Introducción
Las fitohormonas, también llamadas hormonas vegetales o reguladores del crecimiento vegetal, son sustancias producidas por células vegetales en sitios estratégicos de la planta y son capaces de regular de manera predominante los fenómenos fisiológicos de las plantas (Srivastava, 2002). Las hormonas juegan un papel clave en el desarrollo en las plantas, ya que están íntimamente involucradas en el crecimiento de las plantas y en su desarrollo en respuesta a las señales del medio ambiente como la luz, tomando en cuenta que la interacción entre las hormonas es crucial para la coordinación del desarrollo de la planta (Halliday, 2004).
Las hormonas vegetales son sustancias que se sintetizan y actúan a muy bajas concentraciones, regulando el crecimiento, desarrollo o metabolismo del vegetal. Los cambios en la concentración de la hormona y la sensibilidad de los tejidos provocan una amplia gama de efectos en las plantas, muchos de los cuales involucra interacciones con el ambiente como un tipo de adaptación, considerando que las plantas son organismos inmóviles. Para diferenciarlos de las hormonas vegetales de origen natural, los compuestos que producen efectos fisiológicos pero que son de origen sintético se denominan “reguladores del crecimiento vegetal” (Adam y Marquardt, 1986).
Las plantas poseen la capacidad de sintetizar una gran variedad de esteroides, confiriéndoles una función hormonal similar a la que ocurre en animales. Varios son los esteroides de origen vegetal que han sido identificados, pero solamente una clase de ellos, los llamados brasinoesteroides tienen una amplia distribución en el reino vegetal, ya que se han encontrado en todos los órganos de un gran número de representantes de diferentes familias del reino vegetal marino y terrestre. Además, se consideran como el sexto grupo de fitohormonas, tomando en cuenta que cumplen con las características básicas de hormonas vegetales que son esenciales para el crecimiento y desarrollo de las plantas (Seeta et al., 2002; Salgado et al., 2008).
Los brasinoesteroides son compuestos vegetales que tienen la capacidad de estimular el crecimiento de las plantas. Se ha demostrado que influyen en la germinación, rizogénesis, floración, senescencia, abscisión y en los procesos de maduración. Los brasinoesteroides también confieren resistencia a las plantas contra estrés abiótico y biótico, por lo que se les considera como una nueva clase de hormonas vegetales con efectos pleiotrópicos. Los recientes descubrimientos de las propiedades fisiológicas de los brasinoesteroides permiten considerarlos como sustancias naturales apropiadas para su uso hacia la protección de las plantas y aumento en la producción agrícola (Seeta et al., 2002; Salgado et al., 2008), entre otras características.
Reseña histórica sobre las hormonas vegetales
El crecimiento de las plantas es un proceso complejo, pero bien organizado y coordinado. En 1880, Julius Sachs sospechó de la existencia de "mensajeros químicos" que coordinan el crecimiento entre las diferentes partes de las plantas. Sin embargo, el verdadero impulso a esta teoría vino de la publicación del libro The Power of Movements in Plants por Charles Darwin, que incorporó algunas de las observaciones hechas por él junto con su hijo Francis Darwin, sobre el comportamiento sistemático referente a la encorvadura hacia la luz (fototropismo) de los coleóptilos de alpiste. El libro sirvió como trampolín para dar paso a una línea de investigación, que condujo a la identificación de las hormonas en plantas. Mientras que el metabolismo proporciona la energía y la formación de estructuras para la vida de las plantas, son las hormonas las que regulan el ritmo de crecimiento de las partes individuales, e integran estas partes para producir la forma que reconocemos como una planta. A raíz de esto, se estableció que el crecimiento y desarrollo de las plantas es regulado sólo por cinco grupos de hormonas: auxinas, gibelinas, citocinas, ácido abscísico y etileno (Seeta et al., 2002).
Las plantas poseen la capacidad de biosintetizar una gran variedad de esteroides, cuya función como hormonas se estudiaron con frecuencia por los siguientes años. Sin embargo, no fue hasta 1979 que se confirmó la presencia de las hormonas esteroides en las plantas. En ese año, científicos estadounidenses publicaron los datos de un nuevo esteroide llamado brasinolido, que se aisló de polen de Brassica napus L. (Khripach et al., 2000).
En realidad, fue a principios de la década de los sesenta, cuando algunos investigadores ya tenían la hipótesis de que la germinación acelerada y el crecimiento de los granos de polen podrían estar asociados con la presencia de promotores del crecimiento. En 1970 se reportó que algunos extractos del polen de Brassica napus L. producían un poderoso efecto de elongación (alargamiento) en el tallo de frijol. Esta respuesta fue distinta a la que producen otras hormonas denominadas giberelinas. Las sustancias que promovieron el crecimiento de manera más activa fueron aisladas de Brassica napus, y por ello fueron llamadas “brassinos”. Por consiguiente, se atribuyó el estatus de hormona vegetal a los brassinos porque eran compuestos orgánicos específicos, aislados de plantas y que habían inducido crecimiento cuando eran aplicados en cantidades diminutas a otras plantas (Mitchell et al., 1970). A partir del aislamiento e identificación de este brasinólido, se intensificaron las investigaciones encaminadas a estudiar los efectos que este nuevo compuesto y otros relacionados generan en las plantas (Núñez y Mazorra, 2001), para considerar a los brasinoesteroides como el sexto grupo de fitohormonas.
Estructura química de los brasinoesteroides
Las hormonas presentes tanto en animales y plantas poseen diversas estructuras entre las que se encuentran los péptidos de bajo peso molecular y los esteroides. Aunque las hormonas esteroides de ambos grupos de organismos comparten similitudes en su biosíntesis y funciones generales, los mecanismos moleculares de reconocimiento y transducción de su señal hasta el núcleo de la célula son diferentes. Las fitohormonas esteroidales son las únicas hormonas vegetales con una estructura química de este tipo en las plantas, y agrupa hasta el momento a 59 miembros (Coll, 2006).
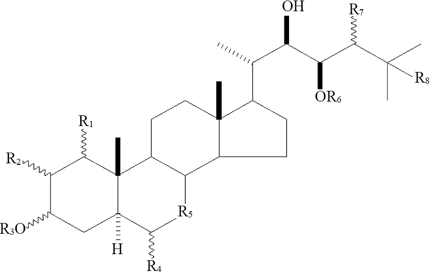
Las moléculas de los brasinoesteroides cuentan con cuatro anillos y una cadena lateral (Figura 1), y se forman a partir de la condensación de bloques de cinco átomos de carbono, denominados isoprenos. Los brasinoesteroides con mayor presencia en plantas son los que poseen 28 átomos de carbono con diferentes sustituyentes en dos anillos, así como en la cadena lateral. Se han identificado químicamente más de 50 brasinoesteroides de fuentes vegetales, y el brasinólido es hasta ahora el que produce la mayor actividad biológica de todos, ya que puede sintetizarse directamente del campesterol o a través de la síntesis general de los esteroles. Los esteroles vegetales, además de su papel como precursores de los brasinoesteroides, son componentes integrantes de las membranas celulares, donde regulan su fluidez y permeabilidad (Bishop y Yokota, 2001).

Figura 1 Estructura química de los brasinoesteroides naturales (modificado de Bishop y Yokota, 2001.)
Las diferencias en cuanto a la estructura de los brasinoesteroides naturales se debe a la presencia de un oxígeno en el átomo de carbono tres y otros adicionales en el carbono dos y seis de los anillos A y B, así como en las posiciones de los carbonos 22 y 23 de la cadena lateral (de acuerdo al orden numérico de los carbonos de los esteroides. Los análogos de brasinoesteroides son compuestos que tienen una estructura similar a los brasinoesteroides naturales y tienen una actividad muy parecida a la brasinólida (Bishop y Yokota, 2001; Zullo y Adam, 2002).
De manera general, se puede apreciar que la estructura química de las hormonas esteroides vegetales es similar a la de otro tipo de hormonas, como la de animales mamíferos o insectos. En la Figura 2 se puede ver La estructura química del brasinólido y de la castasterona, que son hormonas esteroides vegetales, en comparación con la testosterona y estradiol, que son hormonas esteroides sexuales de mamíferos, y la hormona esteroide ecdisoma, que se encuentra en diversas clases de insectos (Bishop y Koncz, 2002). A diferencia de las otras estructuras, se puede observar un determinado número de carbonos en el brasinólido que tiene restos de oxígeno, que son importantes para llevar a cabo una actividad adecuada de este compuesto como hormona esteroide.
Tras la identificación de la brasinólida, decenas de compuestos con características estructuralmente semejantes han sido aislados y caracterizados, como la dolicólida y la epibrasinólida (Figura 3), que han mostrado diferentes grados de actividad estimuladora de la elongación y división celular. Estos compuestos, además de la brasinólida, que es el representante más activo, conforman la familia de los brasinoesteroides que en general son considerados por muchos especialistas como la sexta clase de hormonas vegetales (Salgado et al., 2008).

Figura 3 Primeros brasinoesteroides naturales caracterizados. A) brasinólida; B) dolicólida; y C) epibrasinólida (modificado de Salgado et al., 2008).
Todos los brasinoesteroides naturales hasta ahora conocidos son derivados polihidroxilados del 5-colestano, y pueden presentar desde veintisiete hasta veintinueve átomos de carbono. Las agrupaciones funcionales que se suponen sean las responsables de la actividad biológica de estos compuestos, están concentradas en tres fragmentos fundamentales del esqueleto colestánico; estos son los anillos A y B (parte cíclica) y la cadena lateral (Figura 1). Con la maduración los brasinoesteroides conjugados pueden hidrolizados para liberar brasinoesteroides libres.
Biosíntesis de los brasinoesteroides
La ruta biosintética se puede dividir en dos grandes secciones: de oxidación temprana y ruta de oxidación tardía (Figura 4). La primera sección, que abarca la formación de esteroles, en la que el escualeno se convierte en campesterol, abarca una serie de 13 reacciones bioquímicas; y en la segunda sección el campesterol se convierte en brasinolida en 11 reacciones adicionales. Dentro de la ruta biosintética deben producirse ciertos cambios importantes con el fin de obtener moléculas bioactivas, entre estos cambios se incluyen: la formación del grupo oxo en la posición C-6, adición de los grupos hidroxilo en las posiciones C-22 y C-23, formación del sistema diol en los carbonos 2 y 3 del anillo A y la oxidación BaeyerVillager en el anillo B.
La ruta biosintética que abarca la transformación de campesterol en brasinolida posee dos puntos de bifurcación que dan lugar a cuatro ramas dentro de la ruta bioquímica de formación, el primer punto de ramificación es el campesterol, el cual puede seguir por la ruta de oxidación temprana o por la ruta de oxidación tardía del carbono 22. El segundo punto de ramificación es el campestanol; éste puede seguir la ruta de oxidación temprana o la ruta de oxidación tardía del carbono 6, cualquiera que sea la ruta que se siga, estas vuelven a unirse con la formación de la castasterona, la misma que requiere de una reacción más para dar lugar a la brasinolida. En cuanto a la localización intracelular de los brasinoesteroides, se ha indicado que los plastidios son organelos importantes para estos compuestos. El estroma puede ser el sitio de síntesis mientras que los gránulos de almidón se asumen como sitios de almacenaje de estos potentes reguladores del crecimiento.
La regulación de la abertura de estomas es un proceso complejo que depende de muchos factores, entre ellos, luz, concentraciones ambientales de CO2, temperatura, humedad relativa, concentración citosólica de calcio, hormonas y enzimas marcadoras de rutas metabólicas relacionadas, que también ejercen muy importantes influencias y desempeños (González et al., 2005; Salgado et al., 2008). Algunas propuestas para la biosíntesis de brasinoesteroides ya se han reportado, y se han establecido posibles vías en 2α, 3α-dioles. El campesterol es el precursor inicial para la biosíntesis de brasinólida, debido a la similitud de su esqueleto carbonado, junto con otros esteroles tales como α-sitosterol, brasicastrol y 22-dehydrocolesterol (Wada y Marumo, 1981; Salgado et al., 2008).
Distribución en las plantas
Muchos esteroides de plantas, han sido identificados, pero sólo los brasinoesteroides tienen una amplia distribución en todo el reino vegetal y poseen una actividad única promotora del crecimiento (Li y Chori, 1999). Los brasinoesteroides se han encontrado principalmente en polen, hojas, yemas, flores y semillas, en proporciones y formas diferentes, caracterizándose como compuestos polihidroxiesterpoides. Algunas de las plantas y sus partes en las que se presentan los brasinoesteroides se presentan en el Cuadro 1 (Seeta et al., 2002).
Cuadro 1 Distribución de brasinoesteroides en el reino vegetal. Seeta et al. (2002).
| Sección de la planta | Especie vegetal |
| Polen | Helianthus annuus, Alnus glutinosa, Brassica napus, Robinia pseudo-acacia, Vicia faba, Fagopyrum esculentum, Citrus unshiu, Citrus sinensis, Cupresus arizonica, Pinus thunbergii, Cryptimeria japónica |
| Semilla | Gypsophili perfoliata, Beta vulgaris, Pharbitis purpurea, Brassica campestris, Raphanus sativus, Cassia tora, Lablab purpreus, Orinthopus sativus, Phaseolus vulgaris, Pisum sativum, Vicia faba, Cannabinus sativa, Apium graveolens |
| Tallo | Arabidopsis thaliana, Ornithopus sativus, Pisum sativum, Lycopersicon esculentum |
| Hoja | Castanea crenata, Distylium recemosus, Thea Sinensis |
| Otros | |
| Células cultivadas | Catharanthus roseus |
| Panícula | Rheum rhabarum |
| Región cambial | Cryptomeria japonica |
| Hiel | Castanea crenata |
| Estróbilo | Equisetum arvense |
| Talo | Hydrodictyon reticulatum |
Los brasinoesteroides están presentes en las plantas a muy bajas concentraciones (niveles de nanogramo). Los niveles endógenos de los brasinoesteroides varían entre los tejidos de las plantas. Los tejidos jóvenes o en crecimiento contienen niveles de brasinoesteroides más altos que los tejidos maduros. El polen y las semillas son las fuentes más ricas con un rango de 1- 100 ng/g de peso seco, mientras que los brotes y las hojas tienen cantidades más bajas, es decir, 0.01-0.1 ng/g de peso seco (Seeta et al., 2002).
Efectos fisiológicos de los brasinoesteroides
Las plantas, al igual que el resto de los organismos pluricelulares, han desarrollado a lo largo de su evolución, diferentes mecanismos para reconocer y responder a las señales externas del ambiente, las cuales incluyen factores abióticos y bióticos, así como señales del ambiente interno del organismo, como es el caso específico de las hormonas. La aplicación de los brasinoesteroides induce un amplio rango de respuestas, incluyendo un incremento en la expansión celular de las hojas, aumento de la elongación del tallo, crecimiento del tubo polínico, des enrollamiento de las hojas en pastos, reorientación de las microfibrillas de celulosa, induce la formación de tejido conductor, influyen en la fotomorfogénesis, en la división celular, indistintamente pueden estimular o inhibir la rizogénesis, participan en la inducción de la biosíntesis de etileno, en la polarización de la membrana y son sustancias que influyen positivamente contra el estrés biótico y abiótico (Coll, 2006).
A partir del aislamiento e identificación de la brasinólida del polen de Brassica napus se intensificaron las investigaciones encaminadas a estudiar los efectos que este nuevo compuesto y otros relacionados generan en las plantas. Así, ya en 1983, se informó que el tratamiento de plantas de lechuga con 22, 23, 24-triepibrasinólida incrementó el rendimiento del cultivo cuando era cultivado en un suelo no fertilizado óptimamente. Posteriormente, al evaluar los usos prácticos de la brasinólida se consideró que una acción importante de este compuesto era acelerar la resistencia al estrés, como es el caso de bajas temperaturas, de infección por hongos, daños por herbicidas y la salinidad en el suelo (Nuñez y Mazorra, 2001).
La respuesta de las plantas a los brasinoesteroides incluye efectos sobre los sistemas de señalización para la defensa contra insectos y hongos, en la elongación celular y del tallo, la división celular, el desarrollo vascular y reproductivo, la polarización de las membranas y el bombeo de protones, las relaciones fuente/sitio de consumo y la modulación de estrés. También se ha reportado su influencia en el gravitropismo y en el retraso de la abscisión de hojas y frutos (Clouse, 1996; Izquierdo, 2011).
Debido a los efectos sustanciales de los brasinoesteroides sobre el crecimiento y desarrollo de los plantas, el potencial económico de los brasinoesteroides en la agricultura fue reconocido en la década de los ochentas. La síntesis de análogos de brasinoesteroides confirmando la relación estructura-actividad proporciona un método para la preparación de grandes cantidades de brasinoesteroides activos para su empleo y evaluación a nivel invernadero y campo. Numerosas pruebas de un brasinoesteroide sintético, 24 epibrasinolida, en China, Japón y Rusia mostró que a pesar de ser un compuesto exógeno, tiene la capacidad de incrementar el rendimiento en una variedad de especies de plantas, los resultados son variable en función del modo de aplicación, la etapa de crecimiento y las condiciones ambientales (Divi y Krishna, 2009; Izquierdo, 2011).
Conclusiones
En general, en los últimos años se ha generado bastante información sobre la ruta de biosíntesis de los brasinoesteroides y sobre su modo de percepción. Los resultados preliminares de su efecto en la inducción de la división celular probablemente nos conduzcan a nuevas áreas del conocimiento. Se está avanzando en el conocimiento de cuáles son los componentes intermediarios para llevar la señal desde la membrana hasta la célula, pero aún quedan muchas incógnitas por responder. Teniendo en cuenta los avances que se han alcanzado en el estudio de los brasinoesteroides y sus análogos a nivel internacional, es muy probable que en un breve espacio de tiempo se definan con claridad sus mecanismos y modo de acción en las plantas.










texto en 




