La alfalfa (Medicago sativa L.) es la leguminosa más utilizada en la alimentación del ganado a nivel mundial, su importancia radica en el rendimiento y valor nutritivo1. Su fenología y tasa de regeneración permite realizar cosechas repetidas2. En el estado de Oaxaca, el aprovechamiento es en verde o bien comercializada en manojos3.
El rebrote del forraje es considerado como el tiempo que le toma a la planta recuperar la biomasa removida después de una defoliación, de ahí la importancia de conocer la fenología de la planta al acumular su biomasa entre una cosecha y la siguiente4. Con el avance de la madurez, los cambios físicos y químicos del forraje provocan disminución en la digestibilidad y aumenta el rendimiento, reduciéndose la relación hoja:tallo, la cual está ligada con la calidad, ya que las hojas y tallos contienen diferentes concentraciones de proteína y fibra5,6; así mismo, el rebrote depende de la morfogénesis de la planta para la producción de hojas7.
Un esquema de manejo basado en un calendario de días de descanso o por el estadio de desarrollo del cultivo, es una buena opción para el manejo, llegando a la recomendación generalizada de cosechar cuando exista un 10 % de floración o se presente la hoja bandera, en leguminosas y gramíneas respectivamente. Sin embargo, una recomendación no puede ser universalmente aplicable8,9. Por lo anterior, es necesario conocer la dinámica de acumulación de biomasa después de la defoliación, la cual varía por factores ambientales. De esta forma, el conocimiento de los cambios estacionales en el rendimiento, permite determinar la mejor frecuencia de cosecha, para obtener la mayor producción de forraje de alta calidad por superficie10,11.
Al respecto, en el Estado de México un estudio12 reportó que la alfalfa presentó un rendimiento de forraje más alto en mayo. Asimismo13, en Oaxaca, al evaluar cinco variedades de alfalfa encontraron que el mayor rendimiento de MS fue en julio y agosto, con un promedio de 2.82 t MS ha-1, y se presentó el siguiente orden descendente: verano 31 % > primavera 27 % > otoño 22 % > invierno 20 %. Otra investigación14 en Oaxaca reportó que la alfalfa cultivada en invernadero y con fertirriego, no registra variaciones de 14 variedades en el rendimiento de MS; sin embargo, el mayor rendimiento y altura se registraron en los meses de abril y mayo, por lo que la temperatura está estrechamente relacionada con el rendimiento de forraje15.
En varias investigaciones se ha demostrado la importancia del rebrote y el efecto de la frecuencia de cosecha en la persistencia, y el efecto ambiental sobre el rendimiento, lo que permite un manejo más eficiente de producción animal-vegetal por hectárea16. En relación a lo anterior, en un estudio hecho en Oaxaca10 registraron que en primavera, la alfalfa variedad Valenciana, alcanzó el máximo rendimiento a la sexta semana (4.7 t MS ha-1), mientras que la variedad Oaxaca (alfalfa criolla) los registró a la séptima semana (4.1 t MS ha-1), concluyendo que el momento óptimo de corte varió con la estación del año.
La calidad, rendimiento, persistencia y longevidad de la pradera depende del manejo estacional de la frecuencia de defoliación, por lo que definir el calendario de cortes con base en el rebrote del cultivo en cada estación es de suma importancia13. Sin embargo, en los valles centrales de Oaxaca, la alfalfa se cosecha cada 40 días independientemente de la estación del año, lo que provoca cambios en la composición morfológica y bromatológica de la alfalfa. Es por ello que el objetivo del presente trabajo fue evaluar las dinámicas de crecimiento estacional en una pradera de alfalfa Var. Oaxaca o criolla, para determinar los momentos óptimos de cosecha por época para obtener el mayor rendimiento y calidad del forraje.
El estudio se realizó en una pradera de alfalfa Var. Oaxaca criolla (Medicago sativa L.) de tres años de establecida durante un año de evaluación (febrero 2011-enero 2013), ubicada en la comunidad de la Villa de Zaachila, Oaxaca, localizada a 16º 56’ 38.58" N y 96º 44’ 12.61" O, a 1,509 msnm. El clima es templado subhúmedo C(w), con lluvias en verano, con temperatura promedio anual de 17.5 oC, y precipitación promedio de 730 mm. El tipo de suelo es poco profundo, de color gris oscuro, con horizonte A málico, horizonte B argilico, de textura arcillosa, con adhesividad y plasticidad fuerte, pH ligeramente alcalino, de fertilidad media, clasificado como Foazen livico17.
Al inicio del experimento se realizó un corte de uniformización a una altura de 5 cm. Se delimitaron los bloques con base a la pendiente del terreno y se establecieron 28 unidades experimentales de 5 x 2 m, mediante un diseño experimental de bloques al azar con siete tratamientos (semana de corte) y cuatro repeticiones. La pradera no se fertilizó y en la época de estiaje (octubre a mayo) se proporcionaron riegos cada dos semanas a capacidad de campo.
El rendimiento de forraje se midió con un cuadro de acero de 0.25 m2 por repetición15, aleatoriamente se seleccionó el lugar de la muestra, en el cual, se cortó todo el forraje contenido dentro de éste a una altura de 5 cm; el material vegetal cosechado se depositó en bolsas de papel previamente marcadas con el número de tratamiento y la repetición correspondiente, se lavó y se pesó en fresco; posteriormente se secó en un horno de microondas hasta un peso constante para obtener el valor de materia seca18.
Se registró la altura de forraje antes de cada corte con una regla graduada de 1 m de longitud y una precisión de 0.5 cm. Se efectuaron diez mediciones dentro de cada tratamiento, en plantas elegidas el azar, con la regla colocada completamente vertical desde la base de la planta hasta la hoja superior más joven19,20.
El forraje cosechado en cada unidad experimental, se mezcló para homogenizar la muestra, posteriormente se tomó una submuestra de aproximadamente 20 % del forraje y las plantas se clasificaron por especie, material muerto, otros pastos y maleza; posteriormente se separó en sus componentes morfológicos (tallos, hojas, inflorescencia y material muerto) y se pesó cada componente en fresco y se registró su peso en base seca1.
La tasa de crecimiento (TC) se calculó con los datos de rendimiento de materia seca por corte mediante la siguiente fórmula: TC= FC/t. Donde FC= forraje cosechado (kg MS ha-1), y t= días transcurridos entre un corte y el siguiente.
La relación hoja:tallo se obtuvo dividiendo el rendimiento por corte del componente morfológico hoja entre el rendimiento por corte del tallo.
Los datos mensuales de temperatura promedio mensual a la intemperie (máxima, media y mínima) y precipitación durante el periodo de estudio se obtuvieron de la estación meteorológica del aeropuerto Benito Juárez de la ciudad de Oaxaca, ubicada a 13 km del área de estudio.
Los valores agrupados se graficaron mediante el software estadístico SigmaPlot V.1221 y se analizaron con el procedimiento PROC MIXED de SAS22. Cuando no se cumplió el supuesto de normalidad de las variables, fueron transformadas, lo cual se realizó de acuerdo a las sugerencias de SAS. Para seleccionar la
matriz de varianza y covarianza se utilizó el criterio de Akaike23, con lo que se determinaron los efectos de las fuentes de variación (días de rebrote (7, 14, 21, 28, 35, 42, 49), época del año (primavera, verano, otoño e invierno), las cuales se consideraron como efectos fijos, y el efecto de bloques fue considerado como aleatorio24. Las medias de tratamientos se estimaron utilizando LSMEANS y la comparación entre ellas se realizó por medio de la probabilidad de la diferencia (PDIFF), basado en la prueba de “t” de “Student” a un nivel de significancia del 5 %.
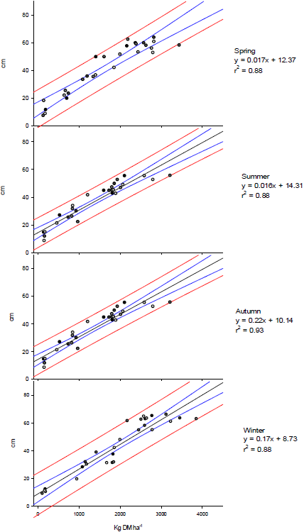
Para la regresión lineal entre la altura de la pradera y rendimiento de forraje, el registro de altura se realizó justo antes de hacer el muestreo del forraje. Se obtuvieron las ecuaciones de regresión lineal, y los intervalos de confianza al 95 % y la predicción del rendimiento por época del año, utilizando el módulo wizard regression del Software SigmaPlot V.12 mediante un modelo polinomial lineal21.
El mayor rendimiento de materia seca (P<0.01) se registró en la época de invierno a partir de los 14 días en comparación con los rendimientos en primavera, verano y otoño, observándose los menores rendimientos en este último (Figura 1A). En el Cuadro 1, se observa que en todas las estaciones se registró un incremento progresivo en la acumulación de forraje, alcanzándose los mayores rendimientos a los 49 días en primavera, verano y otoño con 2,794, 2,680 y 2,116 kg MS ha-1, respectivamente, mientras que en invierno fue a los 42 días (3,416 kg MS ha-1). Tomando en cuenta el rendimiento máximo obtenido en cada una de las épocas del año, el invierno superó en un 22, 27 y 61 %, a la primavera, verano y otoño, respectivamente. En particular en primavera no se observaron diferencias (P>0.05) en el rendimiento entre los días 35, 42, y 49 días de rebrote.
Cuadro 1 Rendimiento de forraje, tasa de crecimiento, altura de forraje y relación hoja:tallo en praderas de alfalfa criolla sometidas a ciclos de crecimiento de 7 semanas

abcd Means with the same letters in each row are not different. SE = standard error.
* (P<0.05); ** (P<0.01).

Figura 1 Rendimiento de materia seca (A), relación hoja:tallo (B), tasa de crecimiento (C) y altura de la pradera (D). En ciclos de crecimiento de siete semanas
Los resultados obtenidos difieren con lo reportado en otros trabajos1,25, donde concluyen que en alfalfa el mayor rendimiento estacional en Montecillo, Estado de México, se observó en verano; y coinciden parcialmente a lo informado10 en un estudio en la misma variedad de alfalfa, y reportaron que la mayor acumulación de materia seca fue a los 49 días en primavera, pero no coinciden a lo reportado en verano, otoño e invierno, donde la mayor acumulación de biomasa se registró en los días 28, 35 y 42, respectivamente.
Las diferencias en los resultados, pueden deberse a que en el invierno se presentaron condiciones ambientales óptimas para el crecimiento de la alfalfa, ya que durante esos meses la temperatura promedio fluctuó entre 19 y 21 °C, mientras que en otros estudios la presencia de heladas afectó la acumulación neta de alfalfa1,12,16. De acuerdo a lo reportado en la literatura26, la temperatura óptima de crecimiento de la alfalfa es de 15 y 25 °C durante el día y de 10 a 20 °C en la noche. El decremento en el rendimiento a la semana 7 en todas las épocas del año puede deberse a que la planta entra a su fase reproductiva, y conforme avanza la madurez, la senescencia se incrementa en la población total de plantas. Pero esta pérdida en el rendimiento puede ser compensada por otros componentes de la pradera como la relación tamaño - densidad27.
Con respecto a la altura de la planta (Cuadro 1) en la época de primavera e invierno no se registraron diferencias (P>0.05) después de los días 35 días de rebrote (56 a 60 cm y 58 a 61 cm, respectivamente); en el verano en los días 42 y 49 días (49.5 a 54.7 cm); y solo en otoño se registró mayor altura (P<0.01) hasta la semana 7 (55 cm). En la Figura 1D, se puede observar que a excepción de invierno y primavera, a partir de los 28 días de crecimiento, verano y otoño registraron las menores alturas (P<0.05). La altura de la pradera es una variable altamente correlacionada con el rendimiento de materia seca20, si los coeficientes de correlación son elevados (> 0.80); esta variable puede ser considerada para determinar el rendimiento y definir el momento óptimo de aprovechamiento. En este experimento en las cuatro épocas del año se registraron r2 superiores a 0.8 (Figura 2), lo que indica que los parámetros obtenidos son aceptables y similares a los de otras investigaciones19,20. Otros autores14 reportaron que en alfalfa en invernadero, y bajo fertiriego, los mayores rendimientos coincidieron con los valores superiores de altura de forraje. También se menciona que la altura del forraje solo varía en el primer año de establecimiento del cultivo28, pero a partir del segundo año, las alturas no son significativas (P>0.05), por lo que independientemente de la variedad, la alfalfa presenta alturas similares; sin embargo la temperatura sí influye en el rendimiento y la altura por época del año.

Slope of the line (black line), confidence interval (blue line), prediction of the data (red line).
Figura 2 Regresiones lineales del rendimiento vs altura, intervalo de confianza al 95, y la predicción de los datos, en las cuatro épocas del año
La tasa de crecimiento del cultivo (TC) es un aproximado de qué tanta biomasa vegetal se acumula en el tiempo después de la defoliación. La edad a la cual alcanzaron la mayor TC varió dependiendo de la época del año (Cuadro 1), y los valores obtenidos registraron que las mayores TC fueron en el invierno, a los 21, 28 y 42 días de rebrote (81 kg MS ha-1 d-1) (P<0.05); en primavera no se registró diferencia desde los 21 a los 57 días de crecimiento; sin embargo, el mayor registro fue a la semana 5 (68 kg); en verano el mayor valor fue al día 28 (58 kg MS ha-1 d-1); y en otoño a los días 28 y 35 (47 kg). A excepción del otoño (P<0.05) no se registraron diferencias entre días de corte en la TC, solo en invierno a la semana 1 presentó la menor TC, pero posteriormente en las semanas 2 a la 6, fue superior a las demás estaciones del año (Figura 1C). Estos valores son similares a los observados en otra investigación10, en la misma variedad de alfalfa de un año de establecida, ya que registraron que las mayores TC en primavera fueron entre los días 28 y 35, mientras que en invierno solo coincide a la sexta semana de rebrote. Y difieren a los resultados en otras investigaciones25,29, donde afirman que los menores valores de TC se registraron en invierno, a diferencia de este trabajo; sin embargo, en ambos estudios25,29 la presencia de heladas propició una menor tasa de crecimiento, a diferencia del presente estudio donde no se registraron heladas en invierno (Figura 3).

Figura 3 Datos climáticos durante el periodo experimental. Fuente: Estación meteorológica del aeropuerto Benito Juárez, de la ciudad de Oaxaca
La relación hoja:tallo es la variable más correlacionada con la calidad nutritiva del forraje, y en este experimento se registró que a excepción del invierno (P<0.05), no existieron diferencias en las otras épocas (Figura 1B). Solo en primavera y verano se presentaron diferencias entre los días de rebrote (P<0.01), siendo los días 28 y 35 que registraron el mayor valor (1.7 y 1.5, respectivamente). En otoño la mejor relación hoja:tallo fue al día 28 y en el invierno al 35 (Cuadro 1). Rivas et al13 mencionan que la menor relación se presenta en las variedades de alfalfa que producen el mayor rendimiento de materia seca, y corrobora la importancia que tienen las variables del tallo (peso y altura) en relación a las hojas, para la acumulación de materia seca total y la calidad o valor nutritivo en la planta; es decir, que a mayor altura menor proporción de hoja, y esto está relacionado con la fase de crecimiento del forraje. Otros trabajos6 mencionan que la cantidad de proteína en las hojas y en el tallo, es afectada por la edad del cultivo, pero no influye en el contenido de fibra cruda y materia seca, por lo tanto, el corte debe definirse por una combinación de variables de la especie que se esté evaluando. Otros autores9, mencionan que la aparición de hojas primarias es mayor cuando la alfalfa está en su fase de rebrote, en la fase reproductiva o destinada a la producción de semilla, y esto repercute en la intercepción de luz, y la acumulación de biomasa en raíz, y por lo tanto en el rendimiento total de biomasa y la calidad nutritiva del forraje.
Los resultados obtenidos difieren a lo reportado en la misma variedad de alfalfa10 y en la misma zona, que explican que la menor relación hoja:tallo presentó el siguiente orden descendente otoño > verano > invierno > primavera, y que indistintamente de la estación del año la relación tendió a disminuir conforme aumentaba la semana de rebrote. De la misma forma se ha reportado25 que la mayor relación hoja:tallo se presentó en otoño e invierno. En otra investigación30 se observó una disminución progresiva en la relación hoja:tallo conforme aumentó la edad de rebrote de la alfalfa, registrando la mayor acumulación de forraje a la quinta semana en verano, otoño y primavera mientras que en invierno fue a la sexta semana. Estas diferencias se debieron a que en el presente estudio las condiciones de temperatura presentes en invierno propiciaron una mayor acumulación de materia seca y el desarrollo de tallos más altos (Figura 1D), lo que incrementó su aporte al rendimiento; esto aunado a un recambio de tejido más rápido, como se pudo observar en las mayores tasas de crecimiento presentes en esta época (Figura 1C), propició la presencia de material senescente, y la pérdida de hojas por dicho proceso ocasionó que la relación hoja:tallo (Figura 1B) fuera menor que en las demás estaciones.
Con respecto a la composición botánica (Figura 4), los componentes registraron una variación en su aporte en las épocas del año; el mayor aporte de alfalfa se registró en invierno y otoño, y la mayor presencia de otros pastos y malezas fue en primavera y verano. En las épocas de invierno y verano el mayor aporte de alfalfa fue a los 28 días de crecimiento, en primavera a los 21 y 35, y en el otoño hasta el día 49 (Figura 3). Estos resultados concuerdan con lo reportado en otro trabajo25, que en primavera y verano hubo mayor presencia de malezas; también se ha reportado29 que las estaciones de otoño y verano fueron las que registraron el menor y mayor porcentaje de malezas, mientras que en primavera hubo un incremento en el porcentaje de malezas y una reducción en alfalfa1. Esto concuerda con el aumento de la precipitación pluvial en ambas épocas, que junto a la temperatura, propiciaron la aparición de otras especies de pastos que entraron en competencia con la alfalfa.

Figura 3 Composición botánica de alfalfa criolla, en ciclos de crecimiento de 7 semanas, en las diferentes épocas del año
Se concluye que para el cultivo de alfalfa Var. Oaxaca criolla, en la Villa de Zaachila, se recomienda realizar cortes cada 30 a 35 días en invierno y primavera, y cada 35 a 40 en verano y otoño, para obtener los mayores rendimientos de forraje y mejor relación hoja:tallo. Realizar cortes con base a la dinámica de crecimiento, considerando las variables de tasa de crecimiento, relación hoja:tallo, composición botánica y altura, permiten determinar el momento óptimo de defoliación para obtener el mejor contenido de hoja con respecto al tallo, mejor altura y menor proporción de material muerto, lo que permite obtener un forraje de mejor calidad. Las dinámicas de crecimiento determinan el comportamiento fenológico del cultivo en las diferentes épocas del año, el cual varía dependiendo de las condiciones ambientales que se presenten.









texto en 


