Introducción
El conocimiento de la ontogenia del meristemo apical en plantas, en transición a la fase reproductiva, es útil para entender los aspectos morfogenéticos del desarrollo y es base para estudios fisiológicos de mejoramiento; además, puede apoyar en la toma de decisiones en el manejo agronómico de los cultivos. El cultivo de amaranto (A. cruentus, A. caudatus y A. hypochondriacus) es de gran interés por el consumo mundial de su grano en el mundo (Ayala et al., 2012). Lo cual puede atribuirse a su valor nutritivo, por la cantidad y calidad alta de su proteína, que supera al trigo (Triticum aestivum L.), el arroz (Oryza sativa L.), la avena (Avena sativa L.) y el maíz (Zea mays L.); además, la proteína de amaranto contiene más cantidad de lisina, deficiente en otros cereales (Venskutonis y Kraujalis, 2013). Entre las propiedades nutracéuticas identificadas en el amaranto están su proteína libre de gluten, que estimula el sistema inmunológico, y otros compuestos nutracéuticos con efectos hipercolesterolémico, anticancerígeno y antioxidante (Venskutonis y Kraujalis, 2013).
La forma de la inflorescencia tiene una influencia alta en la producción floral y el rendimiento de los cultivos (Ju et al., 2012). Las inflorescencias se desarrollan desde pequeños grupos de células pluripotentes conocidos como meristemo apical, el cual primero produce hojas y después cambia durante la transición a un meristemo inflorescente, el cual origina meristemos laterales que producen o se diferencian a meristemos florales. El estudio de la ontogenia del meristemo apical, con la subsecuente aparición de una flor terminal, se ha hecho en muchas especies y se conoce como crecimiento determinado (Coen y Nugent, 1994; Bradley et al., 1996, 1997; Cremer et al., 2001; Ezhova y Penin, 2001; Penin et al., 2004). Las plantas de crecimiento determinado pueden ser de interés para el mejoramiento genético con la finalidad de uniformizar madurez, facilitar la cosecha mecanizada y uniformizar el tamaño de semilla (Espitia et al., 2012). El objetivo de nuestra investigación fue estudiar la morfología del meristemo apical en plantas de crecimiento determinado e indeterminado en la especie de A. hypochondriacus y su influencia en el tamaño de la semilla. La hipótesis fue que la morfología del meristemo apical está relacionada con el tipo de crecimiento en A. hypochondriacus, el cual tiene un efecto sobre el tamaño de la semilla.
Materiales y Métodos
Material biológico
Las semillas de una planta heterocigota de A. hypochondriacus se sembraron para producir las inflorescencias de plantas con crecimiento determinado e indeterminado. Estas fueron avanzadas hacia homocigosis por el método de descendencia de una sola semilla (Fehr, 1993), se seleccionaron plantas determinadas e indeterminadas y se hizo el avance generacional hasta tener una población homogénea de cada fenotipo. Las siembras se realizaron en charolas de 200 cavidades, en un sustrato comercial (Peat Moss Sunshine Mix 3). Las plantas se regaron cada tercer día. La semilla de la quinta generación se sembró para el estudio de meristemos apicales.
Preparación de las muestras
Los muestreos de las plantas se realizaron desde emergencia y hasta floración. El meristemo apical fue descubierto con pinzas de disección y las observaciones se realizaron con un microscopio estereoscópico (S8 APO, Leica, Alemania) para determinar su estado fenológico. La morfología del meristemo apical se observó con un microscopio electrónico de barrido de presión variable (EVO LS40, Zeiss, Alemania), acoplado a una platina peltier con amplitud de temperatura de -25 a 50 °C a 50 Pa con temperatura ambiente de 17 ºC (Deßen EVO® XVP® Coolstage, Reino Unido), y la muestra se fijó a la platina mediante una cinta conductiva de cobre. En todos los experimentos se mantuvieron las siguientes condiciones de operación: alta tensión (EHT) 20 kV, Fil I Target 2.508 A, distancia de trabajo 22 mm y Spot Size de 600 ± 5. Las micrografías se capturaron a 164X, 200X, 800X y 1.00KX de magnificación con una resolución de 1024x768 píxeles en escala de grises. En este formato se asignó una escala de grises con 0 para el negro y 255 para el blanco. Después se tomaron nuevas muestras y se colocaron en solución Herr´s (fenol: hidrato de cloral: 85 % ácido láctico:xileno:aceite de clavo[1:1:1:0.5:1]) (Acosta-García y Vielle-Calzada, 2004), por 24 h y se observó con un microscopio compuesto (Axio Scope. A1, Zeiss, Alemania) para analizar la estructura anatómica del meristemo apical.
Para analizar la morfología de los fenotipos determinado e indeterminado se recolectaron cinco plantas de cada tipo de crecimiento en una etapa fenológica madura, es decir, al término del ciclo de crecimiento. Para determinar el efecto del tipo de crecimiento sobre el rendimiento, se tomaron 25 plantas F5 de cada tipo de crecimiento. Cada inflorescencia se dividió en tres estratos (basal, medio y apical), y en cada estrato se dividieron las ramas en base y ápice. La semilla se separó de cada fragmento de la inflorescencia y al azar se contabilizaron por triplicado 1 000 semillas de cada una de las secciones de cada planta y se pesaron en una balanza analítica. El diseño experimental fue de bloques completos al azar, los datos se analizaron con el procedimiento GLM del SAS y las medias se compararon con la prueba de Tukey (p≤0.01).
Resultados y Discusión
Tipos de inflorescencias y su efecto en el tamaño de semilla
El crecimiento de la inflorescencia en A. hypochondriacus es normalmente indeterminado. En las plantas modelo Arabidopsis y Antirrhinum las inflorescencias determinadas se han caracterizado por la aparición de una flor terminal en el ápice de las ramificaciones (Coen y Nugent 1994; Bradley et al., 1996; Cremer et al., 2001; Ezhova y Penin, 2001; Penin et al., 2004). Sin embargo, las inflorescencias determinadas en el género Amaranthus están reportadas solo para A. caudatus (Kulakow y Jain, 1987) y A. edulis (Sauer, 1950). Espitia (1994) describió la presencia de crecimiento determinado en A. hypochondriacus raza Azteca (Figura 1).

Figura 1 Planta de Amaranthus hypochondriacus A) Inflorescencia de crecimiento indeterminado, B) inflorescencia de crecimiento determinado, C) ramificación en inflorescencia indeterminada ,y D) ramificación en crecimiento determinado.
Durante el desarrollo de las inflorescencias determinadas e indeterminadas en A. hypochondriacus las fases fenológicas de ambos fenotipos fueron iguales durante la fase vegetativa y la transición a fase reproductiva; sin embargo, en el crecimiento determinado después del establecimiento de un número variable de primordios se diferencia el ápice en una flor terminal.
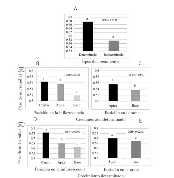
Para analizar si el tipo de crecimiento de la inflorescencia afectó el rendimiento se analizó el peso de las semillas en ambos genotipos. Entre los tipos de crecimiento el peso de 1 000 semillas fue diferente (p≤0.01): 0.676 g para las plantas de crecimiento determinado (Figura 2A), las de crecimiento indeterminado (Figura 2B) presentaron mayor peso en los estratos medio, luego el apical y el basal tuvo el menor peso. En los amarantos de crecimiento determinado (Figura 2D) el mayor peso de semilla se encontró también en el estrato medio, luego el estrato apical y el estrato basal tuvo el menor peso. Lo anterior tiene sentido ya que la floración inicia en la parte media de la inflorescencia, de ahí se mueve hacia el meristemo apical y muy probablemente la floración en la parte basal de la inflorescencia suceda al mismo tiempo que la floración en la parte apical. Es decir, hay competencia entre las flores de los dos estratos, el movimiento de fotoasimilados es mayor hacia la parte apical (Bertin, 1995) y esa podría ser la razón de que el menor peso de la semilla sea en el estrato basal, tanto en amarantos de crecimiento indeterminado como determinado (Marcelis, 1993). Es probable que al inicio de la floración en el estrato medio no haya competencia para el llenado de semilla por los estratos basal y apical, por lo cual el mayor peso de semillas está en el estrato medio. Estos resultados concuerdan con los reportados por Ramírez et al. (2012), respecto al crecimiento mayor de la semilla en estratos medios y apicales. Respecto a la posición en la rama en el crecimiento indeterminado (Figura 2C), hubo diferencias significativas y la posición apical presentó mayor peso de semilla. En el crecimiento determinado (Figura 2E) no hubo diferencias entre los tres estratos, lo que sugiere un crecimiento homogéneo durante la inflorescencia.

Figura 2 Peso de semilla de plantas de amaranto (Amaranthus hypochondriacus) de los dos tipos de crecimiento (A), estratos de inflorescencia (B y D) y posición en las ramas (C y E).
Las inflorescencias determinadas e indeterminadas de A. hypochondriacus pueden ser simples o compuestas, esta característica varía de acuerdo con la región en la cual se cultive y muestra así una plasticidad fenotípica importante. En inflorescencias determinadas se observó la aparición de la flor terminal en la cima del eje principal y en las ramificaciones florales.
En las inflorescencias indeterminadas las ramificaciones primarias fueron más largas, midieron de 4 a 15 cm y la distancia entre nudos fue más pequeña, 0.2 cm; por lo tanto fueron inflorescencias con mayor número de ramificaciones florales. Así, hubo inflorescencias de primero hasta quinto orden, una característica no presente en inflorescencias determinadas. En este último fenotipo las ramificaciones primarias midieron en promedio 10 cm y la distancia entre nudos varió de 1 a 2 cm. En ambos fenotipos las ramificaciones presentaron un crecimiento basipétalo organizado en glomérulos. El crecimiento determinado tuvo glomérulos más complejos o aglomerados (Figura 3I) a diferencia del crecimiento indeterminado, debido a que las ramificaciones primarias derivadas del eje principal no ramifican y, por lo tanto, la producción de flores se da a nivel de glomérulo y no de rama (Figura 3H).

Figura 3 Diferentes etapas de flores femeninas y masculinas de Amaranthus hypochondriacus: A) flor femenina en desarrollo tempranoy a su lado se puede observar el óvulo de la flor contigua, B) flor femenina compuesta por tres estigmas, tres tépalos internos y dos tépalos externos, C) flor femenina en etapa de maduración de la semilla, D) llenado de semilla, E) distintos grados de maduración de las flores, F) flor masculina acompañada de dos flores femeninas, G) ramificaciones secundarias en inflorescencias indeterminadas, H) ramificación secundaria determinada, I) glomérulo determinado y J) glomérulo indeterminado.
El crecimiento determinado presentó mayor peso de semilla, lo cual le confiere ventajas agronómicas al cultivo como mejor calidad de semilla y de industrialización. Esto puede dar como consecuencia la mayor utilización de variedades de crecimiento determinado que, además de no presentar traslape fenológico, facilita la cosecha mecanizada al tener mayor uniformidad en la madurez (Espitia et al., 2012).
Sistema de floración en A. hypochondriacus
La estructura de la inflorescencia en plantas de A. hypochondriacus estuvo compuesta por un conjunto ordenado de ramificaciones florales y éstas se derivaron en su región más distal de las yemas axilares localizadas entre el peciolo de la hoja y el eje principal. Durante la etapa de maduración y alargamiento de la planta, el eje principal estuvo compuesto por un conjunto repetitivo de nudos que aparecieron a lo largo del eje principal y desde los cuales crecieron hojas caulinares, sostenidas de un peciolo; lo anterior durante la fase vegetativa de la planta y las ramificaciones florales durante la fase reproductiva. Sin embargo, se encontraron hojas entreveradas en la inflorescencia. La distancia entre los nudos se acortó en la zona cercana al ápice. El crecimiento helicoidal de nudos y vástagos florales a lo largo del tallo fue similar en ambos tipos de crecimiento; sin embargo, la diferencia radicó en la posición de las flores y las ramificaciones de los vástagos laterales. En las inflorescencias determinadas, las flores terminales aparecieron de forma adyacente al tallo en la axila de la bráctea y al final de la rama lateral. En las inflorescencias indeterminadas la producción floral fue indefinida durante el ciclo de vida de la planta y se observaron ramificaciones en vástagos laterales (Figura 3G).
Biología floral
Amaranthus hyponchondriacus es una planta monoica (Espitia et al., 2010). El proceso de transición floral en A. hypochondriacus ocurrió gradualmente en dirección basipétala, el meristemo de la inflorescencia es el responsable del establecimiento de una serie de meristemos florales (Figura 3A), los cuales darán forma a las ramificaciones florales o se diferenciarán en los órganos de las flores (Figura 3B). La floración en ambos tipos de crecimiento (determinado e indeterminado) ocurrió de manera gradual y se observó organizada en cimas dicásicas las cuales en su conjunto formaron glomérulos (Figura 3E). Las primeras estructuras florales que se desarrollaron fueron los órganos de las flores masculinas (Figura 3F). En primera instancia los tépalos externos, tépalos internos y finalmente los estambres. Hubo un número variable de flores en cada glomérulo. Las flores estaminadas se encontraron en las bifurcaciones de la estructura floral. En inflorescencias determinadas una flor terminal creció de forma axilar, directamente del tallo o bien en la cima de las ramificaciones florales y en la cima del eje principal. En inflorescencias indeterminadas una flor inicial estaminada fue seguida por un número indefinido de flores pistiladas, y el conjunto de ellas dio origen a los glomérulos; este crecimiento reiterativo continuó durante el ciclo de vida de la planta. Una flor terminal apareció en el eje principal y ejes secundarios de inflorescencias determinadas mientras que, a nivel de glomérulo, continuó la producción de flores. El desarrolló floral cesó paulatinamente y fue evidente al no observarse anteras expuestas. Así, se sugiere que a nivel de glomérulo también existe un crecimiento determinado. En cambio, en inflorescencias indeterminadas los glomérulos continuaron floreciendo, a pesar de lo cual fueron menos densos que los determinados (Figura 3J).
El desarrollo y crecimiento floral se presentaron simultáneamente en cada tipo de inflorescencia. Los óvulos presentaron diferente grado de madurez, los más grandes correspondieron a las flores más desarrolladas y así sucesivamente hasta encontrar flores en desarrollo; lo anterior se debió a que los primordios adyacentes a las flores en desarrollo originaron los órganos florales de la flor contigua a partir del último verticilio (Flores et al., 2008), provocando que las flores femeninas presenten diferentes etapas de desarrollo, lo cual indica la existencia de traslape fenológico. Según Kaur et al. (2015), el crecimiento indeterminado tiende a acentuar la competencia dentro de la planta por recursos dentro del tallo dejando semillas sin llenar.
Estructura floral
La inflorescencia de A. hypochondriacus está compuesta de flores masculinas y femeninas. En la base de las flores masculinas crecieron flores femeninas sésiles (Figura 3F), y este tipo de crecimiento permitió que se formaran las cimas dicásicas ya que continuó el crecimiento de nuevas flores con este mismo patrón de desarrollo (Figura 3A). Hubo flores femeninas compuestas por una bráctea, cinco tépalos y el gineceo, y la bráctea subtendía la nueva flor (Figura 3C). El gineceo al liberar la semilla tuvo una abscisión horizontal a la mitad de éste (Figura 3D). Las flores masculinas estaban compuestas por 2 brácteas y 5 tépalos que cubren los estambres, lo cual coincide con lo reportado por Townsend (1993).
En las plantas de crecimiento determinado se encontraron flores terminales con cinco, siete, ocho, nueve y seis estambres, mientras que en plantas indeterminadas solo se encontraron flores pentámeras (Figura 4). Las flores terminales son pediceladas, masculinas o hermafroditas y pueden aparecer en el nudo del eje principal, cima del eje principal y cima de las ramificaciones florales en plantas de crecimiento determinado.
Desarrollo meristemático
Fase I: Vegetativa. El meristemo se observó inmerso en el tallo totalmente cubierto de primordios foliares, estos a su vez tenían primordios axilares subsecuentes, y las hojas crecieron a lo largo del tallo en forma helicoidal. El meristemo en esta etapa produjo el tallo, ramas y hojas (Figura 5 A-B).

Figura 5 Desarrollo del meristemo apical de Amaranthus hypochondriacus: A) fase vegetativa, meristemo inmerso en el eje principal, B) transición a fase reproductiva, C) y D) elongación del meristemo apical y aparición de primordios florales, E) incremento del número de brácteas y crecimiento de primordios florales. MA, meristemo apical; BR, bráctea y PF, primordio floral.
Fase II: Reproductiva. Durante la inducción floral el meristemo apical se alargó produciendo un meristemo inflorescente (Figura 5 C-D). En esta etapa, el meristemo dio origen a una combinación de ramas, brácteas y flores. El proceso de transición floral inició con la producción de primordios de brácteas los cuales se observaron en forma de lóbulo y al desarrollarse cubrieron por completo el meristemo apical evitando que se observaran sus cambios ontogénicos, y el momento de transición se evidenció porque el número de brácteas aumento respecto al número de hojas (Figura 5 E). Cada una de las brácteas tenía en su axila un meristemo floral, característica descrita también en Cladium jamaicence (Richards, 2002) y Chenopodium quinoa (Bertero et al., 1996; Bull-Hereñu y Claben-Bockhoff, 2013). Los meristemos axilares se diferenciaron en una ramificación o en un botón floral, y este proceso de crecimiento fue reiterativo a lo largo de la ramificación floral. Así, se observó un engrosamiento en el ápice de la planta cubierto de un conjunto de brácteas creciendo alrededor del meristemo apical a diferentes niveles, y lo anterior se observó mediante un corte longitudinal del crecimiento temprano de la inflorescencia (Figura 6). De acuerdo con Preston (2010), durante la inducción floral aumentan los niveles de división celular, lo cual causa que el meristemo apical se alargue, produciendo un meristemo inflorescente. El proceso de transición floral se presentó en una dirección basipétala a lo largo del eje de la inflorescencia.

Figura 6 Desarrollo de la inflorescencia en Amaranthus hypochondriacus: A-D) incremento de primordios florales, E) flor masculina en desarrollo. BR, bráctea; FL, flor; MA, meristemo apical; PF, primordio floral; T, tépalo.
Fase III. Diferenciación del meristemo apical. El momento de aparición de la flor terminal ocurrió después del establecimiento de meristemos florales. Bull-Hereñu y Claben-Bockhoff (2013) señalaron que el tamaño del meristemo apical predetermina el número de nodos que éste puede producir antes de transformarse en una flor terminal. Antes de la aparición de la flor terminal se observó que el meristemo se aplana y después se desarrollaron los órganos florales, sépalos, estambres y carpelo. En las inflorescencias terminales simples, la primera en madurar fue la flor terminal. Para A. hypochondriacus se ha descrito un desarrollo floral basipétalo, pero Endress y Peter (2010) mencionan que si en una inflorescencia determinada la flor se abre antes que las flores laterales es incorrecto describir la floración como basipétala, porque la flor terminal pertenece a un eje inferior en el orden de aparición de las flores.
Ontogenia del meristemo apical
La información que ha derivado en el conocimiento del funcionamiento de las plantas permite la manipulación de mecanismos involucrados en el crecimiento y desarrollo. El estudio de la morfología del meristemo apical podría ser base para el análisis de aspectos morfogenéticos del desarrollo, que a la vez sean sustento para el mejoramiento genético y manejo agronómico de A. hypochondriacus. Los estudios estadísticos descritos en nuestro estudio indican que el crecimiento determinado tuvo un mayor tamaño de semilla lo cual implica una mejora en el rendimiento del cultivo. Actualmente no hay variedades de amaranto mejoradas de tipo de crecimiento determinado. Por lo tanto, estos estudios sirven de instrumento para la selección de plantas en determinada etapa fenológica y con determinado fenotipo, durante el programa de mejoramiento genético (Cuadro 1). Mediante microscopia electrónica de barrido se captaron cambios morfológicos en el meristemo apical. En la Figura 7 se presentan micrografías de diferentes estados de desarrollo de la planta indeterminada. Durante la fase vegetativa el meristemo es plano y genera hojas (Figura 7A). La Figura 7B corresponde a la etapa de transición, momento en el que se desarrollan las primeras brácteas que albergan los primeros primordios de flores. El meristemo apical continúa indiferenciado en forma de cúpula durante las etapas de reproducción temprana (Figura 7C-D), producción floral y llenado de semilla (Figura 7E).
Cuadro 1 Etapas del desarrollo del meristemo apical de plantas de crecimiento indeterminado y determinado de Amaranthus hypochondriacus.
| Crecimiento indeterminado | Crecimiento determinado | ||
|---|---|---|---|
| A | Vegetativa | A | Vegetativa |
| B | Transición a reproductivo | B | Transición a reproductivo |
| C | Inflorescente | C | Inflorescente |
| D | Inflorescente | D | Diferenciando a flor terminal |
| E | Maduro - indiferenciado | E | Flor terminal en formación |
| F | Flor terminal adulta | ||

Figura 7 Desarrollo del meristemo apical de plantas con inflorescencias indeterminadas. A) Meristemo apical, B) formación de brácteas, C) meristemo inflorescente en forma de cúpula, D) y E) meristemo apical maduro.
En el meristemo apical de las plantas determinadas huo cambios sobresalientes al iniciarse la formación de la flor, en la etapa vegetativa correspondiente a la formación de las hojas (Figura 8A), en la etapa de transición en la cual se formaron las primeras brácteas (Figura 8B), cuando el meristemo parecía plano (Figura 8C) y dio lugar a la flor terminal (Figura 8 D-F).

Figura 8 Desarrollo del meristemo apical de plantas con inflorescencias determinadas: A) meristemo apical en fase vegetativa, B) formación de los primeros órganos florales, las brácteas, C) meristemo inflorescente joven, D) aparición de la flor terminal, E) flor terminal en desarrollo y F) flor terminal madura.
La formación de la flor terminal es la característica morfológica que indica el crecimiento determinado a nivel de meristemo. Una flor plana del meristemo apical es la característica de la ontogenia que permite diferenciar el crecimiento determinado del indeterminado. Lo anterior coincide con estudios ontogenéticos relacionados con crecimiento determinado e indeterminado en Daucus carota, en los cuales el meristemo apical se aplana antes de la transformación en flor terminal (Bull-Hereñu y Claben-Bockhoff, 2010).
Conclusiones
En este estudio al analizar la morfología de las inflorescencias, así como la ontogenia del meristemo apical en los crecimientos determinado e indeterminado, se encontraron diferencias sobresalientes. Ambos fenotipos presentaron una inflorescencia paniculada y el crecimiento determinado tuvo ramificaciones más cortas y mayor tamaño de semilla. El crecimiento determinado se presenta en eje principal, ramas secundarias y glomérulo. En contraste, el crecimiento indeterminado continúa con la producción de flores durante el ciclo de vida de la planta, por lo cual se intensifica el traslape fenológico en la rama principal, ramas secundarias y glomérulo. El desarrollo del meristemo apical, durante el establecimiento de la inflorescencia, evidenció la transformación del meristemo apical a una flor en plantas determinadas.










texto en 



