PACS: 01.40.gb; 01.50.H-; 46.40.-f; 02.30.Hq; 02.60.Cb
1. Introducción
El objetivo de este artículo es presentar un análisis teórico y numérico sobre un experimento en el que comparamos tres amortiguadores hidráulicos. Nuestro propósito es que sirva como apoyo a la formación de estudiantes de ingeniería y ciencias, en particular para quienes cursan la experiencia educativa llamada vibraciones mecánicas. La filosofía de fondo que dirige nuestros esfuerzos es el aprendizaje basado en solución de problemas (ABP) 1.
Usualmente las vibraciones mecánicas se abordan como un ejemplo de aplicación de ecuaciones diferenciales (ED), lineales de orden superior, en un curso de ED universitario. Por lo cual hemos querido presentar una práctica realizada en el laboratorio de física, la cual forma parte de los criterios de desempeño de la experiencia educativa de ecuaciones diferenciales, que a su vez sirva como base a estudios posteriores en el laboratorio de vibraciones mecánicasi. Incluimos además el uso de software libre (PPLANE y GeoGebra) para analizar los experimentos realizados lo cual, a nuestro parecer, aunado al análisis teórico consolida competencias en el estudiante bien apreciadas en el ámbito laboral. El objetivo instruccional de esta práctica es que el estudiante construya su aprendizaje a partir de la experiencia en el laboratorio, que resuelva el problema de cuantificar el efecto de la viscosidad en un sistema masa-resorte-amortiguador (MRA) y que sea capaz de argumentar su opinión en base a los resultados de su investigación con los tres tipos de amortiguadores aquí estudiados.
Los autores discutimos sobre la actividad aquí propuesta, teniendo en cuenta que la educación tradicional se puede complementar mediante la estrategia didáctica del ABP, lo cual contribuye a consolidar aprendizajes significativos que a su vez se traducen en las habilidades deseadas, como son: la obtención de datos de un experimento (situación concreta con elementos tangibles), el análisis matemático-computacional y la argumentación de resultados 2,3.
Se utiliza PPLANE para resolver numéricamente la ED de segundo orden asociada al sistema (MRA) para cada amortiguador (agua, aceite comestible y aceite para motor). Para ello, la ecuación se reescribe como un sistema de dos ED’s de primer orden, con lo cual se obtiene una gráfica de la solución numérica 4,5. Por otra parte, se resuelve a mano la ED de segundo orden, obteniendo así la forma analítica de la solución, la cual se grafica en GeoGebra y se compara con la solución numérica obtenida en PPLANE, garantizando así que la colección de datos y el análisis hecho es correcto 6,7.
El sistema MRA ofrece una excelente descripción de los fenómenos de vibraciones mecánicas, pese a ser un tópico de estudio bien conocido, aún es tema de investigación de frontera del conocimiento 8,9.
Se considera un sistema MRA, como el que se presenta en la Fig. 1, con una masa m, un resorte con constante elástica k y un amortiguador con coeficiente de amortiguamiento viscoso β.

Figura 1 Esquema del sistema masa resorte amortiguador (MRA). La masa denotada por m, el resorte con constante elástica k y amortiguador con coeficiente viscoso β.
En ausencia de otra fuerza que actúe en el sistema, se tiene por la segunda ley de Newton que:
Donde, x es el desplazamiento de la masa medido desde su punto de equilibrio, positivo hacia abajo y negativo hacia arriba. Además, el signo negativo en el lado derecho de la Ec. (1) se debe a que, tanto resorte como amortiguador, actúan en dirección opuesta al movimiento. A esta ecuación se le llama ED del movimiento libre amortiguado. Haciendo un cambio de variables
la Ec. (1) se puede escribir como:
La Ec. (3) tiene la ecuación caracterísitica:
Cuyas raíces son:
Donde c1 y c2 se determinan por las condiciones iniciales.
En este artículo sólo consideramos el caso sub amortiguado ya que éste presenta oscilaciones, los otros dos casos presentan comportamiento asintótico hacia el punto de equilibrio y en consecuencia no oscilan. Por lo tanto, el caso subamortiguado es el que mejor ejemplifica las vibraciones mecánicas.
2. Análisis de la solución del caso sub amortiguado
En esta sección se analiza la solución de la Ec. (3).
En forma alternativa, se puede escribir (4) como
donde
En los experimentos realizados no se observó una amplitud A mayor a 5 cm. Todos los experimentos se llevaron a cabo con idénticas condiciones iniciales, la masa se libera desde el reposo a una distancia de 5 cm hacia abajo desde su punto de equilibrio. Es decir, x(0) = 0.05 y x'(0) = 0.
En general, se tiene x(t) como en la Ec. 4, entonces x'(t) es:
Para determinar los valores c1 y c2 se tiene que
Además, de x'(0) se tiene que
De las Ecs. (6), (7) y por las condiciones iniciales se tiene
La Ec. (8) permite escribir a c2 como función de λ, que a su vez es función de β, en vista de la Ec. (2) λ = β/2m. Ver Fig. 2.
El efecto de c2 es visible en la amplitud
3. Análisis del experimento
En esta sección se describe el experimento realizado con el sistema MRA para el amortiguador a base de agua. El análisis realizado con los otros dos amortiguadores se llevó a cabo de la misma forma, los resultados se muestran en la Sec. 4. El objetivo es determinar el coeficiente de amortiguamiento viscoso β. Ver Fig. 3.
La masa m, medida en kilogramos kg, que consideramos para el sistema es la suma de las masas de la pesa, denotada por mp y de la varilla con su disco (elementos del amortiguador), denotada por ma (Ver Fig. 3). Se utiliza una báscula para determinar mp = 204.70 grs y ma = 15 grs. Así que m = mp + ma = 219.70 grs = 0.2197 kg.
La constante de elasticidad k, medida en N/m, del resorte se determina midiendo la elongación producida por el peso de la masa. En vista de la Ley de Hooke, utilizamos sólo la masa mp; es decir el sistema desacoplado del amortiguador. Esto no introduce ningún error de medición pues la fuerza con la que el resorte jala la masa es proporcional al peso, de forma que agregar más o menos peso sólo elongará mas o menos el resorte, por ello es posible determinar k sólo con mp. Se denota por Fr la fuerza con la que el resorte jala o empuja la masa. Por lo tanto, Fr = kx. El resorte sin deformar mide 25.5 cm, cuando se coloca la masa mp = 0.2047 kg ésta jala con una fuerza igual a su peso W = 2.01 N, entonces el resorte mide 110.8 cm. La elongación △x = 110.8 cm -25.5 cm = 85.3 cm = 0.853 m. Entonces, 2.01 = k(0.853), así que k = 2.01/0.853 = 2.35 N/m.
El coeficiente de amortiguamiento viscoso β, medido en N s/m, es un parámetro teórico capaz de explicar la disipación de energía debida a las fricciones que frenan el movimiento. No es un parámetro físico real como la masa m y la constante elástica k a los cuales se puede acceder con una medición simple. A continuación se describe la metodología seguida para encontrar un valor aproximado.
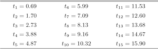
Con la ayuda de un cronómetro, un trozo de cartón de peso despreciable cuyas dimensiones son ancho 5 mm, largo 5 cm, espesor de 1 mm y un láser medimos el tiempo que tarda en pasar la masa por su punto de equilibrio, desde el inicio del experimento hasta que el mismo se hizo indistinguible para nuestros instrumentos de medición. El cartón se colocó de manera que coincide con el punto de equilibrio de la masa. Los tiempos mencionados se muestran en la Tabla I.
Tabla I Tiempos para los que la masa pasa por su punto de equilibrio utilizando el amortiguador con agua.
Con estos tiempos vamos a calcular el cuasi perido τ, tiempo que la masa tarda en alcanzar dos picos consecutivos (ya sea máximo o mínimo). Sea τ/2 el promedio de las diferencias consecutivas de los tiempos que tarda la masa en pasar por su punto de equilibrio; es decir:
En consecuencia τ/4 = 0.51465517 será el tiempo que tarda la masa en ir del punto de equilibrio a un extremo.
Después de t30 el movimiento se hizo indistingible, esto se observa puesto que el cartón impide pasar al láser. Ver Fig. 4. Escrito en forma precisa, se tiene que:
Con τ/4 se calcula λ y en consecuencia a β. Sea y(t), la curva exponencial que delimita la solución x(t) de la Ec. (3). De hecho, y(t) = Ae-λt, del experimento sabemos que A = x(0) = 0.05 y que x(t30) = 0 fue el último tiempo para el cual la masa paso por su punto de equilibrio antes de que el movimiento fuera indistingible. Supondremos entonces que:
Por otra parte, dado que y(t) = Ae-λt se tiene que:
De aquí y usando la Ec. (2), se determina el coeficiente de amortiguamiento viscoso β = 2mλ = 0.03289765027. Ahora utilizamos PPLANE con los valores de m = 0.2197, k = 2.35, β = 0.03289765027, para graficar el movimiento de la masa en este sistema MRA con un amortiguador a base de agua. La solución de la Ec. (3) para estos parámetros se presenta en la Fig. 5.

Figura 5 Gráfica de la solución de la Ec. (3) para m = 0.2197, k = 2.35, β = 0.03289765027; considerando el amortiguador a base de agua.
Con la finalidad de estudiar mejor la solución mostrada en la Fig. 5, se grafíca en GeoGebra la solución
Raíces[ <Función> ,
<Extremo inferior del intervalo>,
<Extremo superior del intervalo> ]
se obtienen los tiempos para los cuales la masa cruza su punto de equlibrio, para esto se define la curva
c(x) = 0.05e^(-0.0748694817x)
cos(3.269678692 x),
entonces se calcula
Raíces [c(x), 0, 31],
ver Fig. 6.

Figura 6 Gráfica del desplazamiento x(t). Los puntos desde A hasta H1 se corresponden con los tiempos t1 hasta t32 en la Tabla II. Observe que x(t30 + τ/4) = 0.005.
La gráfica de x(t) que se presenta en la Fig. 6 tiene 32 cortes con el eje horizontal; estos valores se enlistan en la Tabla II. Mientras que nuestra experiencia en el laboratorio con el sistema MRA que estudiamos sólo cruza 30 veces, ver Tabla I, esto se debe a que el cuasi periodo empleado proviene del promedio de las mediciones que hicimos durante el experimento. Esta aproximación es suficiente para los propósitos de esta investigación.
Tabla II Raíces de x(t) utilizando el amortiguador a base de agua. De t1 hasta t32 se corresponden con los puntos A hasta H1 de la Fig. 6.
Cabe destacar que un cambio pequeño en el argumento de la función trigonométrica de
4. Comparación entre amortiguadores
En esta sección mostramos los resultados de estudiar un par de amortiguadores a base de aceite, uno comestible (aceite de girasol) y aceite para motor a gasolina (SAE 10W-40). La disminución de las reservas mundiales de petróleo del cual se derivan los lubricantes minerales, la conciencia ambientalista, han traído al terreno de la investigación de las propiedades físicas a los aceites vegetales como una alternativa como lubricantes por ser renovables y por presentar una alta tasa de biodegrabilidad 10.
Los tiempos cronometrados para el amortiguador de aceite comestible se muestran en la Tabla III.
Tabla III Tiempos en los que la masa pasa por su punto de equilibrio para el amortiguador de aceite comestible.
Con los tiempos en la Tabla III se determina τ/2 calculando el promedio de las diferencias consecutivas.
Por lo tanto, τ/4 = 0.54321429, es el tiempo aproximado que tarda la masa en ir de su punto de equilibrio al pico inmediato (ya sea máximo o mínimo). Supondremos, como antes que la función y(t) = -0.05e-λt que delimita el desplazamiento x(t) de la masa, que y(t15+τ/4) = -0.005, entonces aplicando logaritmos como en la ecuación λ = 0.1400325418, se puede calcular y en consecuencia β = 0.06153029888. Con estos datos se simula la solución en PPLANE y esta gráfica se presenta en la Fig. 7. La curva solución es analizada con el comando raíces de GeoGebra, para comparar los datos de la Tabla III con lo observado en la Fig. 8.

Figura 7 Simulación numérica de la solución x(t) para el amortiguador a base de aceite comestible. Los parámetros utilizados son m = 0.2197, k = 2.35 y β = 0.06153029888.

Figura 8 Gráfica de x(t) el desplazamiento de la masa cuando el amortiguador a base de aceite comestible. Observe que las raíces numeradas desde A hasta Q se muestran en la Tabla IV, son 2 más que las observadas en el experimento enlistadas en la Tabla III.
Los tiempos para los cuales la masa pasa por el punto de equilibrio con el amortiguador a base de aceite de motor a gasolina, se muestran en la Tabla V.
Tabla IV Raíces de la simulación numérica en GeoGebra para la solución x(t) en el caso del amortiguador a base de aceite comestible. Ver Fig. 8.
Tabla V Tiempos para los que la masa pasa por su punto de equilibrio utilizando el amortiguador con aceite de motor.
Se define
como el promedio de las diferencias consecutivas y se utiliza para calcular λ y β. Entonces τ/4 = 0.55625, de manera que supondremos que y(t) = -0.05e-λt y y(t5+τ/4) = 5.63625 = -0.005, entonces λ = 0.4085313982 y β = 0.1795086964. En la Fig. 9 se muestra la simulación numérica del desplazamiento con los parámetros m = 0.2197, k = 2.35 y β = 0.1795086964.

Figura 9 Simulación numérica de la solución x(t) para el amortiguador a base de aceite de motor. Los parámetros utilizados son m = 0.2197, k = 2.35 y β = 0.1795086964.
Para estudiar las raíces de esta solución utilizamos GeoGebra, la Fig. 10 muestra la solución x(t) y sus raíces. La Tabla se presentan las raíces numeradas desde A hasta F.

Figura 10 Gráfica de x(t) el desplazamiento de la masa cuando el amortiguador a base de aceite de motor. Observe que las raíces numeradas desde A hasta F se muestran en la Tabla IV, es 1 más que las observadas en el experimento (Ver Tabla V).
Tabla VI Raíces de la simulación numérica en GeoGebra para la solución x(t) en el caso del amortiguador a base de aceite de motor. Ver Fig. 10.
5. Conclusiones
La sensación general entre los estudiantes que realizaron la práctica fue de satisfacción, a su parecer, se comprendieron mejor los conceptos fundamentales de vibraciones mecánicas y de ED involucrados. Se abrió su panorámica en cuanto a lo que el análisis matemático puede decir de un fenómeno físico o de ingeniería y viceversa cuando lo observado se transforma en ecuaciones. Esto puede ser contrastado con las investigaciones realizadas en la Universidad de St Andrews 11. En este artículo se privilegió el hecho de que la modelación matemática y el ABP le permiten al estudiante analizar, resolver y argumentar. Se utilizó PPLANE para resolver numéricamente la ED asociada y por otra parte, se resolvió matemáticamente la ED, dicha solución se graficó en GeoGebra para comprobar que en efecto es la curva solución que obtuvimos en PPLANE.
Se realizó el análisis teórico de la curva solución del caso sub amortiguado para los experimentos realizados, todos con idénticas condiciones iniciales; liberado desde 5 cm por debajo del punto de equilibrio x(0) = 0.05 y del reposo x'(0) = 0. En todos los casos se observó que la amplitud máxima fue la inicial y que con cada oscilación dicha amplitud decrecía mientras el tiempo pasaba. Esto permitió hacer c2 = 0 y considerar la forma de la solución. Este análisis obedece a la necesidad de equilibrar entre lo práctico y lo abstracto con la finalidad de que ambas habilidades sean adquiridas por los estudiantes. Sin duda el aprendizaje significativo que se obtiene de confrontar al estudiante con elementos concretos y sus análisis se ve favorecido.
Se presentó una práctica de laboratorio de física, donde se encontró que el agua tiene un coeficiente de amortiguamiento viscoso β = 0.03, es el menor valor encontrado en estos experimentos. El aceite vegetal tiene prácticamente el doble del agua β = 0.06, pero es aproximadamente el 35.30% de viscoso en comparación con el aceite mineral. El cual tiene el mayor coeficiente de amortiguamiento viscoso β = 0.17.










nueva página del texto (beta)





