michoacán (Aguirre 2010). Los materiales constructivos de las pilas podían variar desde ladrillo hasta piedra, con mezcla de cal y arena (García 2011 y 2014).

FIGURA 2 Tipología de obraje real, reportado en estudios arqueológicos de Guatemala (Esquema: María Castañeda, 2017; fuente: García Zepeda 2014).
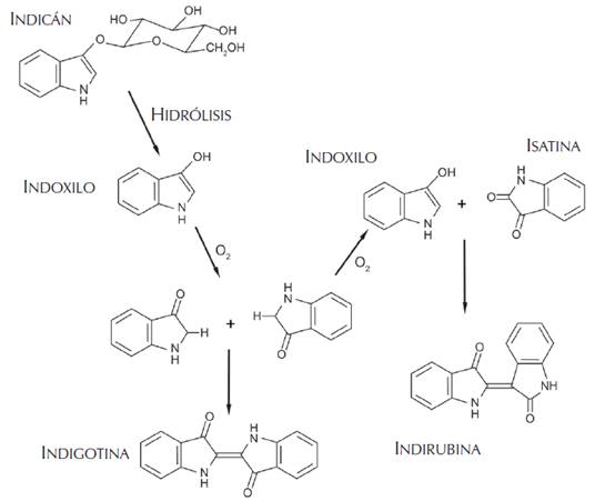
El método de obtención del índigo consiste en macerar en agua la planta del género Indigofera para extraer una sustancia incolora soluble llamada indicán.7 Este compuesto se hidroliza por acción de una enzima, liberando así un compuesto glucosídico y otro indólico: indoxil. Los restos de la planta se remueven, o bien el líquido se transfiere a una segunda tina, y se agita o bate con remos y palas de madera. Con este proceso se favorece la oxidación de dos moléculas indoxil, que dan como resultado la molécula azul e insoluble indigotina (Figura 3) (Gilbert y Cooke 2001; Schweppe 1997). La indigotina se sedimenta en el fondo de las pilas; sin embargo, el polvo más fino que queda en superficie también se recupera. Por las descripciones de Moziño (Sarabia 1994) se puede inferir que éste era el añil de mayor calidad, también denominado flor o flor tizate.

FIGURA 3 Mecanismo propuesto por Gilbert y Cooke (2001: 59) de los procesos de hidrólisis y oxidación del indican durante la formación del índigo e indirubina (Gráfico: María Castañeda, 2017).
Composición química del índigo
El añil como material pictórico no es un pigmento puro, se puede considerar que se compone de una mezcla de materiales extraídos de la planta y, también, derivados de los materiales de las pilas, e incluso del agua utilizada para el proceso. En la Figura 4 se resumen estos componentes.
FIGURA 4 Recopilación de componentes del índigo artesanal (Tabla: María Castañeda, 2018).
| Recopilación de componentes del índigo artesanal | ||
| Compuesto | Descripción | Solubilidad |
| Indigotina | Principal componente del indigo artesanal. Compuesto azul. Formula condensada: C16H10N2O2 | Insoluble en agua. Soluble en metanol y etanol, ácido acético glacial y ácido sulfúrico concentrado. Parcialemente soluble en solventes polares como la anilina, nitrobenceno y fenol. Soluble de manera diferencial en cloroformo, acetona, acetato de etilo (cameo 2016) |
| Indirubina | Isómero estructural de la indigotina. Color rojo (Maugard et al. 2001) | Insoluble en agua, etanol, éter y ácidos diluidos. Soluble en solventes no polares (cameo 2014) |
| Isoindirubina | Isómero de la indirubina. Color rojo (Maugard et al. 2001) | Soluble en metanol (Laitonjam y Wangkheirakpam 2011) |
| Isoindigo | Isómero de la indigotina. Color café. Identificado en muestras de índigo proveniente de la planta Isatis tinctoria (Maugard et al. 2001) | Insoluble en agua, soluble en cloroformo. (Laitonjam y Wangkheirakpam 2011) |
| Flavonoides y taninos | Compuestos ubicuos en las plantas de la especie Indigofera (Minami et al. 2000; Nwachukwu y Edeoga 2006; Rajeshwar et al. 2013) | Hidrosolubles |
| Materia inorgánica | Compuestos provenientes de la planta: elementos nitrógeno (N) , fósforo (P) y el potasio (K) (Van Eikema Hommes 2002) | Sales hidrosolubles |
| Compuestos adicionados durante el proceso de extracción del colorante en las pilas y proceso de secado. Se han identificado en muestras patrón de índigo por medio de microscopía electrónica de barrido con espectrómetro de energía dispersiva de rayos X (SEM-EDS) valores relativamente altos de silicio (Si), aluminio (Al) y hierro (Fe), atribuidos a la presencia de aluminosilicatos posiblemente de hierro (Castañeda 2017) | Tanto compuestos hidrosolubles (cloruros, carbonatos, sulfatos, fosfatos y oxalatos), como no solubles (silicatos) | |
En el campo de la conservación, esta información resulta relevante, en primera instancia, para identificar el añil por medio de técnicas analíticas en una muestra de pintura de caballete, y en segundo lugar, para la toma de decisiones de restauración. La indigotina es soluble en solventes comúnmente utilizados en limpiezas de pintura de caballete, específicamente, en remoción de barnices, como el metanol, el etanol y la acetona, por lo que sería relevante continuar en esta línea de investigación poniendo a prueba los sistemas de limpieza sobre probetas de índigo aglutinado con aceite secante.
Mecanismos de deterioro
En primer lugar, es importante definir a qué le llamamos decoloración8 en el ámbito de la conservación de bienes muebles. En términos generales, se entiende como la alteración cromática sufrida por un material determinado en la que disminuye la intensidad o saturación de su color. El color como fenómeno físico-químico es una respuesta de la interacción de la luz con la estructura molecular de la materia, por lo que la alteración cromática indica una alteración química del material (Christie 2001), la cual es irreversible (Berrie y Strumfels 2017). Una buena herramienta para calcular el efecto de decoloración que puede sufrir el material fue desarrollada por el Instituto Canadiense de Conservación (CCI, por sus siglas en inglés) ésta permite a conservadores y otros investigadores visualizar el daño por exposición a la luz en función del tiempo (CCI 2016).
Como ya se mencionó, la indigotina le debe su color al sistema de enlace π conjugado que conforma el grupo cromóforo (Figura 5), también llamado conjugado cruzado o en forma de H (Sandoval Salas 2005: 37; Yamazaki et al. 2011: 1626). Este grupo cromóforo contiene dos grupos amino (N-H) donadores de electrones y dos grupos receptores de electrones (C=O) (Iuga et al. 2012: 3646). Un cambio o alteración en esta estructura central de la molécula resultará en cambios de color o en la pérdida completa del color azul, efecto percibido como decoloración de la indigotina. Los cambios en los anillos bencénicos de los extremos no afectan directamente el color (Iuga et al. 2012). Estas alteraciones en el grupo cromóforo suceden generalmente por dos mecanismos; por fotooxidación o por la reducción de la molécula por presencia de álcalis.
Mecanismos de fotooxidación del índigo
El mecanismo de deterioro del índigo es catalizado por una reacción de fotooxidación en la cual la luz es el principal agente de deterioro. Los mecanismos de fotoestabilidad de la molécula de la indigotina han sido estudiados por Yamazaki et al. (2011), quienes señalan que la energía lumínica produce una excitación de los grupos funcionales (N-H y C=O), adyacentes al enlace π entre los anillos bencénicos, que se traduce en la transmisión de un fotón entre dichos grupos funcionales y no afecta el centro del grupo cromóforo. A partir de este estudio, cabe sugerir que la luz en sí misma no produce la ruptura molecular de la indigotina. Sin embargo, se han llevado a cabo estudios en los que se analiza la decoloración del índigo en atmósferas de ozono en condiciones de oscuridad, en los que se encontró que el índigo y otros colorantes indigoides derivados se decoloraron por completo, por lo que se concluyó que los agentes oxidantes son los que producen la ruptura del grupo cromóforo (Grosjean et al. 1988) (Figura 6). Por el contrario, Novotná et al. (2003) señalan que el índigo en solución9 es altamente susceptible a la luz como factor de deterioro. Los productos de degradación de la indigotina por reacciones de fotooxidación identificados por medio de espectroscopia de masas (MS) y cromatografía líquida de alto rendimiento (HPLC) al día de hoy son, principalmente, moléculas de isatina, anhídrido isatoico y ácido antranílico (Novotná et al. 2003). La isatina es de color amarillo, por lo que generalmente una zona con índigo decolorado se observará decolorada y amarilleada.
FIGURA 6 Mecanismo de oxidación química de la indigotina propuesto por Grosjean et al. (1988: 295) (Gráfico: María Castañeda, 2017).
El modelo que brinda una mayor comprensión sobre los mecanismos de decoloración del índigo es el que brinda el equipo de Cristina Iuga (2012), mediante el cual define dos rutas de oxidación de la molécula de la indigotina: oxidación catalizada por el radical hidroxilo (•OH) la primera, y por el hidroperoxilo (•OOH) la segunda. Aunque se concluyó que la reacción inducida por el hidroperoxilo es muy poco probable, y en realidad se puede descartar como responsable de la oxidación de la indigotina, los peróxidos, al fotodegradarse, generan ozono, que a su vez es agente oxidante del índigo. La oxidación catalizada por el radical hidroxilo obedece a su vez a dos mecanismos:
Sustracción de hidrógeno: El radical hidroxilo forma agua con el hidrógeno del grupo amino en la molécula de la indigotina, modificando el grupo cromóforo y dando como resultado el radical índigo (•Indigo, -H) (Iuga et al. 2012: 3645) (Figura 7). Iuga et al. (2012) consideran que el radical (•Indigo, -H) es susceptible a oxidarse en presencia de O2 y formar isatina, aunque no describen este proceso. En cambio, Doménech et al. (2007) proponen que la pérdida de dos átomos de hidrógeno en los grupos amino da como resultado la formación de la molécula dehidroíndigo (Figura 8) que se ha identificado en el pigmento azul maya.10

FIGURA 7 Mecanismos de reacción con el radical hidroilo propuestos por Iuga et al. (2012: 3645, 3647). Un hidroxilo puede producir una pérdida de hidrógeno en el grupo amino para formar un radical (•Indigo, -H) y molécula de agua. La segunda ruta consiste en la adición del hidróxilo en la estructura aromática (Gráfico: María Castañeda, 2018).

FIGURA 8 Moléculas derivadas de la indigotina producto de oxidación y reducción respectivamente propuestas por Doménech et al. (2006: 6030) (Gráfico: María Castañeda, 2017).
Adición de grupo hidroxilo: El radical hidroxilo se agrega a la molécula de la indigotina. Iuga et al. (2012) han modelado aun hasta nueve rutas posibles en las que el hidroxilo se une a los átomos de carbono de la indigotina; sin embargo, reportan que existe más alta probabilidad de unirse al carbono que forma el doble enlace (>C=C<) rompiendo el enlace π y, por lo tanto, el grupo cromóforo (Figura 7).
La importancia de conocer estos mecanismos desde la conservación y restauración de bienes muebles reside en que artefactos que contengan índigo como material pictórico o colorante deben resguardarse sistemáticamente tanto de la luz como de agentes oxidantes, por ejemplo, el ozono (Grosjean et al. 1988; Whitmore et al. 1988). Se ha encontrado que los tintes son, dependiendo de su absorción y reflexión lumínica, más sensibles a longitudes de onda específicas, es decir, la velocidad de decoloración se incrementa al aumentar su exposición a ciertas longitudes de onda. Para el caso del índigo se reporta que se ve mayormente afectado por longitudes de onda de alta energía (400 nm), así como por la región verde-anaranjada (aproximadamente, entre 500 y 600 nm) del espectro electromagnético (Saunders y Kirby 1994: 192). Si no se detecta la presencia de añil en un artefacto, probablemente las medidas de conservación preventiva establecidas no sean las más adecuadas.
Mecanismos de reducción del índigo
La reducción de la molécula de la indigotina a su forma leuco (Figura 8) se ha utilizado desde la antigüedad para poder utilizar el colorante como tinte textil. El mecanismo de reacción consiste en introducir un agente reductor que provoca la pérdida de electrones de la molécula de la indigotina, lo que deriva en la forma incolora leuco-índigo (Saura y Galindo 2016: 134). La molécula del leuco-índigo es altamente reactiva, y en ésta pueden ocurrir sustituciones por otros elementos, como el bromo, en el caso del púrpura (dibromo-índigo), cloro u otros isómeros (Rondão et al. 2010: 1904). La autora no encontró estudios que profundicen en la relación de los agentes reductores del medio con la decoloración del índigo en una matriz de pintura de caballete.
Factores de deterioro del índigo como material pictórico
Al realizar el levantamiento del estado de conservación de una pintura de caballete y relacionar las alteraciones y deterioros con factores y mecanismos específicos, el restaurador-conservador generalmente los clasifica como extrínsecos e intrínsecos a la obra. En este sentido, los mecanismos de deterioro del índigo por medio de fotooxidación, descritos anteriormente, se vinculan con tres factores extrínsecos: la luz, el oxígeno y los agentes reductores presentes en el ambiente (contaminantes), mientras que los factores intrínsecos al añil, entendido como una mezcla compleja de materiales, se relacionan con la pureza del pigmento, es decir, con el contenido de indigotina en proporción a los compuestos secundarios agregados gradualmente en el proceso de obtención. Aunado a esto, en una pintura se encuentran elementos propios del proceso pictórico, como secativos, cargas inertes y otros pigmentos. Cada uno de estos materiales influye en la resistencia del pigmento añil a los factores extrínsecos de deterioro. Por lo tanto, en ocasiones es difícil determinar de manera absoluta las causas de la ruptura de la molécula de la indigotina, pues es el conjunto de varios factores lo que produce las alteraciones cromáticas del añil, los cuales se listan a continuación de acuerdo con la clasificación que hace Van Eikema Hommes (2002) en contraste con fuentes más recientes.
Presencia de impurezas o compuestos secundarios
En el trabajo de Van Eikema Hommes (2002) se realizaron probetas de índigo sintético y natural aglutinados con óleo, que, al ser sometidas a un envejecimiento acelerado, observaron mayor decoloración en el natural, lo que se atribuye a la cantidad de “impurezas” en el índigo de origen artesanal. Debido a que el añil de origen vegetal inevitablemente se compone de una gran diversidad de materiales (Figuras 9 y 10) por el proceso de obtención, he preferido llamarles compuestos secundarios. Éstos reducen el tamaño de los agregados de índigo, lo que provoca una mayor susceptibilidad a la luz (Novotná et al. 2003: 125-126).

FIGURA 9 Muestra de añil proveniente de Santiago Niltepec, Oaxaca. Fotografía con microscopio Leica® EZ4HD, 8X (Fotografía: María Castañeda, 2016; cortesía: Laboratorio de Análisis y Diagnóstico del Patrimonio del Colegio de Michoacán [Ladipa-Colmich]; proyecto: “Vínculos entre materia e imagen en el arte virreinal”, 2016).

FIGURA 10 Muestra de añil proveniente de Santiago Niltepec, Oaxaca. Microfotografía por SEM-EDS a 1000X. No se observa una estructura cristalina, pero se pueden discernir fibras vegetales, partículas de materia inorgánica, y el añil como una masa amorfa (Fotografía: Esteban Sánchez, 2016; cortesía: Laboratorio de Análisis y Diagnóstico del Patrimonio del Colegio de Michoacán [Ladipa-Colmich]; proyecto: “Vínculos entre materia e imagen en el arte virreinal”, 2016).
Durante el periodo virreinal, una manera artesanal de controlar la cantidad de compuestos secundarios en el índigo obtenido era utilizando el añil que sobrenadaba en las tinas. A éste se le denominaba de calidad flor o tizate (Contreras 1996; Sarabia Viejo 1994). En la lista de materiales de pintura firmada por el pintor Juan Correa11 (1646-1716) en el que se le solicita al maestro añil “del que usan alla [sic] los pintores fino; y con secante” (AGN s. f.: f.2) permite sugerir que la calidad del añil era una preocupación de los pintores, y podría explicar el buen estado de conservación en el que se encuentran estratos pictóricos completamente labrados con índigo12 (Castañeda 2017), sin dejar de lado que la capa pictórica provee un sistema estable.
Tamaño de conglomerado o partícula
El índigo tiene un tamaño de partícula en promedio de 2.461 µm,13 razón por la cual tiene un buen poder cubriente; sin embargo, tiende a formar aglomerados, posiblemente debido a su tendencia a formar puentes de hidrógeno.14 Para hacer un pigmento manejable, los pintores solían molerlo hasta lograr la granulometría deseada. Van Eikema Hommes (2002: 164) encontró que el índigo con un tamaño de conglomerado menor tiende a decolorarse a mayor velocidad que una muestra con aglomerado más grande. Esto se debe a que, en cuanto menor sea el agregado, mayor será su superficie de contacto15 con los agentes atmosféricos respecto de su masa. En cambio, un conglomerado de mayor tamaño actúa como escudo de las partículas al interior del agregado (Novotná et al. 2003: 125-126).
Aglutinante
El aglutinante es uno de los principales factores que influyen en la conservación del índigo en una pintura. Se ha encontrado que el añil es más estable ante la luz si está aglutinado con clara de huevo, cola o goma arábiga que con aceite de linaza y yema de huevo, aglutinantes con los que ocurrió mayor deterioro (Van Eikema 2002: 134). Esto indica que los ácidos grasos, al reticular, forman subproductos que podrían afectar al índigo. Los aceites secantes, como parte del proceso de polimerización, generan radicales libres derivados de hidroperóxidos (Weerd et al. 2005). A partir de los mecanismos de fotooxidación previamente descritos, se puede sugerir que los radicales libres peroxilo (ROO•) y alcoxilo (RO•), reportados por Van der Weerd (2005) y su equipo, podrían funcionar como agentes oxidantes de la molécula de la indigotina. Aunque se ha encontrado que la descomposición de la indigotina por medio de hidroperóxidos es una reacción poco probable (Iuga et al. 2012), habría que tomar en cuenta la matriz de aceite envejecido y cómo los radicales de hidroxilo que se desprenden del proceso de oxidación e hidrólisis de las cadenas poliméricas del aceite afectan al mecanismo de reacción.16 Samain et al. (2013: 533) propusieron que el uso de aceite precocido -es decir, aceite secante con un proceso previo de reticulación- reducía la oxidación de los pigmentos ocasionada por el envejecimiento del aceite. Este fenómeno podría también influir en la conservación del índigo, aunque se requieren experimentaciones de envejecimiento acelerado que permitan tener mayor conocimiento del fenómeno.
Ubicación en el sistema estratigráfico
La capa pictórica se compone generalmente de diversos estratos, cuya superposición permite a los artistas lograr una vibración cromática específica. La posición del índigo en esta sucesión de capas respecto a la superficie de una pintura, y, por lo tanto, su proximidad con los agentes ambientales, determinará en gran medida su estado de conservación. En casos de pintura donde se aplicó añil como capa de fondo, no se observa decoloración importante, pues la capa superficial protege al índigo subyacente de los agentes ambientales (Van Eikema 2002: 166). En cambio, en casos donde el índigo se encuentra en las capas superiores, éste ha perdido su color; tal es el caso del enconchado estudiado por Illán y Romero (2008). Por otro lado, si la aplicación del pigmento fue como una capa muy delgada, ésta será más susceptible a decolorarse, mientras que en una capa más gruesa, la parte inferior del estrato continuará reflejando el color azul aunque el índigo se decolore en superficie, por lo que se observará macroscópicamente menor decoloración de la pintura (Hendriks et al. 1998: 168).
Otro factor poco estudiado está relacionado con el color de la base de preparación e imprimación, la cual absorbe o refleja ciertas longitudes de onda de acuerdo con su tono. Por ejemplo, una imprimación de color oscuro refleja menos luz, mientras que en una base de color claro sucede lo contrario. Esto provoca que la capa pictórica reciba mayor energía lumínica, por lo que puede afectar sus componentes fotosensibles, como el índigo. El fenómeno ocurre cuando la capa de índigo superficial es muy delgada y es posible la transmisión de luz a la capa subyacente. Ante esto, Van Eikema Hommes (2002: 163) reporta una diferencia entre el estado de conservación de capas de índigo sobre imprimaturas oscuras y claras de las pinturas que analiza en su estudio.
Mezclas y matriz
El índigo generalmente se encuentra acompañado de otros pigmentos y cargas en una capa pictórica. El estado de conservación del añil se relaciona directamente con la naturaleza de las mezclas, que por un lado podrían mejorar sus cualidades plásticas para aplicarse en un lienzo, pero que a largo plazo catalizarían su deterioro. Una de las combinaciones más comunes es el índigo con albayalde, un carbonato básico de plomo [2PbCO3•Pb(OH)2] que fue el blanco por excelencia en la pintura por lo menos hasta el siglo XIX. Además de añadirse para lograr el tono de azul deseado, también se agregaba como secativo. El blanco de plomo en grandes cantidades genera en la capa pictórica un fenómeno de dispersión de la luz interna que afecta directamente a la descomposición de la indigotina, al catalizar las reacciones de fotooxidación (Van Eikema 2002: 160-161). Este fenómeno ha sido detallado por Kirby y Saunders (2004) para el caso de la decoloración del azul de Prusia mezclado con diversos pigmentos blancos. Estudios sobre la degradación del azul de Prusia y las reacciones de óxido-reducción (redox) que ocurren cuando se mezcla con aceite de linaza y albayalde (Samain et al. 2013) llevan a pensar que el índigo también podría aumentar su velocidad de decoloración ante estas mezclas; sin embargo, éste es un tema que no se ha explorado hasta la fecha.
Otro campo inédito de estudio son los efectos que el proceso de saponificación en una capa pictórica pudiera producir también en el índigo. Estudios recientes han revelado que los jabones metálicos, que se forman por reacción del albayalde u otros pigmentos de plomo con los aceites secantes por una reacción de esterificación-saponificación, no son necesariamente deterioros, sino un proceso natural de envejecimiento que estabiliza la capa pictórica y es parte esencial de la matriz (Cotte et al. 2017: 20). Hasta el momento no se ha estudiado a profundidad la relación de la saponificación respecto del índigo y otros materiales dependientes del pH, como las lacas. Se puede esperar que los agentes alcalinos influyan en la degradación del índigo y pudieran transformarlo en su forma leuco-índigo.
Barniz de protección
Van Eikema Hommes (2002) señala que los barnices en la pintura promueven la conservación del azul índigo, principalmente, por ser una barrera ante los factores ambientales como la luz, el oxígeno y contaminantes, e incluso la humedad relativa. En contraste, Berns y De la Rie (2003), si bien no niegan las cualidades de protección de los barnices, consideran que la función principal de su aplicación es estética y no necesariamente proteger la capa pictórica de la luz y otros agentes.
Reflexiones finales
El índigo como material pictórico ha sido, aun hasta años recientes, poco revisado, posiblemente debido a la percepción de que es un material inestable aglutinado al óleo, aunado a que gran parte de los estudios materiales de pintura de caballete se han enfocado en el análisis e identificación de materiales inorgánicos. El presente artículo tuvo como objeto, en primera instancia, conceptualizar el índigo como una mezcla de materiales tanto orgánicos como inorgánicos que funciona como pigmento en suspensión en aceite y que no requiere fijarse, como otros colorantes orgánicos, para su aprovechamiento al óleo.
Es importante que en la conservación de pintura de caballete se identifique la presencia de añil, y se tome en cuenta su sensibilidad ante factores atmosféricos, específicamente, por agentes oxidantes como el ozono y la luz. Si bien es difícil establecer una propuesta de conservación que considere vitrinas o embalajes que aíslen por completo del oxígeno a una pintura, sí se debe considerar el control de la energía lumínica que incide directamente en una pintura que contiene índigo. Es decir, que las fuentes de luz para exhibición deben de carecer de luz ultravioleta e infrarroja, y, de preferencia, limitar el tiempo de exposición a las fuentes lumínicas.
Vale la pena discutir la susceptibilidad de este azul orgánico a las limpiezas. La indigotina es soluble de manera diferencial en algunos solventes utilizados en procesos de restauración de pintura de caballete, específicamente, la acetona, el acetato de etilo, dimetilformamida y cloroformo, por lo que se sugiere que se eviten estos solventes sobre capas pictóricas en las que se haya detectado el índigo o incluso se considere hacer limpiezas diferenciales entre colores de una misma pintura. Otra solución viable es el uso de geles rígidos que permitan controlar la penetración del solvente en la capa pictórica. Para el campo de la conservación de pintura de caballete es necesario que se pongan a prueba distintos sistemas de limpieza sobre capas pictóricas de añil aglutinado con aceite secante para así conocer los alcances y límites de los métodos de limpieza en este contexto. Por otro lado, la indigotina también es sensible a agentes reductores, es decir, a sustancias con pH alcalino, que se utilizan para desacidificar soportes textiles en restauración y que podrían romper el grupo cromóforo de la molécula de indigotina y, por lo tanto, observarse decoloraciones en capa pictórica.










nueva página del texto (beta)



