Introducción
Se conoce que los anfibios poseen una notable importancia ecológica y ambiental. Esto es debido a su rol particular en los ecosistemas, ya que su presencia y abundancia tienen una gran repercusión en las redes tróficas terrestres y acuáticas (Cei, 1980; Duellman y Trueb, 1986, 1994; Di Tada, Zavattieri, Bridarolli, Salas y Martino, 1996; Young, Stuart, Chanson, Cox y Boucher, 2004), y a sus características particulares como piel y huevos permeables, baja tasa metabólica, ciclo de vida acuático-terrestre, y a que son ectotermos, lo que los vuelve organismos apropiados para ser utilizados como bioindicadores de la calidad ambiental (Di Tada et al., 1996; Young et al., 2004). Sin embargo, desde hace algunas décadas se ha registrado la disminución y desaparición de varias poblaciones y especies alrededor del mundo (Alford, Bradfield y Richards, 2007; Blaustein y Dobson, 2006; Collins y Crump, 2009; GAA, 2004; Henle et al., 2008; Stuart et al., 2004). Uno de los factores que más influye en la disminución de estos organismos es la pérdida y fragmentación del hábitat (Beebee y Griffiths, 2005; GAA, 2004; Pounds, 2001; Stuart et al., 2004; Young et al., 2004). Esto es principalmente causado por la urbanización, ya que perturba gravemente los ecosistemas naturales y presenta, por lo tanto, una gran amenaza para toda la biota (Czech, Krausman y Devers, 2000; Marzluff, 2001; Miller y Hobbs, 2002), en particular para los anfibios, constituyéndose como uno de los factores principales que origina su disminución y consecuente desaparición (Hamer y Parris, 2011; Knutson et al., 1999; Riley et al., 2005).
En los paisajes urbanos, los hábitats naturales son alterados durante la construcción y reemplazados con superficies impermeables como pavimento, asfalto o edificios; o vegetación no nativa (McDonnell, Pickett y Pouyat, 1993; McKinney, 2002), y frecuentemente las áreas de humedales son modificadas o destruidas (Kentula, Gwin y Pierson, 2004). Menos del 20% del área de una ciudad presenta vegetación (Blair y Launer, 1997), y la misma es de estructura simple. Eso afecta negativamente la diversidad animal que depende de la complejidad y riqueza vegetal (Savard, Clergeau y Mennechez, 2000). Por otra parte, la viabilidad de las poblaciones de anuros se ve amenazada por la alteración del hidroperiodo, la disminución en la calidad del agua y la introducción de peces depredadores (Ensabella, Loriga, Formichetti, Isotti y Sorace, 2003; Ficetola y De Bernardi, 2004; Pearl, Adams, Leuthold y Bury, 2005; Rubbo y Kiesecker, 2005; Zambrano, Valiente y Vander-Zanden, 2010). En este sentido, la conservación de la fauna de anuros resulta especialmente difícil debido a las características de su ciclo de vida complejo, que alterna ambientes acuáticos y terrestres, para lograr su reproducción y desarrollo (Pope, Fahrig y Merriam, 2000; Semlitsch, 2002). En los ambientes urbanos esta problemática se acrecienta debido al trazado de carreteras y a la ausencia de corredores de dispersión entre los sitios de reproducción, desarrollo larval y la posterior dispersión de los organismos metamorfoseados (Acosta, Mesones y Núñez, 2005).
En Argentina los estudios sobre el estado de las comunidades de anuros en centros urbanos son pocos, registrándose los de la ciudad de Salta, al norte del país (Acosta et al., 2005; Palavecino y García, 2008). En la región central y concretamente para la ciudad de Río Cuarto no existen estudios sobre los ensambles de anuros urbanos. Considerando la intensa presión antrópica a la que podrían estar sometidos los anuros, y atendiendo la escasa información sobre las especies presentes en la ciudad, el objetivo de este trabajo fue realizar un inventario de las especies y analizar aspectos sobre su biología y ecología reproductiva relacionada al ecosistema urbano: modos reproductivos, periodo de actividad, distribución de las especies en la ciudad y ambientes utilizados. Esta información podría servir de base para la posterior elaboración de medidas para la conservación de comunidades de anuros en ambientes con alteración antrópica.
Materiales y métodos
Área general de estudio
La ciudad de Río Cuarto, Córdoba, Argentina (33°07'51" S, 64°20'59" O; 420 m snm) se ubica en la ecorregión del Espinal, ambiente fuertemente modificado por la producción agrícola, principal actividad socioeconómica de la zona. La ciudad, por su tamaño y su población, es la más importante de la región central del país (sur de Córdoba, noroeste de Buenos Aires, San Luís y La Pampa). La ciudad posee un tamaño poblacional de 180,000 habitantes y se encuentra en expansión tanto horizontal como vertical, con un notable aumento del ejido urbano, ocupando una superficie de 64.25 km2, lo que ocasiona modificaciones de los ambientes naturales o seminaturales de sus alrededores. Del área urbanizada total, los espacios verdes públicos constituyen menos del 2%, mientras que el 17% corresponde para los terrenos baldíos. La mayor densidad edilicia (m2 construidos/m2 de lotes edificados) se registra en la zona céntrica (Fundación Municipal para la Planificación Estratégica de Río Cuarto, PERC, 2005; Galfioni, Degioanni, Maldonado y Campanella, 2013; Luti et al, 1979; PEGRC, 2011; Portal-Municipalidad Río Cuarto, http://www.riocuarto.gov.ar/).
Descripción de sitios de muestreo
Dentro de la ciudad se seleccionaron 18 sitios de muestreo y se dividió en 5 zonas: norte (N), sur (S), este (E), oeste (O) y centro (C). En cada zona se determinaron 3 o 4 sitios, teniendo en cuenta la presencia de cuerpos de agua. De acuerdo con la estabilidad del cuerpo de agua, los sitios de muestreo fueron clasificados en 4 tipos de ambientes: 1) ambiente temporal, el cuerpo de agua permaneció como máximo durante 8 semanas; 2) ambiente semitemporal, se mantuvo hasta 16 semanas sucesivas; 3) ambiente semipermanente, el cuerpo de agua estuvo presente hasta 26 semanas y 4) ambiente permanente, donde hay agua durante todo el año.
Obtención y análisis de datos
El periodo de muestreo se efectuó entre septiembre de 2008 y diciembre de 2009, cada 15 o 25 días, considerando la presencia de precipitaciones. Se realizaron en total 408 muestreos. Se recorrieron los sitios 2 veces en el día, entre las 17 y 24 h. Para determinar la actividad reproductiva, se consideró como indicador de la misma, las emisiones acústicas (Heyer y Reig, 2003) y la presencia de estadios larvales (Rubbo y Kiesecker, 2005), debido a que puede haber recesos reproductivos, aunque los machos canten interrumpidamente (Barrio, 1964; Scott Jr. y Woodward, 1994).
Las larvas se capturaron con redes tipos copos de malla fina siguiendo la metodología de técnicas por encuentro visual (VES) (Heyer, Donnelly, Mcdiarmid, Hayek y Foster, 1994). Además, en cada sitio se registraron las emisiones acústicas de cada especie utilizando la técnica de transecto auditivo (AST) (Heyer et al., 1994). La abundancia de machos vocalizando fue registrada mediante un índice acústico, modificado de De Ángelo (2003), con valores de 1 a 4, significando: 1) presencia de un individuo de la especie X cantando; 2) registro de 2 o 3 individuos de la especie X cantando; 3) presencia de 4 o 5 individuos de la especie X cantando y 4) presencia de un coro de la especie X, en el que no se pueden distinguir la cantidad de individuos cantando. Los valores diarios de temperatura media y precipitación corresponden a los registrados por la estación meteorológica de la cátedra de Agrometeorología de la Facultad de Agronomía y Veterinaria de la Universidad Nacional de Río Cuarto.
En cuanto al análisis de datos, se calculó el índice de permanencia (IP) para cada especie según su actividad acústica y los estadios larvales; siendo IP: número de meses en que se registra la especie (detectada por medio de su actividad acústica o estadios larvales) sobre el número de meses totales por 100. Para estimar la importancia de cada especie, se utilizó el índice de importancia relativa IIR= 100*(Ni /Nt )*(Mi +Ei )/(Mt +Et ), donde Ni es la suma de las abundancias de la especie i en los diferentes meses; Nt es la suma total de las abundancias; Mi es el número de meses, en los cuales la especie i estuvo presente; Ei es el número de ambientes, donde la especie i estuvo presente, y Mt y Et son el número total de meses y ambientes de muestreo, respectivamente (Gatto, Quintana, Yorio y Lisnizer, 2005). Para cada especie, este índice está acotado a valores entre 100 (1 sola especie en todos los sitios y todos los tiempos), y tendencia a 0 (especie esporádica en bajos números y zonas).
Para medir la similitud en la composición de especies entre sitios se calculó el índice de similitud de Sörensen(Magurran, 1988). Este índice resume la similitud entre las comunidades en una escala de 0 a 1, donde un valor de 1 indica una completa similitud en composición de especies, mientras que un valor de 0 indica completa disimilitud. Además, se calcularon los índices de diversidad usando la fórmula Shannon y Weaver (1949) y de equitatividad a partir de la ecuación de Magurran (1988). Se utilizó la prueba t de Hutcheson (Magurran, 1988) para confirmar la existencia de diferencias significativas en la diversidad de Shannon entre ambientes. Con excepción del IP, todos los índices fueron calculados a partir de la abundancia larval, debido a que este estadio es evidencia directa del uso del cuerpo de agua para la reproducción y permite detectar especies de anuros cuando los adultos están ausentes (Barrio, 1964; Parris, 1999; Pearman, Velasco y López, 1995; Scott Jr. y Woodward, 1994).
Resultados
Se registraron 8 especies de anuros pertenecientes a 4 familias (Frost, 2013): Odontophrynidae, Odontophrynus americanus ; Bufonidae, Rhinella arenarum ; Leptodactylidae, Leptodactylus gracilis , L. latinasus , L. mystacinus , L. latrans , Physalaemus biligonigerus ; Hylidae, Hypsiboas pulchellus . Se observaron 4 tipos de puestas: huevos en cordones, filamentos adheridos a la vegetación acuática, nidos sobre el agua y nidos en cuevas. Los diferentes hábitos reproductivos de las especies de la comunidad están incluidos en 3 de los 29 modos reproductivos reconocidos por Duellman y Trueb (1986): 1) Modo I.1.: huevos acuáticos depositados en el agua. El desarrollo de las larvas sucede en ambientes acuáticos lénticos(O. americanus , R. arenarum y H. pulchellus ). 2) Modo I.8.: huevos acuáticos en nidos de espuma, depositados en ambientes acuáticos lénticos, donde sucede el desarrollo de las larvas (L. gracilis , L. latinasus , L. mystacinus ). 3) Modo II.21.: huevos terrestres en nidos de espuma, hechos dentro de cuevas, que al ser inundadas, las larvas se desarrollan en ambientes acuáticos lénticos (L. latrans y P. biligonigerus ).
La actividad reproductiva de la fauna de anuros inició en octubre y finalizó en marzo. Entre noviembre y febrero se observó la mayor actividad, registrándose a todas las especies activas, la cual coincidió con los meses de precipitaciones más frecuentes y abundantes (Figs. 1A y 1B ). La especie con mayor índice de permanencia acústica (IP a.a.) fue L . latinasus , mientras que el IP a.a. menor fue de O. americanus (Tabla 1). Las 4 especies de Leptodactylus presentaron un índice de permanencia mayor para la actividad acústica que para sus larvas, registrándose lo contrario para las otras especies. Las larvas de R. arenarum se encontraron durante un largo periodo de tiempo, y presentaron un elevado índice de importancia relativa (Tabla 1). La actividad acústica de H. pulchellus fue registrada durante los muestreos de octubre y noviembre del segundo año de muestreo, motivo por el cual no se la incluye en los análisis temporales.

Figura 1 A: actividad acústica (a.a) y estadios larvales (e.l) de cada especie* durante el periodo de muestreo entre septiembre 2008 y abril 2009; B: temperatura media (°C) y precipitación (mm) diarias. *Especies/species: O.a (Odontophrynus americanus ), P.b (Physalaemus biligonigerus ), L.lr (Leptodactylus latrans ), L.m (Leptodactylus mystacinus ), L.g (Leptodactylus gracilis ), L.l (Leptodactylus latinasus ) y R.a (Rhinella arenarum ).
Tabla 1 Índice de permanencia (IP) de la actividad acústica (a.a.) y los estadios larvales (e.l.) e índice de importancia relativa (IIR).
En la Tabla 2 se observa que la riqueza de especies de anuros por zona fue semejante. Sin embargo, dentro de cada zona hubo diferencias en la cantidad de especies por sitio, siendo O4 y S2 los que presentaron la menor riqueza. Las especies que ocuparon la mayor cantidad de sitios fueron L. gracilis , L. latinasus y R. arenarum , registrándose en el 83.3% de los sitios muestreados. Por el contrario L. latrans , O. americanus y H. pulchellus se distribuyeron en la menor cantidad de sitios (Tabla 2).
Tabla 2 Especies registradas por zona, sitio y ambiente (Amb): permanente (P), semipermanente (SP), semitemporal (ST) y temporal (T). Riqueza por sitio (S/sitio) y por zona (S/zona). Porcentaje (%) de sitios ocupados por especie.
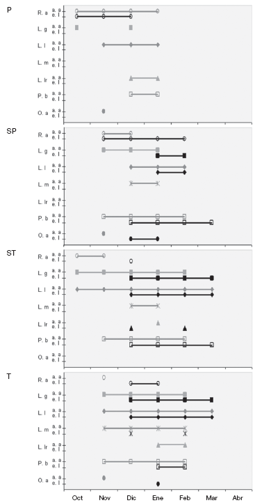
En los ambientes permanentes la actividad acústica comenzó en octubre y finalizó en enero (Fig. 2). Rhinella arenarum fue la especie que mantuvo una actividad acústica más prolongada, durante 4 meses, el doble de lo que se registró en los otros ambientes. Además, en estos sitios se registraron los índices acústicos más bajos y en los cuerpos de agua únicamente se recolectaron larvas de R. arenarum . En los ambientes semipermanentes la actividad acústica se registró desde noviembre hasta febrero (Fig. 2). Se encontraron larvas de 5 especies, siendo las más abundantes las de R. arenarum (Tabla 3). En los ambientes semitemporal y temporal se registró la mayor actividad acústica, desde octubre a marzo y desde noviembre a marzo, respectivamente (Fig. 2). En ambos ambientes se recogieron larvas desde diciembre a marzo, registrándose larvas de L. latrans solo en ambientes semitemporales, y de L. mystacinus solo en temporales; ambas especies con baja abundancia (Tabla 3).

Figura 2 Actividad acústica (a.a; en color gris) y estadios larvales (e.l; en color negro) de cada especie en ambientes permanente (P), semipermanente (SP), semitemporal (ST) y temporal (T).
Tabla 3 Porcentaje de larvas recolectadas, riqueza (S), diversidad de Shannon (H´) y equitatividad (E) en ambientes permanente (P) semipermanente (SP), semitemporal (ST) y temporal (T).
Los índices de diversidad alfa de las comunidades de larvas para cada ambiente se observan en la Tabla 3. La riqueza de especies fue semejante entre los ambientes semipermanente, semitemporal y temporal. Los índices de Shannon y de equitatividad indicaron al ambiente semitemporal como el de máxima diversidad y de menor variación en la abundancia entre especies. Los valores de mayor disimilitud se registraron al comparar los sitios permanentes con los demás ambientes, registrándose el índice de Sörensen más bajo para el par permanente-temporal (Tabla 4). La prueba de Hutcheson indicó diferencias estadísticas significativas para la diversidad de las comunidades de larvas de todos los ambientes, excepto entre los pares semipermanente-temporal y semitemporal-temporal (Tabla 4).
Discusión
Se estima que la población urbana del mundo llegará a casi 5 mil millones para el año 2030, siendo los países subdesarrollados y las ciudades con menos de medio millón de habitantes donde el incremento será más notorio (UNFPA, 2007). Por eso, es fundamental para la conservación entender cómo afectan las áreas urbanas a la diversidad biológica (McKinney, 2002), y específicamente a los anfibios, uno de los grupos taxonómicos menos estudiados en zonas urbanas y suburbanas (McDonnell y Hahs, 2008; Pickett et al., 2001). Concretamente para la ciudad de Río Cuarto, el presente trabajo constituye el primer aporte al conocimiento de la herpetofauna urbana.
La comunidad de anuros urbanos estudiada se compone por 8 especies. Esta cantidad corresponde al 23% de las presentes en la provincia de Córdoba, 34 nativas y 1 introducida (Lescano, Leynaud y Bonino, 2009; Vaira et al., 2012). Los trabajos de Acosta et al. (2005) y Palavecino y García (2008) encontraron para la ciudad de Salta el 23 y 19%, respectivamente, de las especies registradas para toda la provincia de Salta (Vaira et al., 2012); es decir, que ambas ciudades albergan aproximadamente un cuarto de la batracofauna de sus provincias.
Tres de las especies registradas depositan sus huevos directamente en el agua, mientras que el resto presentan estrategias más avanzadas que indican una tendencia a preferir ambientes terrestres (Duellman y Trueb, 1986). La tendencia de la oviposición en tierra puede ser una adaptación para evitar los efectos de los posibles cambios del medio acuático (Duellman y Trueb, 1994) o para reducir los efectos de la depredación de los huevos (Magnusson y Hero, 1991).
En distintos trabajos se observó que la perturbación del hábitat reduce el número de nichos y aumenta la variabilidad en las condiciones físicas, lo cual conduce a una reducción en la riqueza, diversidad y equitatividad de especies de anfibios (Bionda, Di Tada et al., 2011; Bishop, Mahony, Struger y Pettit, 1999; Hazell, Cunnungham, Lindenmayer, Mackey y Osborne, 2001; Peltzer, Lajmanovich y Beltzer, 2003). Pero dependiendo de las características de historia de vida, las especies de anfibios responden de manera distinta a las alteraciones y modificaciones de su hábitat, siendo algunas especies en su conjunto más tolerantes a las perturbaciones (Bionda, Di Tada et al., 2011; Burton, Gray, Schmutzer y Miller, 2009; Lajmanovich et al., 2011; Schmutzer, Gray, Burton y Miller, 2008). Para Keller, Rödel, Linsenmair y Grafe (2009) las especies de anfibios de hábitos terrestres, son más generalistas en sus requerimientos de hábitats y, por ello, más tolerantes a la variación de las condiciones ambientales. Asimismo, debido a las modificaciones que sufren los ambientes acuáticos en los ecosistemas urbanos (Rubbo y Kiesecker, 2005), las especies de hábitos más acuáticos podrían ser las más sensibles a la alteración de estos ambientes. Peltzer (2006), en la región centro-este de Argentina, encontró en los ambientes alterados una mayor representatividad de las especies de anuros correspondientes al gremio terrestre, seguido del gremio semiacuático y una declinación notable del acuático. Esto concuerda con nuestro estudio en el que se encontraron 3 especies de Leptodactylus de hábitos terrestres (L. gracilis , L. latinasus y L. mystacinus ), 2 de hábitos semiacuáticos (L. latrans y P. biligonigerus ) y 2 acuáticos (R. arenarum y O. americanus ). Además, entre las especies de hábitos terrestres, L. gracilis y L. latinasus , fueron las que registraron mayor actividad reproductiva y fueron encontradas en la mayor parte de los sitios de muestreo. Esto coincide con lo registrado en la ciudad de Salta donde la familia Leptodactylidae fue la mejor representada (Palavecino y García, 2008). También R . arenarum , de hábitos acuáticos, registró una actividad reproductiva considerable. Esto podría deberse a que sus requerimientos de hábitat pueden ser considerados generalistas, siendo una especie conspicua, presente en ambientes urbanos o rurales (Bionda, Di Tada et al., 2011; Bionda et al., 2012).
Como ya se mencionó, un caso particular fue el de H. pulchellus , presente solo en el sitio E3. Esta especie, si bien deposita sus huevos en el agua adheridos a la vegetación, es de hábitos arbóreos. Las especies con estos hábitos son frecuentes en ambientes de vegetación abundante y de mayor altura, por lo que son más propensos a disminuir en ambientes alterados, como lo sería el urbano, donde la vegetación es de estructura simple y los humedales con vegetación arbórea son escasos (Bionda, Di Tada et al., 2011; Peltzer et al., 2006). Precisamente, el sitio E3 donde se registró H. pulchellus , comparado a los otros sitios, presenta abundante vegetación arbórea nativa. Por consiguiente, la presencia de especies de hábitos arbóreos podría constituir una variable respuesta para medir la alteración de los ambientes.
Por otra parte, el hecho de que en ambientes permanentes se registrara actividad acústica de 5 especies, pero que en los cuerpos de agua solo se encontraran estadios larvales de R. arenarum , podría deberse a que estos ambientes permiten la presencia de fauna ictícola, la cual se encuentra asociada negativamente a la riqueza de especies de anuros. En numerosos trabajos se registró que peces depredadores comen o lesionan a las larvas de varias especies de anfibios (Baber y Babbitt, 2003; Gregoire y Gunzburger, 2008; Komak y Crossland, 2000; Segev, Mangel y Blaustein, 2008). En Hamer y Parris (2011) las larvas de 3 especies (Crinia signifera , Limnodynastes dumerilli y Paracrinia haswelli ) tuvieron relaciones claramente negativas respecto a la densidad de peces depredadores. Sin embargo, Litoria peronii mostró una fuerte afinidad a estanques con altas densidades de peces, posiblemente debido a que las hembras producen una gran cantidad de huevos, lo que aumentaría las posibilidades de supervivencia larval en virtud de su abundancia; característica que la asemejaría a R. arenarum , especie de elevada oviposición con una media de huevos por puesta de 23,226.6±8,016.8 (Bionda, Lajmanovich, Salas, Martino y Di Tada, 2011).
La respuesta de las especies individuales a la urbanización refleja las diferencias en sus exigencias ecológicas. Rhinella arenarum , L. gracilis , L. latinasus y P. biligonigerus son las especies que se encontraron en una mayor proporción de sitios y en los 4 tipos de ambientes, clasificándose como generalistas de hábitat, lo que se podría considerar, siguiendo la terminología de McKinney (2002), como especies "urbano adaptadas". Por otro lado, L. mystacinus , L. latrans , H. pulchellus y O. americanus fueron las especies que se encontraron en menos sitios y con una baja abundancia de larvas, pudiendo considerarse como aquellas especies más afectadas por la perturbación del hábitat o "urbano sensibles" (McKinney, 2002). Dicha clasificación concuerda con lo obtenido por Acosta et al. (2005) y Palavecino y García (2008), en donde R. arenarum y L. latinasus fueron las especies con mayor frecuencia de presencia, mientras que Hypsiboas riojanus y O. americanus las especies con distribución más restringida.
Los resultados encontrados en el presente trabajo, destacan la importancia de utilizar medidas complementarias de la diversidad de la comunidad para la determinación de los efectos de la urbanización en las comunidades de anfibios, ya que especies individuales podrían responder positivamente a ciertos factores de hábitat local, como es el caso de R. arenarum en ambientes permanentes, aunque la riqueza de la comunidad global responda de forma negativa. Por otra parte, las zonas en la que se dividió la ciudad mostraron una riqueza semejante; a pesar de que hubo diferencias en la cantidad de especies entre los sitios dentro de una zona. Esto sugiere que lo que determina el uso del espacio por las especies son las características particulares de cada cuerpo de agua y no la ciudad en sí misma la que restringe la distribución de las especies.
En conclusión, es necesario un planeamiento urbano integral en el que se incluyan los espacios verdes para resguardar la fauna de anuros en paisajes urbanizados, y conservar ambientes con humedales de diferente hidroperiodo, principalmente aquellos de mayor diversidad y equitatividad, como lo son los semitemporales y temporales. De esta forma, se podrían generar acciones de manejo para reforzar aquellos aspectos positivos en la conservación de la fauna de anuros de las áreas urbanizadas.
El presente estudio servirá de referente para el monitoreo de las poblaciones asentadas en el ejido urbano de la ciudad de Río Cuarto. Además, las especies registradas poseen una amplia distribución en el neotrópico, habiéndose citado para Argentina, Bolivia, Brasil, Uruguay y Paraguay (IUCN, 2013), por lo que los resultados obtenidos pueden ser extrapolables a otros centros urbanos subtropicales o tropicales.










nueva página del texto (beta)



