Introducción
Los efectos de la variabilidad climática en los ecosistemas forestales y las capacidades de plasticidad de la vegetación confieren la necesidad de monitorear los procesos ecológicos que ahí ocurren. Por ejemplo, el cambio climático a través de variaciones extremas y continuas ha impactado en la biogeografía de la vegetación (Ackerly et al., 2010), variaciones fenológicas (Piao et al., 2019), signos de decaimiento (Gustafson y Sturtevant, 2013) y cambios en las tasas de productividad (García-Valdés et al., 2020). Estas consecuencias de vulnerabilidad evidencian la necesidad de generar información de mayor calidad y conocimiento que mejore el entendimiento de los mecanismos ecológicos que enfrentan las plantas.
En años recientes, la comunidad científica ha emprendido diversos esfuerzos enfocados a contribuir al desarrollo de la ciencia forestal. Un notable ejemplo lo constituye la aplicación de los sensores remotos ligados a variables dendroecológicas para explicar los cambios del crecimiento forestal (Babst et al., 2018; Vicente-Serrano et al., 2016). Así, en la búsqueda de refinar el conocimiento a escalas espaciales de mayor resolución y precisión, la literatura científica registra un desarrollo vertiginoso en tecnologías como los VANT (vehículos aéreos no tripulados), UAV (Unmanned Aerial Vehicle, por sus siglas en inglés), RPAS (Remotely Piloted Aircraft System, por sus siglas en inglés), o comúnmente llamados drones (ICAO, 2011). Colomina y Molina (2014) los definen como sistemas completos integrados por el vehículo aéreo no tripulado, la estación de control en tierra y el enlace de datos de comunicación. Aunado a ello, para aplicaciones de fotogrametría y teledetección estas plataformas deben acompañarse con cámaras de banda visible, del infrarrojo cercano, multiespectral, hiperespectral, térmico, láser o radar de apertura sintética.
Sin embargo, a pesar de su creciente utilización (Salamí et al., 2014; Yao et al., 2019), aún existen vacíos de información sobre la situación, tendencias y áreas de oportunidad de aplicación en estudios forestales. Además, la flexibilidad, dinamismo y diversidad de estas tecnologías geoespaciales hace imperativo su estudio continuo (Beloev, 2016). Consecuentemente, documentar y sistematizar el estado del arte sobre los principales enfoques, usos y tendencias de los VANT en los estudios científicos forestales contribuirá a potenciar los alcances en algunas líneas de investigación forestal, al usar esta plataforma (Gambella et al., 2016).
Por lo tanto, el objetivo de la presente investigación fue realizar un análisis sobre la perspectiva que ofrecen los drones aplicados en estudios forestales alrededor del mundo, por medio de una revisión exhaustiva de literatura para generar un diagnóstico situacional y áreas de oportunidad, como herramienta que ayude a seleccionar mejores parámetros para explicar los procesos ecológicos subyacentes a la dinámica de los ecosistemas.
Métodos y criterios de búsqueda
El estudio se enfocó en la revisión de artículos científicos que abordan el uso de VANT con sensores pasivos (cámaras RGB, termales, multiespectrales e hiperespectrales) en investigaciones forestales. Se realizó una búsqueda en el repositorio científico Scopus (https://www.scopus.com), debido a que diversos autores lo describen con ventajas (mayor número de revistas, documentos y citas) sobre otras bases de datos científicas (Granda-Orive et al., 2013; AlRyalat et al., 2019). El proceso de búsqueda comprendió el periodo de 2012 a 2019 con las palabras clave “UAV”, forest y forestry.
Se excluyeron los trabajos pertenecientes a la llamada “literatura gris” (tesis, memorias de congresos, folletos técnicos, etcétera), ya que esos no están sujetos a revisiones de arbitraje estricto, o no se ajustan a normas de control bibliográfico e índices de impacto.
Con la base de datos descargada de Scopus, se llevó a cabo un análisis de coautoría y redes de colaboración científica, mediante el software VOSviewer, y se consideró como mínimo dos contribuciones por autor (Van y Waltman, 2019). Este análisis ha mostrado su alta eficiencia en estudios similares (Martínez-Santiago et al., 2017).
Posteriormente, se capturó la información de los artículos científicos revisados y se sistematizó en una hoja de cálculo con los siguientes campos: referencia, año de publicación, título del artículo, revista, factor de impacto, número de citas, tasa anual de citas, número de autores, número de instituciones involucradas, país del autor por correspondencia, objetivo del estudio, campo de conocimiento, tamaño del área de estudio, vegetación y uso de suelo, clima, tipo de VANT, modelo, tipo de sensor, resolución espacial, altura de vuelo y software fotogramétrico utilizado.
Los datos se agruparon y clasificaron con el fin de facilitar la elaboración de cuadros y gráficas comparativas para cumplir con la finalidad del presente estudio.
Artículos publicados a través del tiempo y revistas con más publicaciones
La búsqueda arrojó 229 artículos en total, los cuales se filtraron para seleccionar 177 relacionados con el objetivo principal de la presente investigación (material complementario en https://cutt.ly/GrVZRmf). Los artículos considerados se publicaron de 2012 a 2019. Se observa que a partir de 2015, el aumento promedio de documentos publicados por año fue de 15.5. El año con más publicaciones fue 2019; sin embargo, el mayor incremento respecto al año anterior se registró en 2018 (Figura 1).

Figura 1 Artículos publicados sobre estudios forestales que utilizaron VANT agrupados por año de publicación, revista y factor de impacto.
La tendencia puede explicarse por al creciente mercado de los VANT en los últimos años. Los estudios de mercado proyectaron una detonación del crecimiento a partir de 2013; se estimaron USD$ 19.3 billones en 2019 y se prevén 45.8 billones USD para 2025 (Markets and Markets, 2019).
Aunado a lo anterior, Colomina y Molina (2014) informaron que el desarrollo de los VANT se triplicó de 2005 a 2014. Además, se observó un aumento relevante en el tipo de plataformas civiles / comerciales, especialmente en 2012 y 2013, categoría a la que pertenecen los VANT utilizados en los estudios forestales con sensores que proporcionan imágenes de alta resolución.
Por otro lado, los 177 estudios analizados estuvieron distribuidos en 45 revistas científicas. Destacan Remote Sensing y Forest con 70 y 21 artículos publicados, respectivamente; que en suma representan 51 % de todos los artículos analizados. Las revistas con mayor factor de impacto son Remote Sensing of Environment e ISPRS Journal of Photogrammetry and Remote Sensing con 6.457 y 6.942, respectivamente; las cuales ocupan el tercero y cuarto lugar de las revistas con más publicaciones en el tema (Figura 1).
Remote Sensing lidera el número de publicaciones, lo que es congruente con su enfoque editorial. Es una revista especializada, que publica los avances más vanguardistas en materia de tecnologías de percepción remota; su periodicidad semimensual, su alta visibilidad y rápida publicación parecen atraer a los investigadores de la materia. Igualmente, Forest es también una de las revistas más atractivas para la comunidad científica en el ámbito forestal, ya que su eficiencia en el proceso editorial y su factor de impacto constituyen una ventaja que los científicos parecen aprovechar.
Artículos más citados
Se calculó la tasa anual de citas de cada artículo y se agruparon en seis clases. Un total de 120 artículos presentaron de 0 a 5 citas por año y solo 10 artículos, más de 20 citas al año (Figura 2 y Cuadro 1).

Figura 2 Artículos publicados sobre estudios forestales que utilizaron VANT agrupados por intervalos de tasa anual de citas.
Cuadro 1 Principales artículos sobre estudios forestales que utilizaron VANT con mayor tasa anual de citas en el periodo 2012-2019.
| Referencia | Título del artículo | Revista | CT | CA |
|---|---|---|---|---|
| Nevalainen et al. (2018) | Individual Tree Detection and Classification with UAV-Based Photogrammetric Point Clouds and Hyperspectral Imaging | Remote Sensing | 86 | 43 |
| Wallace et al. (2016) | Assessment of Forest Structure Using Two UAV Techniques: A Comparison of Airborne Laser Scanning and Structure from Motion (SfM) Point Clouds | Forests | 170 | 43 |
| Wallace et al. (2012) | Development of a UAV-LiDAR system with application to forest inventory | Remote Sensing | 272 | 34 |
| Dandois y Ellis (2013) | High spatial resolution three-dimensional mapping of vegetation spectral dynamics using computer vision | Remote Sensing of Environment | 227 | 32 |
| Feng et al. (2015) | UAV Remote Sensing for Urban Vegetation Mapping Using Random Forest and Texture Analysis | Remote Sensing | 130 | 26 |
| Puliti et al. (2015) | Inventory of Small Forest Areas Using an Unmanned Aerial System | Remote Sensing | 123 | 25 |
| Näsi et al. (2015) | Using UAV-Based Photogrammetry and Hyperspectral Imaging for Mapping Bark Beetle Damage at Tree-Level | Remote Sensing | 117 | 23 |
| Cunliffe et al. (2016) | Ultra-fine grain landscape-scale quantification of dryland vegetation structure with drone-acquired structure-from-motion photogrammetry | Remote Sensing of Environment | 92 | 23 |
| Lisein et al. (2013) | A photogrammetric workflow for the creation of a forest canopy height model from small unmanned aerial system imagery | Forests | 153 | 22 |
| Dandois et al. (2015) | Optimal Altitude, Overlap, and Weather Conditions for Computer Vision UAV Estimates of Forest Structure | Remote Sensing | 103 | 21 |
CT = Citas totales; CA = Citas por año.
La alta tasa de citas de los artículos parece relacionarse con el creciente interés de la comunidad científica por los VANT. Al respecto, los artículos más citados refieren los procedimientos más vanguardistas y los principios básicos de entendimiento de estas tecnologías; por ejemplo, la técnica fotogramétrica a partir del movimiento (Structure from Motion - SfM, por sus siglas en inglés) posibilita conocer la estadística descriptiva de cada pixel y relacionarlo con variables de densidad forestal (Wallace et al., 2016; Nevalainen et al., 2018).
Análisis de coautoría y redes de colaboración científica
Los autores más notables en productividad científica sobre la utilización de los VANT en el sector forestal fueron: E. Honkavaara, con 10 publicaciones; T. Hakala, con siete; y R. Näsi, con seis. Su tasa de productividad se asoció a los ecosistemas de su área de influencia y a las instituciones de su adscripción. Notablemente, todos ellos provienen de instituciones reconocidas a nivel mundial, localizadas en Finlandia (e.g. Finnish Geospatial Research Institute, Finnish Geospatial Research Institute y National Land Survey of Finland).
El mapeo bibliométrico de las redes de colaboración científica confirmó el peso relativo de sus contribuciones en el ámbito de estudio. La red de coautoría se conformó por cinco clusters o grupos (colores) en los cuales el tamaño de los nodos representa la cantidad de artículos y el grosor de las líneas, la intensidad de la colaboración en términos de número de manuscritos (Figura 3).

Figura 3 Clusters y redes de colaboración científica en artículos publicados sobre estudios forestales que utilizaron VANT.
Los autores: E. Honkavaara (73 enlaces y 10 artículos), T. Hakala (66 enlaces y siete artículos) y J. Näsi (56 enlaces y seis artículos) constituyeron los investigadores con mayor número de redes de colaboración científica, con lo que se confirma su alta tasa de productividad (Figura 3). Esta representación evidencia un núcleo de autores centrales densamente conectado con otros miembros menos importantes, en términos de publicaciones compartidas. Su liderazgo científico también se puede atribuir a las capacidades de investigación que brindan las instituciones en las que colaboran.
Artículos publicados por país del autor por correspondencia
En la publicación de los artículos participaron autores de 34 países, de los cuales China y Estados Unidos de América reúnen el mayor número de publicaciones: 26 y 21 artículos, respectivamente. También, destacan Finlandia, Alemania, Reino Unido y Canadá, que en conjunto con China y Estados Unidos de América representan 57 % de todos los artículos analizados en el presente estudio (Figura 4).

Figura 4 Número de artículos publicados sobre estudios forestales que utilizaron VANT por país del autor de correspondencia en el periodo 2012-2020.
De acuerdo con datos de la OECD (2019), los primeros dos países (China y Estados Unidos de América) hacen la inversión más alta en investigación y desarrollo. Alemania, Reino Unido y Canadá ocupan el 4°, 7° y 11° lugar, respectivamente; lo que explica su posición a la vanguardia de nuevas tecnologías en esta área del conocimiento. Por su parte, Finlandia se caracteriza por ser un país con vocación forestal (Kotilainen y Rytteri, 2011); por ello es comprensible que se ubique entre los países con más artículos publicados en el ámbito forestal que usa estas nuevas tecnologías.
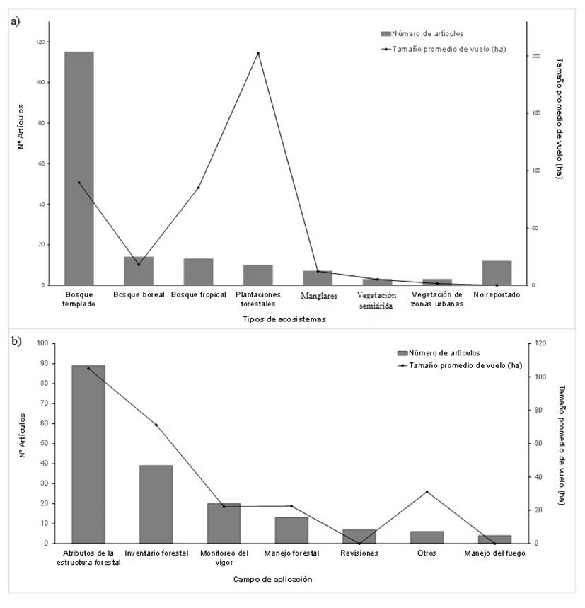
Artículos publicados por tipo de ecosistema y campo de aplicación
El tipo de ecosistema forestal más sobrevolado fue el de boques templados, con 115 artículos que representan 65 % del total de estudios analizados. Los bosques boreales fueron referidos en 14 artículos y los bosques tropicales en 13 (Figura 5a).

Figura 5 Número de artículos publicados sobre estudios forestales que utilizaron VANT y tamaño promedio de vuelo (a) por tipo de ecosistemas y (b) por campo de aplicación.
Cabe mencionar que no se encontraron estudios cuyo objetivo fuera determinar el tipo de ecosistema forestal sobrevolado con VANT. Salamí et al. (2014) estudiaron 40 artículos dedicados a monitorear áreas con vegetación, sin embargo solo distinguieron áreas agrícolas y silvestres.
El tamaño del área de vuelo promedio en los artículos analizados fue de 59.2 ha. Los bosques con mayor cobertura de vuelo promedio fueron las plantaciones forestales, con 202.4 ha; mientras que, en los bosques templados cubrieron en promedio 89.6 ha (Figura 5a).
El hecho de que en las plantaciones forestales se efectúen vuelos de mayor dimensión puede deberse a que existe interés de los técnicos y productores por llevar a cabo, en periodos cortos, monitoreos a nivel de árbol individual, asi como de parámetros con importancia silvícola: número de árboles, tamaño de copa, estimación de volumen y análisis de viabilidad (Vásquez-García et al., 2016). En ese sentido, los VANT aportan nuevas posibilidades para su estimación con mayor exactitud y menor tiempo en la obtención de datos (Chianucci et al., 2016); lo que ha contribuido al desarrollo de un nuevo método para determinar con precisión las características de los bosques y los tratamientos a nivel de rodales, subrodales o árboles individuales: la silvicultura de precisión (Holopainen et al., 2014).
Los bosques templados ofrecen ventajas para ser sobrevolados y estudiados con los VANT debido a la existencia de bajas densidades de vegetación y mayores contrastes entre estaciones a lo largo del año. Por ello, estos ecosistemas se consideran sitios ideales, porque facilitan el vínculo de modelos y relaciones alométricas con información espectral derivada de los diferentes sensores remotos (Kachamba et al., 2017; Ota et al., 2017). Dicho planteamiento es congruente con los resultados que se muestran en la Figura 4, en la cual se ilustra que la mayoría de los estudios publicados corresponden a países con este tipo de vegetación.
Por su parte, 50 % de los estudios analizados se enfocan en los atributos de la estructura forestal, con mayor aplicación a nivel de árbol individual (89 artículos). Los inventarios de masas forestales y el monitoreo de su salud involucran 39 y 20 artículos, respectivamente (Figura 5b).
En este contexto, Iglhaut et al. (2019) refieren una tendencia similar, ya que los inventarios de árboles individuales y el monitoreo de la salud del bosque fueron los más frecuentes.
El actual interés por realizar estudios exploratorios sobre el uso de los VANT para calcular atributos estructurales de los bosques responde, sin duda, a la curva de aprendizaje de las nuevas tecnologías y la necesidad de generar propuestas sobre la utilidad de tales dispositivos. En los siguientes años, es probable, que se incrementen los estudios sobre aplicaciones específicas como el manejo forestal, control de plagas, monitoreo posincendio, entre otras.
En México, existe alta preocupación sobre los incendios forestales (Zúñiga-Vásquez et al., 2017), por lo que es recomendable explorar el uso de los VANT para acciones de prevención, manejo y monitoreo de los efectos de los distintos regímenes de fuego (Ghamry et al., 2016; McKenna et al., 2017).
Tipo de sensor, altura de vuelo y resolución alcanzada
Una de las principales ventajas de los VANT respecto a las imágenes satelitales es la resolución espacial o distancia de muestreo del terreno (Ground Sample Distance, GSD por sus siglas en inglés) (Saadatseresht et al., 2015). El GSD depende del ancho del sensor de la cámara, la distancia focal y la altura de vuelo del VANT (He et al., 2012).
En el presente estudio, el GSD citado en la literatura varió de 0.4 cm a 25 cm para alturas de vuelo entre 6 m y 325 m. Sin embargo, la mayoría de los vuelos se realizaron entre 75 y 122 m de altura sobre el suelo (Figura 6). La relación esperada entre la altura de vuelo y el GSD no es lineal, debido a que se revisaron investigaciones que incluyeron cámaras termales, multiespectrales e hiperespectrales.
Tipo de VANT, modelos y software fotogramétrico más utilizados
Por el tipo de ala, el VANT más utilizado fue el multirrotor, con 117 artículos. Los de ala fija estuvieron presentes en 36 estudios, y los monorrotor en seis (Figura 7a). Tahar y Ahmad (2013) realizaron una comparación entre VANT de tipo ala fija y multirrotor y concluyeron que los VANT de ala fija permiten mayor cobertura y autonomía de vuelo, pero son más costosos que los VANT multirrotor; lo anterior puede explicar la predominancia de los últimos en los artículos revisados.

Figura 7 Estudios forestales que utilizaron VANT (a) número de artículos por tipo de ala y (b) porcentaje de estudios por software fotogramétrico utilizado.
En cuanto al origen de fabricación, los VANT ensamblados se usaron en 19 de los estudios, seguidos de los VANT comerciales eBee y Phantom 4 Pro con 13 y 10 artículos, respectivamente (Cuadro 2). Lo anterior, porque las marcas con mayor representación en el mercado ofrecen servicios y soporte para los distintos procesos dentro del flujo de trabajo (planeación del vuelo, ejecución y procesamiento de información). En contraste, los VANT ensamblados requieren que de manera paralela se desarrollen programas y herramientas para su manufactura (Shaqura y Shamma, 2017).
Cuadro 2 Los 10 modelos de VANT más utilizados en los estudios forestales analizados en el periodo 2012-2019.
| Modelo de VANT | Número de artículos |
|---|---|
| Ensambled UAV platform | 19 |
| eBee | 13 |
| DJI Phantom 4 Pro | 10 |
| DJI Phantom 4 | 7 |
| Tarot 960 | 7 |
| DJI Matrice 600 Pro | 6 |
| Mikrokopter | 6 |
| DJI Phantom 3 Pro | 5 |
| DJI Phantom 2 | 4 |
| DJI Phantom 3 | 4 |
El software para fotogrametría con VANT PhotoScan dominó ampliamente la preferencia de los investigadores, estuvo presente en 72 % de los casos, seguido de Pix4D mapper en 23 %. El grupo de software libre y de código abierto solo se registró en 3 % de los estudios, grupo que incluye a MicMac, OpenCV libraries, OpenDroneMap y UAV-HiRAP (Figura 7b).
En cuanto a la calidad de productos fotogramétricos que generan los softwares, algunos trabajos registran que no existen diferencias significativas entre los resultados obtenidos con PhotoScan y Pix4D mapper (Georgopoulos et al., 2016; Alidoost y Arefi, 2017; Burns y Delparte, 2017). No obstante, Sona et al. (2014) concluyeron que con PhotoScan se lograron resultados más confiables y mejores productos en áreas planas y en presencia de sombras, en comparación con otros productos.
Es probable que los investigadores prefieran PhotoScan y Pix4D mapper porque ofrecen una interface y flujo de trabajo más amigable para el usuario. Sin embargo, existen pocas opciones de personalizar los procesamientos (Niederheiser et al., 2016).
Moutinho (2015) comparó software fotogramétrico de propietario contra software libre. Entre sus hallazgos resultó que el segundo, MicMac, posee algunas características superiores (excelente precisión planimétrica y personalización de procesos propios), aunque su principal desventaja fue tiempo de procesamiento.
Conclusiones
Las características inherentes de los VANT ofrecen un alto potencial que los convierte en herramientas estratégicas con futuro promisorio para la gestión forestal. El desarrollo de la tecnología en el sector forestal tiene larga historia; sin embargo, con la aparición de los VANT ha experimentado un vertiginoso desarrollo, en particular durante los últimos cinco años. La creación de redes de colaboración de autorías, lideradas por científicos finlandenses ha resultado estratégica para potenciar su desarrollo. La divulgación del conocimiento se realiza a través de revistas especializadas de rápida difusión y alto factor de impacto, principalmente en temas relacionados con la estructura forestal. Se vislumbran áreas de oportunidad para su aplicación en manejo, silvicultura de precisión y protección. Por su biogeografía, México es idóneo para desarrollar conocimiento en este ámbito, aunque es apremiante fortalecer la formación de recursos humanos en dichas tecnologías.










texto en 



