Introducción
Para valorar si el cambio climático modificará las zonas productoras de aguacate (Persea americana Mill.) cv. Hass en Michoacán es necesario identificar y cuantificar la amenaza y la vulnerabilidad asociada. El cambio climático es la variación del clima respecto a los valores medios históricos. Esta variación debe ser cuantificada estadísticamente y mantener su tendencia por periodos mayores a 10 años. Entre los causantes de dicha variación están el cambio de uso de suelo y el aumento en las concentraciones de gases de efecto invernadero (GEI) en la atmósfera (IPCC, 2013).
La principal causa del calentamiento global son las concentraciones de GEI desde la revolución industrial ocurrida en el siglo XIX causando el aumento en la temperatura media de 0.8 °C hasta 2 °C en algunas regiones del mundo (Ring et al., 2012; Adedeji et al., 2014; Lane, 2015). En el quinto informe de evaluación del grupo intergubernamental de expertos sobre el cambio climático (IPCC) la comunidad científica definió un conjunto de cuatro nuevos escenarios para representar la presencia de los gases efecto invernadero como promotores del cambio climático global, denominados trayectorias de concentración representativas (RCP) por sus siglas en inglés.
Las RCP se caracterizan por el cálculo aproximado que hacen del forzamiento radiativo total en el año 2100 en relación con el año 1 750, esto es, 2.6 W m-2 en el caso del escenario RCP2.6 (bajas emisiones de GEI); 4.5 W m-2, en el caso del escenario RCP4.5 y 6 W m-2, en el caso del escenario RCP6.0 (emisiones intermedias de GEI), y 8.5 W m-2, en el caso del escenario RCP8.5 que corresponde a altas emisiones de GEI (IPCC, 2013). En México se ha previsto el cambio en la temperatura y la precipitación para el escenario RCP4.5 hacia mediados del presente siglo y que asciende a 2-3 °C y disminuciones anuales de precipitación del orden de 50 a 10 mm.
Según Hulme (1996), hay cuatro maneras en que el clima tendría un efecto físico en los cultivos: 1) distribución de las zonas agroecológicas; 2) mayor tasa fotosintética; 3) menor disponibilidad de agua; y 4) pérdidas agrícolas o disminución del rendimiento. Hribar y Vidrih (2015), señalan que aumentos en la temperatura y las concentraciones de CO2 cambiarán la producción de frutas para finales de siglo. Por ejemplo, en Canadá se prevén afectaciones en la fruticultura de clima templado principalmente por inviernos menos fríos (Rochette et al., 2004). Resultados similares se encontraron para el nogal (Carya illinoinensis) en Sonora, México, en donde la disminución de horas frío invernal ha atrasado la floración y disminuido el rendimiento (Grageda et al., 2016). A pesar de la gran plasticidad ecológica del mango, éste enfrentará condiciones climáticas más extremas, principalmente sequías y altas temperaturas (Sugiura et al., 2013).
El clima también tiene un efecto sobre las características externas de los frutos de aguacate ‘Hass’ (tamaño, forma y rugosidad de la piel), contenido de fitoquímicos y aceite (Salazar-García et al., 2011; Salazar-García et al., 2016a; Salazar-García et al., 2016b). Para (Howden et al., 2005 y Putland et al., 2011) el cambio climático puede afectar la producción de aguacate principalmente por su efecto sobre etapas fenológicas sensibles a la temperatura, como diferenciación floral, antesis, amarre y desarrollo de fruto. En algunos tipos de clima de Michoacán, México, el aguacate ‘Hass’ presenta hasta tres flujos vegetativos al año de diferente intensidad (invierno, primavera y verano) que pueden resultar en tres o cuatro periodos de floración (Rocha-Arroyo et al., 2011).
Una etapa importante en el desarrollo floral es la determinación irreversible a la floración (DIF) ya que es el momento cuando las yemas de los brotes cambian de la fase vegetativa a la reproductiva (Salazar-García et al., 1999). En Michoacán, la fecha de ocurrencia de la DIF en brotes de invierno (que dan origen a la floración principal) del aguacate ‘Hass’ ocurre más temprano en clima templado que en cálido (Rocha-Arroyo et al., 2010). Posterior a la DIF se lleva a cabo el desarrollo floral y en este aspecto Álvarez-Bravo y Salazar-García (2015) evaluaron para aguacate ‘Hass’ en Michoacán un modelo de predicción del desarrollo floral (basado en días frío acumulados con temperaturas ≤ 16 °C) en brotes del flujo vegetativo de invierno, el cual mostró buena capacidad predictiva (R2= 0.97).
Lo anterior revela el posible umbral térmico necesario, para los climas de Michoacán, para tener un desarrollo floral sin contratiempos. Para Galindo-Tovar y Arzate- Fernández (2010), el aguacate ha tenido una larga y fructífera adaptación a diversos climas, dicha evolución ha conferido la capacidad de resiliencia a ambientes adversos. Sin embargo, Michoacán es la principal región productora de aguacate ‘Hass’ del mundo por lo que dimensionar el posible impacto del cambio climático es de interés para productores, comercializadores, consumidores, así como para la industria. Por todo lo anterior, el objetivo del presente estudio es identificar cómo el cambio climático afectará a la distribución de la actual zona productora de aguacate ‘Hass’ en Michoacán, México.
Materiales y métodos
Zona de estudio
La región productora de aguacate en Michoacán concentra 148 000 ha (72% de la superficie nacional). Se distribuye principalmente en cuatro climas y 40 municipios. Michoacán representa casi 80% de la producción nacional (1.5 millones de toneladas anuales). La región presenta climas contrastantes y un comportamiento fenológico del cv. Hass claramente diferenciado (Rocha-Arroyo et al., 2011) (Figura 1).
Descripción de los climas
En la región productora de ‘Hass’ en Michoacán se han identificado al menos 8 tipos de clima (García, 1964). Para este estudio fueron seleccionados los más ampliamente distribuidos de acuerdo al porcentaje de superficie establecida del cultivo. Siendo los más representativos el semicálido subhúmedo y el templado subhúmedo (89.21% de los huertos) (Cuadro 1).
Cuadro 1 Características de los climas.
| Tipo de clima | Huertos (%) | Descripción climática |
| Cálido subhúmedo del tipo Aw1 | 1.08 | Temperatura media anual mayor de 22 ºC y temperatura del mes más frio mayor de 18 ºC. Precipitación del mes más seco menor de 60 mm; lluvias de verano con índice P/T entre 43.2 y 55.3 y porcentaje de lluvia invernal de 5% a 10.2% del total anual. |
| Semicálido subhúmedo (A)Ca(w1)+(A)Ca(w2) | 43.83 | Temperatura media anual mayor de 18 ºC, temperatura del mes más frio menor de 18 ºC, temperatura del mes más caliente mayor de 22 ºC. Precipitación del mes más seco menor de 40 mm; lluvias de verano con índice P/T mayor de 43.2 y porcentaje de lluvia invernal de 5% a 10.2% anual. |
| Templado subhúmedo del tipo Cb(w2) | 45.38 | Temperatura media anual entre 12ºC y 18ºC, temperatura del mes más frio entre -3 ºC y 18 ºC y temperatura del mes más caliente bajo 22 ºC. Precipitación en el mes más seco menor de 40 mm; lluvias de verano con índice P/T mayor de 55 y porcentaje de lluvia invernal de 5 a 10.2% del total anual. |
| Templado subhúmedo monzónico del tipo Cbm(w) | 6.47 | Temperatura media anual entre 12 ºC y 18 ºC, temperatura del mes más frio entre -3 ºC y 18 ºC y temperatura del mes más caliente bajo 22 ºC. Precipitación en el mes más seco menor de 40 mm; lluvias de verano y porcentaje de lluvia invernal de 5% a 10.2% del total anual. |
Selección de huertos
Se utilizó el padrón parcelario georreferenciado de la Secretaría de Agricultura, Ganadería, Desarrollo Rural, Pesca y Alimentación (SAGARPA) para seleccionar de manera aleatoria 10 huertos por cada tipo de clima con el sistema de información geográfica ArcMap Versión 10.1 (ESRI, Redlands, CA, Estados Unidos) . Los criterios de selección fueron: tamaño del huerto mayor a 2 ha, variedad ‘Hass’, y que la altura sobre el nivel mar (ASNM) correspondiera a la región climática (Cuadro 2).
Cuadro 2 Huertos seleccionados por clima.
| Clima/Sitio | Latitud | Longitud | ASNM | Municipio | Localidad |
| Cálido subhúmedo (Aw1) | |||||
| 1 | 19° 18’ 50.1’’ | 101° 55’ 16.2’’ | 965 | Taretan | Taretan |
| 2 | 19° 13’ 02.5’’ | 101° 49’ 46.6’’ | 988 | Nuevo Urecho | El Calvario |
| 3 | 19° 18’ 47.4’’ | 101° 52’ 13.4’’ | 993 | Taretan | Hoyo del Aire |
| 4 | 19° 17’ 18.1’’ | 101° 58’ 40.1’’ | 1 001 | Uruapan | San Francisco |
| 5 | 19° 16’ 11.4’’ | 101° 50’ 09.1’’ | 1 016 | Taretan | Hoyo del Aire |
| 6 | 19° 17’ 21.2’’ | 102° 04’ 24.3’’ | 1 249 | Uruapan | Charapendo |
| 7 | 19° 19’ 06.9’’ | 102° 05’ 55.2’’ | 1 341 | Uruapan | San Francisco |
| 8 | 19° 17’ 08.8’’ | 102° 09’ 27.7’’ | 1 351 | Uruapan | Conejo |
| 9 | 19° 18’ 38.1’’ | 102° 02’ 24.8’’ | 1 555 | Uruapan | San Francisco |
| 10 | 19° 20’ 12.0’’ | 102° 03’ 08.8’’ | 1 601 | Uruapan | San Francisco |
| Semicálido subhúmedo (AcW1)+(AcW2) | |||||
| 1 | 19° 25’ 34.0’’ | 101° 52’ 45.0’’ | 1 549 | Ziracuaretiro | Ziracuaretiro |
| 2 | 19° 09’ 01.6’’ | 101° 46’ 31.9’’ | 1 582 | Ario de Rosales | Dr. Miguel Silva |
| 3 | 19° 12’ 08.9’’ | 101° 28’ 01.0’’ | 1 604 | Tacámbaro | Tacámbaro |
| 4 | 19° 41’ 48.0’’ | 102° 30’ 29.6’’ | 1 614 | Tocumbo | Tocumbo |
| 5 | 19° 38’ 18.0’’ | 102° 24’ 35.6’’ | 1 632 | Los Reyes | Atapan |
| 6 | 19° 19’ 54.5’’ | 102° 14’ 18.8’’ | 1 742 | Tancítaro | San José de la Peña |
| 7 | 19° 22’ 50.3’’ | 102° 07’ 12.2’’ | 1 863 | Nuevo Parangaricutiro | San Juan |
| 8 | 19° 30’ 46.4’’ | 102° 22’ 30.2’’ | 1 893 | Peribán | Peribán |
| 9 | 19° 17’ 40.3’’ | 102° 19’ 16.0’’ | 2 009 | Tancítaro | Zirimbo |
| 10 | 19° 24’ 50.7’’ | 102° 24’ 56.6’’ | 2 161 | Tancítaro | Tancítaro |
| Templado subhúmedo (Cw2) | |||||
| 1 | 19° 50’ 55.6’’ | 102° 26’ 54.9’’ | 2 069 | Tangamandapio | Tarecuato |
| 2 | 19° 23’ 51.2’’ | 101° 45’ 36.6’’ | 2 128 | Salvador Escalante | Turian Bajo |
| 3 | 19° 13’ 11.8’’ | 101° 35’ 45.8’’ | 2 136 | Ario de Rosales | El Tepamal |
| 4 | 19° 46’ 02.3’’ | 102° 24’ 17.6’’ | 2 202 | Los Reyes | Jesús Díaz |
| 5 | 19° 29’ 20.3’’ | 102° 20’ 31.8’’ | 2 241 | Peribán | Peribán |
| 6 | 19° 18’ 58.1’’ | 101° 27’ 54.1’’ | 2 244 | Tacámbaro | San José de los Laureles |
| 7 | 19° 31’ 32.2’’ | 101° 51’ 02.5’’ | 2 245 | Tingambato | Tingambato |
| 8 | 19° 17’ 32.5’’ | 101° 42’ 08.4’’ | 2 245 | Salvador Escalante | La Cantera |
| 9 | 19° 26’ 07.1’’ | 102° 23’ 50.6’’ | 2 290 | Tancítaro | Apo del Rosario |
| 10 | 19° 33’ 17.1’’ | 102° 15’ 34.8’’ | 2 379 | Nuevo Parangaricutiro | San Juan Viejo |
| Templado subhúmedo monzónico (Cm(w)) | |||||
| 1 | 19° 27’ 37.6’’ | 102° 02’ 20.9’’ | 2 194 | Uruapan | Uruapan |
| 2 | 19° 26’ 17.6’’ | 102° 10’ 00.5’’ | 2 208 | Nuevo Parangaricutiro | Rancha Nuevo |
| 3 | 19° 30’ 43.0’’ | 102° 08’ 40.3’’ | 2 214 | Uruapan | Las Cocinas |
| 4 | 19° 30’ 43.1’’ | 102° 02’ 10.5’’ | 2 215 | Uruapan | Zirapóndiro |
| 5 | 19° 31’ 56.8’’ | 102° 04’ 28.3’’ | 2 238 | Uruapan | Capacuaro |
| 6 | 19° 23’ 29.9 | 102° 22’ 06.1’’ | 2 436 | Tancítaro | El Jazmín |
| 7 | 19° 23’ 30.1’’ | 102° 13’ 45.4’’ | 2 485 | Nuevo Parangaricutiro | Las Amapolas |
| 8 | 19° 29’ 19.2’’ | 102° 18’ 32.0’’ | 2 497 | Uruapan | Nuevo Zirosto |
| 9 | 19° 21’ 30.9’’ | 102° 19’ 08.5’’ | 2 519 | Tancítaro | Zirimondiro |
Climatología de referencia (actual)
Se utilizó el período 1961-2010, para lo cual se empleó el sistema de información climática interpolado por el INIFAP a una resolución de 90 m. Las variables climáticas obtenidas del sistema fueron: temperatura mínima media anual (Tmín), temperatura máxima media anual (Tmáx), temperatura media anual (Tmed) y precipitación acumulada anual (Pcp).
Escenarios de cambio climático (futuros)
Se utilizó el sistema de información de cambio climático del INIFAP derivado del ensamble de 11 modelos de circulación general: BCC-CSM1-1, CCSM4, GISS-E2-R, HadGEM2-AO,HadGEM2-ES,IPSL-CM5A-LR,MIROC-ESM-CHEM, MIROC-ESM, MIROC5, MRI-CGCM3, NorESM1-M para RCP 4.5 y 8.5 en tres temporalidades o climatologías futuras: 2030, 2050 y 2070 para caracterizar a corto, mediano y largo plazo respectivamente. Las variables climáticas fueron las mismas que se obtuvieron para la climatología de referencia.
Cálculo de las variables climáticas
Por cada sitio de estudio se colectó el valor de las variables climáticas Tmín, Tmáx, Tmed y Pcp. Con la hoja de cálculo de Excel Versión 14 (Microsoft, Redmond, WA, USA) se generaron valores medios para todas las variables climáticas por tipo de clima (promedio de las 10 observaciones).
Esquemas fenológicos
De los diagramas publicados por Rocha-Arroyo et al. (2011) se obtuvo la cronología por tipo de floración (normal, marceña, aventajada y loca) y el flujo vegetativo (invierno, primavera y verano) por tipo de clima.
Meteorología mensual
Para apoyar la interpretación de los esquemas fenológicos, fue incluida la temperatura mínima mensual de la climatología de referencia y los escenarios de cambio climático. Los datos mensuales fueron extraídos del mismo sistema de información climática del INIFAP. Mediante el gestor de base de datos Access Versión 14 (Microsoft, Redmond, WA, Estados Unidos) se promediaron los valores de los diez sitios de cada clima por cada mes, escenario y climatología.
Resultados y discusión
Climatología actual
El clima cálido subhúmedo (Aw1) presentó los indicadores térmicos más altos de los cuatro climas. Los climas templado subhúmedo (Cbw2) y templado húmedo (Cbm(w)) fueron los más fríos con Tmín 8.9 °C. La precipitación varió debido a la orografía de la región. Las zonas productoras con menor precipitación comprenden los climas Aw1 y Cm(w) y la Pcp más alta (1 428.6 mm) es el clima templado subhúmedo (Cuadro 3). Lo anterior coincide con lo mencionado por García (1964) para los climas templados (subhúmedo y húmedo). Sin embargo, para el clima cálido los resultados fueron menores (0.3 °C), en tanto que para el clima semicálido superaron en 1.1 °C el valor típico de este clima. Las diferencias encontradas pueden deberse a la fuente de datos utilizada, así como la climatología de referencia. El resultado del análisis de las variables climatológicas del presente trabajo concuerda con los requerimientos agroecológicos para la producción de ‘Hass’ publicados por Ruíz et al. (2013).
Escenarios futuros de cambio climático
El comportamiento de las variables climáticas bajo un escenario de emisiones intermedias de GEI (RCP 4.5) sobrepasa 2 °C de aumento hacia finales de siglo en los cuatro climas de la región productora de aguacate ‘Hass’ en Michoacán. El aumento más representativo se presenta en la Tmáx y Tmed en el clima templado subhúmedo. Por el contrario, la Pcp muestra disminución en todos los horizontes y climas, con valores promedio de -40 mm. Sobresale el horizonte de mediados de siglo (2050) con una baja de la precipitación desde 3.56% en el clima Templado subhúmedo hasta 4.20% en el clima semicálido subhúmedo (Cuadro 4).
Cuadro 4 Simulación climática para el RCP 4.5 en tres diferentes horizontes por tipo de clima.
| Climatología | T mín (°C) | T máx (°C) | T med (°C) | P (mm) | |||||||
| Simz | Dif y | Sim | Dif | Sim | Dif | Sim | Dif | ||||
| Cálido subhúmedo (Aw1) | |||||||||||
| Horizonte 2030 | 14.91 | 1.18 | 30.95 | 1.35 | 22.93 | 1.26 | 1 115 | -30 | |||
| Horizonte 2050 | 15.43 | 1.71 | 31.55 | 1.94 | 23.49 | 1.83 | 1 115 | -43 | |||
| Horizonte 2070 | 15.72 | 2 | 32.02 | 2.41 | 23.87 | 2.2 | 1 116 | -29 | |||
| Semicálido subhúmedo (A)Ca(w1)+(A)Ca(w2) | |||||||||||
| Horizonte 2030 | 12.58 | 1.19 | 28.16 | 1.36 | 20.37 | 1.27 | 1 186 | -36 | |||
| Horizonte 2050 | 13.11 | 1.72 | 28.76 | .97 | 20.94 | 1.84 | 1 171 | -51 | |||
| Horizonte 2070 | 13.41 | 2.02 | 29.21 | 2.41 | 21.31 | 2.22 | 1 178 | -45 | |||
| Templado subhúmedo C(w2) | |||||||||||
| Horizonte 2030 | 10.08 | 1.19 | 26.05 | 1.37 | 18.06 | 1.28 | 1 393 | -35 | |||
| Horizonte 2050 | 10.61 | 1.72 | 26.66 | 1.98 | 18.63 | 1.85 | 1 378 | -51 | |||
| Horizonte 2070 | 10.89 | 2.01 | 27.12 | 2.44 | 19.01 | 2.23 | 1 384 | -43 | |||
| Templado húmedo Cbm(w) | |||||||||||
| Horizonte 2030 | 10.04 | 1.19 | 24.65 | 1.37 | 17.35 | 1.28 | 1 164 | -34 | |||
| Horizonte 2050 | 10.57 | 1.72 | 25.25 | 1.98 | 17.91 | 1.85 | 1 149 | -50 | |||
| Horizonte 2070 | 10.88 | 2.03 | 25.7 | 2.42 | 18.29 | 2.23 | 1 156 | -43 | |||
z= datos de simulación para las climatologías; y= diferencia aritmética de restar el valor de un horizonte menos la climatología de referencia.
El cambio climático en un escenario de altas emisiones de GEI (RCP 8.5) manifiesta en todos los climas las mayores diferencias respecto a la climatología de referencia (1961-2010). Aumentos de temperatura de más de 3 °C, de los cuales resalta Tmáx con 3.74 °C en el horizonte 2070. La tasa de cambio entre mediados y finales de siglo en todas las variables térmicas es mayor a 1 °C. En lo que respecta a la Pcp, todos los climas y todos los horizontes presentan disminución, siendo el horizonte 2070 donde se acentúa dicha disminución (menores que 120 mm) el cual representa en promedio 10% de la Pcp en cada uno de los cuatro climas (Cuadro 5).
Cuadro 5 Simulación climática para el RCP 8.5 en tres diferentes horizontes por tipo de clima.
| Climatología | T mín (°C) | T máx (°C) | T med (°C) | P (mm) | |||||||
| Simz | Dif y | Sim | Dif | Sim | Dif | Sim | Dif | ||||
| Cálido subhúmedo (Aw1) | |||||||||||
| Horizonte 2030 | 15.23 | 1.51 | 31.45 | 1.84 | 23.34 | 1.68 | 1 083 | -62 | |||
| Horizonte 2050 | 15.9 | 2.18 | 32.27 | 2.66 | 24.09 | 2.42 | 1 055 | -90 | |||
| Horizonte 2070 | 16.92 | 3.19 | 33.34 | 3.74 | 25.13 | 3.47 | 1 022 | -123 | |||
| Semicálido subhúmedo (A)Ca(w1)+(A)Ca(w2) | |||||||||||
| Horizonte 2030 | 12.93 | 1.54 | 28.65 | 1.85 | 20.79 | 1.69 | 1 158 | -64 | |||
| Horizonte 2050 | 13.62 | 2.23 | 29.47 | 2.67 | 21.54 | 2.45 | 1 130 | -92 | |||
| Horizonte 2070 | 14.63 | 3.24 | 30.54 | 3.74 | 22.58 | 3.49 | 1 085 | -137 | |||
| Templado subhúmedo Cb(w2) | |||||||||||
| Horizonte 2030 | 10.39 | 1.51 | 26.53 | 1.84 | 18.46 | 1.67 | 1 377 | -52 | |||
| Horizonte 2050 | 11.09 | 2.21 | 27.35 | 2.66 | 19.22 | 2.44 | 1 354 | -75 | |||
| Horizonte 2070 | 12.11 | 3.23 | 28.42 | 3.74 | 20.27 | 3.49 | 1 307 | -122 | |||
| Templado húmedo Cbm(w) | |||||||||||
| Horizonte 2030 | 10.42 | 1.57 | 25.12 | 1.84 | 17.77 | 1.7 | 1 143 | -55 | |||
| Horizonte 2050 | 11.08 | 2.23 | 25.94 | 2.66 | 18.51 | 2.45 | 1 119 | -80 | |||
| Horizonte 2070 | 12.11 | 3.26 | 27.01 | 3.73 | 19.56 | 3.49 | 1 069 | -129 | |||
z= datos de simulación para las climatologías; y= diferencia aritmética de restar el valor de un horizonte menos la climatología de referencia.
El aumento de la Tmín según los escenarios RCP 4.5 y 8.5, resultaría benéfico al disminuir el riesgo de exposición a bajas temperaturas (<10 °C) las cuales afectan el desarrollo del cultivo, sobre todo en la fase de floración (Whiley y Winston, 1987; Zamet, 1990) . Es posible que dichas condiciones ocurran en los cuatro climas para los tres horizontes.
El incremento en la Tmáx sí podría representar un factor limitante para el cv. Hass en Michoacán. Los periodos de apertura floral de ‘Hass’ normalmente son de 40 a 90 días, siendo los periodos cortos para temperaturas altas durante la floración. Sin embargo, las temperaturas extremas altas (33ºC) durante la floración no sólo acortan el periodo de apertura de flores, sino que reducen la cantidad de flores que abren (Sedgley y Annells, 1981) y disminuyen la viabilidad del polen. Los periodos cortos de floración disminuyen la probabilidad de cuaja de fruto y consecuentemente la producción de fruto.
Después de la polinización y fecundación del óvulo se inicia la formación y el desarrollo del embrión. En el cv. Hass el crecimiento inicial de los embriones también es sensible a las temperaturas altas obteniéndose un máximo crecimiento inicial a 25/20 °C (día/noche) y muerte de embriones con temperaturas 28 - 33 °C (Sedgley y Annells, 1981). La caída de frutillos (<5 mm) en aguacate también es provocada por las temperaturas extremas máximas (R2= 0.72), así como la baja humedad relativa (R2= 0.87) asociada a las altas temperaturas (Lahav y Zamet, 1999). Las condiciones mencionadas se presentarán solamente en el clima cálido subhúmedo bajo el escenario RCP 8.5 en el horizonte 2 070. Sin embargo, el aumento de temperatura en combinación con una disminución de la precipitación incrementará el estrés del cultivo (aumento de la evapotranspiración), intensificando el impacto del aumento de la temperatura (Ruiz et al., 2011).
Umbral térmico para el desarrollo floral
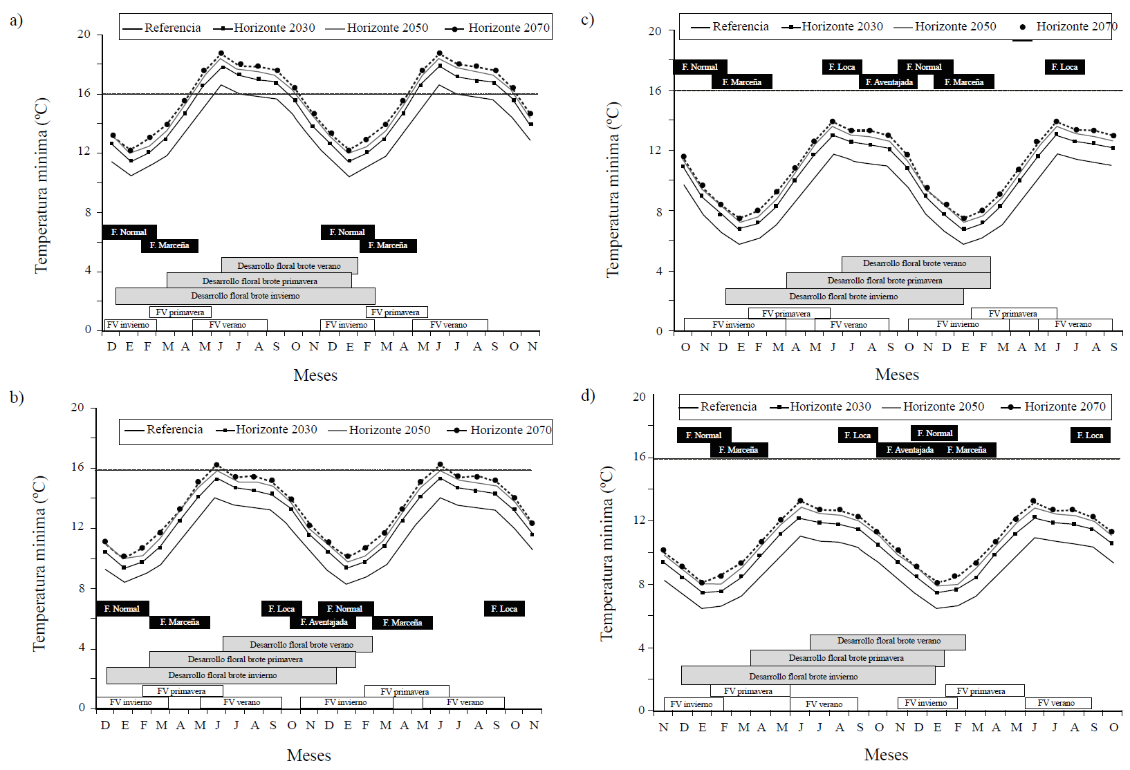
El cambio climático sólo podrá afectar al proceso de desarrollo floral en dos climas de la región productora de aguacate en Michoacán (cálido subhúmedo y el semicálido subhúmedo). Los climas templados aún se mantienen por debajo del umbral crítico (Tmín ≤ 16 °C) (Álvarez-Bravo y Salazar-García, 2015). En el clima cálido subhúmedo en los tres horizontes del escenario intermedio en emisiones de GEI la Tmín supera el umbral por siete meses (abril-octubre) (Figura 2A). En el clima semicálido subhúmedo se superará el umbral de 16 °C en junio para el horizonte de finales de siglo (Figura 2B).

Figura 2 Tmín mensual para el RCP 4.5 en tres horizontes y fenología del aguacate ‘Hass’ en los climas: a) cálido subhúmedo Aw1; b) semicálido subhúmedo (A)Ca(w1)+(A)Ca(w 2); c) templado subhúmedo Cb(w2); y d) templado subhúmedo monzónico Cbm(w). “F” se refiere a floración y “FV” a flujo vegetativo.
Mientras que en el escenario RCP 8.5 no únicamente incrementan los meses de exposición al umbral crítico (abril-diciembre para el horizonte 2070) sino también se alcanzará una Tmín de 20 °C en verano (Figura 2A). En lo que respecta al clima semicálido subhúmedo, solo en el horizonte 2070 se prevé supere la línea de 16 °C en el periodo junio - octubre (Figura 2B). Lo anterior muestra la vulnerabilidad del cv. Hass ante el cambio climático, coincidiendo con lo reportado en otros trabajos donde se concluye el impacto negativo del cambio climático en etapas fenológicas sensibles a altas temperaturas (Howden et al., 2005; Putland et al., 2011).
Esta vulnerabilidad del cv. Hass debería ser motivo de incluir en un futuro próximo una línea de investigación encaminada a la búsqueda de germoplasma con mejor respuesta adaptativa a las altas temperaturas y su incorporación a programas de mejoramiento genético, con la finalidad de obtener variedades mejor dotadas para enfrentar el cambio climático del presente siglo.
Inflexión de la temperatura mínima
Es aceptado que la transición de un periodo cálido a uno fresco (disminución de la Tmín) promueve el inicio del desarrollo floral mediante la inhibición del crecimiento vegetativo (Salazar-García et al., 2013). Esta inflexión se presenta en los cuatro climas de julio en la climatología de referencia. Sin embargo, en el escenario de emisiones medias, se presentan aumentos de temperatura en los tres horizontes pero prevalece julio como el mes de inflexión (Figura 2A, 2B, 2C y 2D). En tanto la climatología mensual en el escenario de altas emisiones tendrá impacto negativo en los cuatro climas. En el cálido y semicálido subhúmedo la inflexión se moverá un mes hacia adelante (agosto) (Figura 3A y 3B).

Figura 3 Tmín mensual para el RCP 8.5 en tres horizontes y fenología del aguacate ‘Hass’ en los climas: A) cálido subhúmedo Aw1; B) semicálido subhúmedo (A)Ca(w1)+(A)Ca(w2); C) templado subhúmedo Cb(w2); y D) templado subhúmedo monzónico Cbm(w). “F” se refiere a floración y “FV” a flujo vegetativo.
Mientras que en el templado subhúmedo y subhúmedo monzónico la inflexión se prolonga hasta dos meses después (septiembre) (Figuras 3C y 3D) con consecuencias en la posible desaparición de la floración marceña. Rocha et al. (2010) indicaron que la determinación irreversible a la floración se presenta más temprano en los climas templados que en los cálidos.
Considerando la salida del escenario RCP 8.5 esa aseveración cambiará en el horizonte de mediados y finales de siglo. Estos cambios en el patrón climático promoverán alteraciones fenológicas que seguramente impactarán la cantidad y calidad del fruto a cosechar, como lo exponen trabajos realizados en Michoacán (Salazar-García et al., 2011; Salazar-García et al., 2016a; Salazar-García et al., 2016b).
Conclusiones
La fenología del aguacate ‘Hass’ cultivado en Michoacán es vulnerable al cambio climático por dos amenazas: 1. El aumento de la temperatura máxima media anual; y 2. El retraso de la inflexión (descenso) de la temperatura mínima. Estos impactos son regionales y asociados a zonas climáticas identificadas en este estudio. Por lo tanto, el cambio climático sí modificará las zonas productoras de este cultivar de aguacate. Las zonas con clima cálido subhúmedo son las más afectadas por el aumento de la temperatura máxima al sobrepasar el umbral crítico de 33 °C, en tanto que en los climas templados subhúmedo y templado subhúmedo monzónico, resentirán el retraso de iniciación floral solamente para la trayectoria de concentración representativa (RCP) 8.5. Los resultados apuntan hacia mejores condiciones futuras para el cultivo de ‘Hass’ en el clima semicálido subhúmedo (A)Ca(w1)+(A)Ca(w2), aún con los cambios en el clima futuro.










texto en 



