Introducción
En el estudio de la distribución y abundancia de los organismos vivos se han explorado varias herramientas de análisis, principalmente modelos estadísticos, o estos en combinación con sistemas de información geográfica para caracterizar el hábitat de las especies (Austin, 1987; Segurado y Araujo, 2004; Elith et al., 2006) o para evaluar la respuesta de una especie de interés en función del cambio de las variables ambientales que definen el nicho climático de las especies (Antúnez et al., 2017a). También se usan modelos basados en algoritmos de máxima entropía para predecir la distribución potencial de los organismos (Brotons et al., 2004; Phillips et al., 2009; Franklin, 2010).
El espacio que ocupa una especie puede delimitarse por el medio físico-geográfico o por las condiciones ambientales (Pearman et al., 2008; Elith y Leathwick, 2009). Los mapas son una herramienta valiosa para ilustrar el espacio físico-geográfico donde las especies encuentran las condiciones idóneas, pero delimitar y representar sólo el espacio medioambiental no es fácil debido a que el efecto de cada variable del sistema natural es variable en magnitud y en intensidad (Martínez-Antúnez 2013; Antúnez et al., 2017a). Esta tarea podría facilitarse si se conocen los intervalos óptimos de aquellas variables cuyos efectos puedan limitar o potenciar la abundancia de una especie en una localidad; es decir, es más fácil delimitar el espacio óptimo de una especie en función de las variables más relevantes que delimitar el espacio definido por todas las variables (espacio multidimensional) (Hutchinson, 1957; Austin y Smith, 1990).
Las funciones estadísticas de probabilidad se usan para describir la relación entre los organismos vivos y el ambiente a partir de patrones observados, para explicar la relación entre las especies y su área de mayor abundancia, o para conocer el patrón espacial e identificar valores climáticos óptimos (Borda-de-Água et al., 2002; Magurran, 2004; Gowda, 2011; Verberk, 2012; Martínez-Antúnez, 2015).
Dado que es posible modelar la mayor concentración de datos en un espacio probabilístico, también puede usarse el mismo principio para definir un intervalo de cualquier variable ambiental basado en la probabilidad máxima de una función de densidad (Antúnez et al., 2017a). En este sentido, una función de densidad de probabilidad puede ser una herramienta útil para definir valores climáticos en los cuáles ocurre la probabilidad máxima de la abundancia de una especie.
El objetivo de este estudio fue determinar los intervalos ambientales donde ocurre la abundancia máxima de individuos de tres especies forestales nativas de la Sierra Norte de Oaxaca, México, usando la función de densidad de Weibull y el modelo de Gauss de mezclas finitas. La hipótesis fue que estas funciones permiten definir la amplitud del nicho parcial con cada una de las variables climáticas, cuyos efectos son significativos para la distribución y abundancia de las especies forestales.
Materiales y Métodos
Área de estudio
Santiago Comaltepec se localiza en la región Sierra Norte de Oaxaca, al sureste de México (17°33’35” N y -99°26’32” O), con una superficie aproximada de 26.5 km2 (Figura 1). La altitud fluctúa entre 1700 y 3000 msnm. La temperatura media máxima anual es 13.4 °C, la media mínima anual es 4.7 °C y la precipitación en verano varía de 600 a 1200 mm (CNA, 2017; INEGI, 2015).
De acuerdo con las observaciones realizadas durante la toma de datos y la información de inventarios forestales, la zona de estudio presenta una vegetación variada debido a los cambios fisiográficos en escasos kilómetros. En altitudes superiores a 2000 m predominan los bosques de pino, pino-encino y bosque de encino en forma de franjas y manchones; entre 1700 y 1900 m hacia la vertiente del Pacífico, hay una mezcla de pino-encino con especies de selva mediana; en contraste, hacia la vertiente del golfo de México predomina el bosque mesófilo de montaña y las selvas alta y mediana (PCRM, 1992).
Muestreo y variables estudiadas
En el estudio de los organismos vivos los indicadores de abundancia más convencionales son la dominancia, la frecuencia y la densidad (Schweik, 2017). En nuestro estudio se usó la densidad relativa de cada parcela como indicador de abundancia, que se define como la relación entre el número de individuos de cada especie registrada en cada parcela y el total de individuos de la misma especie de todas las parcelas. El muestreo sistemático se usó para establecer las parcelas de muestreo y cada unidad de muestreo tuvo una superficie de 1000 m2, en la cual se contaron individuos con diámetro mayor o igual a 7.5 cm y a 1.3 m del nivel del suelo. En el área de estudio se establecieron 634 parcelas.
Las tres especies arbóreas estudiadas fueron Pinus pseudostrobus Lindl (var. Apulcensis), Pinus patula Schl. et Cham y Quercus macdougallii Martínez. La primera especie a menudo se usa para reforestar áreas con suelos degradados o sitios sin vegetación, por ser una especie de rápido crecimiento; la segunda tiene alta demanda en los aserraderos, fábricas de muebles e industrias de celulosa y papel (Muñoz et al., 2011); y Q. macdougallii es una especie endémica de la Sierra Juárez y sólo se registró en 33 de las 634 parcelas; no tiene uso comercial y está en la lista roja de especies amenazadas en la categoría “vulnerable” de la Unión Internacional para la Conservación de la Naturaleza (IUCN, 2017).
Las variables seleccionadas para el estudio fueron: la altitud sobre el nivel del mar de cada sitio (ALT, m), la pendiente predominante de cada parcela (PEN, %), exposición geográfica (EXP: zenital (1), norte (2), noreste(3), este (4), sureste (5), sur (6), suroeste(7), oeste (8) y noroeste (9), precipitación media en invierno (nov+dic+ene+feb) (WINP, mm), día del año en que es probable que ocurra la última helada en primavera (SDAY, día), balance de precipitación verano/primavera (jul+ago)/(abr+may) (SMRSPRPB), precipitación de abril a septiembre (GSP, mm), índice de aridez anual (BHH) cuyo valor se estimó usando la raíz cuadrada de la sumatoria de la temperatura diaria mayor a 5 ºC (es decir, grados día > 5 ºC), dividido por la precipitación media anual (Rehfeldt et al., 2006; Sáenz-Romero et al., 2012), y la precipitación media en verano (jul+ago) (SMRP, mm). Estas variables se seleccionaron usando un análisis de correlación multivariada por permutaciones (Yoder et al., 2004), eligiendo las variables que mostraron los coeficientes más elevados (< 0.8 con al menos una especie), de un total de 22 variables disponibles que incluye mediciones de temperatura (máximos, mínimos, promedios), precipitaciones en periodos específicos y heladas (Rehfeldt et al., 2006). Las variables fisiográficas se registraron en campo con un Sistema de Posicionamiento Global (GPS) para la altitud, y un clinómetro Suunto® para la exposición y la pendiente. Las otras variables se obtuvieron con el modelador ANUSPLIN® del Servicio Forestal del Departamento de Agricultura de EUA (Rehfeldt et al., 2006; Crookston et al., 2008; Sáenz-Romero et al., 2010), cuyos algoritmos se basan en el historial de información climática de más de 4,000 estaciones climatológicas de México, sur de EUA, Guatemala, Belice y Cuba, de 1961 a 1990. Estas variables se usaron en estudios similares por ser importantes para las especies forestales (Tchebakova et al., 2005; Martínez-Antúnez et al., 2015; Rehfeldt et al., 2015).
Análisis de datos
Para estimar el valor de una variable ambiental en el cual ocurre la tasa de abundancia máxima de una especie, se probaron dos funciones de densidad de probabilidades: 1) la función de Weibull de dos parámetros (W2p), y 2) el modelo de Gauss de mezclas finitas, al usar como variable de interés la densidad de cada especie expresada en términos relativos. La función de Weibull y el modelo de Gauss de mezclas finitas generan modelos robustos y flexibles; la función de Weibull permite expresar de manera analítica el valor de la integral mediante las funciones de distribución acumulada (Torres, 2005), y el modelo de Gauss ofrece resultados satisfactorios debido a las aportaciones de cada mezcla gaussiana en términos de probabilidad (e.g. Bilmes, 1998; Yang y Ahuja, 1998; Paalanen et al., 2006).
La función de densidad de probabilidad (FDP) de Weibull de dos parámetros se expresa así:
y su función acumulada es:
donde
La bondad de ajuste del modelo de Weibull se verificó con la prueba de Kolmogorov-Smirnov (K-S) a un nivel de significancia de 0.2. Esta técnica se basa en la diferencia máxima absoluta entre las distribuciones acumuladas de los valores observados y de los valores esperados (teóricos) (Marsaglia et al., 2003). Además, para conseguir estimadores consistentes y asintóticamente eficientes, la estimación final de los parámetros de Weibull se hizo por el método de máxima verosimilitud (MLE) (Zarnoch y Dell, 1985; Borders et al., 1987; Seguro y Lambert, 2000).
El modelo de Gauss de mezclas finitas se expresa así:
Donde Wik son las aportaciones de cada mezcla
gaussiana en términos de probabilidad desde la k ésima mezcla
hasta M total de distribuciones gaussianas, cuya sumatoria
La estimación de las densidades de probabilidad del modelo de mezclas finitas
El intervalo óptimo de abundancia para cada especie se delimitó usando un clúster probabilístico definido por la densidad del modelo de mezclas finitas cuyo espacio puede clasificarse en tau-ésimas probabilidades (Chen et al., 2006; Fraley et al., 2012; Fraley et al., 2017). En nuestro estudio, tau es una medida de probabilidad estandarizada y toma cualquier valor posible (sucesos elementales) del espacio probabilístico (entre 0 y 100), siendo la zona cercana al centroide del clúster la que presenta mayor probabilidad. Un tau de 0.35 se usó porque el 98 % de las probabilidades máximas definidas por ambos modelos se distribuyeron entre los límites de esta región probabilística (del centro hacia afuera). Para las dos especies de pino se usaron modelos de Gauss de dos componentes mixtos (Chen et al., 2006) con el propósito de identificar distribuciones con tendencias multimodales, y para Q. macdougallii se ajustó un modelo de un componente al registrarse una menor cantidad de individuos en el área de estudio.
Resultados y Discusión
Las curvas de densidad proyectadas por las dos funciones usadas revelaron los valores ambientales en los cuales ocurrió la probabilidad máxima de abundancia de cada especie. Por ejemplo, la tasa de abundancia óptima de P. pseudostrobus ocurre cuando el balance de precipitación verano/primavera (SMRSPRPB) toma un valor cercano a 5.5 (Figura 2A) y la tasa de abundancia óptima de Q. macdougallii ocurre cerca de 2,775 m de altitud (Figura 2B).

Figura 2 Curvas de densidad de (A) Pinus pseudostrobus en función del balance de precipitación verano/primavera; (B) curvas de densidad de Quercus macdougallii en función de la altitud.
La anchura entre el límite superior e inferior, referido en nuestro estudio como intervalo óptimo de abundancia (IOA), varió para cada especie aunque crecen en la misma región ecográfica (Cuadro 1). Por ejemplo, P. patula mostró un IOA en sitios cuyas pendientes fluctúan entre 8 y 80 %, con una anchura más amplia en relación con la pendiente, seguida por Q. macdougallii (50) y P. pseudostrobus (34). Respecto a la altitud, Q. macdougallii mostró un IOA más estrecho comparado con los de otras dos especies con una anchura de solo 550 m; en contraste, P. patula mostró un IOA más amplio, con límites de 2200 a 2900 m (700 m de anchura) (Cuadro 1).
Cuadro 1 Valores de variables climáticas y fisiográficas en los cuales ocurre la probabilidad máxima y límites del intervalo óptimo para cada especie estudiada.
| Especies | WINP (mm) | PEND (%) | SDAY (días) | |||||||||
| LI | MAX | LS | AI | LI | MAX | LS | AI | LI | MAX | LS | IOA | |
| Pinus patula | 150 | 185.4 | 447 | 297 | 18 | 50.6 | 70 | 52 | 8 | 12.9 | 80 | 72 |
| Pinus pseudostrobus | 180 | 252.1 | 447 | 267 | 28 | 52.5 | 62 | 34 | 18 | 56 | 68 | 50 |
| Quercus macdougallii | 165 | 336.4 | 425 | 260 | 10 | 15.5 | 60 | 50 | 10 | 55.6 | 79 | 69 |
| BHH | AI | SMRSPRPB | AI | ALT(msnm) | AI | |||||||
| Pinus patula | 0.02 | 0.032 | 0.046 | 0.026 | 5.3 | 5.4 | 5.8 | 0.5 | 2200 | 2263 | 2900 | 700 |
| Pinus pseudostrobus | 0.017 | 0.026 | 0.034 | 0.017 | 5.4 | 5.5 | 5.8 | 0.4 | 2300 | 2613 | 2890 | 590 |
| Quercus macdougallii | 0.01 | 0.019 | 0.035 | 0.025 | 5.3 | 5.6 | 5.8 | 0.5 | 2350 | 2775 | 2900 | 550 |
| GSP(mm) | AI | SMRP (mm) | AI | EXP | ||||||||
| Pinus patula | 1100 | 1118.7 | 2200 | 1100 | 450 | 489.6 | 1000 | 550 | oeste y noroeste | |||
| Pinus pseudostrobus | 1150 | 1385.3 | 2100 | 950 | 500 | 615.1 | 980 | 480 | noreste, noroeste | |||
| Quercus macdougallii | 1150 | 1782.2 | 2100 | 950 | 500 | 807.5 | 950 | 450 | suroeste, noroeste, noreste (predomina suroeste) |
|||
WINP: precipitación en invierno; PEN: pendiente predominante; SDAY: día del año de la última helada en primavera; BHH: índice de aridez anual; SMRSPRPB: balance de precipitación verano/primavera (jul+ago)/(abr+may); ALT: altitud sobre el nivel del mar; GSP: precipitación de abril a septiembre; SMRP: precipitación en verano; EXP: exposición geográfica; LI: límite inferior del intervalo óptimo de abundancia; LS: límite superior del intervalo óptimo de abundancia; MAX: valor de la variable respectiva donde ocurre la tasa de abundancia máxima e IOA: intervalo óptimo de abundancia.
Observaciones similares pueden hacerse con respecto a otras variables como la precipitación registrada en periodos específicos, el índice de aridez anual y el día de la última helada en primavera. Por ejemplo, la cantidad óptima de precipitación para P. patula de abril a septiembre (GSP) fue de 1,100 a 2,200 mm, la óptima en verano fue de 450 a 1,000 mm y en invierno de 150 a 447 mm; pero Q. macdougallii mostró IOA más estrechos en los mismos periodos: 1,150 a 2,100 mm de abril a septiembre, (una anchura de 950 mm), de 500 a 950 mm en verano y de 165 a 425 en invierno. El IOA más estrecho del índice de aridez se observó en P. pseudostrobus y fue de 0.017 a 0.034, seguido por los intervalos óptimos de Q. macdougallii y de P. patula cuyos límites fueron de 0.01 a 0.035 y de 0.02 a 0.046, respectivamente (Cuadro 1).
Durante la toma de datos se observaron variaciones en la densidad de individuos según las variables fisiográficas predominantes, en particular con las exposiciones de cada unidad de muestreo. Así, la tasa de abundancia máxima de P. patula se observó en sitios con exposiciones oeste y noroeste, P. pseudostrobus en exposiciones noreste y noroeste, y Q. macdougalli con mayor presencia en exposiciones suroeste, noroeste y noreste (Cuadro 1).
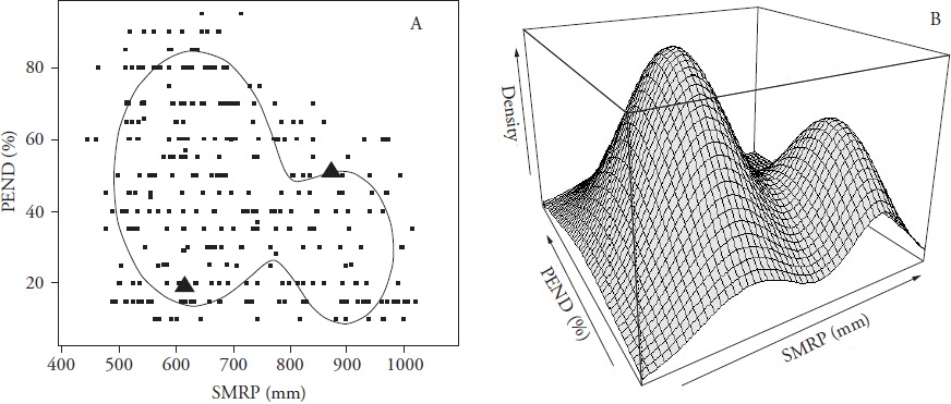
Las dos funciones de densidad de probabilidades usadas modelaron con robustez la abundancia máxima de las tres especies estudiadas, con una mayor sensibilidad en las proyecciones generadas con el modelo de Gauss de mezclas finitas. Este modelo detectó tendencias bimodales de varias especies ante la variación de una variable ambiental, como el caso de P. pseudostrobus en función de la precipitación en el verano cuyos valores de probabilidad máxima se observaron cuando la precipitación es de 615.1 (Cuadro 1) y 872.8 mm (Figura 3A y 3B) , así mismo, Q. macdougalli mostró un comportamiento similar frente a la altitud sobre el nivel del mar (Figura 2B) al observarse un segundo vértice en menor escala de la curva de densidad hacia los 2200 msnm, como respuesta a la concentración de datos muestrales entre 2000 y 2500 m de altitud (Figura 2B). La mayor plasticidad del modelo de Gauss de mezclas finitas podría corresponder al mayor número de parámetros en su estructura y, sobre todo, al aporte individual de cada mezcla gaussiana (Bilmes, 1998; Xuan et al., 2001; Paalanen et al., 2006). Sin embargo, a pesar del número reducido de parámetros de la función de Weibull (Ecuaciones 1 y 2), esta función también proyectó una probabilidad máxima de abundancia similar al modelo mixto (Figuras 2A y 2B).

Figura 3 Representación (A) bidimensional y (B) en perspectiva del intervalo óptimo de abundancia para Pinus pseudostrobus en función de la precipitación en verano y la pendiente del terreno a un tau de 0.35. Los dos triángulos en la figura bidimensional representan los puntos en los cuales ocurren las probabilidades máximas de un modelo de Gauss de mezclas finitas de dos componentes.
El valor de una variable en el cual ocurre la probabilidad de abundancia máxima de una especie no siempre quedó en la parte central de la distribución, dado que en la mayoría de los casos no siguen distribuciones normales (Figuras 2B y 3A). Además, la abundancia no sigue un patrón único de distribución ante al cambio de las variables ambientales y al añadirse más variables ambientales, el espacio resultante no tendría una forma geométrica ni podría modelarse con la función normal estándar de Gauss (Antúnez et al., 2017b).
Los resultados de nuestro estudio sugieren que la escasa distribución de Q. macdougallii en el área de estudio, podría estar relacionada con la estrechez de los intervalos óptimos (IOAs) de las precipitaciones en el verano e invierno y la altitud, cuyos intervalos fueron pequeños comparados con los de Pinus patula y P. pseudostrobus (Cuadro 1). La amplia distribución de estas últimas parece corresponder al IOA amplio de la cantidad del fenómeno de heladas y la lluvia de abril a septiembre, variable cuyo efecto es significativo sobre varias especies de coníferas y latifoliadas en el noroeste de México como Abies durangensis, Pinus maximinoi, Quercus resinosa, Q. acutifolia y Q. urbanii (Martínez-Antúnez et al., 2013).
En nuestro estudio no se identificaron con claridad los intervalos óptimos de las especies en función del índice de aridez anual, debido a los valores pequeños que asume esta variable. Pero este índice tiene un efecto significativo en la diversidad de las especies forestales (Silva-Flores et al., 2014), y en la distribución y abundancia de las mismas al igual que la precipitación de abril a septiembre y la temperatura mayor a 5 °C, según Sáenz-Romero et al. (2010) y Sáenz-Romero et al. (2012).
Al momento de tomar los datos en campo se observaron indicios de un incendio forestal en los fustes de los árboles adultos y, en particular, en las zonas mayor presencia de Q. macdougallii. El incendio pudo alterar la densidad de esta especie; además, la abundancia de las plantas es afectada por otros factores que no se consideraron en nuestro estudio, como las características edafológicas o las actividades humanas (Clark et al., 1998; Rajakaruna, 2004). También debe tomarse en cuenta que la ausencia de una especie en una localidad dada, no necesariamente se debe a la escasez de recursos o la ausencia de condiciones ambientales óptimas, sino que la especie no ha explorado dicha localidad (Soberón y Peterson, 2005; Soberón y Miller, 2009).
En virtud de que los intervalos óptimos de abundancia delimitados con las funciones de densidad no se asemejan a ninguna figura geométrica (Figura 3A), en particular, al incluirse dos o más componentes mixtos. Nuestro estudio podría complementarse con otras herramientas de análisis que permitan estudiar las formas indefinidas que asumen los IOA de las especies, por ejemplo, empleando herramientas de geometría diferencial.
Conclusiones
Las funciones de densidad probados en nuestro estudio permiten definir el intervalo óptimo de una variable medioambiental relevante para una especie. En este intervalo ocurre la mayor probabilidad de abundancia de todo el espectro de valores de cualquier variable. Los resultados generados podrían ser útiles para implementar estrategias de conservación; por ejemplo, para realizar plantaciones de estas especies u otras de alto interés ecológico ante una contingencia climática o causada por agentes o factores biológicos de distinta índole.










texto en 



