Introducción
En México se siembran 454 ha de verdolaga (Portulaca oleracea L.) con riego y en secano. En los estados de Morelos, Baja California y la Ciudad de México los rendimientos medios son de 19.18, 10.13 y 9.47 t ha-1 (SIAP, 2014). Los productores de la Ciudad de México han logrado rendimientos hasta de 40 t ha-1 (comunicación personal con productores de la zona).
Los estudios de la concentración de nutrimentos en las plantas, permiten establecer las bases de la fertilización de los cultivos. Esta puede ajustarse en el ciclo del cultivo y optimizar la cantidad de fertilizante a utilizar (Greenwood, 1983). La determinación de la concentración de nutrimentos en las plantas también es útil por su aporte a la alimentación humana (FNB/FNIC, 2001).
Los contenidos de N, P, K, Ca y Mg varían entre verdolagas silvestres, verdolagas ornamentales, fases de crecimiento, condiciones climáticas, fertilización y fecha de cosecha (Teixeira y Carvalho, 2009; Kaymak, 2013; Alam et al., 2014; Petropoulos et al., 2015). En México, los estudios se han enfocado a la descripción etnobotánica y lo referente a concentración nutrimental en la biomasa aérea es escaso. El objetivo de esta investigación fue determinar las concentraciones de N, P, K, Ca, Mg, Na, S, Mn, Fe, Cu, Zn y B en la biomasa aérea de verdolaga en tres fechas de cosecha comercial, en función del N, P y K aplicados.
Materiales y Métodos
El estudio se realizó en el Campo Experimental del Colegio de Postgraduados, Campus Montecillo, Estado de México (19° 28’ 2.07’’ N, 98° 54’ 1.71’’ O y altitud de 2215 m), en julio y agosto de 2014. El clima de la zona se clasifica como Bs 1 kwe (w) (i’) g, templado semiseco, con un régimen de lluvias en verano (julio a septiembre), precipitación media anual de 625 mm y temperaturas medias de 22 °C (García, 1973). El suelo es Mollic Ustifluvent (Soil Survey Staff, 2010), con una profundidad de 150 cm y textura franco arcillo limosa en el horizonte Ap. Las precipitaciones en junio, julio y agosto de 2014 fueron 135.2, 142.5 y 134.1 mm. Las temperaturas máximas medias diarias variaron entre 19 y 30 °C y las mínimas entre 6 a 11 °C en julio y agosto.
Material vegetal
Las semillas de verdolaga se recolectaron en Mixquic, Ciudad de México. El hábito de crecimiento de las plantas fue erecto, poco ramificado, con hojas grandes y tallos verdes.
Tratamientos y diseño experimental
La verdolaga se mantuvo en condiciones de campo y secano, con cuatro dosis de N (0, 100, 200 y 300 kg N ha-1), P (0, 30, 60, y 90 kg P2O5 ha-1) y K (0, 40, 80 y 120 kg K2O ha-1). Cada elemento se aplicó separado con la tercera dosis de los otros dos nutrientes en una condición no limitante o de suficiencia (Cuadro 1). Los 12 tratamientos generados se distribuyeron en un diseño experimental de bloques completos al azar, con cuatro repeticiones. Las unidades experimentales consistieron en rectángulos de 3 m de longitud por 1.5 m de anchura, formados manualmente. La parcela útil tuvo 4.5 m2. Las fuentes de fertilizantes fueron sulfato de amonio [(NH4)2SO4, 21 % N], fosfato mono-amónico [NH4H2PO4, 12 % N y 61 % P2O5] y sulfato de potasio [K2SO4, 51 % K2O].
Cuadro 1 Dosis de fertilización de los tratamientos estudiados.
| Tratamiento | Dosis de fertilización | ||
| N (kg N ha-1) | P (kg P2O5 ha-1) | K (kg K2O ha-1) | |
| N0 | 0 | 60 | 80 |
| N100 | 100 | 60 | 80 |
| N200 | 200 | 60 | 80 |
| N300 | 300 | 60 | 80 |
| P0 | 200 | 0 | 80 |
| P30 | 200 | 30 | 80 |
| P60 | 200 | 60 | 80 |
| P90 | 200 | 90 | 80 |
| K0 | 200 | 60 | 0 |
| K40 | 200 | 60 | 40 |
| K80 | 200 | 60 | 80 |
| K120 | 200 | 60 | 120 |
Conducción de experimento
La preparación del suelo se realizó con los procedimientos de los productores de Mixquic. Esta incluye barbecho y rastreo, formación de canales para el riego y de camas de cultivo o melgas. El contorno de cada melga se realizó con bordos de 0.30 m de anchura, actividad conocida como acamellonar o encuadrar. La siembra se realizó el 3 de julio del 2014, se aplicaron 1.86 g m-2 de semilla al voleo (4726 semillas g-1) y después 3.5 t ha-1 de gallinaza al voleo para estimular la germinación. La mitad del fertilizante nitrogenado y todo el P y K se aplicaron 25 d después de la siembra (dds) y el resto 32 dds. El control de malezas se realizó manualmente y no se aplicaron insecticidas ni fungicidas. Las cosechas se hicieron en madurez vegetativa, 27 d después de la emergencia (dde, C1), en la primera floración, 34 dde (C2), y en la segunda, 42 dde (C3).
Muestreo y análisis de suelos
Una muestra de suelo, compuesta de 10 submuestras, se obtuvo de 0 a 20 cm de profundidad de cada unidad experimental. Las muestras se deshidrataron a 40-50 °C, por 2 días y se tamizaron (2 mm). Las evaluaciones incluyeron pH, conductividad eléctrica (CE) (Richards, 1990), materia orgánica (Jackson, 1976), P (Olsen y Dean, 1965), bases intercambiables (K, Ca, Mg y Na) (Chapman, 1965), microelemetos (Fe, Cu, Zn y Mn) (Aguilar et al., 1987) y textura (Bouyoucos, 1936). Los valores fueron: pH 8.2, CE 0.36 dS m-1, materia orgánica 2.29 a 3.0 % y los siguientes elementos en mg kg-1: P 12 a 35, K 546 a 819, Ca 560 a 780, Mg 125 a 192, Na 6.9, Fe 9, Cu 1.3, Zn 24 a 29 y Mn 1.5. La textura fue franco arcillo limosa.
Muestreo y análisis en planta
La biomasa aérea se cosechó con un marco de madera de 0.0625 m2, que se colocó en el suelo de cada unidad experimental, y la planta dentro del marco se cortó al nivel del suelo. El material vegetal se mantuvo a 70 °C, por 72 h. El tejido seco se pesó y el contenido de agua en la biomasa aérea se calculó.
La biomasa aérea seca se trituró y cribó en un tamiz de 1.0 mm para la determinación de las concentraciones nutrimentales. La concentración de N se determinó por el método Kjeldahl (Alcántar y Sandoval, 1999). Para determinar P, K, Ca, Mg, Na, S, Mn, Fe, Cu, Zn y B se realizó digestión húmeda del tejido, con una mezcla de ácidos nítrico y perclórico (HNO3: HClO4, 2:1) (Alcántar y Sandoval, 1999). El K y Na se midieron mediante flamometría con un equipo Corning 400-flame Photometer, y los demás elementos con un equipo de espectrometría de emisión atómica de inducción por plasma acoplado (ICP-AES; VARIAN®, modelo Liberty II; Mulgrave, Australia).
Análisis estadístico de la información
Un modelo de regresión se determinó para cada concentración nutrimental de la biomasa, en función del N, P y K aplicados y de las tres fechas de cosecha, que se consideraron como variables auxiliares (cosecha 1: C1=0, C2=0, C3=0; cosecha 2: C1=0, C2=1, C3=0; cosecha 3: C1=0, C2=0, C3=1); además, se incluyeron los factores de suelo: materia orgánica, P Olsen y K intercambiable. El modelo se estimó con el método descrito por Volke (2008): se especifica un modelo con una o pocas variables a partir de la relación gráfica entre las variables respuesta y los factores en estudio y se incorporan variables al modelo con base en la relación gráfica entre los residuos y los factores aún no incluidos en el modelo, que mostrasen alguna tendencia de respuesta, hasta obtener un modelo con el cuadrado medio del error (CME) menor. Los modelos de regresión se obtuvieron con SAS 8.2 para Windows, y las gráficas de la concentración nutrimental en función del N, P y K y las cosechas se generaron con los valores estimados por los modelos.
Resultados y Discusión
Los modelos de regresión de las concentraciones nutrimentales mostraron efectos variables dependientes del nutriente aplicado y de la fecha de cosecha. En contraste, ninguno mostró efecto por la variación de la materia orgánica, P o K del suelo.
El contenido de agua en la biomasa aérea de verdolaga incrementó con el N aplicado, de 94.2 a 95.3 % en la cosecha 1 y de 94.2 a 95.8 % en la cosecha 2; en la cosecha 3 el contenido de agua aumentó de 92.7 a 94.9, con 0 y 300 kg N ha-1 (Cuadro 2, Figura 1).
Cuadro 2 Modelos de regresión para el contenido de agua y concentración de N, P, y K en la biomasa aérea de verdolaga (Portulaca oleracea L.) en función de N, P y K aplicados y fechas de cosecha.
| Modelo de regression | Pr. F | CV % | R2 |
| H = 94.244 - 1.542 C3 + 0.0604 N0.50 + 0.00170 C2 N + 0.00402 C3 N | ** | 0.43 | 0.710 |
| cN = 25.230 + 0.0520 N + 0.00325 N P0.50 | ** | 10.59 | 0.642 |
| cP = 3.279 + 0.00425 P + 0.0564 P0.50 + 0.00256 N | ** | 7.53 | 0.407 |
| cK = 12.118 + 0.0306 N - 0.0001582 N2 + 0.1104 K - 0.00111 K2 - 1.4286 C3 | ** | 11.65 | 0.705 |
H: contenido de agua en la biomasa aérea de verdolaga (%), cN: concentración de nitrógeno (mg g-1), cP: concentración de P (mg g-1), cK: concentración de K (mg g-1), N: dosis de N (kg ha-1), P: dosis de P (kg P2O5 ha-1), C2 y C3 son variables auxiliares para la cosecha 2 y 3 con respecto a la cosecha 1. Pr. F.: probabilidad de F; ** p=0.01, CV: coeficiente de variación (%) y R2: coeficiente de determinación múltiple.

Figura 1 Contenido de agua y concentración de N, P, y K en la biomasa aérea de verdolaga (Portulaca oleracea L.) en función del N, P y K aplicados y fecha de cosecha. C1: cosecha 1 a 27 días después de la emergencia (dde), C2: cosecha 2 a 34 dde y C3: cosecha 3 a 42 dde.
Los contenidos de agua en la biomasa aérea de verdolaga fueron similares a los de Kaymak (2013) y Lara et al. (2011). Karkanis y Petropoulos (2017) reportaron diferencias entre cultivares de verdolaga provenientes de Irán y Grecia, sin variaciones significativas en el tiempo de cosecha, 26 dds (i.e., 91 a 93 %) y 45 dds (i.e., 90 a 94 %). Uddin et al. (2012a) observaron disminución del contenido de agua con el tiempo de cosecha, de 90 a 74 % a los 15 y 60 dds. El contenido de agua en la biomasa aérea de verdolaga disminuyó en condiciones de estrés salino, por adición de NaCl en la solución nutritiva (Teixeira y Carvallho, 2009; Kafi y Rahimi, 2011; Uddin et al., 2012b). En contraste, en estrés hídrico por sequía o saturación de agua del suelo el contenido de agua en el tejido no se afectó (Uddin et al., 2017).
La concentración de N en la biomasa aérea aumentó con el N y P aplicados y por su interacción entre ambos, desde 25.2 hasta 40.8 mg N g-1 con 300 kg N ha-1, la concentración máxima fue de 50.0 mg g-1 con 90 kg P2O5 ha-1 y 300 kg N ha-1 (Cuadro 2, Figura 1).
Estos valores concordaron con los obtenidos por Kaymak (2013) (24 mg N g-1 al aplicar 150 kg N ha-1), Viana et al. (2015) (28.6 mg N g-1) y Graifenberg et al. (2003) a los 124 dds en hidroponía (28 y 32 mg N g-1) con 0 y 3 g L-1 de NaCl en la solución nutritiva. Uddin et al. (2017) observaron que el estrés hídrico afectó la concentración de N en la verdolaga, con 10 d saturados seguidos por condición de capacidad de campo, con 15.7 mg N g-1, en comparación con condición de inundación continua, con 31.4 mg N g-1. Con 12 y 36 mmol N L-1 en la solución nutritiva las concentraciones fueron 6.3 y 7.8 mg N g-1, reportadas por Fontana et al. (2006). Alam et al. (2014) obtuvieron concentraciones máximas de 118 y 184 mg N g-1 en dos genotipos de verdolaga de Malasia.
El N y P aplicados incrementaron el contenido de P, a partir de 3.28 mg g-1, en 0.77 mg P g-1 con 300 kg N ha-1, y en 1.01 con 90 kg P2O5 ha-1 (Cuadro 2, Figura 1).
El fertilizante nitrogenado modificó el contenido de P en la verdolaga, con valores de 2.4, 2.5, 2.7, y 2.9 mg P g-1 con sulfato de amonio, nitrato de amonio, urea, nitrato de amonio cálcico, respectivamente (Kaymak, 2013). En condiciones salinas, la concentración de P en la biomasa aérea aumentó, de 4.7 a 5.8 mg P g-1 con 0 y 3 g NaCl L-1 (Graifenberg et al., 2003). Las concentraciones de P en verdolaga, proveniente de Brasil y Malasia fueron superiores a las de nuestro estudio, 5.3 mg g-1 (Viana et al., 2015) y 8.3 y 14.1 mg g-1 (Alam et al., 2014).
La concentración de K en la biomasa aérea incrementó con el N y K aplicados, de 12.1 a 13.5 mg g-1 con 95 kg N ha-1, y hasta 14.9 mg g-1 con 50 kg K2O ha-1. Después de alcanzar estos valores máximos, las concentraciones disminuyeron por N y K. En la cosecha 3 disminuyó la concentración de K en 1.43 mg g-1 (Cuadro 2, Figura 1).
Las concentraciones de K en verdolaga reportadas en la literatura son mayores a las de nuestro estudio, de 22.5 y 37.9 mg K g-1 en Turquía, 53.7 mg K g-1 en Brasil y 478 y 586 mg K g-1 en Malasia (Kiliç et al., 2008; Kaymak, 2013). Además, Uddin et al. (2012a) observaron incrementos en función de la fecha de cosecha, de 50, 51 y 59 mg K g-1 a los 30, 45 y 60 dds, respectivamente. En sistemas hidropónicos la adición de NaCl en la solución nutritiva disminuyó las concentraciones de K, de 43.7 y 29.1 mg g-1 peso fresco (PF), con 0.8 y 24.2 dS m-1, respectivamente (Teixeira y Carvalho, 2009). En la solución nutritiva de sistemas charolas flotantes la aireación modificó las concentraciones de K, con niveles de 3.8 a 4.5 mg K kg PF y de 3.2 a 4.3 mg K kg PF, y sin aireación de 2.5 a 4.0 mg K kg PF (Lara et al., 2011).
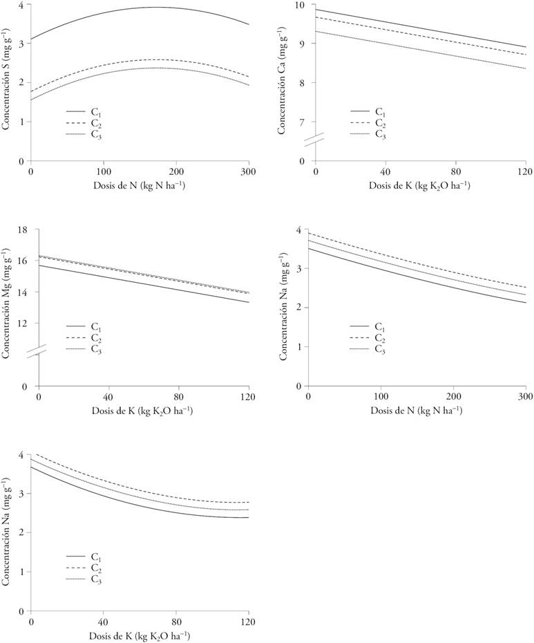
La concentración de S en la biomasa aérea disminuyó en las cosechas 2 y 3, en 1.34 y 1.55 mg g-1. En contraste el N aplicado en dosis hasta de 170 kg N ha-1 incrementó el contenido de S en todas las cosechas y alcanzó 3.92, 2.59 y 2.37 mg S g-1 en la cosecha 1, 2 y 3 (Cuadro 3, Figura 2). Viana et al. (2015) obtuvieron concentraciones similares de S (2.8 mg S g-1); en contraste, Kaymak (2013) determinó concentraciones inferiores (0.47 a 0.55 mg S g-1).
Cuadro 3 Modelos de regresión para las concentraciones de S, Ca, Mg y Na en la biomasa aérea de verdolaga (Portulaca oleracea L.) en función del N y K aplicados y fechas de cosecha.
| Modelo de regression | Pr. F | CV % | R2 |
| S = 3.11 + 0.0094 N - 0.0000272 N2 - 1.337 C2 - 1.555 C3 | ** | 16.28 | 0.742 |
| Ca = 9.866 - 0.00798 K - 0.194 C2 - 0.550 C3 | ** | 14.05 | 0.504 |
| Mg = 15.678 - 0.0195 K + 0.555 C2 + 0.628 C3 | ** | 4.14 | 0.669 |
| Na = 4.674 - 0.00574 N + 0.00000377 N2 - 0.0223 K + 0.0000961 K2 + 0.391 C2 + 0.203 C3 | ** | 9.81 | 0.779 |
La concentración de los elementos está en mg g-1. N: dosis de N (kg ha-1), K: dosis de K (kg K2O ha-1), C2 y C3: son variables auxiliares para la cosecha 2 y 3, respectivamente, respecto a la cosecha 1. Pr. F.: probabilidad de F, ** p: 0.01, CV: coeficiente de variación (%) y R2: coeficiente de determinación múltiple.

Figura 2 Concentraciones de S, Ca, Mg y Na en la biomasa aérea de verdolaga (Portulaca oleracea L.) en función del N y K aplicados, y fecha de cosecha: C1: cosecha 1 a 27 días después de la emergencia (dde), C2: cosecha 2 a 34 dde y C3: cosecha 3 a 42 dde.
En la cosecha 1 la concentración de Ca en la biomasa aérea disminuyó de 9.86 a 8.90 mg g-1 con 120 kg K2O ha-1 aplicado; a la vez, en las cosechas 2 y 3 la disminución en la concentración de Ca fue 0.19 y 0.55 mg g-1 (Cuadro 3, Figura 2).
En la cosecha 1 la concentración de Mg en la biomasa aérea disminuyó, de 15.67 a 13.34 mg Mg g-1 con 120 kg K2O ha-1; en contraste, en las cosechas 2 y 3 la concentración incrementó en 0.55 y 0.63 mg Mg g-1 (Cuadro 3, Figura 2).
El N (300 kg N ha-1) y K (115 kg K2O ha-1) disminuyeron el Na de 4.67 a 3.29 mg g-1 y de 3.38 mg g-1 en la biomasa aérea; en contraste, las cosechas 2 y 3 aumentaron la concentración en 0.39 y 0.20 mg Na g-1 (Cuadro 3, Figura 2).
Alam et al. (2014) determinaron concentraciones superiores a las de nuestro estudio, en Ca (37 y 43 mg g-1) y Mg (46 y 49 mg g-1); Viana et al. (2015) también obtuvo más Ca (14 mg g-1) pero menos Mg (8.4 mg g-1). Kaymak (2013) observó que la concentraciones de Ca (12 a 15 mg g-1) y Mg (1.4 a 1.5 mg g-1) en verdolaga son dependientes de la fuente de fertilizante nitrogenado (sulfato de amonio, nitrato de amonio, urea y nitrato de amonio cálcico) que se utilice. Uddin et al. (2012a) reportaron incrementos en las concentraciones de Ca (64.6 a 77.9 mg g-1) y Mg (51.7 a 59.4 mg g-1) en verdolaga, a los 15 y 60 dds y disminución de Na (6.3 a 8.2 mg g-1) en dependencia de la fecha de cosecha. Teixeira y Carvalho (2009) observaron que la presencia de NaCl (0.8 a 24 dS m-1) en la solución nutritiva disminuyó la concentración de Ca (44.7 a 87.37 mg g-1) e incrementó el contenido de Na (14.2 a 36.9 mg g-1) en tallos y hojas de verdolaga, con concentraciones mayores en primavera que en verano. Petropoulos et al. (2015) reportaron mayor contenido de Ca y Mg en verdolaga de Irán (0.21 a 0.23 mg Ca g-1 PF y 0.14 a 0.17 mg Mg g-1 PF) que en verdolaga de Grecia (0.15 a 0.17 mg Ca g-1 PF y 0.12 mg Mg g-1 PF). Egea-Gilabert et al. (2014) observaron concentraciones diferentes de Na entre genotipos de verdolaga provenientes de España, con variaciones de 0.55 a 0.79 mg g-1 PF. Lara et al. (2011) indicaron que la concentración de Na se incrementó en condiciones anaeróbicas de la solución nutritiva, en charolas flotantes.
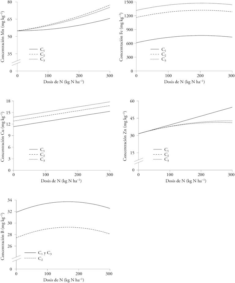
La concentración de Mn en la biomasa aérea aumentó por el N aplicado (de 54.9 a 65.7 mg Mn kg-1 con 300 kg N ha-1) en la cosecha 1; el aumento también se observó en las cosechas 2 y 3 (66.6 y 64.6 mg Mn kg-1) (Cuadro 4, Figura 3).
Cuadro 4 Modelos de regresión para las concentraciones de Mn, Fe, Cu, Zn y B en la biomasa aérea de verdolaga (Portulaca oleracea L.) en función del N aplicado y fechas de cosecha.
| Modelo de regresión | Pr. F | CV % | R2 |
| Mn = 54.917 + 0.000120 N2 + 0.0389 C2 N+0.0324 C3 N | ** | 9.00 | 0.619 |
| Fe = 613.614 + 1.546 N - 0.00381 N2 + 549.83 C2 + 703.24 C3 | ** | 23.61 | 0.598 |
| Cu = 11.322 = 0.0133 N + 1.470 C2 + 2.453 C3 | ** | 8.95 | 0.632 |
| Zn = 31.518 + 0.0769 N - 0.000132 C2 N2 - 0.000149 C3 N2 | ** | 13.95 | 0.543 |
| B = 31.88 + 0.022 N - 0.000066 N2 - 4.439 C2 | ** | 6.61 | 0.547 |
La concentración de los elementos se expresó en mg kg-1. N: dosis de N (kg N ha-1), C2 y C3: son variables auxiliares para la cosecha 2 y 3 respecto a la cosecha 1. Pr. F.: probabilidad de F, ** p=0.01, CV: coeficiente de variación (%) y R2: coeficiente de determinación múltiple.

Figura 3 Concentraciones de Mn, Fe, Cu, Zn y B en la biomasa aérea de verdolaga (Portulaca oleracea L.) en función del N aplicado y fecha de cosecha: C1: cosecha 1 a 27 días después de la emergencia (dde), C2: cosecha 2 a 34 dde y C3: cosecha 3 a 42 dde.
La concentración de Fe incrementó en la cosecha 1, de 613.6 a 769.8 mg Fe kg-1, en la biomasa aérea con 190 kg N ha-1. En las cosechas 2 y 3 el incremento llegó a 549.8 y 703.2 mg Fe kg-1 (Cuadro 4 y Figura 3).
El N en dosis de 300 kg N ha-1 aumentó la concentración de Cu en la biomasa aérea, de 11.3 a 15.3 mg Cu kg-1. Las cosechas 2 y 3 incrementaron 1.5 y 2.4 mg Cu kg-1 (Cuadro 4, Figura 3).
En la biomasa aérea de la cosecha 1, 300 kg N ha-1 incrementaron la concentración de Zn desde 31.5 hasta 54.6 mg Zn kg-1; pero en las cosechas 2 y 3 disminuyó en 19.3 y 18.1 mg Zn kg-1 (Cuadro 4, Figura 3).
Con 165 kg N ha-1 la concentración de B también incrementó, de 31.9 a 33.7 mg B kg-1 en la cosecha 1 y 3, pero disminuyó en la cosechas 2, en 4.4 mg B kg-1 (Cuadro 4, Figura 3).
Viana et al. (2015) observaron 22, 188, 14, 126 y 41 mg de Mn, Fe, Cu, Zn y B por g de verdolaga de Brasil. Alam et al. (2015) determinaron 1.6, 1.0 y 1.4 mg de Mn, Fe y Zn por g de verdolaga proveniente de Malasia. Además, Petropoulos et al. (2015) observaron diferencias significativas en la concentración de Zn (2.1 a 3.3 mg kg-1 PF), Fe (1.6 a 23.4 mg kg-1 PF) y Mn (4.5 a 5.9 mg kg-1 PF) en genotipos de verdolaga provenientes de Grecia e Irán. Kaymak (2013) observó diferencias significativas debidas a la fuente del fertilizante nitrogenado (sulfato de amonio, nitrato de amonio, urea y nitrato de amonio cálcico) en B (8.9 a 9.7 mg kg-1), Cu (8.3 a 11.4 mg kg-1), Fe (184 a 255 mg kg-1), y Zn (16 a 20 mg kg-1); pero el Mn (15 mg kg-1) no se modificó. En nuestro estudio se obtuvieron concentraciones inferiores a las citadas. Uddin et al. (2012a) reportaron incrementos de la concentración de Fe (12.2 a 14.6 mg g-1) y Zn (8.4 a 10.4 mg g-1) entre los 15 y 60 dds.
La recomendación de ingesta diaria para humanos es 34 a 56 g de proteína, 0.7 a 1.2 g de P, 4.5 a 4.7 g de K, 1.0 a 1.3 g de Ca, 0.30 a 0.42 g de Mg, 1.2 a 1.5 g de Na, 1.3 a 2.6 mg de Mn, 8 a 18 mg de Fe, 0.7 a 0.9 mg de Cu, 8 a 12 mg de Zn, con límite máximo de 2.3 g de Na, 10 mg de Cu, 40 mg de Zn y 17 mg de B (FNB/FNIC, 2001). Los resultados de nuestro estudio indicaron que, en dependencia de la aplicación de N, P, K y la fecha de cosecha, 5 g de verdolaga deshidratada o entre 87 y 119 g fresca pueden proveer 0.8 a 1.6 g de proteína (equivalentes a 25 y 50 mg N g-1), 19 a 23 mg de P, 36 a 77 mg de K, 41 a 49 mg de Ca, 66 a 81 mg de Mg, 10 a 20 mg de Na, 0.3 a 0.4 mg de Mn, 3.1 a 7.4 mg de Fe, 0.1 mg de Cu, 0.2 a 0.3 mg Zn y 0.1 a 0.2 mg de B. Esto indica que la verdolaga es una alternativa alimenticia, por su contenido de estos componentes.
Conclusiones
La aplicación de N incrementa el contenido de agua y la concentración de N, P, S, Mn, Fe, Cu, Zn y B, y disminuye la concentración de K y Na en la biomasa aérea. La aplicación de P incrementa la concentración de P. Dosis altas de K disminuyen las concentraciones de K, Ca, Mg y Na. El contenido de N, K, Na, Mn, Fe y Cu en las cosechas más tardías son mayor y el contenido de agua, S, Ca, Mg, Zn y B disminuye.
La verdolaga es una alternativa alimenticia, por su contenido alto de N proteico, Mg, Mn y Fe, y por su contenido bajo de Na, Cu, Zn y B.










texto en 


