Introducción
La importancia de la alfalfa (Medicago sativa L.) se debe a su rendimiento anual, de hasta 30 t MS ha-1, y su valor nutrimental, con 22 % de proteína y 70 % de digestibilidad (Avci et al., 2010; Mendoza et al., 2010), y es apetecible para bovinos que la consumen fresca, henificada o ensilada (Han et al., 2005; Mejia-Delgadillo et al., 2011). La alfalfa también se utiliza para mejorar la cobertura vegetal, prevenir la degradación de las praderas, y contribuye a la sostenibilidad de la agricultura y la ganadería (Chen et al., 2012). Al asociarse con una gramínea la producción de la pradera aumenta, el valor nutrimental mejora y los costos de alimentación disminuyen en comparación con los alimentos balanceados (Zaragoza et al., 2009).
La frecuencia e intensidad de corte de alfalfa se debe definir con base en el estado de desarrollo de la planta (Mendoza et al., 2010; Hernández-Garay et al., 2012). Estas variables son importantes para lograr el equilibrio entre cantidad, calidad y persistencia de la pradera (Teixeira et al., 2008). Idris y Adam (2013) al cosechar con frecuencias de 25 y 30 d obtuvieron rendimiento anual mayor y menor en las variedades Hagazi y Cuf 101 de alfalfa. Rivas et al. (2005) y Zaragoza et al. (2009), sin considerar intervalos de cosechas, obtuvieron rendimiento mayor de alfalfa en primavera-verano, que en invierno. Villegas et al. (2004) obtuvieron el rendimiento mayor de forraje con dos variedades de alfalfa en primavera, invierno y verano y la producción menor en otoño.
La densidad poblacional de tallos y su peso son indicadores de la producción de forraje (Matthew et al., 1996). Al respecto, Chen et al. (2012) incrementaron la frecuencia de corte a 30, 40 y 50 d y obtuvieron incremento en la densidad de tallos de 645, 734 y 688 por m2. Los mismos autores obtuvieron menor y mayor peso por tallo (0.27 y 0.45 g) a los 30 y 50 d.
El rendimiento mayor en alfalfa se ha obtenido con densidad de 25 plantas por m2 (Celebi et al., 2010; Dolling et al., 2011). Morales et al. (2006) reportaron la relación hoja:tallo y su relación con la altura y rendimiento en catorce variedades de alfalfa; la relación hoja:tallo menor (0.61) correspondió a la variedad Puebla 76. En México la información sobre estos componentes del rendimiento en alfalfa es escasa.
El objetivo de este estudio fue evaluar la respuesta productiva de cinco variedades comerciales de alfalfa, con intervalos de corte definidos estacionalmente, mediante su rendimiento de forraje, relación hoja:tallo, peso por tallo, densidad de tallos, densidad de plantas, composición botánica y morfológica. La hipótesis fue que la variedad comercial San Miguelito, que es la más comercializada y se produce en la región del altiplano de México, presenta el mejor comportamiento productivo.
Materiales y Métodos
El estudio se realizó de junio de 2010 a junio de 2011, en el campo experimental del Colegio de Postgraduados, Montecillo, Texcoco, Estado de México (19° 29’ N y 98° 53’ O, y altitud de 2240 m). El clima es templado subhúmedo, el más seco de los subhúmedos, con precipitación media anual de 636.5 mm, y régimen de lluvias en verano (de junio a octubre) y temperatura promedio anual de 15.2 °C (García, 2004). El suelo se analizó en el Laboratorio de Nutrición Vegetal, S. C. en el 2011 y se identificó como suelo franco arenoso, con pH 8.4 y 3.5 % de materia orgánica. Las variedades comerciales evaluadas fueron San Miguelito, Júpiter, Atlixco, Vía láctea y Cuf 101. El cultivo se estableció el 18 de abril de 2008. La siembra se realizó al voleo y el área de estudio se dividió en 20 parcelas de 108 m2 (12x9 m), con densidad de siembra de 30 kg de semilla pura viable por ha; la densidad se ajustó con el porcentaje de pureza y germinación de cada variedad. Al inicio del estudio se realizó un corte de uniformización a 5 cm de altura, con tractor-podador (New Holland Modelo 6610, USA). El intervalo entre cortes varió con la estación del año: en primavera y verano las plantas se cortaron cada cuatro semanas, en otoño cada cinco, y en invierno cada seis.
Rendimiento de forraje
El rendimiento de forraje se evaluó en dos cuadros fijos, de 0.25 m2 por repetición, colocados al azar. El forraje en cada cuadro se cosechó un día antes del corte, a una altura de 5 cm, se depositó en bolsas de papel, se enjuagó y se deshidrató hasta peso constante en estufa con circulación forzada de aire (Memmert Modelo UF 260). El peso de las muestras secas se registró en una balanza de precisión (Sartorius Modelo Entris 323-S), para determinar el rendimiento por unidad de superficie (kg MS ha-1).
Relación hoja:tallo
Los datos de la relación hoja:tallo (H/T) se obtuvieron a partir de la composición morfológica de las hojas y los tallo y se expresaron en kg MS ha-1.
Peso por tallo
Un día antes de cada corte, se seleccionaron al azar 10 coronas y en cada una se cosechó un tallo al azar a nivel del suelo. Los tallos con hojas se deshidrataron en estufa con circulación de aire (Memmert Modelo UF 260) hasta peso contante, su peso se registró en la balanza de precisión. El peso promedio por tallo se calculó.
Densidad de tallos
Al inicio del estudio se colocaron al azar dos cuadros fijos, de 20x20 cm, en el suelo, en cada repetición de cada variedad. En ellos se contabilizaron mensualmente todos los tallos, los cambios en densidad se registraron y se promediaron estacionalmente.
Densidad de plantas
En un cuadro fijo de 1 m2, colocado en el suelo al inicio del estudio, en cada repetición por variedad, se contabilizó el número de plantas mensualmente y se registraron los cambios en densidad poblacional durante el año.
Composición botánica y morfológica
Un día antes de cada corte, de las muestras de forraje cosechado, de una submuestra, aproximada de 20 %, se separaron la alfalfa y las arvenses para determinar la composición botánica y morfológica. Para la segunda, la alfalfa se separó en hojas y tallos. Cada componente se deshidrató en la estufa con aire forzado, a 55 °C por 72 h. La biomasa seca se obtuvo en la balanza de precisión, luego se promediaron por estación.
Datos climáticos
Los datos de temperatura máxima, mínima y precipitación del periodo de estudio se obtuvieron de la estación agro-meteorológica del Colegio de Postgraduados, a 100 m del área experimental (Figura 1). La temperatura máxima fue en julio de 2010 y de marzo a junio de 2011, con promedio de 28 °C, en primavera y verano. La temperatura mínima (-1 °C) se registró en invierno, en diciembre de 2010 y enero y febrero de 2011. La precipitación mayor (404 mm) fue en verano y otoño, en julio, agosto, septiembre y noviembre de 2010 y junio de 2011. En las estaciones de invierno y primavera se proporcionaron riegos cada 15 d.
Análisis estadístico
Un ANDEVA se realizó con el procedimiento de Modelos Mixtos (SAS, 2009), con diseño de bloques al azar y cuatro repeticiones. Las variables fueron rendimiento de forraje, relación H/T, peso por tallo, población de tallos m2, población de plantas m2, y composición botánica y morfológica. Las medias se compararon con la prueba ajustada de Tukey (p≤0.05).
Resultados y Discusión
Rendimiento de forraje
El rendimiento mayor anual (p≤0.05) fue de la variedad Júpiter y el menor de la variedad Cuf 101. La distribución fue: verano 37 % > primavera 26 % > otoño 25 % > invierno 13 % (Cuadro 1). Este gradiente coincidió con las temperaturas mayores en primavera y verano, que favorecieron el desarrollo de la alfalfa (Guimire et al., 2014), ya que su temperatura de crecimiento fluctúa entre 15 y 25 °C. Los resultados fueron similares a los observados por Villegas et al. (2004) de rendimientos anuales de 21 600, 21 400, 20 000 y 20 100 kg MS ha-1 con las variedades Oaxaca, Tlacolula, Valenciana y Moapa.
Cuadro 1 Rendimiento estacional y anual (kg MS ha-1) de alfalfa.

abc: Medias con diferente letra minúscula en una hilera son estadísticamente diferentes (p≤0.05). ABC: Medias con diferente letra mayúscula en una columna son estadísticamente diferentes (p≤0.05).
Idris y Adam (2013) reportaron rendimientos menores y señalaron que, independiente de la variedad y frecuencia de corte, el promedio fue 10 552 kg MS ha-1 de rendimiento anual. Nuestros resultados fueron similares a los de Avci et al. (2010) en once líneas y dos variedades de alfalfa con promedio de 20 615 kg MS ha-1. Abusuwar y Daur (2014) observaron en alfalfa un rendimiento anual mayor con la variedad Cuf-101 y menor en Hegazi (18 065 y 17 545 kg MS ha-1).
Mendoza et al. (2010) reportaron la producción mayor de forraje total acumulado en la variedad San Miguelito, cosechada cada 6 y 7 semanas (34 457 kg MS ha-1) con una distribución estacional de 31, 26, 23 y 20 % en verano, primavera, otoño e invierno. Rivas et al. (2005) registraron rendimiento promedio anual de forraje de 33 864 kg de MS ha-1 en cinco variedades de alfalfa, con los mismos intervalos de corte de esta investigación. Esos rendimientos son superiores a los de nuestra investigación probablemente porque el cultivo tenía más de 2 años de establecido, por lo que su persistencia y rendimiento disminuyó después de siembra.
Relación hoja:tallo
La relación H/T presentó efecto significativo (p≤0.05) entre variedades y estaciones del año (Cuadro 2). La variedad Júpiter mostró la relación H/T menor (p≤0.05) y entre las otras variedades no hubo diferencias estadísticas (promedio de 1.22). Independiente de la variedad, en otoño e invierno la relación H/T fue la mayor (1.49), comparado con verano y primavera (0.92 y 0.94). Esa relación en forrajes es una medida indirecta de la calidad: si el valores es mayor a uno, indica mejor calidad del forraje que con valores menores a uno (Hernández-Garay et al., 2000; Villegas et al., 2004; Morales et al., 2006).
Cuadro 2 Cambios estacionales en la relación hoja:tallo de cinco variedades de alfalfa.

abc: Medias con diferente letra minúscula en una hilera son estadísticamente diferentes (p≤0.05). ABC: Medias con diferente letra mayúscula en una columna son estadísticamente diferentes (p≤0.05).
La relación H/T de nuestro estudio, 1.05 y 0.62 en enero y noviembre (p≤0.05), fue parcialmente diferente al de cuatro variedades de alfalfa, con dos intensidades de corte; de ellas, Moapa y Tlacolula mostraron la mejor y peor relación H/T, con 1.4 y 1.1 (Villegas et al., 2006). En contraste, Rivas et al. (2005) obtuvieron valores menores (0.79) a los anteriores, Morales et al. (2006) registraron 0.68 en catorce variedades de alfalfa y Zaragoza et al. (2009) registraron en la quinta semana en verano, otoño y primavera valores de 0.8, 0.7 y 0.6 en invierno, en la sexta semana 0.8.
Peso por tallo
El peso por tallo no fue diferente (p≤0.05) entre variedades (Cuadro 3). En todas las variedades hubo efecto estacional (p≤0.05), primavera 0.92 > verano 0.78 > otoño 0.64 > invierno 0.38 g por tallo. Los valores menores en invierno estuvieron asociados al efecto negativo de las bajas temperaturas (Figura 1). Pero, de acuerdo con Chen et al. (2012), también pudo haber efecto de las frecuencias de corte; ellos evaluaron esa frecuencia y determinaron peso por tallo menor y mayor de 0.27 y 0.45 g, para la menor y mayor frecuencia.
Cuadro 3 Cambios estacionales en el peso por tallo (g) de de alfalfa.

abc: Medias con diferente letra minúscula en una hilera son estadísticamente diferentes (p≤0.05). ABC: Medias con diferente letra mayúscula en una columna son estadísticamente diferentes (p≤0.05).
El peso de tallo aumentó con la frecuencia de corte a 15 cm (1.1 g por tallo), y se relacionó con el índice de área foliar y rendimiento mayor. Estos resultados son similares a los obtenidos por Meuriot et al. (2005) en primavera con las variedades Júpiter y San Miguelito. La reducción del peso por tallo coincidió con el aumento en la densidad de tallos (Cuadro 4). Esto coincidió con la disminución en el peso individual de los tallos por el aumento en su densidad por unidad de área reportado por Hernández-Garay et al. (1992). El efecto anterior se explica con la ley de auto-aclareo (Hernández-Garay et al., 2000).
Densidad de tallos
Las diferencias estadísticas en densidad mayor de tallos, entre variedades (p≤0.05), se presentaron en Júpiter y Atlixco con promedio de 641 tallos por m2; en contraste Cuf 101 presentó densidad menor, con 417 tallos por m2 (Cuadro 4). El promedio estacional de densidad mostró diferencias (p≤0.05) y disminuyó con el tiempo: verano 677 > otoño 584 > invierno 524 > primavera 460 (Figura 1).
Stanisavljević et al. (2012) observaron comportamiento similar en cuatro variedades de alfalfa, la densidad mayor de tallos, 518 por m2, en el primer año, y la menor, 140 tallos por m2, en el cuarto año. Chen et al. (2013) indicaron que la densidad de tallos aumenta con la frecuencia de corte hasta un punto en declive, independiente de la variedad y año de evaluación, de 645, 734 y 688 tallos por m2 con frecuencias de 30, 40 y 50 d, lo que tiene alta relación con el rendimiento.
La fertilización orgánica en alfalfa aumentó densidad de tallos, altura de la planta y rendimiento (Al-Juhaimi et al., 2014). La temperatura y humedad en el suelo son los factores climáticos principales que influyen en la densidad y peso de tallos, y están relacionados con las condiciones ambientales que, si son favorables, la producción de tallos es constante y aumenta la producción de biomasa (Ventroni et al., 2010).
Hernández-Garay et al. (1992) señalaron la relación inversa entre la densidad de tallos y la producción de materia seca: el número mayor de tallos resulta en rendimiento menor de forraje, posiblemente por el peso individual bajo de cada uno de ellos. Al relacionar el peso por tallo y la densidad de tallos se observó que siguen la ley de auto-aclareo, descrita por Hernández-Garay et al. (2000), ya que en primavera se presentó el mayor peso, con la densidad poblacional menor de tallos.
Densidad de plantas
La densidad de plantas disminuyó con el tiempo en todas las variedades (Cuadro 5), de 32 plantas por m2 en verano a 22 en primavera (p≤0.05). La densidad promedio mayor y menor de plantas correspondió a Júpiter y Cuf 101, con 33 y 21 plantas por m2, y perdieron 10 y 11 plantas, respectivamente.
Cuadro 5 Cambios estacionales en la densidad de plantas (plantas por m2) en alfalfa.

abc: Medias con diferente letra minúscula en una hilera son estadísticamente diferentes (p≤0.05). ABC: Medias con diferente letra mayúscula en una columna son estadísticamente diferentes (p≤0.05).
El aumento del tiempo de establecimiento en una pradera de alfalfa estabiliza la cobertura y densidad de plantas; pero, en determinado tiempo disminuye, lo que depende de la variedad y el sitio (Mortenson et al., 2005). Dolling et al. (2011) obtuvieron en alfalfa con densidad baja, 8 plantas por m2, el rendimiento mayor de materia seca en comparación con 39 plantas por m2, debido a que la corona desarrolla mayor número de tallos por la menor competencia intraespecífica.
En primavera el rendimiento mayor de alfalfa se relacionó con la mayor radiación solar interceptada (95 %) en las distancias de 10, 15, 20, 25 y 30 cm entre plantas; pero, en verano e invierno se alcanzó el 95 % de radiación interceptada solo cuando la distancia entre plantas fue 10 y 15 cm (Mattera et al., 2013). Entre menor es la separación entre plantas el rendimiento es mayor (Stanisavljević et al., 2012; Mattera et al., 2013; Baldissera et al., 2014).
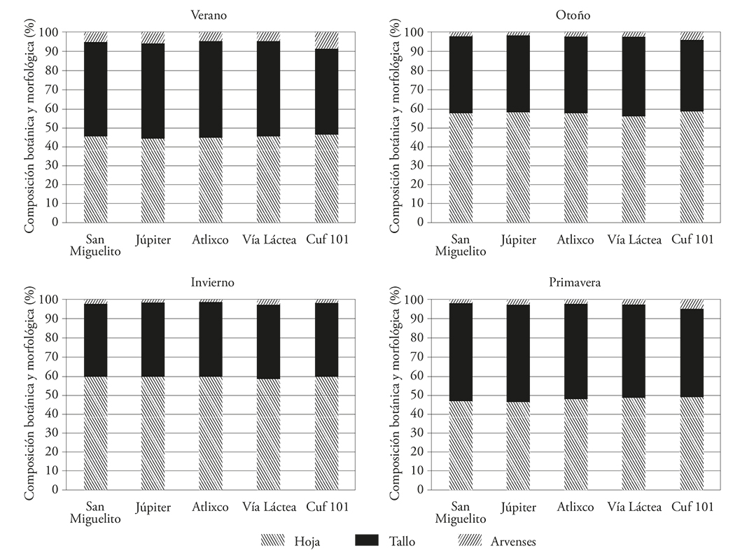
Composición botánica y morfológica
La alfalfa representó más de 90 % de la especie deseable en la pradera durante todo el periodo de estudio (Figura 2). Solo en primavera y verano hubo presencia mayor (p≤0.05) de arvenses (Aristida stricta, Bromus inermis y Malva neglecta fueron las predominantes). Las diferencias entre variedades a través del año fueron significativas (p≤0.05). Cuf 101, con 5 %, presentó invasión mayor por arvenses. Las diferencias estadísticas se observaron entre estaciones del año en la aportación de hojas al rendimiento (p≤0.05), e independiente de la variedad; otoño e invierno, con 57 y 59 % de hoja, superaron a primavera (47 %) y verano (45 %). En el periodo experimental no se presentó material muerto, ya que la alfalfa defolia las hojas senescentes.

Figura 2 Cambios estacionales en la composición botánica y morfológica (%) de cinco variedades de alfalfa.
El porcentaje mayor de arvenses en primavera y verano podría deberse a la temperatura mayor en esas estaciones, que favoreció su competencia por luz, agua y nutrimentos (Mortenson et al., 2005). El aporte mayor de arvenses en la variedad Cuf 101 se debió a su densidad menor de plantas. Esto coincidió con lo documentado por Celebi et al. (2010) y Mendoza et al. (2010).
Rivas et al. (2005) evaluaron cinco variedades de alfalfa y registraron el porcentaje anual mayor (p≤0.05) de hoja (35 y 33 %) en las variedades Oaxaca y San Miguel, y el menor en Moapa 30 %. Al respecto, Hernández-Garay et al. (2012) observaron que con la cosecha más frecuente la calidad nutrimental de la alfalfa aumenta, porque el porcentaje de hoja se incrementa; pero los cortes frecuentes eliminan rápidamente las especies perennes por agotamiento de las reservas de carbohidratos, ya que el rebrote de las especies forrajeras ocurre por translocación de carbohidratos de las raíces y base de tallos a los meristemos aéreos remanentes; esto causa que la tasa de rebrote sea lenta y que las arvenses invadan la pradera.
Conclusiones
Las cinco variedades presentan rendimiento estacional mayor en primavera-verano respecto a otoño-invierno. En las estaciones con temperatura mayor se registró la relación H/T menor, peso mayor por tallos y densidad de tallos menor. Las variedades Júpiter y Atlixco son recomendables para el valle del altiplano de México.










texto en 




