Introducción
La temperatura, radiación solar, tipo de suelo y la precipitación pluvial tienen un impacto crítico en el desarrollo de la vid y maduración de la uva (Hidalgo, 1980). El desarrollo de la vid y la maduración de sus frutos, por ejemplo, requieren de iluminación suficiente que asegure la saturación fotosintética. El rango de temperatura promedio ideal para el desarrollo de la uva para vino generalmente oscila entre los 11 y 18 ºC, sin ser menores a los 10 ºC ni mayores a los 40 ºC (Hidalgo, 1980). Derivado de estas características climáticas, la vid es cultivada en los climas mediterráneos, que corresponden a las zonas comprendidas entre los paralelos de 30º y 50º de latitud norte y los 30º y 40º de latitud sur.
La temperatura y la irradiancia controlan gran cantidad de procesos fisiológicos en las plantas, incluyendo la vid. Se ha determinado, por ejemplo, que las yemas de la vid se abren a los 4 ºC y las hojas aparecen cuando la temperatura promedio es de 7 ºC. El crecimiento se mantiene a temperaturas no mayores de 25 °C; sin embargo, después de los 30 °C el aumento de la fotorespiración y el cierre estomático hace que la fotosíntesis disminuya rápidamente (Carbonneau et al., 1992). Por otro lado, las bajas temperaturas (0-6 °C) promueven que la fotosíntesis neta cese y que el crecimiento se detenga. La temperatura también juega un papel crítico durante la maduración.
La maduración a elevadas temperaturas, por ejemplo, elevan las concentraciones de azúcar y disminuyen la concentración de ácidos orgánicos en las bayas (Zarrouk et al., 2016). Por el contrario, la maduración a bajas temperaturas, tienden a acumular bajas concentraciones de azúcares y las bayas terminan con altos niveles de ácidos orgánicos. Por lo anterior, cada región vitivinícola cuenta con características climáticas que impactan las características fisiológicas de la vid y la maduración de las bayas (Jackson y Lombard, 1993). Sin embargo, en México existen pocos estudios que contrasten las características climáticas de los valles vitivinícolas (Valenzuela Solano et al., 2014).
La textura y composición del suelo también juegan un papel importante en la fisiología de la vid. Al igual que para otros cultivos agrícolas, el suelo para el cultivo de la vid requiere ser permeable, generalmente con una estructura de suelo franco arenoso (Conradie et al., 2002). Estudios coinciden en que las diferentes características del suelo, aun bajo las mismas condiciones de clima, inducen diferencias en las características finales de los vinos (Tramontini et al., 2013). Sin embargo, otros investigadores confirman que las características finales de la uva están definidas principalmente por el clima local y la disponibilidad de agua, y secundariamente por el tipo de suelo (Conradie et al., 2002).
Debido a la importancia del clima en el desarrollo de la vid, se han desarrollado índices ligados al cultivo de la vid (Fraga et al., 2013). Estos índices por lo general se utilizan de manera conjunta para clasificar el clima en una región o para determinar la influencia del clima en los procesos fisiológicos, la producción y calidad del fruto (Jones et al., 2010). Tanto el índice de los grados día en el periodo de crecimiento growing degree day (GDD) como el índice heliotérmico de Huglin (HI) son utilizados con la finalidad de establecer la aptitud de la región para el cultivo de la vid (Huglin, 1978).
Estos índices climáticos permiten caracterizar zonas de cultivo para poder definir y diferenciar a las regiones productoras de uva, así como realizar estudios de zonificación de regiones vitivinícolas a diferentes escalas (Fraga et al., 2013). Además, los parámetros climáticos son utilizados para estimar la evapotranspiración en viñedos y poder hacer un manejo adecuado del agua. No obstante, la importancia del clima sobre la fisiología y maduración de la vid, en México no existe una caracterización detallada del microclima y la evapotranspiración de los diferentes valles vitivinícolas.
Debido a que la fisiología de la uva y maduración de la uva depende del clima y es el factor que limita geográficamente la expansión de la viticultura, el objetivo de este trabajo fue el de evaluar las diferencias climáticas y la evapotranspiración entre las regiones vinícolas de Baja California.
Materiales y métodos
Área de estudio
Se evaluaron las características climáticas de cuatro viñedos comerciales de diferentes valles vitivinícolas de Baja California. El Valle de Guadalupe (VG) se localiza a 25 km al Noreste de Ensenada. Es un valle de origen fluvial a través del cual corre el arroyo Guadalupe y está flanqueado por cerros con altitudes promedio de 400 m. El valle de San Antonio de las minas (SAM) se localiza a 10 km de la costa del océano Pacífico y al oeste del VG. El valle de Santo Tomás (ST) se encuentra a 50 km al sur de Ensenada y se caracteriza por presentar montañas que alcanzan los 1 000 msnm. La topografía de este valle presenta una forma alargada, que está delimitada por las cañadas que tienen orientación preferencial NW-SE. Finalmente, San Vicente (SV) es un valle costero que se localiza a 70 km al Sur de la ciudad de Ensenada y a 10 km de la costa del océano Pacífico.
Análisis de suelo
Muestras de suelo (cuatro por viñedo) fueron tomadas en las cuatro zonas estudiadas (n= 16). Se recolectó 1 kg de muestra entre planta y planta a una profundidad de 0 a 30 cm. Se determinó el porcentaje de saturación de agua, conductividad eléctrica mediante conductimetría, pH mediante potenciometría y sólidos disueltos totales mediante conductimetría. Además, se determinó la concentración de calcio, sodio, magnesio, carbonatos, cloruros y sulfatos mediante titulaciones. Se calculó la relación adsorción de sodio (RAS) y porcentaje de sodio intercambiable (PSI) utilizando la concentración de estos iones. Los parámetros texturales del suelo se determinaron mediante tamizado y análisis de pipeta para la fracción fina (limos y arcillas) (USDA, 2006).
Datos climatológicos
Los datos climáticos se recolectaron de 2013 a 2018 cada 15 min usando estaciones meteorológicas (Hobo U30, USA) localizadas en cada uno de los viñedos. La temperatura y la humedad relativa se evaluaron con un sensor mixto Hobo- SJ BM002. La precipitación pluvial se midió con un sensor Hobo RG3M con capacidad 12.7 mm h-1. La radiación fotosintéticamente activa (PAR) se determinó a partir de un sensor Hobo Slim 003. La velocidad y dirección del viento se midieron con un sensor Hobo Swsetb. Los sensores se ubicaron a 2.5 m sobre el suelo.
Se calcularon dos índices bioclimáticos a partir de los datos de temperatura para evaluar la variación espacial y temporal de la temperatura en los diferentes viñedos. El índice de Winkler o grados día de crecimiento (GDD) se determinó como la suma de la temperatura por arriba de 10 °C (GDD= Σ (Tprom-10)), que fue calculado de 1o de abril al 31 de octubre (Winkler et al., 1974). El índice heliotérmico o de Huglin (HI) fue calculado usando la temperatura promedio diaria y la temperatura máxima del día del 1o de abril al 30 de septiembre (HI= Σ(Tprom-10 + Tmax-10)/2×k). El coeficiente k, es la duración del día con respecto de la latitud (Ensenada k= 1) (Huglin, 1978).
La evapotranspiración de referencia (ETo) para cada uno de los valles
vitivinícolas se determinó utilizando la ecuación de Penman-Monteith de acuerdo
con Snyder y Eching (2002).
La radiación neta (Rn) se calculó a partir de la ecuación propuesta por Samani (2000). Rn= Ro * KT * (Tmax - Tmin)0.5. Donde: Ro= radiación extraterrestre (mm d-1); KT= coeficiente empírico calculado para regiones costeras (0.19); Tmax= temperatura diaria máxima; y Tmin= temperatura diaria mínima.
Análisis estadístico
Las diferencias estadísticas de los índices bioclimáticos y de las características del suelo se determinaron con un análisis de varianza (Andeva) después de probar la normalidad y homocedasticidad de los datos. Todas las comparaciones múltiples de promedios se realizaron con la prueba de Shapiro-Wilk (p< 0.05). Se realizaron gráficas de contornos a partir de un método geoestadístico de interpolación (Kriging) (Burgess y Webster, 1980).
Dicho método provee, a partir de una muestra de puntos, ya sean regular o irregularmente distribuidos, valores estimados de aquellos sitios donde no hay información, sin sesgo y con una varianza mínima conocida. Este análisis se realizó para evaluar la relación entre los datos obtenidos de cada variable y para cada una zona de muestreo en los tres periodos de cosecha (2016-2018).
Resultados y discusión
Las características texturales de los suelos de los valles vitivinícolas de Baja California presentaron diferencias significativas (Cuadro 1, p< 0.05); sin embargo, la textura de los suelos de los viñedos de Baja California fue consistente a la observada en los viñedos de California, EEUUA (Knipper et al., 2020). La composición mecánica del suelo para VG y SAM fue mayor a 65% de arenas y menor de 12% de limos y arcillas. Las características texturales de VG son típicas de suelos arenoso-francos, mientras que las de SAM representan un suelo franco-arenoso. Por el contrario, los valles de SV y VT presentaron concentraciones de arenas menores a 60% y entre 20 y 30% de limos y arcillas. En los viñedos de SV y ST predomina el suelo franco y franco arcilloso, que tienden a presentar mayor retención de agua y nutrientes (White, 2009).
Cuadro 1 Características fisicoquímicas de muestras de suelo de Valle de Guadalupe (VG), San Antonio de las Minas (SAM), San Vicente (SV) y Santo Tomás (ST).
| Localidad | Clase
textual |
Saturación (%) |
Conductividad (dS m-1) |
PH | CA
(ppm) |
Mg
(ppm) |
Na
(ppm) |
HCO3 (ppm) |
CI
(ppm) |
SO4 (ppm) |
RAS | PSI
(%) |
MO
(%) |
|---|---|---|---|---|---|---|---|---|---|---|---|---|---|
| VG std | Franco- arenoso | 31 1.4 | 0.8 0.23 | 7.98 0.16 | 79.4 19.3 | 39.4 17.7 | 16.7 12.6 | 298.9 40.1 | 56.6 11.1 | 21.1 6.9 | 0.22 0.05 | 0.1 0.1 | 1.61 0.6 |
| SAM std | Franco- arenoso | 30.1 1.9 | 0.59 0.2 | 7.47 0.4 | 137.1 19.2 | 113 4.2 | 45.9 31.2 | 244.4 66.2 | 54.7 17.1 | 29.5 28.9 | 1.2 0.52 | 0.99 0.29 | 1.9 0.45 |
| SV std | Franco- Franco- arcilloso | 29.8 4.2 | 1.52 0.44 | 7.93 0.3 | 102 30.9 | 87 16.9 | 65 52 | 204 20 | 310.1 28.7 | 235.2 59.3 | 1.4 0.7 | 1.39 0.16 | 1.78 0.5 |
| ST std | Franco | 32.2 0.56 | 2.97 2.04 | 7.57 0.6 | 273.1 66.6 | 155.4 63.25 | 70.5 63 | 355 71 | 351.2 306.4 | 232.8 78.2 | 1.6 0.13 | 1.21 0.2 | 2.66 0.62 |
Se determinó la saturación de agua, conductividad, pH, concentración de calcio, magnesio, sodio, carbonatos, cloruros, sulfatos, sólidos disueltos totales, relación de adsorción de sodio, porcentaje de sodio intercambiable y materia orgánica.
Se ha demostrado que el tipo de suelo puede impactar la fisiología y maduración de la uva (Jackson y Lombard, 1993). Se ha demostrado que mayor cantidad de agua disponible en la zona radicular invariablemente ocasiona un crecimiento excesivo de los sarmientos, promoviendo la disminución en el rendimiento del fruto y aumentando la posibilidad de enfermedades por hongos (Jackson y Coombe, 1988).
Por otro lado, la baja retención de agua por el suelo franco-arenoso, por ejemplo, demostró aumentar la concentración de azúcar en las bayas y disminuir la tasa de crecimiento de los sarmientos (Stevens et al., 1995). Además, esta disminución de la tasa de crecimiento resultó en una reducción de la cobertura del dosel, aumentando la eficiencia fotosintética y reduciendo las enfermedades causadas por hongos (Dry et al., 1998).
Las características fisicoquímicas del suelo variaron significativamente (p< 0.05) entre las diferentes zonas estudiadas (Cuadro 1). La menor concentración de Ca (79.4 ppm), Mg (39.4 ppm), y Na (16.7 ppm) se presentaron en el suelo de VG, mientras que los valores más altos Ca (273 ppm), Mg (155 ppm) y Na (70 ppm) se encontraron en ST. Los valores más bajos de HCO3 (204 ppm) se presentaron en los suelos de SV y los valores más altos (355 ppm) en los suelos de ST. La menor concentración de Cl (56 ppm) se observó en los suelos de VG, mientras que los valores más altos (351 ppm) se presentaron en ST. Por último, la menor concentración de SO4 (21 ppm) se presentó en los suelos de SAM, mientras que los valores más altos (235 ppm) se observaron en SV.
Diferencias en iones del suelo seguramente son el resultado de las diferencias de origen y textura de los suelos de los diferentes valles. En general, los suelos se clasifican como normales, salinos, sódicos o sódico-salinos en base a sus valores de pH, conductividad eléctrica (EC), relación de adsorción de sodio (RAS) y el porcentaje de sodio intercambiable (PSI) (Horneck, 2007). Suelos salinos pueden incrementar el potencial osmótico, dificultando a las plantas la adsorción de agua (Hanson et al., 2004). Derivado de la concentración de sales en el suelo de los valles vitícolas estudiados, todos se clasifican como suelos normales y potencialmente no generan un riesgo para el cultivo de vid, lo que coincide con resultados de otros estudios en la zona (Salgado-Tránsito et al., 2012).
Sin embargo, se ha encontrado que alrededor de 10% del área cultivable del VG es irrigada con agua de altos niveles de salinidad (CE> 4 dS m-1, PSI> 15%) lo cual podría cambiar las características fisicoquímicas del suelo y afectar la fisiología de la vid (Salgado-Tránsito et al., 2012).
El porcentaje de saturación del suelo (30%) fue similar en las cuatro zonas de estudio, mientras que los valores de pH variaron significativamente (Cuadro 1, p< 0.05). Sin embargo, la conductividad eléctrica (EC), razón de adsorción de sodio (RAS), el porcentaje de sodio intercambiable (PSI) y concentración de materia orgánica (MO), presentaron los valores significativamente (p< 0.05) más elevados en ST, mientras que los valores más bajos se encontraron en VG. Estudios sugieren que las vides requieren suelos con pH entre 6.5 y 7.5 para desarrollarse óptimamente (Conradie, 1983). Los valores de pH del suelo de las cuatro zonas estudiadas fluctuaron de 7.5 a 7.9 y se encuentran en el límite superior recomendado para el cultivo de la vid. En general, la disponibilidad de nutrientes aumenta cuando el pH del suelo se encuentra entre 6.5 y 7 y la disponibilidad de nitrógeno, calcio, magnesio y hierro para las vides se reduce significativamente cuando el pH del suelo es mayor a 8 (Conradie, 1983).
Además, los valores elevados de pH (>8.2) y una elevada concentración de carbonatos en el suelo promueven una deficiencia en la asimilación de hierro, causando clorosis en las plantas (Saayman, 1982). Por lo anterior, los problemas de clorosis presentados en algunos de los viñedos de Baja California podrían ser, parcialmente, el resultado de elevados pHs en el suelo. Este efecto de alcalinidad se podría presentar especialmente en VG y SV, ya que los valores promedio de pH de suelo están muy cercanos a 8 y en algunos casos, los valores individuales son mayores a 8.2.
Los patrones de temperatura promedio para las cuatro zonas estudiadas fueron relativamente similares (Figura 1). Sin embargo, la dispersión de los promedios diarios de temperatura fue mayor en SAM, ST y VG y fue menor en SV. Por otro lado, las temperaturas promedio más altas durante el verano (p< 0.1) se presentaron para VG y ST y menores para SV y SAM. Sin embargo, se ha demostrado que la fotosíntesis y el crecimiento de la vid son afectadas negativamente cuando la temperatura es superior a 30 °C (Greer y Weedon, 2012).

Figura 1 Series de tiempo para la temperatura promedio diaria en San Antonio de las Minas, Valle de Guadalupe, San Vicente y Santo Tomás.
Todos los valles vitivinícolas estudiados presentaron temperaturas promedio diarias mayores a 30 °C durante el verano. Además, durante algunos días de verano, las temperaturas máximas en estos valles alcanzaron los 40 °C. Las altas temperaturas observadas sugieren que las condiciones climáticas de estos valles no son las óptimas para la producción de vinos de calidad (Winkler et al., 1974).
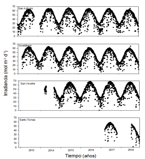
Modelos sobre el cambio climático sugieren un aumento en la acumulación de los grados días de desarrollo y las temperaturas máximas medias en Baja California (Valenzuela-Solano et al., 2014). Además, es probable que también se experimenten cambios en el patrón de la precipitación lo que podría tener un efecto negativo en la disponibilidad de agua y en el incremento de temporadas de sequía en esta región (Del-Toro-Guerrero, 2020). La radiación fotosintéticamente activa (PAR) fue similar para las zonas de estudio (Figura 2). En los cuatro valles se observaron los valores más elevados de PAR verano (aprox 65 mol m-2 d-1) y mínimos durante la temporada invernal (21 mol m-2 d-1).

Figura 2 Radiación fotosintéticamente activa (PAR) diaria en San Antonio de las Minas, Valle de Guadalupe, San Vicente y Santo Tomás.
Las irradiancias más bajas se observaron en ST y son el resultado de la topografía montañosa y el sombreado de estas montañas sobre la zona de estudio. Además, la ligera diferencia latitudinal de la irradiancia también podría estar determinada por la frecuencia de las neblinas. Estas neblinas son más intensas en el sur de California, EE. UU y disminuyen en frecuencia hacia el sur de la península de Baja California, México (Lewis et al., 2003).
Las neblinas en Baja California se presentan durante el verano y están asociadas con el incremento de las surgencias en la costa durante el verano (Fischer et al., 2009). Estas surgencias cercanas a la costa acarrean agua fría del fondo del mar, y promueven la condensación de la humedad atmosférica que finalmente forman las neblinas. Hacia el interior de la costa, SAM se localiza a 10 km de la costa, recibiendo neblinas con mayor recurrencia, mientras que el VG que se encuentra más alejada de la costa (25 km) generalmente no es afectada por las neblinas con la misma frecuencia (Johnstone y Dawson, 2010). No obstante, las diferencias encontradas, la irradiancia observada durante el periodo activo de la vid en los valles vitivinícolas de Baja California son suficientes para saturar la fotosíntesis y asegurar una maduración adecuada de la fruta (Cabello-Pasini et al., 2017).
El patrón de precipitación pluvial se presentó para los mismos periodos de tiempo (invierno) en las cuatro zonas vitícolas estudiadas (Figura 3). La mayor (p< 0.05) precipitación durante el periodo 2015-2018 (291 mm) se presentó en SAM y la menor para los valles de la zona sur (SV y ST). La precipitación para el para los valles del norte (SAM, VG) fue casi el doble de la que recibieron los valles del sur (ST, SV) a lo largo del periodo de estudio (p< 0.05). En todas las zonas se observó una disminución de la precipitación de 2014 a 2018. Durante 2018 la cantidad de lluvia en las cuatro zonas de estudio fue muy escasa (<150 mm), mientras que el año con la mayor precipitación fue en 2015 con aproximadamente 300 mm.

Figura 3 Precipitación pluvial diaria en San Antonio de las Minas, Valle de Guadalupe, San Vicente y Santo Tomás.
La humedad relativa (HR) del aire presentó variaciones en las cuatro zonas de estudio (Figura 4). Los valles más cercanos a la costa, SAM y SV presentaron promedios diarios mayores a 80% durante la mayor parte del año, mientras que VG y ST se observaron promedios diarios menores a 80%. La mayor HR en SAM y SV probablemente aumenten la incidencia de enfermedades de hongos sobre la vid en estas zonas. Estos datos son consistentes con la mayor cantidad de humedad observada en la zona costera de California en relación con la zona central del estado.

Figura 4 Promedio diario de humedad relativa en San Antonio de las Minas, Valle de Guadalupe, San Vicente y Santo Tomás.
Este patrón está controlado principalmente por la temporalidad anual, donde se presentan inviernos fríos y lluviosos y veranos cálidos y secos. En verano, la cobertura de nubes y neblinas es muy común a lo largo de la costa de California y Baja California, disminuyendo en frecuencia e intensidad al alejarse de la costa. En conjunto, el alto nivel de humedad relativa del aire en zonas cercanas a la costa es el resultado de la evaporación del agua de mar y las brisas marinas hacia la costa (Maderey, 1975). Por lo anterior, en ST y VG, presentaron porcentajes de humedad más bajos debidos a la topografía, su lejanía con la costa y las altas temperaturas en estos valles.
La velocidad del viento fluctuó significativamente (p< 0.05) a lo largo del año y entre las zonas estudiadas (Figura 5). La velocidad del viento fue significativamente mayor (p< 0.05) en verano y menor en otoño-invierno. Las velocidades en verano para SAM y VG fue de aproximadamente 2 m s-1 mientras que en invierno se presentaron velocidades máximas ocasionales de hasta 3.2 m s-1. En los valles del sur, ST y SV, la velocidad del viento en verano sobrepasó los 2.5 m s-1 y en invierno se presentaron eventos de velocidad del viento mayores a 3 m s-1. En general, la celda de alta presión subtropical del Pacífico rige el clima de la región noroeste del país.

Figura 5 Dirección y velocidad (m s-1) del viento en San Antonio de las Minas, Valle de Guadalupe, San Vicente y Santo Tomás.
Esta celda tiene un desplazamiento estacional, la cual se mueve hacia el norte en verano, mientras que en el invierno se desplaza hacia el sur. Esta oscilación, promueve los veranos secos y cálidos dominados por los vientos alisios que cruzan el norte del país. Por el contrario, en invierno el sistema de vientos del oeste y los frentes fríos transportan la humedad del mar, generando lluvias invernales y bajas temperaturas. Sin embargo, las capas más bajas de circulación de vientos (entre 4 y 10 m) están determinadas por la serie de cadenas montañosas que se extienden de norte a sur a lo largo de Baja California (García et al., 1983).
Los vientos dominantes en SAM y en VG presentan una orientación suroeste, mientras que en el invierno los vientos del oeste tienen su origen en la celda anticiclónica del pacífico. La orientación del viento se dirige hacia la parte más baja de la cordillera que rodea a los valles, promoviendo una corriente de aire que se desplaza en la misma dirección. En SV, el viento dominante proviene del este (Pérez-Villegas, 1988), pero al no poder atravesar la barrera montañosa se desvía y fluye hacia la parte baja del valle y es guiado por un cañón con dirección sur. En ST, los vientos presentan una orientación noroeste siguiendo la dirección del valle que está rodeado de montañas que superan los 500 m de altura.
Al igual que la velocidad, la dirección del viento varió significativamente a lo largo del año en los diferentes valles (Figura 6). En SAM y VG, la dirección predominante a lo largo del año fue del suroeste (SO), con excepción del periodo de noviembre a enero, donde los vientos presentaron una dirección oeste (O), con periodos cortos de dirección norte (N) y velocidades más intensas. El patrón del viento en SV fue con dirección sur para todo el año, con cortos periodos de vientos provenientes del norte (N) y velocidades de moderadas a fuertes.

Figura 6 Rosas de viento, frecuencia (%) y velocidad (m s-1) para San Antonio de las Minas y el Valle de Guadalupe, San Vicente y Santo Tomás.
La dirección del viento predominante que se observó en ST fue del noroeste (NO); sin embargo, durante los meses de noviembre a febrero la dirección del viento dominante fue del sureste (SE). Los vientos que provienen del norte en todas las zonas de estudio durante el otoño e inviernos son derivados de los vientos de Santa Ana (Guzman-Morales y Gershunov, 2019). Estos vientos se caracterizan por ser cálidos y secos con magnitudes mayores a 5 m s-1, provenientes de regiones desérticas, con altas temperaturas y baja humedad.
Los índices bioclimáticos mostraron diferencias significativas entre las zonas de muestreo (Figura 7, p< 0.05). Las zonas menos cálidas en términos de acumulación de calor (GDD, HI) fueron SAM y SV. El valor medio de GDD para SAM fue de 2165 y para SV fue de 2065, mientras que VG y ST presentaron valores de 2 411 y 2 774, respectivamente. Durante 2016 y 2018, la distribución de los GDD se comportó de manera similar, mientras que para 2017, se observó un desplazamiento hacia el oeste de las isolíneas, siendo más evidente para SAM y VG.

Figura 7 Gráficas de isolíneas para los grados día de crecimiento (GDD) e índice de Huglin para el Valle de Guadalupe (VG), San Antonio de las Minas (SAM), San Vicente (SV) y Santo Tomás (ST), durante 2018.
El índice de Huglin presentó una diferencia entre las localidades que siguieron la misma tendencia que los GDD. En general, las isolíneas hacia la región sur son más cercanas entre sí, por lo que la distribución de las áreas de cultivo se reduce, mientras que la dispersión que se observó hacia el norte, sugiere una distribución más amplia para el cultivo de la vid. La correlación entre los índices bioclimáticos de GDD y HI es alta (r> 0.94), lo que sugiere que estos dos índices capturan la misma información climática (Jones et al., 2010). Por lo anterior, las características que refleja el índice de HI en este estudio son muy similares a la que define el de GDD.
De acuerdo con el índice GDD, SAM y SV se clasifican como como región IV (Templado-cálido) lo cual es consistente con lo observado en otros estudios (Valenzuela-Solano et al., 2014). El índice HI clasifica a SAM y SV como regiones templadas, sugiere que ambas zonas son más apropiadas para el cultivo de la vid (Jones et al., 2010). Por otro lado, el VG y ST se clasifican como región V, por lo que son consideradas como las menos aptas para la producción de vinos de calidad.
Este es el primer estudio sobre la evapotranspiración en valles vitivinícolas de Baja California y se demuestra una variación significativa entre estos. Se observó una variación estacional de la ETo en los valles estudiados, con valores máximos en verano y mínimos en invierno (Figura 8). Los valores de ETo en verano en VG y ST (9 mm d-1) fueron 15% más altos que en SAM y SV (aprox. 7.5 mm d-1, p< 0.05) y son consistentes con los reportados para zonas agrícolas del sur de California, EE. UU (Knipper et al., 2019). Los mayores valores de ETo para el VG y ST son el resultado de las mayores temperaturas y menores HR con respecto a los otros valles vitivinícolas.

Figura 8 Evapotranspiración (mm d-1) para San Antonio de las Minas, Valle de Guadalupe, San Vicente y Santo Tomás.
Los resultados sugieren un mayor requerimiento hídrico para la viticultura en VG y ST, con relación a los valles vitivinícolas más costeros. Establecer programas de riego apropiados es fundamental para desarrollar cultivos vitícolas exitosos, y esto solo se puede lograr conociendo detalladamente las variaciones de ETo a lo largo del año. Además, se ha demostrado que programas de estrés hídrico moderado pueden mejorar la composición o calidad de las uvas usadas para la producción de vino (Williams et al., 1994).
Conclusiones
El clima y las características del suelo son los dos parámetros más importantes que definen el desarrollo de la vid y el proceso de maduración de la uva. Los valles vitivinícolas de Baja California presentaron diferencias climáticas que impactan críticamente en su aptitud para la producción de uva de calidad para la producción de vino y en su demanda de recursos hídricos. Estas diferencias están definidas principalmente por su cercanía con la costa, la altitud y la orografía del lugar.
Estas diferencias climáticas y las diferencias en ETo seguramente afectan la fenología, la maduración y las características químicas de la uva. De acuerdo con la clasificación de los índices climáticos establecidos en este trabajo, SAM y SV presentan un clima de templado a cálido, lo que sugiere que ambas zonas son más apropiadas para el cultivo de la vid. En cambio, el VG y ST se clasifican con un clima de cálido a caliente, por lo que son consideradas como las menos aptas para la producción de uva y vinos de calidad.
Los datos meteorológicos descritos en este trabajo contribuyen para el cálculo de índices climáticos y diferencias de ETo que describen las zonas vinícolas de Baja california. La buena correlación entre los índices bioclimáticos (GDD y HI) sugiere que ambos capturan la misma información climática (Jones et al., 2010). Los resultados mostraron la variabilidad climática dentro de las regiones vinícolas y serán determinantes para definir las mejores zonas para nuevos cultivos de uva en Baja California.










texto en 


