Introducción
El Masma es un importante río salmonero y truchero del norte de España. Sus aguas frescas y oxigenadas, así como su caudal abundante y estable, favorecen las especies de la familia Salmonidae (Callejo et al., 1982; Xunta de Galicia, 2005), entre las cuales la trucha común (Salmo trutta fario L., 1758) está sometida a gran presión pesquera. La pesca deportiva de dicha especie tiene gran valor económico, no por el precio de los ejemplares capturados (su venta está prohibida por la Ley 7/1992, de pesca fluvial de Galicia) sino por los ingresos indirectos que genera la pesca, que pueden ser muy superiores al valor de las capturas (Arrignon, Tane, & Latreille, 1988). En este río también se encuentra la forma migratoria de la trucha común: el reo o trucha de mar (Salmo trutta trutta L., 1758), que está en expansión y es cada vez más demandada por los pescadores (Xunta de Galicia, 2005). Asimismo, existe una de las seis grandes poblaciones gallegas de salmón (Salmo salar L., 1758) (Morán, Pérez, & García-Vázquez, 2005), apreciándose para esta especie una tendencia decreciente en el número de capturas (figura 1). Aunque los datos de capturas no son un fiel indicador del estado de las poblaciones (Xunta de Galicia, 2005), existe un declive de la especie en el ámbito nacional, que se atribuye a la reducción del hábitat disponible por contaminación y construcción de presas, que dificultan la migración hacia lugares de freza.

Figura 1 Número de capturas de salmón (Salmo salar) en el río Masma (Lugo) durante el periodo 1965-2012. Sólo se contabilizan capturas con caña.
En los años de 1980 y principios de la década de 1990, los ríos salmoneros de la costa de Galicia se repoblaron con alevines de salmón de procedencia escocesa (Morán et al., 2005). Sin embargo, en inventarios posteriores no se detectaron retornos, por lo que se cree que los ejemplares repoblados no llegaron a asentarse de forma significativa en los ríos gallegos. Como aspecto positivo, en 2005 y 2006 se comprobó que las poblaciones de salmón atlántico en Galicia mostraban alta variabilidad genética y reducida consanguinidad, lo que hacía suponer que la gestión de las poblaciones era la adecuada (Xunta de Galicia, 2005). Entre las poblaciones salmoneras, la correspondiente al río Masma fue la que mostró mayor variabilidad genética y mayor distancia genética en relación con el resto (Morán et al., 2005).
Junto a los salmónidos, otra especie de gran importancia económica que está presente en el río Masma es la anguila (Anguilla anguilla L. 1758) (Callejo et al., 1982).
Son numerosos los estudios sobre abundancia de especies ícticas, pero escasean los trabajos sobre producción de peces cuando se trata de ríos españoles y del sur de Europa en general (Lobón-Cerviá, Montañés, & De Sostoa, 1986; Mann & Penczak, 1986; Alonso & García de Jalón, 2001; Fernández-López, Fernández-Ríos, & Riesco-Muñoz, 2010). En especial es poca la información publicada al respecto sobre los ríos silíceos de Galicia (Sánchez-Hernández, Servia, Vieira, Barca-Bravo, & Cobo, 2012). Sin embargo, para dar fundamento a las medidas de regulación de la pesca fluvial no basta con cuantificar las abundancias, sino que se necesita conocer la calidad del agua y la dinámica de las poblaciones de las especies que son objeto de aprovechamiento.
En el presente trabajo se analizan las poblaciones de peces en el río Masma y en sus afluentes, aportando medidas para una gestión sostenida de la pesca, en consonancia con la potencialidad del recurso.
Material y métodos
Zona de estudio
El río Masma tiene 53.1 km de longitud y está situado al noreste de la provincia de Lugo (Galicia, España). Nace en la sierra del Xistral, a unos 950 m de altitud. Presenta amplia ramificación en cabecera (Río-Barja & Rodríguez-Lestegás, 1992), habiéndose tomado como cauce principal el que en principio se denomina río Pedrido (cambiando su nombre por el de Tronceda a la altura de la aldea de Estelo), formándose el Masma propiamente dicho por la unión del río Pedrido/Tronceda con el Valiñadares y con el Fragavella (o Figueiras), para acabar desembocando en la ría de Foz (figura 2).

Figura 2 Distribución del cauce principal y afluentes del río Masma, con indicación del régimen de aprovechamiento piscícola, y la localización de los puntos y estaciones de muestreo.
El Masma es el principal curso de agua de la cuenca, de 291.3 km², en la que es muy baja la densidad de población humana, con ausencia de cultivos agrícolas intensivos y muy débil actividad industrial. Sólo destaca la presencia de dos centrales hidroeléctricas, una de las cuales (minicentral de Tronceda) se encuentra en un corto tramo intermedio de fuerte pendiente (Río-Barja & Rodríguez-Lestegás, 1992). La pendiente media del río es 1.79% y en el perfil longitudinal se distinguen cuatro zonas: un tramo alto de fuerte pendiente, que llega hasta el kilómetro 7 desde el nacimiento; un segundo tramo de pendiente más moderada hasta el kilómetro 25; un tramo de cuatro kilómetros en el que se encuentran las mayores pendientes de todo el río, y un último tramo, hasta la desembocadura, con pendiente suave (figura 3).

Figura 3 Perfil longitudinal del río Masma y ubicación de los puntos de muestreo para la caracterización del hábitat.
La pesca es libre en la mayor parte de la cuenca, incluyendo un tramo libre de 2.7 km para pesca sin muerte. Sólo se encuentran acotados los tramos medios y bajos de los cursos principales: cotos salmoneros de Mondoñedo (longitud: 9.1 km) y Celeiro (7.7 km) en el río Masma, y coto truchero de Lorenzana (8.3 km) en el río Batán, afluente del Masma. Desde hace varios años están vedados a la pesca los ríos Pusigo (o Cabarcos), Fragavella y Valiñadares, además del Masma en dos pequeños tramos, 100 m aguas arriba y abajo de sendas presas.
El clima en la cuenca es oceánico y húmedo, con pluviosidad abundante (1 300-1 500 mm anuales), repartida regularmente a lo largo del año, con un máximo pluviométrico invernal. Las precipitaciones descienden en verano, pero no hay meses secos (Río-Barja & RodríguezLestegás, 1992).
El caudal medio anual en la desembocadura del río Masma es de 4.4 m3/s, con el máximo en febrero y cierto descenso estival sin estiajes acusados. El régimen fluvial es, por tanto, típicamente pluvial oceánico, con un coeficiente de irregularidad anual de tipo medio (2.67). El coeficiente de desagüe presenta valores elevados (50.8%). Es decir, algo más de la mitad de la precipitación recibida revierte en la circulación hídrica debido a las escasas pérdidas por evaporación e infiltración, ya que el suelo está próximo a la saturación la mayor parte del año (Río-Barja & Rodríguez-Lestegás, 1992).
Estimación de la calidad del hábitat y muestreo de poblaciones de peces
Se escogieron cinco puntos de muestreo en la cuenca para evaluar el hábitat fluvial y otros seis puntos para determinar la calidad biológica del agua, que en conjunto abarcarán la variabilidad de la red hidrográfica en estudio (cuadros 1 y 2, figuras 2 y 3). El índice de forma de Shirvell, que aparece en el cuadro 1, es un parámetro adimensional que se obtuvo mediante la expresión:
donde a es la anchura del cauce; h, la profundidad media, y hmáx es la profundidad máxima.

RM: roca madre; B: bolos y bloques; G: gravas; g: gravillas; A: arenas, y F: finos. (1)4 km de distancia al límite mareal. Coeficientes de evaluación del hábitat: coeficiente de visibilidad (Ctb), coeficiente de sustrato (Cst), coeficiente de isletas (Ci), coeficiente de encueves (Ce), coeficiente de sombra (Csb) y coeficiente de vegetación sumergida (Cvs). IR: índice de refugio, según García de Jalón, Mayo, Hervella, Barceló y Fernández (1993).
Cuadro 1 Características de los puntos de muestreo analizados en el río Masma (Lugo).
Para la determinación de la calidad biológica del agua se empleó el índice IBMWP (Iberian Biological Monitoring Working Party) (cuadro 2), tal como establece la legislación europea en materia de evaluación biológica de calidad de aguas. El índice se obtiene a partir del muestreo e identificación de grupos de macroinvertebrados según la metodología de Alba-Tercedor y Sánchez-Ortega (1988). El método se basa en la presencia de familias de macroinvertebrados de modo que cada taxón familia tiene asignado un valor entre 1 y 10. El valor 1 comprende familias que tienen su hábitat en aguas muy contaminadas y el 10 corresponde a familias que no toleran la contaminación. El valor del índice IBMWP cuantifica el grado de contaminación de las aguas y es la suma de las puntuaciones asignadas a las familias presentes en la muestra. Cuanto mayor sea la suma obtenida menor será la contaminación del punto estudiado. Para inventariar las poblaciones de peces en el río Masma y afluentes se replantearon 22 estaciones de muestreo distribuidas para abarcar tramos diversos en cuanto a altitud, orden del curso de agua en la cuenca, grado de presión pesquera, etcétera (García de Jalón, Mayo, Hervella, Barceló, & Villeta-López, 1990). Se trató de abarcar el área potencialmente accesible para las especies migratorias, aunque en los afluentes no se conocen con precisión los límites de accesibilidad (Hervella & Caballero, 1999). Se realizaron 20 estaciones el primer año (1996), 15 estaciones el año 2 (1997) y 16 estaciones el año 3 (1998) (figura 2), atendiendo así los requerimientos de la norma UNE-EN 14011:2003 (AENOR, 2003) en cuanto a intensidad de muestreo. La localización de cada estación fue muy similar de un año al siguiente, para que las abundancias fueran comparables entre años sucesivos.

Cuadro 2 Caracterización biológica de la calidad del agua en el río Masma (Lugo).(1) (Alba-Tercedor & Sánchez-Ortega, 1988).
El muestreo se realizó al final de la temporada de pesca (agosto) mediante pesca eléctrica, y por el método de tres o cuatro pasadas sucesivas sin devolución sobre tramos de río aislados con redes (Moran, 1951). Se operó con corriente continua, según establece la norma UNE-EN 14011:2003 (AENOR, 2003), empleando intensidades de hasta 2.5 amperios.
Los peces capturados se estabularon en barreños con agua fresca, aireación y tranquilizante (2-fenoxietanol). Se procedió a la toma de datos individuales: especie, longitud furcal y peso. Tras la toma de datos, al concluir la última pasada y retirar las redes, los peces se regresaron a su medio natural.
Proceso de datos de inventario
Para el cálculo de abundancias se utilizó el estimador de máxima verosimilitud de De Lury (1947), descrito por Lobón-Cerviá (1991). Los resultados fueron referidos a la superficie de lámina de agua muestreada, expresando la densidad en número de individuos por metro cuadrado y la biomasa en gramos de peces por metro cuadrado. La producción se obtuvo en gramos de biomasa piscícola producida por metro cuadrado y año. Se escogió como superficie la correspondiente a la mínima anchura del tramo, tal y como proponen Mann y Penczak (1986).
Para el estudio de la distribución de edades se utilizó el método de Petersen (1896), basado en representar gráficamente la distribución de frecuencias de longitudes furcales de la muestra para detectar las modas que corresponden a las diferentes clases de edad. Una vez determinada la edad de cada clase se determinaron las longitudes y pesos medios representativos de cada cohorte y especie.
Resultados y discusión
Caracterización del hábitat
La mayor parte de los puntos de muestreo para caracterización del hábitat (H-1 a H-5) se hallaba en zonas de rápidos (valor del índice de Shirvell superior a 9), aunque la apreciación visual previa indicara en algunos casos que se trataba de zonas de tablas. En el lecho se encontró cuarcita, pizarra y granito, tal como indican Río-Barja y Rodríguez-Lestegás (1992), junto con algunas vetas de caliza en la zona oriental de la cuenca, predominando en cuanto a granulometría las gravas, además de bolos, bloques y gravillas en el curso alto, así como gravillas, arenas y limos en el curso bajo (cuadro 1). En cuanto a estabilidad de las partículas, casi todas las fracciones eran móviles, sobre todo las gravillas. El sustrato del lecho era idóneo para la freza, dado su bajo recubrimiento por finos.
Los márgenes presentaban un grado de alteración variable, estando más alterados cuando los prados y labores agrícolas llegaban a la orilla. Por lo general, los márgenes eran muy estables, al estar los bancos bien protegidos por vegetación herbácea y por bosque galería, con desmoronamientos sólo ocasionales. El índice de refugio para la trucha era alto en casi toda la cuenca (en promedio, IR = 7.2), contribuyendo a ello el sombreado del cauce por la vegetación de ribera, las cornisas sumergidas y grandes bolos en el centro del álveo (cuadro 1). La disponibilidad de refugio disminuía a lo largo del río, lo cual se aprecia en el índice de refugio y en sus componentes (salvo el factor Cvs), destacando en conjunto la escasez de isletas como espacio para refugio. Los tramos altos, con pendientes elevadas y mayor proporción de zonas lóticas, son espacios ideales para el salmón.
La vegetación ripícola estaba constituida principalmente por las especies que se nombran a continuación, variando su abundancia relativa a lo largo del río y entre afluentes. Ofreciendo sombra aparecían Acer pseudoplatanus L., 1753; Alnus glutinosa (L.) Gaertn., 1790; Betula celtiberica Rothm. et Vas. 1940; Eucalyptus globulus Labill. 1800; Fraxinus excelsior L., 1753; Quercus robur L., 1753, y Salix atrocinerea Brot. 1804, junto con especies de menor talla, como Corylus avellana L., 1753; Laurus nobilis L., 1753, y Sambucus nigra L. 1753; además de especies de matorral que llegaban hasta la orilla: Erica arborea L., 1753; E. cinerea L., 1753; Rubus ulmifolius Schott 1818; Ulex europaeus L., 1753, y U. gallii Planch., 1849.
El agua resultó ser apta para la vida de los peces en casi toda la cuenca. Según el índice IBMWP, la calidad biológica del agua se reduce al descender en el río (cuadro 2), de modo que el Masma es de clase I (aguas no contaminadas) por su índice IBMWP en los puntos CB-1 y CB-2; mientras que aguas abajo, en el punto CB-3, pasa a clase II, probablemente debido a los vertidos urbanos de Mondoñedo; el río no es capaz de autodepurarse a continuación, pues el índice del punto CB-4 es muy próximo al del punto CB-3. En el punto CB-5, el índice biológico es propio de aguas contaminadas, no aptas para la vida de los peces, tal vez debido a un mal funcionamiento de la depuradora de Lorenzana. En el último punto de análisis (CB6), el río se ha autodepurado de modo parcial, ya que asciende a clase II. En la zona de la ría, la posible contaminación por metales pesados no procede del río sino principalmente de la costa (Prego & Cobelo-García, 2003).
Composición de la población de peces
En el muestreo de la cuenca se detectaron las siguientes especies de peces: Anguilla anguilla L. (anguila); Petromyzon marinus L., 1758 (lamprea de mar); Platichthys flesus L., 1758 (solla o platija); Salmo salar (salmón atlántico); Salmo trutta (tanto la trucha común, Salmo trutta fario, como la forma marina migrante, trucha de mar o reo, Salmo trutta trutta), así como ejemplares de la familia Mugilidae (múgil) en el curso bajo. Entre las especies capturadas destaca la ausencia de la boga (Chondrostoma polylepis Steindachner, 1864), que sin embargo se halla en los ríos Ouro y Eo, cuyas cuencas son colindantes con la del Masma.
Densidad
La figura 4 presenta las densidades obtenidas en el inventario piscícola de la cuenca del río Masma para cada especie y año de campaña. La trucha común fue la especie más abundante (68% de las capturas), seguida del salmón (16%) y de la anguila (12%), con muy baja presencia del resto de especies. Las densidades totales fueron similares en los años 1 y 2, reduciéndose en el año 3. El coeficiente de variación interanual de la densidad fue de 49% (variando entre 14 y 69%, dependiendo de las estaciones de muestreo). Las densidades por especie fueron muy variables entre años, propio de poblaciones no estabilizadas, sobre las que no es viable el cálculo de tasas de mortalidad y supervivencia a partir de las abundancias registradas anualmente para cada cohorte. Asimismo, las densidades fueron muy variables entre estaciones de muestreo, encontrándose en los afluentes valores mucho más altos (densidad media de 0.53 ind/m²), que en el curso principal (densidad media de 0.27 ind/ m²). A pesar del carácter generalmente silíceo del sustrato en toda la cuenca, la naturaleza del mismo es probablemente una causa de la variación de la densidad de peces entre estaciones, pues las estaciones de muestreo de los ríos Baus (o Baos) y Batán, que se asientan sobre calizas principalmente dolomíticas, ofrecen valores de densidad superiores a la media, aunque las diferencias no sean significativas respecto de las estaciones situadas sobre lechos silíceos. En los años 1 y 2, las densidades totales en el curso principal del Masma mostraban una tendencia a aumentar aguas abajo, en tanto que en el año 3 se invierte la tendencia.

Figura 4 Abundancia de peces obtenida en los inventarios por pesca eléctrica efectuados en la cuenca del río Masma. Densidad en individuos por metro cuadrado (arriba); biomasa en gramos por metro cuadrado (abajo).
En promedio, para los tres años de inventario, la densidad total fue de 0.38 ind/m², encontrándose densidades más variables y elevadas en tramos por debajo de los 250 m de altitud y densidades inferiores (0.29 ind/m²) en tramos por encima de los 450 m. La escasa densidad detectada en tramos altos puede deberse a la baja temperatura del agua y, sobre todo, a su baja conductividad (116 μs/cm en promedio), que compromete la eficacia de la pesca eléctrica (García de Jalón et al., 1993).
La trucha común aparece en todas las estaciones de muestreo en los tres años de campaña, siendo la especie más abundante en la mayor parte de las estaciones, con una densidad media de 0.26 ind/m², valor dentro del rango que Sánchez-Hernández et al. (2012) recogen para Galicia.
La forma marina de la trucha, el reo, sólo se encontró en el curso bajo del Masma (por debajo de los 52 m de altitud). No fue hallado en afluentes, salvo en el curso alto del río Baus en el año 2. La densidad media (0.003 ind/ m²) fue muy variable a lo largo del río, dada la selectividad de los adultos hacia determinados hábitats y sus frecuentes concentraciones aguas abajo de obstáculos de cierta importancia.
El salmón se ha encontrado en todas las estaciones al menos en algún año de la campaña, salvo en afluentes como el Batán, el Pusigo y el curso alto del río Valiñadares, ya que se encuentran aguas arriba del límite de accesibilidad de la especie (Hervella & Caballero, 1999), en zonas de gran pendiente, saltos naturales y cascadas. En el curso principal de la cuenca se capturaron salmones juveniles en el curso bajo del río Tronceda. Aguas arriba de dicha zona hay un fuerte desnivel y numerosas cascadas (tramo aprovechado por la minicentral hidroeléctrica de Tronceda), lo que constituye el límite de accesibilidad para la especie en este río. La longitud del tramo apto para el salmón desde este punto y hasta la zona de influencia de las mareas es de 22.3 km. Se desconocen con precisión los límites de accesibilidad para la especie en los tributarios o si existen frezaderos potencialmente utilizables. La densidad media de salmones obtenida para los tres años de inventario fue de 0.06 ind/m².
La anguila se encontró por toda la cuenca (densidad media de 0.05 ind/m²), estando presente en todas las estaciones de muestreo en las que aparece el salmón, así como en todas las estaciones de muestreo de los ríos Valiñadares, Baus y Pusigo. Con ello se comprueba la mayor capacidad de este migrador frente al salmón para superar obstáculos en el cauce. La presencia de la especie en la cuenca es en parte atribuible al hecho de que los muestreos se efectuaron en verano, en una época en la que es frecuente el descenso de las anguilas, sobre todo las plateadas (Cobo, Sánchez-Hernández, Vieira, & Servia, 2014). En general, la anguila seguía un patrón de distribución de densidades similar al resto de especies: densidad muy variable por debajo de los 250 m de altitud y valores inferiores a la media (0.015 ind/m²) por encima de los 450 m. La abundancia de anguila aumentaba aguas abajo en los años 1 y 2 de la campaña, mientras que la tendencia fue a la reducción de abundancias aguas abajo en el año 3. Está documentada de forma reciente la escasez y falta de viabilidad de las poblaciones de anguila en los ríos de Galicia (Cobo et al., 2014).
La lamprea sólo se encontró en el curso bajo del Masma (por debajo de los 19 m de altitud), pero no en sus afluentes. A partir de la parte baja del coto de Celeiro, en los arenales y zonas de finos de las orillas, se encontraron larvas de lamprea (ammocoetes) si bien poco abundantes (0.01 ind/m² en promedio).
En el tramo final de pesca libre, el más cercano al mar, aparecieron todas las especies detectadas en el estudio, abundando el reo y escaseando la trucha adulta. A partir de la última estación (por debajo de los 10 m de altitud), cerca de la zona de mareas, se encontró con frecuencia el múgil y la solla.
Biomasa
En la figura 4 se recogen los valores medios de biomasa obtenidos por especie y año de muestreo. La biomasa total piscícola en el río Masma y afluentes fue, en promedio, de 13 g/m², valor intermedio para un río ibérico (García de Jalón & Schmidt, 1995) y dentro del rango para ríos trucheros de Galicia (Sánchez-Hernández et al., 2012), aunque superior al citado para algunos ríos gallegos con aguas muy ácidas (García de Jalón et al., 1990). Se da una gran variación para la biomasa entre estaciones de muestreo, aunque la dispersión de resultados es menor que para la variable densidad. En los afluentes, la biomasa promedio (19 g/m²) es muy superior a la obtenida en el cauce principal (9 g/m²) y en el propio río Masma la biomasa aumenta aguas abajo. Alonso y García de Jalón (2001) también citan biomasas mucho mayores en afluentes que en el cauce principal. La condición de vedado de algunos afluentes explica en parte sus altos valores de biomasa, ya que se ha comprobado que en ríos silíceos del oeste de Galicia, las biomasas y producciones en tramos vedados son significativamente más altas (Sánchez-Hernández et al., 2012).
En el presente trabajo, la variación interanual de la biomasa es del mismo tipo que la obtenida para la densidad (reducción de abundancias en el tercer año), aunque en el caso de la biomasa, la variación es menos acusada.
La trucha común fue la especie más abundante en términos de biomasa (71% del peso de las capturas en los muestreos), seguida de la anguila (15%), reo (7%) y salmón (6%), con muy baja presencia del resto de especies. En 57% de las estaciones de muestreo, la biomasa de trucha común superó los 5 g/m², umbral por debajo del que se considera que la población es escasa para un río ibérico medio (García de Jalón & Schmidt, 1995). El peso medio obtenido para la trucha fue de 35 g por individuo, superior a los 25 g obtenidos de media por Hervella y Caballero (1999) en ríos gallegos.
Producción
La producción media obtenida fue de 12.8 g m-2 año-1, con un ligero incremento de 7.1% anual a lo largo de los tres años de inventario, a pesar de que la abundancia de las poblaciones tendía a reducirse en ese mismo periodo tanto en términos de densidad como de biomasa. En los afluentes se encontraron producciones unas tres veces superiores a las halladas en el cauce principal del río Masma; asimismo, las abundancias fueron en general más altas en los afluentes que en el cauce principal. En cada afluente también hay gran variación, como en el río Fragavella, en el que las producciones del curso bajo casi triplican los valores hallados en la parte alta del mismo río. En el curso del Masma, las producciones más bajas fueron las obtenidas en las zonas de pesca libre del tramo alto (2.3 g m-2 año-1) y del curso bajo (2.2 g m-2 año-1), mientras que en los tramos acotados de Mondoñedo y Celeiro se encontraron mayores producciones (9.9 y 11.8 g m-2 año-1, respectivamente), lo que indica que el control de la pesca en los acotados es efectivo.
La producción media fue superior a la citada por García de Jalón et al. (1990) para otros ríos gallegos, aunque dentro del rango para ríos españoles trucheros que citan Sánchez-Hernández et al. (2012). En casi todas la estaciones, los resultados de producción fueron superiores a los 5.5 g m-2 año-1 obtenidos por Almodóvar, Nicola y Suárez (2002) en ríos trucheros sometidos a presión pesquera. Según Le Cren (1972), la producción en poblaciones de salmónidos raramente excede los 12-18 g m-2 año-1, ya que la productividad de la mayor parte de los ríos no lo permite. No obstante, siguiendo a Chapman (1978), la producción puede ser mayor: en algunos ríos gallegos García de Jalón et al. (1990) obtuvieron valores por encima de 18 g m-2 año-1. García de Jalón, Tolosana-Esteban y Rodríguez-Alcalde (1986) obtuvieron una producción truchera de 18.2 a 26.8 g m-2 año-1 en el río Gállego. Lobón-Cerviá et al. (1986) obtuvieron valores superiores a los 40 g m-2 año-1 para la producción truchera en determinadas zonas de los ríos Ucero, Avión y Milanos. García de Jalón, Mayo, Hervella y Mingo (1994) encontraron también valores de esta magnitud en ciertos ríos de la Serranía de Cuenca. Estos altos valores no son infrecuentes en los ríos españoles, particularmente en aquellos de aguas calizas, predominantes en la mitad oriental de la península Ibérica. En cuanto a los ríos gallegos, de aguas ácidas en general, la producción no parece alcanzar límites tanto para los salmónidos como para el total de especies piscícolas.
Estructura de edades
El análisis de los diagramas de Petersen permitió asignar una edad media a cada cohorte de trucha, por ser esta especie la más abundante en la muestra y, por tanto, en la que fue más claramente detectable la presencia de modas o máximos relativos en los histogramas de longitudes (véase en la figura 5 un ejemplo de histograma para la estación situada a la mayor altitud de todo el estudio).

Figura 5 Distribución de la longitud furcal, con indicación aproximada de la edad que corresponde a cada rango de longitudes según la metodología de Petersen. Izquierda: población de trucha común (Salmo trutta fario) en el curso alto del río Masma (primera estación de muestreo). Derecha: muestra completa de salmón atlántico (Salmo salar).
La distribución de edades es mucho más equilibrada en los afluentes que en el río Masma, en el que escasean las truchas de las clases de edad 3+ y superiores (clases pescables). Se repite, por tanto, la situación indicada en cuanto a abundancias y producciones: estado de las poblaciones mucho más favorable en los afluentes que en el cauce principal. La gran escasez de truchas de clases pescables en algunos tramos (ríos Pedrido y Tronceda, cotos del curso medio del Masma) podría atribuirse a limitación de recursos en el hábitat, ante la que son más sensibles los peces de mayor talla y edad (Rincón & Lobón-Cerviá, 2002). Sin embargo, la caracterización del medio físico no permitió detectar restricciones al desarrollo de la trucha, por lo que la carencia de adultos puede deberse a la pesca, furtiva en ocasiones, pues hay tramos vedados, oficialmente sin presión pesquera, donde también escasean las truchas de talla pescable. Es necesario señalar que algunos tramos son muy accesibles y próximos a viviendas de pescadores ribereños habituales, que vieron interrumpida su actividad desde que se implantaron los vedados. La escasez de individuos de talla superior a la mínima legal pescable ya ha sido puesta de manifiesto con carácter general para todos los ríos y especies pescables de Galicia (Xunta de Galicia, 2005; Sánchez-Hernández et al., 2012).
Las clases de edad no pescables se ven favorecidas por la extracción por pesca de ejemplares de las clases superiores, pues dejan de ejercer depredación sobre los más pequeños, dando como resultado una mayor supervivencia del alevinaje (clase 0+), lo que permite explicar las aceptables producciones en los acotados.
La densidad de juveniles de salmón fue baja o muy baja en todas las estaciones (0.009-0.299 ind/m²), salvo en el curso alto del Valiñadares, Fragavella y Baus, lo que puede deberse en parte a la existencia de más áreas aptas para juveniles en tramos altos (mayor pendiente y mayor proporción de zonas lóticas). El diagrama de Petersen para el total de pintos capturados en la cuenca (figura 5) permite distinguir dos modas de longitud, correspondientes a los individuos de las clases de edad 0+ y 1+, no detectándose individuos de la clase 2+. Los individuos 0+ son más abundantes que los 1+, aunque las proporciones deben manejarse con precaución, dado que no se sabe qué porcentaje de los alevines 0+ migrará al mar como esguines 1+ (Xunta de Galicia, 2005).
Sólo se capturaron ejemplares adultos de reo en el curso bajo del Masma. La especie tiene probablemente en este río el mismo límite de accesibilidad que el salmón, y su área de distribución podría ser más amplia que la de éste, dado que el reo no tiene los mismos requerimientos que el salmón y puede entrar a desovar incluso en afluentes pequeños.
Relaciones longitud-edad y talla mínima pescable
Para proponer el tamaño mínimo legal de pesca se empleará el criterio de que los ejemplares hayan tenido oportunidad de reproducirse al menos una vez en su vida antes de ser capturados (García de Jalón et al., 1993). Dado que la trucha se reproduce por lo general a partir de la edad 2+ (desove en diciembre o enero; eclosión en primavera), y cuando se abre la veda es en marzo o mayo, la trucha que se reprodujo tiene entonces tres años de edad. Por tanto, la talla mínima de captura en el río Masma será la longitud que alcanza una trucha media a los tres años de edad, longitud que puede ser diferente en cada tramo de la cuenca. Además, se pretende que los cursos principales sean zonas a colonizar por ejemplares jóvenes, por lo que no conviene tener demasiados ejemplares adultos, que serían depredadores directos de los jóvenes y competirían con ellos por espacio y alimento (Hervella & Caballero, 1999).
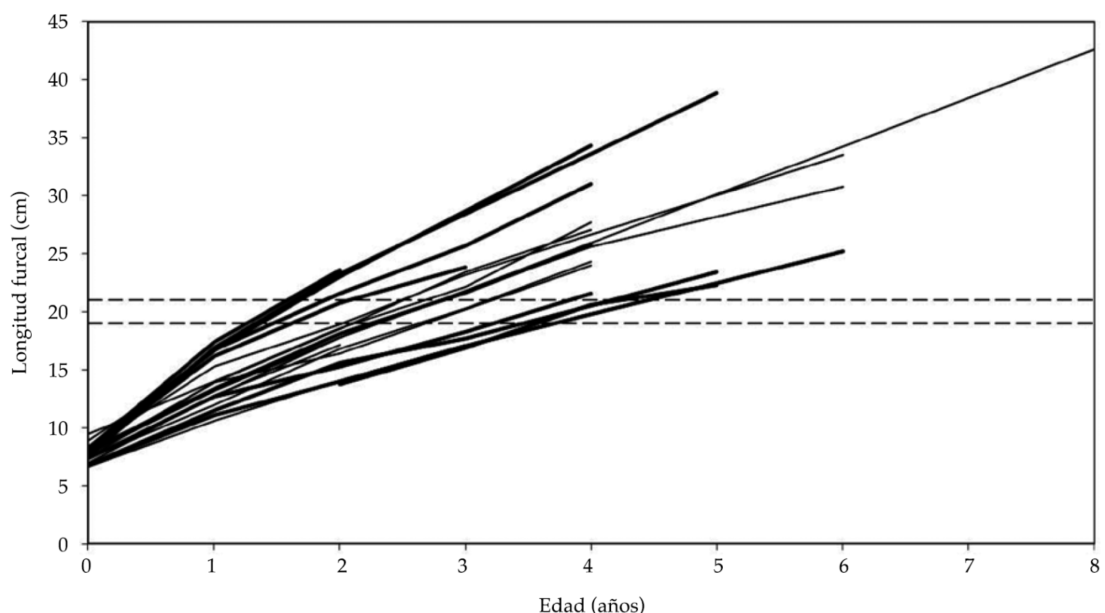
Comparando edades y longitudes medias por clase de edad, se obtuvo una familia de curvas talla-edad para la trucha (figura 6), donde se observa la escasez de individuos de más de cuatro años. Asimismo, se comprueba que para las tallas mínimas pescables que actualmente se aplican en la cuenca para la trucha común: 21 cm en los cotos de Mondoñedo y Celeiro y aguas abajo, 19 cm para el resto de la cuenca (Xunta de Galicia, 2013), los ejemplares muestreados se encuentran en un rango de edades entre 1+ y 4+ para los cotos de Mondoñedo y Celeiro, mientras que están en un rango de edades entre 1+ y 3+ para el resto de la cuenca. Es decir, se está autorizando la captura de truchas de la clase de edad 1+, que no han tenido ocasión de reproducirse antes de ser capturadas. Esto supone una presión excesiva sobre la población y probablemente se está dificultando su normal regeneración. Examinando las curvas talla-edad se comprueba que con una talla mínima de captura de 23 cm para toda la cuenca, se asegura que cualquier trucha capturada legalmente tenga al menos edad 2+ y es probable que haya tenido ocasión de reproducirse antes de la captura. La propuesta de talla mínima de captura no parece aventurada, toda vez que en la vecina cuenca del Eo, la normativa establece una talla mínima de 25 cm para la trucha (Xunta de Galicia, 2013) y existen propuestas desde hace tiempo dirigidas al mantenimiento de cohortes más numerosas de reproductores para hacer a las poblaciones de peces más resistentes a las perturbaciones y para evitar una sobreexplotación no detectada (Arlinghaus, Matsumura, & Dieckmann, 2010).

Figura 6 Relaciones longitud furcal-edad obtenidas para trucha común (Salmo trutta fario) en cada estación de muestreo de la cuenca del río Masma. En línea de trazos se indican las longitudes mínimas pescables actualmente en vigor para la zona (Xunta de Galicia, 2013).
Criterios de gestión
La masa de agua en estudio se clasifica como truchera, siendo Salmo trutta la especie piscícola más abundante y la que debe someterse a un plan de pesca, ya que los juveniles de salmón detectados no son pescables. La densidad, biomasa y producción obtenidas en la cuenca del Masma son similares o superiores a las que ofrecen otros estudios para ríos salmoneros de productividad media (García de Jalón & Schmidt, 1995; Hervella & Caballero, 1999; Almodóvar et al., 2002). Las abundancias y producciones son especialmente elevadas en los afluentes del curso principal. Cabe considerar estos afluentes tan ricos en peces como vivero de juveniles que en sus desplazamientos migratorios reforzarán las poblaciones del cauce principal, en especial en los acotados del curso medio. Este fenómeno ya ha sido apuntado para otros ríos como causa de recuperación de poblaciones trucheras (Alonso & García de Jalón, 2001; Xunta de Galicia, 2005). El desplazamiento trófico aguas abajo es esperable principalmente en la trucha, que por su carácter territorial precisa de espacios libres de competencia para sobrevivir y desarrollarse de forma adecuada.
En varios tramos del Masma se ha encontrado baja representación de truchas de longitud superior a la mínima pescable, lo que se atribuye a la incidencia de los pescadores (Xunta de Galicia, 2005) más que a la presión de depredadores naturales como Natrix sp. o Lutra lutra L., 1758. En esta situación de escasez de adultos se ve amenazada la estabilidad de las poblaciones, pues los ejemplares reproductores son los que dotan la clase de edad 0+, cuya presencia aseguraría la regeneración en el río principal (Arlinghaus et al., 2010). Con el objetivo de conservar el alevinaje, habría que reducir en afluentes la presencia de los peces de mayor tamaño, que pueden ser depredadores directos de los jóvenes.
Para toda la cuenca del río Masma se propone la restricción de la pesca de la trucha común a través de un plan de regularización de tres años de vigencia, para aumentar las poblaciones actuales y equilibrar las dotaciones por edades en los tramos acotados del curso medio. Esta duración está en consonancia con la propuesta de García de Jalón y Schmidt (1995), que recomiendan plazos de 2 o 3 años para regularizar poblaciones con estructura desequilibrada. En este caso son necesarios tres años para asegurar que parte del abundante alevinaje actual (0+) llegue a alcanzar la edad pescable (3+), nutriendo así las clases superiores, por el momento débilmente dotadas, como ya se ha indicado al analizar la estructura de edades de las cohortes. Con ello mejoraría la oferta para los pescadores (más biomasa pescable).
Las actuales zonas libres deben continuar como tales, pues reciben pocos pescadores (tramo final), al igual que el tramo Pedrido-Tronceda, debido en parte a su difícil acceso. Si se acotaran, no serían cotos muy demandados.
El plan incorpora cambios en la presión pesquera, consistentes en la supresión de los vedados de los afluentes, dada la abundancia de peces en los mismos, al tiempo que un aumento de la talla mínima pescable, tal como recomiendan García de Jalón et al. (1990), para los ríos de Galicia, manteniendo el estado actual en cuanto a periodos hábiles y artes de captura, que son los que establece la normativa vigente (Xunta de Galicia, 2013), sin restricciones adicionales. Se considera adecuado prohibir el uso de cebo natural, ya que su empleo resta eficacia a la medida de fijar una talla mínima pescable si los peces de longitud inferior mueren por las heridas que se les causa al ser capturados (Arlinghaus et al., 2007).
Basta con respetar la longitud mínima pescable propuesta para que se estabilice la población dentro del plazo de tres años fijado en el plan de regularización. La repoblación artificial es una medida a considerar (Sánchez-Hernández et al., 2012), aunque sería en este momento una solución radical e innecesaria, que perjudicaría a la población residente (García de Jalón & Schmidt, 1995).
Ante la presumible existencia de pesca furtiva de una intensidad no despreciable, se recomienda aumentar la vigilancia, sobre todo en el propio río Masma.
Con la regularización, todas las clases de edad experimentarían un incremento de biomasa y deberían efectuarse revisiones anuales, en forma de planes técnicos de pesca, para conservar la dotación de las poblaciones mediante el mantenimiento de su capacidad reproductiva, maximizando a la vez la pesca extraída (García de Jalón et al., 1993).
Conclusiones
Ante la calidad general del hábitat para los peces no son necesarias actuaciones de mejora sobre el medio natural. Las orillas son estables y se encuentran muy bien protegidas por el bosque de galería, con un dosel de copas de altura adecuada para la anchura del cauce. El índice de refugio es alto por lo general, con presencia de grandes bloques de piedra, cornisas y vegetación ribereña que sombrea el río. No obstante, la presencia de presas y demás obstáculos naturales y artificiales dificulta el desarrollo de las especies migratorias. Por otra parte, el furtivismo parece estar presente en la cuenca, sobre todo en algunos tramos vedados, que ven reducirse de un año a otro la abundancia de peces.
Dada la escasez de truchas de las clases de edad pescables en los tramos acotados del río Masma (curso medio), se propone reducir la presión pesquera en toda la cuenca, aumentando la talla mínima pescable hasta los 23 cm. Dicha restricción se pretende compensar, para no reducir la oferta a los pescadores, mediante la apertura a la pesca de los vedados en los afluentes. Con ello se busca repartir la presión pesquera sobre el territorio, aprovechando la abundante biomasa pescable de los tributarios del río Masma y utilizando éstos como recurso base para reforzar las poblaciones del cauce principal del río, en el que se respetarán los acotados actuales.
Con las medidas de gestión propuestas puede lograrse en el plazo de tres años un incremento de la biomasa total de las poblaciones de trucha y un enriquecimiento de las dotaciones de las clases de edad pescables, aumentando de ese modo la biomasa pescable lo suficiente como para atender a la demanda de los pescadores. Por el contrario, mantener la situación actual supone continuar con un aprovechamiento pesquero excesivo debido a la baja talla mínima pescable que se está aplicando, a pesar de que varios afluentes se mantengan vedados.










nueva página del texto (beta)



