Introducción
Los trabajadores forestales de la industria del aserrío, especialmente en los países en desarrollo, enfrentan desafíos de prevención y control de riesgos y enfermedades en el lugar de trabajo, pues laboran largas horas en entornos estresantes (Diwe et al., 2016); expuestos a peligros de diferente naturaleza como: falta de protección tanto de las personas como de las máquinas, falta de evaluación y supervisión de riesgos en los puestos de trabajo, métodos para la ejecución de sus labores inseguros, entre otros (Chinniah, 2015).
En teoría, los operarios deben estar atentos a su entorno laboral para crear modelos cognitivos asociados con la seguridad y regular sus acciones, mediante prácticas de comportamiento que les permitan mantenerse en un ambiente seguro (Varonen y Mattila, 2000). Pero las percepciones hacia temas de salud y seguridad en el trabajo se han ignorado, en gran medida porque se les atribuye como una pérdida de tiempo; sin embargo, está claro que la identificación y medición de los precursores de accidentes representan una herramienta de gestión proactiva poderosa para el análisis del clima de seguridad en los puestos de trabajo (Coyle et al., 1995).
Dado que la industria manufacturera de la madera se enfoca, principalmente, en la producción, a menudo existen conflictos entre la productividad y la seguridad de los empleados; los efectos sugieren que un mayor énfasis en la productividad se relaciona con un número elevado de incidentes (Evans et al., 2005); sin embargo, se presta poca o ninguna atención a las diversas condiciones de trabajo relacionadas con las buenas prácticas de seguridad (Kwame et al., 2014).
El propósito primordial en la medición de la seguridad en las empresas es desarrollar estrategias de intervención para evitar futuros accidentes. En ese sentido, reconocer las señales antes de que ocurra un percance ofrece la posibilidad de mejorar la seguridad (Grabowski et al., 2007); por lo que es importante resaltar que los empleadores y otros actores que participan en el sector manufacturero forestal deben apoyar las medidas necesarias para garantizar el cumplimiento de las normas de seguridad, así como el bienestar de los trabajadores para mantener una fuerza laboral saludable productiva y resiliente (Adebola, 2014; Mylek y Schirmer, 2015).
La medición de actos seguros e inseguros se basa en el método de evaluación del comportamiento con enfoque a la seguridad laboral y gestión ambiental, la cual se centra en el comportamiento de los empleados como la causa de la mayoría de las lesiones, enfermedades y degradación ambiental relacionadas con el trabajo (Fleming y Lardner, 2001). La observación de conductas seguras e inseguras se utiliza en muchas empresas para la detección de actos inseguros vinculados a los accidentes personales o industriales y al diseño de estrategias de intervención, cuya aplicación en ambientes naturales requiere de mucha rigurosidad, tanto en la elaboración de los instrumentos de evaluación como en su aplicación (Castilla, 2012).
En los aserraderos de la región de El Salto, Pueblo Nuevo, Durango se desconocen las prácticas de seguridad que se llevan a cabo en los puestos de trabajo, por lo que el objetivo de este estudio es determinar el porcentaje de comportamiento seguro por parte de los trabajadores en el uso de equipo de protección personal (EPP) y las condiciones de seguridad de los puestos de trabajo en 11 aserraderos de esa importante región forestal, y hacer que dicha herramienta se convierta en un instrumento de diagnóstico valioso y de empleo frecuente que ayude a la identificación de elementos de riesgo, para con ello garantizar una mejora continua del estado de seguridad en los aserraderos, a partir de la reducción de los riesgos laborales y sus consecuencias.
Materiales y Métodos
Descripción del área de estudio
La presente investigación se realizó en el municipio Pueblo Nuevo del estado de Durango, México; en el análisis, se consideraron 11 aserraderos de los cuales seis producen madera aserrada de largas dimensiones mediante torres verticales para sierras banda de 127.00 a 254.00 mm (5 a 10") de ancho de diversas marcas como MAQPARSA ®, HULMAQ ® modelo 54x8, TROSA®, Talleres Herrera Durango, industria metalmecánica así como una sierra principal horizontal marca BAKER BP DOMINATOR™ modelo 3650E para cintas de corte delgado de 1.5” (3.81 cm) de ancho; la separación de la madera aserrada se hace con base en seis categorías de calidad, gruesos y largos nominales o se comercializa como mil-run (mezcla de clases) (Nájera-Luna et al., 2011); los otros cinco aserraderos producen componentes para tarimas, para lo cual utilizan sierras verticales para cintas de 4.13 cm (1⅝”) de ancho de las marcas HULMAQ ®, TROSA ® modelo -B-, Tinajero, Industrias Mecánicas S.A modelo A-21 y reconstruídas, así como sierras múltiple HULMAQ ® horizontales que usan cintas de corte de 3.18 cm (1¼”) de ancho (Haro et al., 2015). El equipo humano que ocupa los diferentes puestos de trabajo en cada aserradero y las observaciones realizadas en cada uno de ellos se presentan en el Cuadro 1.
Cuadro 1 Puestos de trabajo y observaciones analizadas por aserradero.
| Aserradero | OP | AOP | AG | OIET | OIEPP |
|---|---|---|---|---|---|
| La Victoria | 7 | 7 | 3 | 56 | 182 |
| El Diamante | 3 | 3 | 3 | 53 | 178 |
| García | 3 | 3 | 2 | 42 | 177 |
| Quintana I | 4 | 4 | 2 | 54 | 176 |
| Pueblo Nuevo | 2 | 2 | 1 | 48 | 172 |
| Quintana II | 4 | 4 | 2 | 54 | 186 |
| La Peña | 11 | 2 | 1 | 56 | 182 |
| El Potro | 4 | 3 | 2 | 54 | 189 |
| PROMADESA | 4 | 2 | 2 | 56 | 168 |
| Gil Meza | 4 | 2 | 2 | 56 | 168 |
| San Francisco | 4 | 4 | 2 | 60 | 180 |
| Total | 50 | 36 | 22 | 589 | 1 958 |
OP = Operador de maquinaria y equipo; AOP = Ayudante de operador; AG = Ayudante general; OIET = Observaciones en la inspección de la estación de trabajo; OIEPP = Observaciones en la inspección del uso de equipo de protección personal.
Como operadores se consideraron a todos los trabajadores que desempeñan puestos de mayor especialización y en los que la toma de decisiones es prioridad, incluyen: los motosierristas, aserradores, operadores de péndulo, trocero, trimmer, desorilladora, cuarteadora, reaserradora y montacargas; los ayudantes de operador correspondieron a todo aquel trabajador que recibe la indicación directa del operador principal de cada tipo de maquinaria; mientras que, los ayudantes generales fueron aquellas personas que se encargan, principalmente, de labores de limpieza, orden, distribución y acomodo de la materia prima y materiales diversos.
Comportamientos seguros y no seguros
Se recolectaron datos por medio de observaciones directas en cada uno de los puestos de trabajo en los 11 aserraderos, para documentar los comportamientos seguros y no seguros mediante la aplicación de dos listas de verificación generadas a partir de la NOM-017-STPS-2008 (STPS, 2008), relativa al uso y manejo en los centros de trabajo del equipo de protección personal; así como de la guía para la evaluación del cumplimiento de la normatividad en seguridad y salud en el trabajo 2015 (STPS, 2015), para evaluar las condiciones de seguridad en los puestos de trabajo. En la primera se incluyó la frecuencia en el uso de EPP por parte de los trabajadores, y la segunda contempló la seguridad del puesto de trabajo.
El muestreo se realizó durante el periodo de mayo a junio de 2018 en tres momentos aleatorios del día (mañana, mediodía y tarde) y lo más impredecible posible a lo largo del período de observación, para evitar un sesgo en los resultados y que las personas se comportaran de manera segura solo durante el período de la evaluación (Lane y Bachmann, 1998).
Para obtener el porcentaje de ejecución de prácticas seguras, un observador entrenado registró los actos seguros y no seguros mostrados por el trabajador, mediante la aplicación de las listas de verificación. La estimación del porcentaje de conductas seguras se realizó con base en lo sugerido por Glendon y Litherland (2001), de acuerdo a la relación matemática 1:
Donde:
Gráficos de control de seguridad
Los gráficos de control de seguridad llamados también diagramas de control de resultados del comportamiento (DCRC), se elaboraron siguiendo la técnica recomendada por Mejías-Herrera y Fernández-Clúa (2001), que consiste en la estimación de los límites de control superior e inferior para comportamientos seguros y no seguros mediante, para ello se aplicaron las expresiones 2 y 3:
Donde:
2 = Veces la desviación estándar para 95 % de confiabilidad
Análisis estadístico
Con los datos recopilados se elaboraron tablas cruzadas o de contingencia que incluyeron frecuencias y porcentajes dentro de las categorías evaluadas. Se utilizaron, además, pruebas no paramétricas de Chi-cuadrado para determinar la asociación e independencia del grado de relación entre dos variables categóricas (Janicak, 2007). Para esto, se usaron tanto el método asintótico como la prueba exacta de Fisher, siempre que más de 20 % de las frecuencias esperadas tuvieran valores menores a 5 (Sharpe, 2015). La variable categórica correspondiente al tipo de puesto laboral (operadores, ayudantes de operador y ayudantes generales), se relacionó con cada uno de los ítems de las listas de verificación sobre seguridad del puesto de trabajo; así como con la frecuencia en el uso de EPP (manos, oídos, ojos, nariz, cuerpo y pies) y con los aserraderos bajo estudio. Los datos se analizaron con el paquete estadístico SPSS ver. 19 (IBM Corp., 2010).
Resultados y Discusión
Prácticas de comportamiento seguro en el uso de EPP por puesto laboral
Los resultados mostraron que el porcentaje de comportamiento seguro en los trabajadores de los aserraderos de la región de El Salto, Durango es sumamente bajo sobre todo en la protección auditiva, de ojos, aparato respiratorio, cabeza y cuerpo. El uso de guantes de protección durante el desarrollo de sus actividades laborales registró un porcentaje promedio de comportamiento seguro de 72 %; aunque se esperaría que los operadores de maquinaria y equipo utilizaran con mayor frecuencia los guantes de protección, son los ayudantes de operador quienes mostraron el mejor comportamiento seguro al hacer uso de este equipo (82 %). Los dispositivos para mitigar el ruido de las máquinas junto al uso de mascarillas para reducir la inhalación de polvo de aserrín y humo resultaron ser los menos empleados, con un comportamiento seguro de apenas 6 % y 0.8 %, respectivamente. La protección facial tuvo un comportamiento seguro de 19 %; para la protección de la cabeza fue de 8 %; para los pies de 60 % y para el cuerpo de 47 %. De los siete ítems evaluados en la lista de verificación aplicada a la observación del comportamiento seguro de los trabajadores, cinco mostraron relación con los puestos de trabajo (p<0.05) y solo la frecuencia en el uso de dispositivos para la protección del aparato respiratorio y el equipo para la protección del cuerpo no evidenciaron relación con los puestos de trabajo (p>0.05) (Cuadro 2).
Cuadro 2 Prácticas de comportamiento seguro en el uso de EPP.
| Ítem | Puesto de trabajo | p* | ||
|---|---|---|---|---|
| Operador de equipo | Ayudante de operador | Ayudante general | ||
| Frecuencia en el uso de guantes de protección en el puesto de trabajo n (%) | ||||
| Si | 579 (29.6) | 601 (30.7) | 242 (12.4) | 0.0001* |
| No | 269 (13.7) | 134 (6.8) | 133 (6.8) | |
| CS (%) | 68.28 | 81.77 | 64.53 | |
| Frecuencia en el uso de dispositivos de protección auditiva en el puesto de trabajo n (%) | ||||
| Si | 53 (2.7) | 82 (4.2) | 7 (0.4) | 0.0001* |
| No | 795 (40.6) | 653 (33.4) | 368 (18.8) | |
| CS (%) | 6.25 | 11.16 | 1.87 | |
| Frecuencia en el uso de dispositivos de protección facial en el puesto de trabajo n (%) | ||||
| Si | 190 (9.7) | 194 (9.9) | 33 (1.7) | 0.0001* |
| No | 658 (33.6) | 541 (27.6) | 342 (17.5) | |
| CS (%) | 22.41 | 26.39 | 8.8 | |
| Frecuencia en el uso de dispositivos de protección respiratoria en el puesto de trabajo n (%) | ||||
| Si | 8 (0.9) | 7 (0.4) | 2 (0.1) | 0.7390 |
| No | 840 (42.9) | 728 (37.2) | 373 (19.1) | |
| CS (%) | 0.94 | 0.95 | 0.58 | |
| Frecuencia en el uso de protección de la cabeza en el puesto de trabajo n (%) | ||||
| Si | 93 (4.7) | 40 (2.0) | 32 (1.6) | 0.0001* |
| No | 755 (38.6) | 695 (35.5) | 343 (17.5) | |
| CS (%) | 10.97 | 5.44 | 8.53 | |
| Frecuencia en el uso de protección a los pies en el puesto de trabajo n (%) | ||||
| Si | 578 (29.5) | 452 (23.1) | 184 (9.4) | 0.0001* |
| No | 270 (13.8) | 283 (14.5) | 191 (9.8) | |
| CS (%) | 68.16 | 61.50 | 49.07 | |
| Frecuencia en el uso de protección al cuerpo en el puesto de trabajo n (%) | ||||
| Si | 423 (21.6) | 328 (16.8) | 175 (8.9) | 0.1090 |
| No | 425 (21.7) | 407 (20.8) | 200 (10.2) | |
| CS (%) | 49.88 | 44.63 | 46.67 | |
*Prueba de Chi2, significativo (p<0.05). CS = Comportamiento seguro
Lo anterior se explica con el argumento de Meliá (2007), quien manifiesta que a pesar de que las personas pueden y saben cómo trabajar seguras, optan con frecuencia por comportamientos inseguros. Esto se constató en los aserraderos evaluados, ya que a pesar de que algunos trabajadores disponen de equipos de protección personal, no los utilizan de modo habitual; ello obedece a que la gerencia no exige, ni alienta a sus empleados a promover un comportamiento laboral seguro, tanto en su persona como en la estación de trabajo. De acuerdo con Ocon y McFarlane (2007) estimular al trabajador a adquirir hábitos de seguridad, consiste en otorgar incentivos a quienes realicen frecuentemente prácticas de comportamiento seguro, de tal forma que con estos refuerzos positivos sea posible aumentar la probabilidad de que se repitan, aprendan y repliquen, para así disminuir los actos inseguros.
Sin embargo, en la región bajo estudio, los incentivos solo se aplican en función de la productividad a costa de la seguridad, por lo que el comportamiento inseguro de los trabajadores tal vez es fomentado, porque han sido recompensados para hacerlo (Sawacha et al., 1999). Es común observar a algunos empleados realizar actos inseguros o bien que no utilicen el equipo de protección personal, quizás para mostrar su autoestima alentados por sus compañeros, o para evitar molestias e incomodidades durante el desempeño de sus labores. Por estas razones, los incentivos de producción deben otorgarse de manera compatible con un buen desempeño de seguridad (Choudhry y Fang, 2008).
Prácticas de comportamiento seguro en el uso de EPP por aserradero
Destacan los aserraderos: a) La Victoria, con el mayor porcentaje en el uso de protección en las manos, al utilizar guantes (90 %) y protección auricular (26 %); b) Promadesa, con el uso de gafas de seguridad para protección de los ojos (67 %); c) La Peña, por el uso de mascarillas para la protección del aparato respiratorio (7 %), casco de seguridad (86 %) y protectores para el cuerpo como fajas, pecheras y vestimenta gruesa (78 %); d) en el aserradero Quintana I resaltó el uso de calzado industrial (97 %). De lo anterior, se confirma que los actos inseguros en los que incurren los trabajadores en los aserraderos de la región de El Salto, Durango es la ausencia de mascarillas de protección contra el humo y polvos de aserrín (99 %); de protectores contra el ruido (94 %); del casco industrial (90 %); gafas de seguridad (80 %); fajas, pecheras y vestimenta gruesa para el cuerpo (50 %); calzado industrial (39 %) y guantes de protección (26 %) (Cuadro 3).
Cuadro 3 Porcentaje de comportamiento seguro en el uso de EPP por aserradero.
| Puesto de trabajo | Aserradero* | ||||||||||
|---|---|---|---|---|---|---|---|---|---|---|---|
| ED | AG | GM | LP | LV | EP | PM | PN | Q1 | Q2 | SF | |
| Comportamiento seguro en el uso de guantes de protección (%) | |||||||||||
| Operador | 66.10 | 69.49 | 70.24 | 54.55 | 83.56 | 54.76 | 39.29 | 69.09 | 92.54 | 80.88 | 93.06 |
| Ayudante operador | 64.20 | 70.79 | 80.95 | 92.31 | 87.50 | 100.00 | 95.24 | 80.26 | 80.25 | 94.32 | 72.22 |
| Ayudante general | 52.63 | 68.97 | 69.05 | 100.00 | 100.00 | 58.73 | 59.52 | 53.66 | 82.14 | 66.67 | 55.56 |
| Promedio | 60.98 | 69.75 | 73.41 | 82.28 | 90.35 | 71.16 | 64.68 | 67.67 | 84.98 | 80.62 | 73.61 |
| Desv. std. | 7.29 | 0.94 | 6.56 | 24.33 | 8.58 | 25.05 | 28.33 | 13.36 | 6.62 | 13.83 | 18.79 |
| Comportamiento seguro en el uso de protectores auditivos contra el ruido (%) | |||||||||||
| Operador | 3.39 | 13.56 | 0.00 | 4.90 | 16.44 | 0.00 | 0.00 | 34.55 | 7.46 | 0.00 | 0.00 |
| Ayudante operador | 14.81 | 0.00 | 0.00 | 15.38 | 62.50 | 0.00 | 0.00 | 0.00 | 7.41 | 0.00 | 0.00 |
| Ayudante general | 0.00 | 3.45 | 0.00 | 0.00 | 0.00 | 0.00 | 0.00 | 0.00 | 17.86 | 3.33 | 0.00 |
| Promedio | 6.07 | 5.67 | 0.00 | 6.76 | 26.31 | 0.00 | 0.00 | 11.52 | 10.91 | 1.11 | 0.00 |
| Desv. std. | 7.76 | 7.05 | 0.00 | 7.86 | 32.40 | 0.00 | 0.00 | 19.94 | 6.02 | 1.92 | 0.00 |
| Comportamiento seguro en el uso de gafas de seguridad (%) | |||||||||||
| Operador | 35.59 | 5.08 | 50.00 | 4.90 | 0.00 | 3.57 | 64.29 | 0.00 | 35.82 | 1.47 | 50.00 |
| Ayudante operador | 17.28 | 32.58 | 45.24 | 0.00 | 0.00 | 0.00 | 92.86 | 2.63 | 23.46 | 20.45 | 75.00 |
| Ayudante general | 2.63 | 0.00 | 19.05 | 0.00 | 0.00 | 0.00 | 42.86 | 2.44 | 3.57 | 0.00 | 11.11 |
| Promedio | 18.50 | 12.56 | 38.10 | 1.63 | 0.00 | 1.19 | 66.67 | 1.69 | 20.95 | 7.31 | 45.37 |
| Desv. std. | 16.51 | 17.53 | 16.67 | 2.83 | 0.00 | 2.06 | 25.08 | 1.47 | 16.27 | 11.41 | 32.20 |
| Comportamiento seguro en el uso de mascarillas de seguridad (%) | |||||||||||
| Operador | 0.00 | 0.00 | 0.00 | 5.59 | 0.00 | 0.00 | 0.00 | 0.00 | 0.00 | 0.00 | 0.00 |
| Ayudante operador | 0.00 | 0.00 | 0.00 | 7.69 | 0.00 | 0.00 | 0.00 | 0.00 | 3.70 | 0.00 | 2.78 |
| Ayudante general | 0.00 | 0.00 | 0.00 | 7.69 | 0.00 | 0.00 | 0.00 | 2.44 | 0.00 | 0.00 | 0.00 |
| Promedio | 0.00 | 0.00 | 0.00 | 6.99 | 0.00 | 0.00 | 0.00 | 0.81 | 1.23 | 0.00 | 0.93 |
| Desv. std. | 0.00 | 0.00 | 0.00 | 1.21 | 0.00 | 0.00 | 0.00 | 1.41 | 2.14 | 0.00 | 1.60 |
| Comportamiento seguro en el uso de casco industrial de seguridad (%) | |||||||||||
| Operador | 1.69 | 0.00 | 0.00 | 64.34 | 0.00 | 0.00 | 0.00 | 0.00 | 0.00 | 0.00 | 0.00 |
| Ayudante operador | 1.23 | 0.00 | 0.00 | 100.00 | 12.50 | 0.00 | 0.00 | 0.00 | 0.00 | 1.14 | 0.00 |
| Ayudante general | 50.00 | 0.00 | 0.00 | 92.31 | 0.00 | 0.00 | 0.00 | 2.44 | 0.00 | 0.00 | 0.00 |
| Promedio | 17.64 | 0.00 | 0.00 | 85.55 | 4.17 | 0.00 | 0.00 | 0.81 | 0.00 | 0.38 | 0.00 |
| Desv. std. | 28.02 | 0.00 | 0.00 | 18.77 | 7.22 | 0.00 | 0.00 | 1.41 | 0.00 | 0.66 | 0.00 |
| Comportamiento seguro en el uso de calzado industrial (%) | |||||||||||
| Operador | 79.66 | 81.36 | 57.14 | 100.00 | 32.88 | 0.00 | 58.33 | 100.00 | 94.03 | 98.53 | 47.22 |
| Ayudante operador | 35.80 | 95.51 | 23.81 | 100.00 | 50.00 | 0.00 | 61.90 | 86.84 | 98.77 | 81.82 | 13.89 |
| Ayudante general | 60.53 | 72.41 | 30.95 | 100.00 | 0.00 | 0.00 | 80.95 | 41.46 | 100.00 | 93.33 | 38.89 |
| Promedio | 58.66 | 83.09 | 37.30 | 100.00 | 27.63 | 0.00 | 67.06 | 76.10 | 97.60 | 91.23 | 33.33 |
| Desv. std. | 21.99 | 11.64 | 17.55 | 0.00 | 25.41 | 0.00 | 12.16 | 30.71 | 3.15 | 8.55 | 17.35 |
| Comportamiento seguro en el uso de pecheras, fajas y vestimenta gruesa (%) | |||||||||||
| Operador | 62.71 | 1.69 | 64.29 | 58.74 | 50.68 | 46.43 | 53.57 | 3.64 | 73.13 | 61.76 | 45.83 |
| Ayudante operador | 20.99 | 16.85 | 47.62 | 100.00 | 75.00 | 54.76 | 50.00 | 39.47 | 40.74 | 45.45 | 43.06 |
| Ayudante general | 52.63 | 44.83 | 4.76 | 76.92 | 100.00 | 33.33 | 80.95 | 46.34 | 64.29 | 73.33 | 8.33 |
| Promedio | 45.44 | 21.13 | 38.89 | 78.55 | 75.23 | 44.84 | 61.51 | 29.82 | 59.39 | 60.18 | 32.41 |
| Desv. std. | 21.77 | 21.88 | 30.71 | 20.68 | 24.66 | 10.80 | 16.93 | 22.93 | 16.74 | 14.01 | 20.89 |
*ED = El Diamante, AG = Aserradero García, GM = Gil Meza, LP = La Peña, LV = La Victoria, EP = El Potro, PM =P ROMADESA, PN = Pueblo Nuevo, Q1 = Quintana I, Q2 = Quintana II, SF = San Francisco.
Es importante mencionar que en los aserraderos es común que los trabajadores nuevos o jóvenes repliquen el comportamiento y los vicios de los que tienen mayor antigüedad; distan mucho de guardar comportamientos seguros, por lo que son más propensos a sufrir percances, y solo con el tiempo y la ocurrencia de lesiones o accidentes es como adquieren conciencia sobre la importancia de mantener comportamientos seguros en el trabajo (Bello y Mijinyawa, 2010).
Condiciones de seguridad en los puestos de trabajo
Se observó que 13 de los 16 ítems evaluados sobre las condiciones de seguridad en los aserraderos tuvieron relación con la categoría de los puestos de trabajo (p<0.05). El porcentaje de condiciones de seguridad por estación de labor se considera muy bajo en función de que 14 de los 16 ítems tuvieron la mayor cantidad de condiciones inseguras. En orden decreciente, el porcentaje de condiciones seguras registradas lo encabezan los aspectos de ventilación y disponibilidad de luz adecuados en el puesto de trabajo (98 y 95 %, respectivamente); mantener las zonas de tránsito de materiales libres de obstáculos (60 %); la comodidad (56 %); mantener el área de trabajo libre de obstáculos para evitar caídas y tropiezos (53 %); la protección de bordes afilados en maquinaria y equipo (48 %); estación de trabajo ordenada y limpia (29 %); limpieza en pasillos y vías de tránsito de personas (27 %); la protección en conductores eléctricos (27 %); guardas de seguridad en partes móviles de maquinaria y equipo (24 %); pasillos debidamente demarcados (17 %); existencia de extintores (14 %); uso de EPP completo (13 %); adecuada señalización del área (12 %); señalización de tomacorrientes (8 %) y presencia de rótulos de advertencia (1 %). En términos generales el porcentaje de actos seguros resultó superior en las estaciones de trabajo de los operadores (41 %), seguido por las de los ayudantes de operador (35 %) y finalmente en las de los ayudantes generales (33 %) (Cuadro 4).
Cuadro 4 Condiciones de seguridad por puesto de trabajo.
| Ítem | Puesto de trabajo | p* | ||
|---|---|---|---|---|
| Operador de equipo | Ayudante de operador | Ayudante general | ||
| Adecuada señalización en el área de trabajo n (%) | ||||
| Si | 44 (7.5) | 24 (4.1) | 8 (1.4) | 0.0030* |
| No | 209 (35.5) | 165 (28.0) | 139 (23.6) | |
| CS (%) | 17.39 | 12.70 | 5.44 | |
| Existencia de extintores en el área de trabajo n (%) | ||||
| Si | 34 (5.8) | 36 (6.1) | 14 (2.4) | 0.0410* |
| No | 219 (37.2) | 153 (26.0) | 133 (22.6) | |
| CS (%) | 13.44 | 19.05 | 9.52 | |
| Área de trabajo libre de obstáculos sin peligro de caída y tropiezos n (%) | ||||
| Si | 150 (25.5) | 109 (18.5) | 62 (10.5) | 0.0020* |
| No | 103 (17.5) | 80 (13.6) | 85 (14.4) | |
| CS (%) | 59.29 | 57.67 | 42.18 | |
| Adecuada iluminación en el puesto de trabajo n (%) | ||||
| Si | 234 (39.7) | 184 (31.2) | 142 (24.1) | 0.0400* |
| No | 19 (3.2) | 5 (0.8) | 5 (0.8) | |
| CS (%) | 92.49 | 97.35 | 95.95 | |
| Adecuada ventilación en el puesto de trabajo n (%) | ||||
| Si | 250 (42.4) | 186 (31.6) | 144 (24.4) | 0.7950 |
| No | 3 (0.5) | 3 (0.5) | 3 (0.5) | |
| CS (%) | 98.81 | 98.41 | 97.96 | |
| Guardas de protección a partes móviles de maquinaria y equipo n (%) | ||||
| Si | 53 (9.0) | 24 (4.1) | 26 (4.4) | 0.0001* |
| No | 162 (27.5) | 156 (26.5) | 48 (8.1) | |
| CS (%) | 24.65 | 13.33 | 35.14 | |
| Protección de bordes afilados en maquinaria y equipo n (%) | ||||
| Si | 133 (22.6) | 69 (11.7) | 32 (5.4) | 0.0001* |
| No | 104 (17.7) | 99 (16.8) | 36 (6.1) | |
| CS (%) | 56.12 | 41.07 | 47.06 | |
| Protección a conductores eléctricos n (%) | ||||
| Si | 74 (12.6) | 29 (4.9) | 19 (3.2) | 0.0001* |
| No | 129 (21.9) | 126 (21.4) | 55 (9.3) | |
| CS (%) | 36.45 | 18.71 | 25.68 | |
| Señalización de tomacorrientes n (%) | ||||
| Si | 26 (4.4) | 12 (2.0) | 2 (0.3) | 0.0001* |
| No | 177 (30.1) | 148 (25.1) | 70 (11.9) | |
| CS (%) | 12.81 | 7.50 | 2.78 | |
| Comodidad del puesto para realizar las actividades n (%) | ||||
| Si | 154 (26.1) | 97 (16.5) | 82 (13.9) | 0.1310 |
| No | 99 (16.8) | 92 (15.6) | 65 (11.0) | |
| CS (%) | 60.87 | 51.32 | 55.78 | |
| Uso completo del EPP proporcionado por la gerencia n (%) | ||||
| Si | 47 (8.0) | 13 (2.2) | 18 (3.1) | 0.0001* |
| No | 206 (35.0) | 176 (29.9) | 129 (21.9) | |
| CS (%) | 18.58 | 6.88 | 12.24 | |
| Área de trabajo ordenada y limpia n (%) | ||||
| Si | 92 (15.6) | 53 (9.0) | 32 (5.4) | 0.0070* |
| No | 161 (27.3) | 136 (23.1) | 115 (19.5) | |
| CS (%) | 36.36 | 28.04 | 21.77 | |
| Presencia de rótulos de advertencia en la estación de trabajo n (%) | ||||
| Si | 3 (0.5) | 4 (0.7) | 2 (0.3) | 0.7190 |
| No | 250 (42.4) | 185 (31.4) | 145 (24.6) | |
| CS (%) | 1.19 | 0.23 | 1.36 | |
| Limpieza de pasillos y vías de tránsito de personas n (%) | ||||
| Si | 89 (15.1) | 43 (7.3) | 35 (5.9) | 0.0060* |
| No | 164 (27.8) | 146 (24.8) | 112 (19.0) | |
| CS (%) | 35.18 | 22.75 | 23.81 | |
| Pasillos debidamente demarcados n (%) | ||||
| Si | 54 (9.2) | 35 (5.9) | 10 (1.7) | 0.0010* |
| No | 199 (33.8) | 154 (26.1) | 137 (23.3) | |
| CS (%) | 24.22 | 18.52 | 6.80 | |
| Zonas de transito de materiales libres de obstáculos n (%) | ||||
| Si | 105 (17.8) | 61 (10.4) | 43 (7.3) | 0.0250* |
| No | 148 (25.1) | 128 (21.7) | 104 (17.7) | |
| CS (%) | 68.16 | 61.5 | 49.07 | |
*Prueba de Chi2, significativo (p<0.05); CS = Comportamiento seguro.
En los aserraderos de la región de El Salto Durango es común observar a los trabajadores realizar sus actividades bajo condiciones de seguridad cuestionables, sobre todo en la parte de señalización visual que advierta sobre riesgos potenciales en las estaciones de trabajo, otra situación frecuentemente observada se refiere a la disponibilidad de maquinaria, herramientas y medios razonablemente seguros, que no prestan atención a realizar sus actividades de modo seguro, pues utilizan atajos, evitan protocolos de seguridad, eliminan, suprimen, inutilizan o deshabilitan protecciones y medios de seguridad, emplean herramientas para fines no adecuados o no colocan elementos de protección esenciales en zonas de riesgo (Meliá, 2007).
Desde el punto de vista del capital humano, Berkhout y Damen (2016) señalan que las labores requieren habilidades y los trabajadores las poseen y en el proceso de contratación, los empleadores intentan adaptar a los mejores elementos a sus puestos vacantes. Estas coincidencias del trabajo con el trabajador dan como resultado una tasa de accidentes específica para cada condición en particular. Pero como se mencionó anteriormente, siempre van a existir riesgos potenciales o residuales tanto en máquinas como en personas, aunque algunos de esos peligros pueden estar limitados por la legislación y las medidas de seguridad; la realidad es que, en la práctica, en la mayoría de los aserraderos de la región de El Salto, Durango existe un enorme riesgo residual y los trabajadores que ocupan los puestos laborales en esas empresas, los ocupan bajo un enorme riesgo potencial.
Este estudio comparte el punto de vista de Ahmed et al. (2018), quienes indican que en las instalaciones de trabajo las tareas más ignoradas son los simulacros de incendio, el mantenimiento a los circuitos eléctricos, la capacitación en técnicas de primeros auxilios, las prácticas de examen de salud y los registros médicos de los trabajadores.
En los aserraderos evaluados, los factores de disponibilidad de luz y ventilación adecuada no son factores de riesgo para la ocurrencia de actos inseguros; puesto que, la mayoría de las estaciones presentan un suministro suficiente de luz y ventilación para la realización de las actividades laborales. En dado caso, el riesgo sería solo en el transcurso de las primeras horas del día, cuando generalmente se utiliza el apoyo de luz artificial, ya que no hay turnos nocturnos. Con respecto a la ventilación, en días con corrientes del viento fuertes el principal peligro es que las partículas suspendidas de polvo y humo interfieran con la visibilidad y respiración de los trabajadores, por lo que el uso de dispositivos de protección ayudaría a mitigar posibles comportamientos inseguros. En casi todas las observaciones realizadas, en algunos aserraderos, los cables eléctricos y las tapas de distribución estuvieron abiertos, llenos de polvo y aserrín con el riesgo latente de provocar incendios y descargas eléctricas. Además, no hay advertencias de seguridad en el panel de control eléctrico, lo que incrementa la amenaza de que ocurran accidentes (Kaygin y Yildiz, 2017).
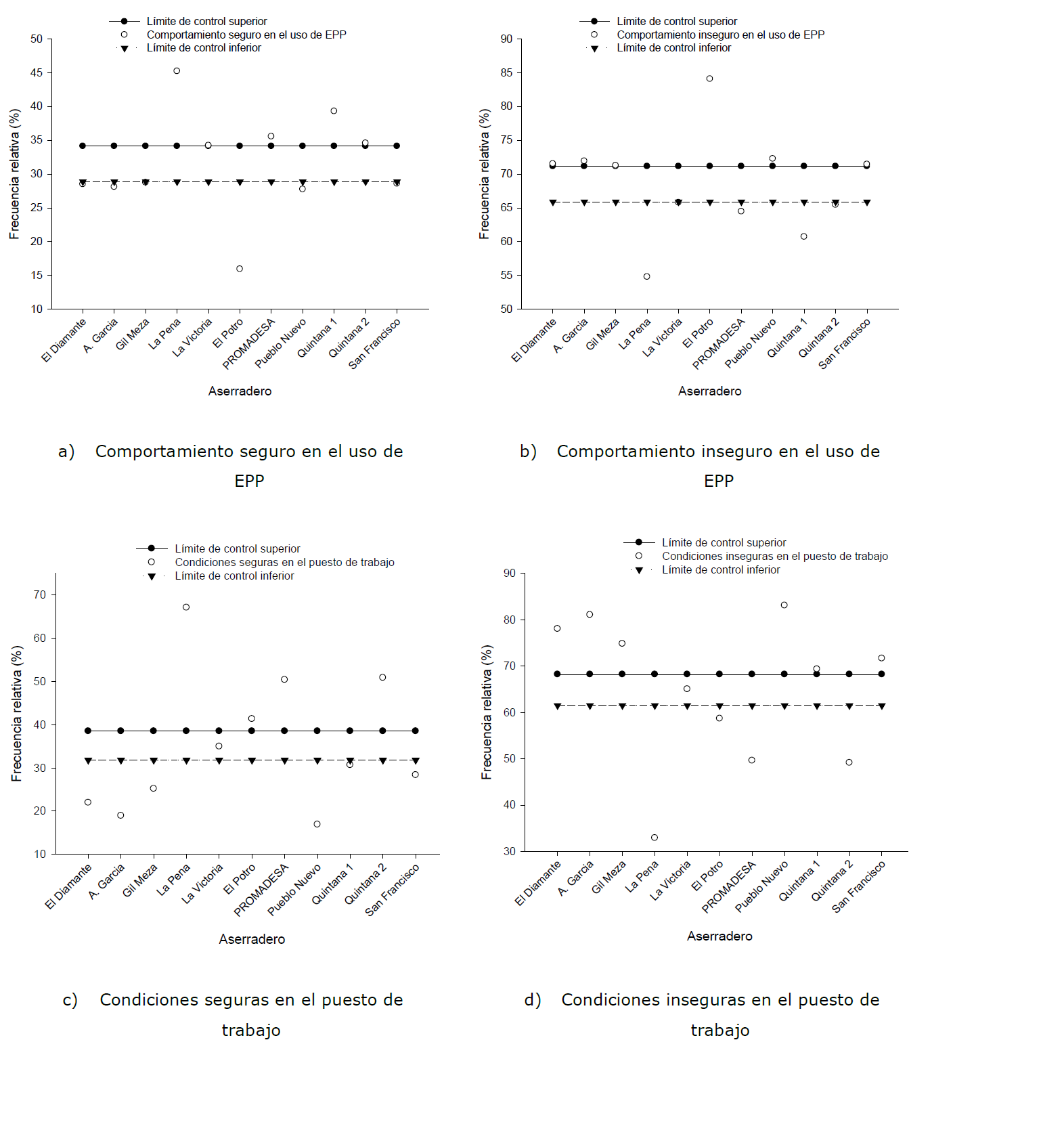
Gráficos de control de seguridad para el comportamiento seguro por aserradero
Los gráficos de control para el comportamiento seguro en los aserraderos evaluados, respecto al uso de equipo de protección personal por parte de los trabajadores, presentaron los límites de control entre 28.86 y 34.12 %; es decir, que el umbral de actos seguros es sumamente bajo; aun así, seis aserraderos de los once evaluados se ubicaron por debajo del límite de control inferior, con porcentajes de comportamiento seguro de 15.95 a 28.74 %; mientras que, solo cinco tuvieron valores de 34.22 a 45.21 %. En lo que respecta a actos inseguros por no utilizar el equipo de protección personal, los límites de control se establecieron entre el umbral de actos inseguros de 65.88 a 71.14 %, lo cual es muy alto. En consecuencia, seis aserraderos rebasaron el límite superior con porcentajes de comportamiento inseguro de 71.43 a 85.05 %; mientras que, en cinco aserraderos se observaron comportamientos inseguros en el orden de 54.79 a 65.78 % (Figura 1a y 1b).

Figura 1 Comportamiento seguro e inseguro en el uso de EPP y condiciones de seguridad en los puestos de trabajo por aserradero.
En lo referente a las condiciones de seguridad de los trabajadores en sus estaciones de trabajo (Figura 1c y 1d), los límites de control para el porcentaje de condiciones seguras se establecieron en el umbral de 31.82 al 38.54 %, lo cual se considera bajo; a pesar de ello, seis de los once aserraderos evaluados ni siquiera estuvieron dentro del umbral de seguridad, por lo que sus condiciones de seguridad se ubicaron por debajo del límite de control inferior, con valores entre 18.98 a 30.70 %. Solo un aserradero estuvo en el umbral de los límites de control, con 35 % de condiciones de seguridad; y cuatro se ubicaron por encima del límite de control superior, con valores de 41.35 a 67.11 %.
Las condiciones inseguras registradas en los puestos de trabajo de los aserraderos de la región de El Salto, Durango se observaron en torno a los límites de control establecidos entre 61.46 y 68.18 %; seis aserraderos mostraron la mayor incidencia de condiciones inseguras al situarse por encima del límite de control superior, con valores de 69.30 a 83.05 %; uno se colocó dentro de los límites de control, con 65 % y cuatro por debajo del límite de control inferior, con valores de 32.89 a 58.65 %.
De acuerdo con Işsever et al. (2008), los accidentes industriales también se derivan de las condiciones inseguras que incluyen la física y la ergonomía del lugar de trabajo, así como del comportamiento inseguro de los trabajadores; por lo que, a pesar de que se tengan bajo control todas las condiciones de seguridad en el puesto de trabajo, el comportamiento inseguro humano es el precursor de los accidentes de trabajo.
Conclusiones
Se evidencia el grave problema de seguridad existente en la industria del aserrío de la región de El Salto, Durango, dado el alto porcentaje de condiciones inseguras y comportamientos inseguros registrados; ya que las prácticas de comportamiento seguro del trabajador forestal son muy bajas, pues no utilizan en forma continua o frecuente el equipo de protección personal, solo la protección a manos, pies y cuerpo registran porcentajes conservadores de comportamiento seguro; los de muy poco uso corresponden a los dispositivos para protección de los aparatos respiratorio y auricular. Los ayudantes de operador de maquinaria y equipo son el segmento que más utiliza equipo de protección personal. Entre aserraderos, el uso de EPP es muy heterogéneo y predominan los actos inseguros.
Las condiciones de seguridad en los puestos de trabajo también son muy bajas; en ellos predominan estaciones de trabajo sin orden y limpieza, poca o nula protección a conductores eléctricos, partes móviles de la maquinaria y equipo, ausencia de extintores y nula señalización o presencia de rótulos de advertencia.
Es importante que la gerencia y los empleadores valoren cambiar el comportamiento inseguro de la planta laboral, pues prevalecen las condiciones para que se presenten lesiones y accidentes, por lo cual los riesgos van a existir, pero siempre será posible minimizarlos.










texto en 


