Introducción
La región Andina de Perú se reconoce como el centro de origen del jitomate (Solanum lycopersicum L.) y la región mesoamericana como el centro de domesticación. En México se usa y consume desde épocas precolombinas y de su distribución hacia el resto del mundo desde la colonización española (Roman et al., 2013; Bergougnoux, 2014; Blanca et al., 2015). Actualmente se consume por su contenido de nutrientes (Carrera et al., 2007; San Martín-Hernández et al., 2012). En México el consumo fresco per cápita fue 14.66 kg (FAOSTAT, 2015), mayor al de EUA (9.35 kg) donde se consume principalmente industrializado (30.51 kg).
El jitomate se produce todo el año y se considera fuente de antioxidantes, vitaminas y minerales (Adalid et al., 2010). Los humanos no sintetizan el ácido ascórbico (vitamina C), por la presencia de L-glucono-1,4-lactona oxidasa; por lo que, alrededor de 90 % del ácido ascórbico proviene de las frutas y vegetales que consumen, como el jitomate (Tsaniklidis et al., 2014). El ácido ascórbico es esencial para el crecimiento, el desarrollo y la reproducción humana, pues mejora la absorción de Fe, disminuye los niveles de colesterol en la sangre, previene la formación de trombosis en las venas, aumenta la inmunidad del organismo y actúa contra infecciones (Zhang et al., 2011). El contenido de esta vitamina en frutos de jitomate varía desde poco menos de 5 hasta más de 100 mg 100 g-1 y depende del sistema de producción, la tecnología de producción, la zona agroclimática, el cultivar, el estado de madurez del fruto y la especie.
La industrialización del jitomate ha propiciado la disminución del número de cultivares y la calidad organoléptica y nutrimental (Adalid et al., 2010). Estos atributos nutrimentales se mantienen en las poblaciones nativas. La presencia y uso de formas y tamaños diversos de frutos de jitomates nativos se ha documentado desde los estados del norte de México hasta la península de Yucatán, en el sureste; además, su consumo se prefiere en relación con los híbridos comerciales (Álvarez-Hernández et al., 2009; Rodríguez et al., 2009; Carrillo y Chávez, 2010; Pacheco-Triste et al., 2014). Las poblaciones nativas son importantes por su variabilidad genética, resultado de la selección consciente o inconsciente por las comunidades indígenas. Las colecciones actuales de jitomates nativos permiten aprovechar y conservar la variabilidad genética y generar cultivares nuevos. Por esto, los atributos agronómicos en su comportamiento productivo, en campo y condiciones protegidas, se han caracterizado y han confirmado su diversidad genética (Vásquez-Ortiz et al., 2010; Carrillo-Rodríguez et al., 2013; Bonilla-Barrientos et al., 2014; San Juan-Lara et al., 2014). El Colegio de Postgraduados, a través de su Programa de Conservación y Aprovechamiento de la Diversidad Nativa de Jitomate en México, cuenta con alrededor de 600 poblaciones que se han estudiado agronómicamente. Pero la caracterización del sabor y el contenido de ácido ascórbico (vitamina C) de los frutos es pobre. El objetivo del estudio fue caracterizar el desarrollo de algunos atributos químicos relacionados con el sabor y contenido de ácido ascórbico del fruto de 13 recolectas nativas respecto a dos híbridos comerciales, producidos en invernadero. La hipótesis fue que el contenido de ácido ascórbico, ácido cítrico y sólidos solubles totales y pH de los frutos de los híbridos comerciales es superior al de las poblaciones nativas, independientemente de la madurez al momento de cosecha.
Materiales y Métodos
Trece recolectas de jitomate se evaluaron en este estudio, estas se seleccionaron de 600 recolectadas de diversas zonas productoras de México. Las 13 recolectas sobresalieron en la adaptación al cultivo en invernadero, por su sanidad, morfología de la planta y tamaño y forma del fruto. Los resultados se compararon con los de los híbridos comerciales SUN7705© de Nunhems, con fruto tipo saladette, y Daniela© de Hazera Genetics©, con fruto tipo bola. Las recolectas provenientes de Puebla se identificaron con los números 16, A, B1, BR, y R, con 34, 35, y 38 las provenientes de Guerrero, con 48 y 49 para las provenientes de Oaxaca, con L, 83 y 96 para las provenientes de Campeche, Yucatán y Estado de México, respectivamente. Las recolectas y los híbridos comerciales mostraron crecimiento indeterminado.
Los frutos se obtuvieron de plantas desarrolladas en un invernadero (19° 27’ 42.45’’ N, 98° 54’ 32.58’’ O y 2241 m de altitud), tipo túnel de 500 m2, con cubierta plástica color blanco lechoso. La siembra se realizó en charolas germinadoras de poliestireno de 200 cavidades con una mezcla de peatmoss y agrolita (3:1 v/v) como sustrato. Las semillas permanecieron en agua acidulada, pH 5.5, por 12 h), luego se colocó una por celda en semilleros, se cubrieron con el mismo sustrato hasta llenar las cavidades. Los semilleros se regaron dos veces al día con solución Steiner al 25 % (Steiner, 1984), la que se preparó con nitrato de calcio (Haifa®), nitrato de potasio (Haifa®), sulfato de magnesio (Ultrasol®), fostato monopotasico (Ultrasol®), ácido sulfúrico (Procom®) y micronutrimentos quelatados (TradeCorp®), con pH 6.5 y CE de 2.5 mS. 31 días después de la siembra (dds) se realizó el trasplante a bolsas de polietileno negro, de 10 L de capacidad (30 cm diámetro y 40 cm alto), con sustrato a base de roca volcánica roja (tezontle) con tamaño de partícula de 5±2 mm. Las bolsas de cultivo se colocaron en hilera doble y 1.0 m entre hileras para obtener una densidad de 3.5 plantas m-2. Desde el trasplante hasta los 65 dds se aumentó 25 % la concentración de la solución nutritiva, cada 8 d, hasta alcanzar concentración del 100 % (Steiner, 1984). En etapa productiva se programaron ocho riegos diarios, de 345 mL cada uno, concentrando cinco riegos entre las 12:00 y 14:00 h y promediando en total entre 2.75±0.25 L por planta diariamente. A partir de los 40 dds se eliminaron los brotes laterales y colocó un tutor a cada planta; mediante podas de los racimos florales, se dejaron las seis flores de mayor tamaño, bien formadas y desarrolladas, por racimo.
Durante la cosecha, entre las 07:00 y 08:00 h, se obtuvieron frutos en cuatro estados fisiológicos de maduración: verde maduro, cambiante, rosa, rojo-firme y rojo-maduro (Batu, 2004), tomando el primer fruto de cada racimo floral de los racimos uno al cinco, conforme se presentaron en la planta. Estos se cosecharon, evitando el daño mecánico, se etiquetaron y colocaron en contenedores plásticos para su análisis inmediato en el laboratorio.
Los frutos se lavaron con agua destilada, se secaron y se determinó: contenido de sólidos solubles totales (SST en °Brix) en el jugo de los frutos, con el método 983.17 de la AOAC (1990) y un refractómetro digital (ATAGO serie A56280 de ATAGO, Co., EUA, LTD Pr-32α, con escala de 0 a 32 %), contenido de ácido cítrico (AC) con el método 942.15 de la AOAC (1990) y pH de la pulpa con un potenciómetro (Corning, EUA, modelo 12), con el método 964.24 de la AOAC (1990). En la pulpa se cuantificó la concentración de ácido ascórbico (AA), con el método 967.21 de la AOAC (1990), que se basa en la extracción con ácido oxálico y oxidación del 2,6-diclorofenol-indofenol, los resultados se calcularon en mg AA 100 g-1.
El diseño experimental fue completamente al azar con 15 tratamientos (cuatro macetas por tratamiento) y cuatro repeticiones (cuatro hileras dobles), y un fruto la unidad experimental. El estado fisiológico de referencia fue rojo-firme. Los análisis incluyeron uno tipo clúster, mediante el método de promedios de grupos de pares ponderados con distancias Euclidianas, uno grafico tipo Chernoff (Chernoff, 1973) y una discriminación canónica. Los análisis se realizaron con base en los atributos nutrimentales y de sabor del fruto para caracterizar los grupos con los programas SAS System® ver. 9.0 (SAS Institute, Inc., Cary, NC, EUA) y STATISTICA® ver.7.1 (StatSoft, Inc., Tulsa, Oklahoma, EUA).
Resultados y Discusión
Con base en la determinación del contenido de AA, SST, AC y pH, tres grupos se identificaron, con distancia de tres unidades, similares en contenido de AA y sabor en estado rojo firme, que es el que adquiere el consumidor final. Los híbridos comerciales Daniela y Sun7705 y las recolectas nativas A, BR, L y R formaron el grupo I. Las recolectas 16, 34, 38, 48, 49, 83, 96 y B1 formaron el grupo II y la recolecta 35 formó el grupo III (Figura 1).

Figura 1 Dendograma de calidad de frutos en estado rojo-firme de recolectas nativas y dos híbridos comerciales de jitomate (Solanum lycopersicum L.).
El grafico de Chernoff se obtuvo considerando como atributo principal el contenido de AA. Este carácter representó la anchura de la cara, la elevación de las orejas representó los SST, la excentricidad de la frente reflejó la concentración de AC y la altura de la frente el pH (Figura 2). Este gráfico evidenció que el grupo III se caracterizó por el contenido alto de AA y SST, en relación a los otros dos grupos, por lo que se consideró con sabor dulce. Los frutos de las recolectas nativas del grupo II presentaron menor contenido de AA en relación al grupo I y con menor concentración de SST (a excepción de las recolectas 83 y 16), con variaciones mínimas de contenido de AC y pH, por lo que se consideraron con dulzura media y no ácidos. Los frutos del grupo I presentaron la cantidad menor de AA, dulzura similar al grupo II y contenido variable de AC y de pH, por lo que su sabor se consideró variable respecto a la recolecta nativa.

Figura 2 Caras de Chernoff de atributos nutrimentales de frutos en estado rojo-firme de recolectas nativas y dos híbridos comerciales de Jitomate (Solanum lycopersicum L.). AA: ácido ascórbico, SST: sólidos solubles totales, pH: potencial de hidrogeno y AT: ácido cítrico.
El análisis canónico discriminante (ACD) generó cuatro variables en función de los atributos químicos y nutrimentales. Estas variables canónicas explicaron 100 % de la variabilidad de los datos. La variable canónica uno (Can1, 45.73 %) se relacionó con el pH del fruto, Can2 (34.69 %) con el contenido de SST, Can3 (12.77 %) con el contenido de AA y Can4 (6.81 %) con el contenido de AC.
La relación gráfica Can1: Can2 mostró cuatro grupos similares en pH y SST; el primero lo integraron los híbridos Daniela, Sun7705 y la recolecta 38. Este se caracterizó por sus frutos con pH alto y contenido bajo de SST. El segundo grupo lo formaron las recolectas 34, 48, 49 y 96, de las que sus frutos eran ácidos y su contenido de SST similar al primer grupo. Las recolectas A y BR formaron el tercer grupo, el cual presentó frutos ácidos con contenido mayor de SST, en comparación con los dos primeros grupos. Las recolectas L y R se agruparon en un cuarto grupo, por sus frutos ligeramente ácidos y SST ligeramente superior al tercer grupo. Las recolectas 16, 35, 83 y B1 no se agruparon por ser diferentes en pH y SST (Figura 3A).

Figura 3 Relación de variables canónicas de trece recolectas nativas y dos híbridos comerciales de jitomate (Solanum lycopersicum L.). Can1 (45.73 %): pH, Can2 (34.69 %): sólidos solubles totales, Can3 (12.77 %): ácido ascórbico y Can4 (6.81 %): ácido cítrico.
La relación Can3 y Can4 mostró dos resultados. El primero fue la presencia de dos grupos (A y B). A se caracterizó por su contenido bajo de AA y lo integraron los híbridos Daniela y Sun7705 y las recolectas A, BR, L y R. Esto concordó con el dendograma descrito antes. B se caracterizó por su contenido alto de AA y lo formaron las recolectas 16, 34, 35, 38, 48, 49, 83, 96 y B1. En este grupo se identificaron tres subgrupos (C, D y E) que denotaron una relación entre el contenido de AA y AC. El subgrupo C (recolectas A, BR, L e híbrido Sun7705) presentó contenido bajo de AA y concentración intermedia de AC. En contraste, el subgrupo D (recolectas 16, 48, 49, 83 y B1) presentó concentración alta de AA y AC ligeramente mayor que el subgrupo C. El subgrupo E (recolectas 38 y 96) se caracterizó por su contenido alto de AA y AC bajo (Figura 3B); esto denota diferencias en sabor.
Los híbridos comerciales y la recolecta R del grupo I mostraron acidez moderada y estable, en comparación con el resto del grupo (Daniela 5.17, Sun7705 5.00 y R 4.83). Las recolectas A y BR evidenciaron disminución del pH (de 4.53 y 4.43 a 4.83 y 4.90) (Figura 4A). El grupo II, con las recolectas 16, 38, 48, 49, 83 y 96 mostró estabilidad del pH durante la maduración del fruto. La recolecta 16 tuvo el pH menor (4.63) y la recolecta 38 el mayor (5.03). Del grupo, la recolecta B1 aumentó su pH (de 4.83 en estado verde-maduro a 5.27 en rojo-firme) con la maduración. Solo la recolecta 34 evidenció cambio irregular de pH durante la maduración (Figura 4B). La recolecta 35 (grupo III) disminuyó su pH a 4.77 en estado rompiente de maduración y aumentó a 5.13 en estado rojo maduro (Figura 4C).

Figura 4 pH durante la maduración de fruto de jitomate (Solanum lycopersicum L.) de 13 recolectas nativas y dos híbridos comerciales. A) Grupo I: híbridos Daniela y Sun7705 y recolectas A, BR, L y R, B) Grupo II: recolectas 16, 34, 38, 48, 49, 83, 96 y B1 y C) Grupo III: recolecta 35.
Crisanto-Juárez et al. (2010) obtuvieron pH entre 3.63 y 4.30 en una recolecta de jitomates de Oaxaca. Shah et al. (2015) y Vinha et al. (2014) reportaron pH de 4.3 a 4.6 en híbridos comerciales, y ubicaron al exocarpo como el tejido anatómico que influye mayormente en la acidez del fruto. Los híbridos comerciales y las recolectas nativas tuvieron frutos menos ácidos cuando se obtuvieron en un sistema de producción hidropónico.
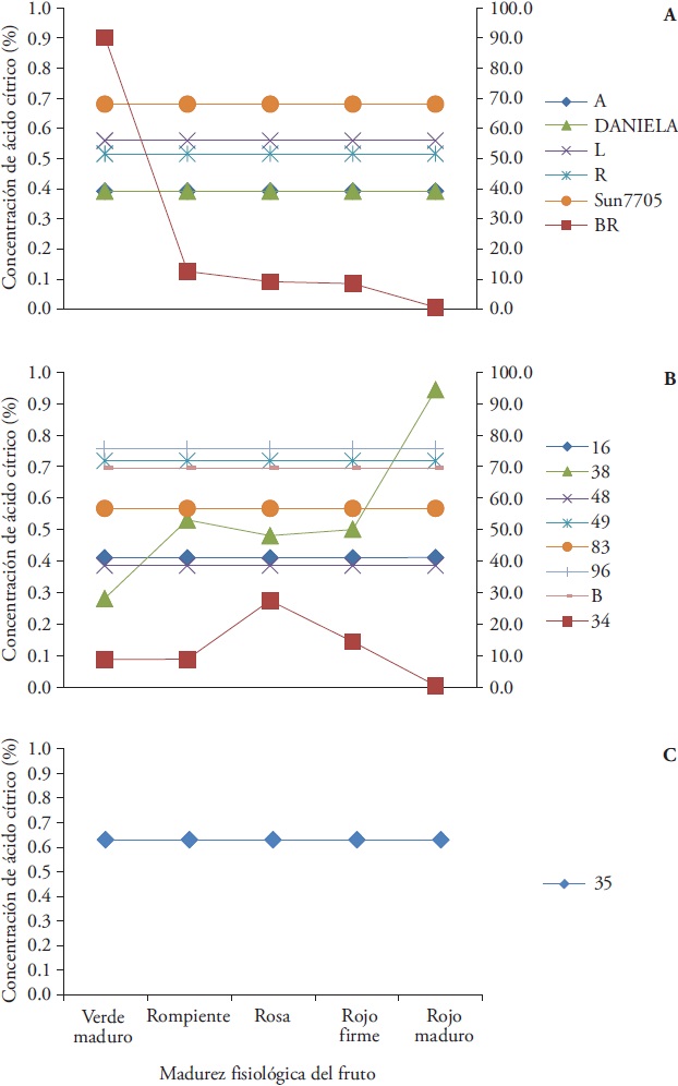
En el grupo I, los híbridos Daniela y Sun7705 mostraron 0.39 y 0.68 % de AC; esto evidenció la diferencia con el híbrido Sun7705, tipo saladette, y tipo bola Daniela a pesar de mantener estable su concentración durante la maduración. Las recolectas L, R y A también presentaron contenido estable de AC (0.56, 0.52 y 0.39 %) durante la maduración La recolecta A mostró contenido similar al híbrido Daniela. La excepción del grupo fue la recolecta BR, por su mayor concentración de AC (90.12 % en estado verde-maduro y disminución similar al híbrido Sun7705, 0.70 %, hasta el estado rojo maduro) en relación al resto del grupo (Figura 5A).

Figura 5 Ácido cítrico (%) en la maduración de fruto de trece recolectas nativas y dos híbridos comerciales de jitomate (Solanum lycopersicum L.) agrupados por tipo de frutos según atributos nutrimentales. A) Grupo I: híbridos Daniela y Sun7705 y recolectas A, BR, L y R, B1), Grupo II: recolectas 16, 34, 38, 48, 49, 83, 96 y B1 y C) Grupo III: recolecta 35. Recolectas 34 y BR referenciados en eje vertical secundario.
En el grupo II, las recolectas 16, 48, 49, 83, 96 y B mostraron valores estables de AC durante la maduración (0.41, 0.39, 0.72, 0.57, 0.76 y 0.70 %), diferenciándose la recolecta 38 por su aumento progresivo de AC hasta 0.94 % en estado rojo maduro. También, en este grupo la recolecta 34 presentó valores de AC irregulares durante la maduración (más de 8 % AC durante los primeros cuatro estados y disminución posterior) (Figura 5B). La recolecta 35 (grupo III) mostró AC estable (0.63 %) durante la maduración (Figura 5C).
Breksa et al. (2015) y Kaur et al. (2013) determinaron AC entre 0.28 y 0.63 % en híbridos comerciales de jitomate. Los valores de AC de los híbridos comerciales Daniela y Sun7705 estuvieron en ese intervalo. En contraste, las recolectas nativas tuvieron AC mayores. El AC es un biocompuesto triprótico que modifica significativamente el pH del fruto; esto depende de su relación con otros compuestos y minerales presentes. En el estudio, la correlación entre el contenido de AC y el pH fue negativa (r=-0.48); lo que indica que el pH disminuirá en función del aumento en la concentración de AC. Este fue el caso de la mayoría de las recolectas, con excepción de L, R, 16, 48 y 83.
En el grupo I el híbrido Daniela fue el único que presentó variabilidad en SST, con nivel menor (4.80 °Brix) en estado cambiante y mayor (6.37 °Brix) en estado rojo-maduro. Las otras recolectas de este grupo mantuvo estable el contenido de SST (Figura 6A).

Figura 6 Sólidos solubles totales en la maduración de fruto de trece recolectas nativas y dos híbridos comerciales de jitomate (Solanum lycopersicum L.) agrupados por tipo de frutos según atributos nutrimentales. A) Grupo I: híbridos Daniela y Sun7705 y recolectas A, BR, L y R, B) Grupo II: recolectas 16, 34, 38, 48, 49, 83, 96 y B1 y C) Grupo III: recolecta 35.
En el grupo II la recolecta 83 en estado rojo-maduro destacó por su contenido de SST de 8.5 °Brix. Las recolectas 38 y 49 mostraron desarrollo similar entre sí, con aumento de SST a partir del estado rompiente (5.73 °Brix) y sin cambio hasta el estado rojo-firme. Las recolectas 16, 34, 48, 96 y B1 no mostraron cambios en SST durante la maduración (6.13, 5.90, 4.76, 6.10 y 5.14 %) (Figura 6B).
El grupo III (recolecta 35) presentó 7.03 % de SST durante la maduración y fue la recolecta nativa con la concentración mayor de SST respecto al grupo A y la mayoría de los integrantes del grupo B. La recolecta 83 fue la única que la superó en los estados rojo-firme y rojo-suave (Figura 6C). El contenido de SST es de 3.2 hasta 9.3 % (Kaur et al., 2014; Vinha et al., 2014; Breksa et al., 2015; Shah et al., 2015), y los resultados de nuestro estudio están en ese intervalo.
El sabor puede definirse como la suma de la interacción entre receptores del gusto, el sistema olfatorio, la textura en la boca y la apariencia visual (Mathieu et al., 2009). En el caso del jitomate los receptores del gusto reaccionan a la concentración de azúcares, ácidos orgánicos y glutamato (Klee, 2010). Hogendoorn et al. (2010) reportaron que frutos de jitomate con concentraciones altas de SST (10.6 %) y AC de 4 % fueron altamente preferidos (95 %) por panelistas. Esos frutos tuvieron sabor dulce (85 %), ácido (85 %) e intenso (89 %). Así, las recolectas A, 16 y 83 y el híbrido Daniela se clasificaron como muy dulces, el híbrido Sun7705 y las recolectas L, R, 35, 38 y 48 se clasificaron como dulces, las recolectas B, 49 y 96 con sabor neutro y las recolectas BR y 34 como insípidas. Estos resultados pueden confirmarse con análisis sensoriales.
El contenido de AA en el grupo I de la mitad del grupo (recolectas L, R e híbrido Sun7705) no fue estable. Las concentraciones mayores se presentaron en la etapa rojo-maduro, pero las recolectas A, BR y el híbrido Daniela mantuvieron constante su contenido de AA (4.89, 5.12 y 6.46 mg 100 g-1) (Figura 7A).

Figura 7 Contenido de ácido ascórbico fruto de trece recolectas nativas y dos híbridos comerciales de jitomate (Solanum lycopersicum L.), durante la maduración, agrupados por tipo de frutos según atributos nutrimentales. A) Grupo A: híbridos Daniela y Sun7705 y recolectas A, BR, L y R, B) Grupo B: recolectas 16, 34, 38, 48, 49, 83, 96 y B1 y C) Grupo C: recolecta 35.
En el grupo II, las recolectas 34, 48, 83 y B1 (8.70, 10.95, 9.38 y 9.82 mg 100 g-1) mantuvieron estable su AA durante la maduración. Al contrario, las recolectas nativas 38, 49 y 96 tendieron a aumentar su el contenido de AA, desde el estado verde-maduro hasta el rojo-firme, y disminuyeron a 7.14, 8.48 y 6.91 mg 100 g-1 en estado rojo-maduro. Un caso particular del grupo fue la recolecta 16 que aumentó su contenido de AA hasta 13.86 mg 100 g-1 en estado rojo-maduro. Así, esta recolecta presentó la AA mayor del grupo completo (Figura 7B). Por lo anterior, el Grupo II mostró los contenidos mayores de AA respecto al grupo I.
La recolecta 35 mostró estabilidad en la concentración de AA (12.29 mg 100 g-1) durante la maduración; la superó solamente la recolecta 16 en etapa rojo-maduro (Figura 7C).
En recolectas nativas los contenidos de AA han variado de 6.1 a 16.1 mg 100 g-1 (Crisanto-Juaréz et al., 2010; Gaspar-Peralta et al., 2012). Algunos cultivares han mostrado contenidos de AA de hasta 50.21 mg 100 g-1 (Kaur et al., 2013). La tecnología de producción, especie, cultivar y madurez afectan esos valores (Lee y Kader, 2000).
El Instituto Nacional de Salud (National Insitute of Health, 2016) recomienda ingesta diaria de 90 y 75 mg AA d-1 para hombres y mujeres mayores de 19 años. De acuerdo con los resultados de este estudio, 100 g de fruto del híbrido Sun7705 y las recolectas L y R aportarían 11.41, 10.9 y 10.2 % de la ingesta diaria recomendada (IDR), las recolectas 16, 48, B y 83 aportarían 15.4, 12.2, 10.9 y 10.4 % IDR y el grupo III aportaría 13.7 % IDR.
La ruta metabólica del AA depende directamente de la concentración de glucosa-6P (Smirnoff et al., 2001) y el contenido de AA parece correlacionarse con el contenido de azúcares (Massot et al., 2010). En nuestra investigación la correlación del contenido de AA con el de SST no fue significativa.
Conclusiones
El contenido de ácido ascórbico, ácido cítrico, sólidos solubles totales y pH separó tres grupos entre los frutos de las 16 recolectas. Pero, con base en el sabor se identificaron cuatro grupos que incluyeron: muy dulce, incluyó tres recolectas y el híbrido Daniela, dulce, incluyó cinco recolectas y el híbrido Sun7705, neutro incluyó tres recolectas e insípido, que incluyó dos recolectas. Así, las poblaciones nativas mostraron potencial para su producto fresco o procesado y componente de platillos gourmet.
El híbrido el Sun7705 y las recolectas nativas 16, 35, 48, B, L, 83 y R mostraron el contenido mayor de AA y las recolectas 16 y 35 para fines nutracéuticos.










texto en 


