Introducción
La identificación y caracterización de ambientes diversos en escalas diferentes es de importancia crítica para la industria vitivinícola en México y el mundo. El clima de las regiones vitivinícolas, en especial la temperatura, tiene una función fundamental en la fisiología de la vid y la calidad del vino (Winkler et al., 1974). Diferencias de 1 a 3 °C en la temperatura ambiental promedio en los viñedos de uva Pinot noir y Riesling en New South Wales, Australia, produjeron diferencias en las tasas fotosintéticas y el crecimiento de las vides (Hendrickson et al., 2004). Las vides expuestas a temperaturas mayores en este estudio mostraron tasas de incorporación de C y crecimientos hasta 10 % y 40 % mayores que las vides expuestas a temperaturas menores. Estas diferencias de incorporación de C repercutieron en la concentración de sólidos solubles y ácidos orgánicos de las uvas, y la vez modificaron la calidad de los vinos producidos con esas uvas.
Además de los cambios climáticos estacionales, el clima en una escala geográfica intermedia o mesoclima, también tiene un efecto en la fisiología de plantas nativas y cultivos agrícolas (Holden y Brereton, 2004). El mesoclima o clima regional (-50 km) es el clima que domina una zona o distrito de cultivo, un valle agrícola o un bosque, y es influenciado por las colinas, el uso de suelo, los cuerpos de agua, el movimiento del aire, la cubierta vegetal y nubosidad. Estas diferencias climáticas en escalas locales pueden causar discrepancias considerables en la fenología de los cultivos en algunas regiones vitivinícolas. En Francia, el noroeste de Burdeos recibe menos precipitación pluvial que la región sureste, esto genera diferencias amplias en el número de heladas en el año (Lecocq y Visser, 2006; Bois et al., 2008). Las diferencias climáticas en Burdeos son responsables, en gran medida, de la gran variabilidad de tipos y calidades de vinos de la región (Lecocq y Visser, 2006).
El valle de Guadalupe en Baja California, México, tiene más de 20 km de longitud. No existen estudios que evalúen si las diferencias climatológicas regionales tienen un efecto en la maduración de las uvas que ahí se cultivan. El Valle de Guadalupe es el valle vitivinícola principal de Baja California y México, y se cultivan unas 1800 ha de uva para la producción de vino. En este, como en los demás valles vitivinícolas de Baja California, hay numerosas variedades de uvas. En 2011 estaban registradas más de 50 variedades de uva para vino y más de 200 productores de uva en los valles vitivinícolas de Baja California (Sepulveda-Betancourt, 2009; Secretaría de Fomento Agropecuario, 2011). Todas las variedades están expuestas a la variabilidad climática dentro y entre en los valles vitivinícolas. Aunque el valle de Guadalupe es la principal zona vitivinícola de México, no existe registro del efecto del clima en la maduración de las uvas en esta zona y poco del clima del Valle de Guadalupe.
El Valle de Guadalupe está de 10 a 30 km de la costa del océano Pacífico, por lo que algunas de sus regiones están expuestas a neblinas y brisas marinas, que generan temperaturas relativamente templadas durante el año. Las brisas marinas que alcanzan viñedos cercanos a la costa tienen efecto significante en la fisiología de la vid y la maduración de las uvas (Nemani et al., 2001; Bonnardot et al., 2002). En Napa y Sonoma, California, EUA disminuyó el número de heladas durante la primavera por al cambio de los patrones de circulación de las brisas. Lo anterior resultó del aumento de la temperatura del mar adyacente y al aumento en la concentración de vapor de agua atmosférico como consecuencia del cambio climático global. Esta disminución de heladas en las zonas de cultivo causó una reducción aproximada de 20 días en la época de brotación, aumento del rendimiento de los viñedos y la calidad de los vinos de la zona (Nemani et al., 2001).
La variedad de uva Nebbiolo para la producción de vino es originaria del norte de Italia (Giovanelli y Brenna, 2006). Esta variedad se planta en todos los valles de Baja California y es apreciada por los vitivinicultores por la alta calidad del vino que origina. El objetivo de este estudio fue evaluar el efecto de la variabilidad climática el Valle de Guadalupe, Baja California, en la maduración de la uva Nebbiolo. La hipótesis fue que debido a la variación climática del valle de Guadalupe existen diferencias en la maduración de la uva Nebbiolo cultivada en la zona interna y la zona más costera del valle.
Materiales y Métodos
Área de estudio
El valle de Guadalupe (32° 03’ N, 116° 37’ O) es una cuenca, aproximadamente a 30 km al noreste de la ciudad de Ensenada, Baja California, México (Figura 1). San Antonio de las Minas (SAM) está en la zona oeste del valle, a unos 10 km de la costa del océano Pacífico. El poblado de Guadalupe (Francisco Zarco) está en la región este del Valle de Guadalupe, aproximadamente a 30 km de la costa. El Valle de Guadalupe, se califica como región semidesértica, con la precipitación mayor (285 mm año-1) en invierno.
Datos climatológicos
Con estaciones meteorológicas (HOBO U30, EUA), en cada viñedos en estudio se obtuvieron los datos climatológicos (temperatura ambiental, humedad relativa, radiación fotosintéticamente activa y velocidad y dirección del viento cada 15 min) de septiembre del 2012 a diciembre de 2015 en Guadalupe (32° 06’ 50” N, 116° 30’ 47” O) y SAM (31°59’05”N, 116° 38’ 38” O). La distancia lineal aproximada entre los viñedos fue 20 km. Los sensores de las estaciones se colocaron a 2.5 m del suelo, con exposición directa a la radiación solar y al viento.
Cultivo de la vid
El estudio incluyó cuatro periodos de producción (2012 a 2015) en viñedos comerciales con uva Nebbiolo. El material vegetativo de ambas variedades provino del mismo clon y tenía 5 años de edad al inicio del estudio. Las vides se cultivaron en cordones de un brazo y sistema de espaldera de dos líneas. La distancia entre pasillos fue 2.7 m y entre vides 1.2 m; la orientación de éstas fue este-oeste y la poda se mantuvo a 30 yemas por vid. El suelo en ambas zonas de estudio se caracteriza por ser franco arenoso de origen Aluvial. El riego (20 L) se suministró semanalmente por goteo. El contenido de sólidos solubles en el agua de riego fue menor a 600 mg L-1, en el periodo de riego y en ambas zonas de cultivo.
Análisis químicos y estadísticos
Las variables de madurez de las uvas se determinaron semanalmente a partir de la fecha de envero. Entre 200 y 300 bayas se recolectaron al azar, semanalmente, en cada zona de estudio y se transportaron en una hielera, con hielo gel, al laboratorio para los análisis. Las uvas se recolectaron en ambas zonas de los pasillos, interna y externa del dosel, y superior e inferior de los racimos. Las uvas se maceraron por 1 h y se determinó la concentración de sólidos solubles con un refractómetro de mesa Abbe (Fisher Scientific Co.). La acidez titulable se cuantificó con titulación con NaOH 0.1 N y el pH del mosto se determinó con un potenciómetro (ThermoOrion 410) (Zoecklein et al., 1995).
Las diferencias estadísticas de los datos climatológicos y de las uvas se determinaron con ANDEVA de una vía, después de probar normalidad y homocedasticidad de los datos (Sokal y Rohlf, 1995). Todas las comparaciones múltiples de promedios se realizaron con la prueba de Tukey (p≤0.05).
Resultados y Discusión
La maduración de las uvas para la producción de vino es un proceso complejo que involucra la acumulación de glucosa, fructosa, ácidos orgánicos, polifenoles y sustancias aromáticas, y la reducción de algunos compuestos que imparten aromas no deseados en los vinos. La síntesis y el catabolismo de estos compuestos en las uvas están regulados estrechamente por factores ambientales y prácticas de cultivo que influencian la tipicidad y calidad de los vinos. Variaciones anuales y en mesoescala del clima modifican las características organolépticas y la calidad de los vinos entre los años de producción en cada región. Esto ayudaría a explicar las diferencias en la maduración entre vides en zonas con microclimas diferentes dentro del Valle de Guadalupe observadas en este estudio.
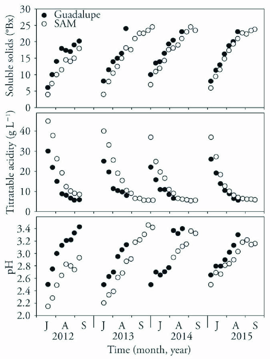
El contenido de sólidos solubles fue significativamente mayor (p≤0.01) en la uva Nebbiolo de Guadalupe respecto a SAM en los cuatro muestreos (Figura 2). Al inicio y al final de la maduración la concentración de sólidos solubles fue mayor (p≤0.05), de 3 a 5 y más de 20 °Bx, en la uva de Guadalupe respecto a la de SAM. Los valores mayores de las uvas de Guadalupe se alcanzaron una a tres semanas antes (p≤0.05) que en SAM. La acidez titulable al inicio de la maduración en los cuatro muestreos fue 50 % menor (p≤0.05) en las uvas de Guadalupe que en las de SAM y se mantuvo así durante la madura. El pH del mosto de las uvas de Guadalupe fue mayor (p≤0.05) que el de las uvas de SAM. Las tasas mayores de incorporación de sólidos solubles y el catabolismo más acelerado de ácidos orgánicos en las uvas de Guadalupe, respecto a las de SAM, coincide con las diferencias en las tasas de maduración observadas en numerosos valles vitivinícolas del mundo. Estas diferencias en maduración están ligadas a diferencias climáticas de mesoescala o gran escala. Es el caso de las uvas Carignane, Petite sirah y Zinfandel en las que la incorporación de sólidos solubles es más acelerada en zonas cálidas que en zonas frías de California, EUA (Amerine y Winkler, 1944; Winkler et al., 1974). La concentración de sólidos solubles en estas uvas fue 2 a 5 °Bx más que en las de zonas frías de California y la concentración de los ácidos orgánicos fue dos veces mayor en las de las zonas frías (Amerine y Winkler, 1944). Además, en zonas cálidas, o en años con temperaturas máximas más elevadas durante el periodo de maduración, la concentración de sólidos solubles aumenta rápidamente y la cosecha de uvas Sangiovese, Sauvignon blanc y Nebbiolo se acelera (Conradie et al., 2002, Guidoni et al. 2008, Filippetti et al. 2015). Desde el punto de vista comercial, la concentración de sólidos solubles y ácidos orgánicos son indicadores de la madurez de las uvas y se utilizan para identificar la fecha de cosecha e iniciar la vinificación. Por lo anterior, la diferencia en las tasas de maduración de estas uvas favorece la cosecha hasta dos meses más temprana en las zonas cálidas de California que en las zonas frías. Esta diferencia en el tiempo de cosecha se observó en nuestro estudio, que en Guadalupe fue hasta 27 días antes que en SAM.

Figura 2 Concentración de sólidos solubles, acidez titulable y pH de uvas Nebbiolo durante la maduración en Guadalupe y San Antonio de las Minas, Baja California, México.
En la irradiancia recibida por las vides en ambos sitios de estudio no se observaron diferencias significativas (p≤0.05) (Figura 3). Las irradiancias diarias mayores (65 mol cuanta m-2 d-1) se detectaron en julio y las menores (3-6 mol cuanta m-2 d-1) entre noviembre y marzo en ambos años. Aunque la irradiancia máxima diaria fue similar en ambos sitios, el número de días con irradiancias bajas, debido a neblina costera o nubes fue mayor (p≤0.05) en SAM. La zona vitivinícola de SAM se localiza a 10 km de la costa y recibe el influjo de neblinas recurrentes costeras; en contraste, la zona más occidental del valle de Guadalupe, a 30 km de la costa, no se afecta por las neblinas con la misma frecuencia. La reducción de la irradiancia en SAM es consistente con la reducción de la irradiancia en la zona costera del sur de California debido al efecto de las neblinas (Tont, 1975; Fischer et al., 2009). Esto demostró que existe reducción lineal de la irradiancia desde la costa hacia tierra adentro como consecuencia las neblinas en la zona costera. La frecuencia de neblinas en el sur de California, EUA, y probablemente el norte de Baja California, ha disminuido significativamente en los últimos 60 años, como resultado de cambios en los patrones de circulación (LaDochy y Witiw, 2011). Estos cambios en los patrones de neblinas han afectado la ecología costera y la agricultura en esas zonas, incluyendo la vitivinicultura (Nemani et al., 2001).

Figura 3 Radiación fotosintéticamente activa (mol cuanta m-2 d-1) en Guadalupe y San Antonio de las Minas, Baja California, México.
Los patrones de temperatura promedio diaria fueron similares en ambos sitios (p≤0.05); pero, el número de días con temperaturas promedio mayores a 25 °C fue 131 en Guadalupe y solo 67 en SAM (p≤0.05, Figura 4). La temperatura promedio de crecimiento es uno de los factores que regulan la madurez de las uvas. En la uva tempranillo en Navarra, España, se observó maduración más acelerada de las uvas en vides cultivadas a 28 °C respecto a 24 °C (Salazar Parra et al., 2010). La concentración de sólidos solubles alcanzó 24 °Bx en tiempos significativamente menores cuando las vides crecieron a 28 °C respecto a las que crecieron a 24 °C. La acidez titulable menor y los valores mayores de pH de la uva Nebbiolo de Guadalupe, con relación a las uvas de SAM, fueron también resultado de las temperaturas mayores en la zona interna del valle. Las temperaturas mayores reducen los niveles de acidez titulable y en consecuencia aumentan el pH del mosto (Winkler et al., 1974, Tarara et al., 2008). Los ácidos tartárico y málico constituyen aproximadamente 90 % de los ácidos orgánicos de las uvas. La concentración del ácido tartárico es relativamente estable a lo largo de la maduración de las uvas, pero el málico se cataboliza activamente y se consume en la respiración, a través del ciclo de Krebs. El catabolismo del ácido málico aumenta en uvas que se desarrollan en climas más cálidos por lo que su concentración disminuye en las uvas (Winkler et al. 1974, Lakso y Kliewer, 1975). Además, la temperatura de crecimiento de las uvas tiene efecto en su maduración (sólidos solubles, acidez titulable, pH) y en la acumulación de moléculas que regulan la calidad de los vinos producidos con ellas. La concentración de metoxipirazinas, por ejemplo, aumenta en uva Cabernet sauvignon y Carmenere cuando las temperaturas de crecimiento son bajas (Belancic y Agosin, 2007; Falcão et al., 2007). La acumulación de metoxipirazinas en uvas que crecen en zonas frías imparte aromas de pimiento morrón, heno y otros aromas “verdes” en vinos producidos con ellas (Falcão et al., 2007). Estos aromas, asociados a las metoxipirazinas, se consideran negativos y reducen la percepción de calidad en vinos. Lo anterior sugiere que las diferencias de temperatura promedio de SAM y Guadalupe afectan las tasas de maduración de la uva Nebbiolo y probablemente otras uvas. Además, las diferencias de mesoclima entre ambas zonas pueden tener efecto en la acumulación de sólidos solubles y ácidos orgánicos, y también en la concentración final de moléculas como la metoxipirazina, que modifica la calidad del vino.

Figura 4 Temperatura promedio diaria del aire en Guadalupe y San Antonio de las Minas, Baja California, México.
Los valores de temperatura máxima fueron ligeramente mayores en Guadalupe que las temperaturas máximas en SAM (Figura 5). El número de días con temperaturas mayores a 35 °C fue tres veces mayor en Guadalupe (118 d) que en SAM (37 d) (p≤0.05). Además, durante este periodo de estudio no se presentaron temperaturas mayores a 40 °C en SAM, mientras que en Guadalupe se presentaron 10 días (p≤0.05). Así, las uvas de Guadalupe estuvieron expuestas a temperaturas extremas con más frecuencias que las de SAM. Al contrario, la temperatura mínima fue relativamente similar en ambos valles vitivinícolas, 83 días hubo menos de 5 °C en Guadalupe y 76 días en SAM. La producción de vino de buena calidad está limitada a regiones climáticas que 1) mantienen acumulación térmica adecuada para expresar la tipicidad de la variedad de uva, 2) presentan riesgo bajo de daño a las vides por heladas y 3) ausencia de temperaturas extremas (White et al., 2006). Los resultados de nuestro estudio indican que las uvas de Guadalupe están expuestas a temperaturas extremas con más frecuencia, y por lo tanto a deshidratación mayor que las uvas de SAM. Las temperaturas mayores y el número mayor de días con temperaturas superiores a los 35 °C en Guadalupe causaron aumento de la concentración de sólidos solubles y disminución de la acidez titulable en el mosto, como resultado de la deshidratación mayor, y aumento del catabolismo del ácido málico. También, se observó aumento de temperaturas máximas durante el estudio, principalmente en SAM. Es probable que este aumento en la serie de tiempo esté influenciado por las temperaturas extremas en el mundo durante 2014 y 2015, e incluyendo el norte de Baja California. Este aumento de temperatura probablemente esté ligado a cambios climáticos de gran escala y de periodos amplios de tiempo (Kilmister et al., 2016; Mann et al., 2016).

Figura 5 Temperatura máxima (círculos negros) y mínima (círculos blancos) diaria en Guadalupe y San Antonio de las Minas, Baja California, México.
La diferencia entre la temperatura máxima y mínima (amplitud) diaria fue relativamente similar en ambos valles vitivinícolas (Figura 6). Una diferencia diaria de temperatura, entre 3 y 26 °C, se observó durante el año en ambos valles sin un patrón estacional reconocible. La diferencia en la amplitud del intervalo de fluctuaciones máximas y mínimas en la temperatura fue constante durante el periodo de estudio en SAM. Al contrario, en Guadalupe se observó disminución, de aproximadamente 2 °C, en la amplitud entre la temperatura máxima y mínima diaria. La diferencia menor de las temperaturas entre el día y la noche es consistente con la reducción de la amplitud diurna en el sur de California, debido al cambio climático global de los últimos 100 años (Steve et al., 2007). La concentración de algunos metabolitos de la uva está regulada principalmente por la etapa de maduración, tipo de suelo, luz, método de cultivo y temperatura ambiental, y hay otros factores. El incremento de la temperatura de crecimiento de la uva Merlot redujo la concentración de pigmentos en las pieles de las uvas y la concentración de polifenoles totales (Spayd et al., 2002). Además, la exposición de las uvas a temperaturas extremas durante la maduración, aunque sean periodos cortos, modifica el perfil polifenólico y antociánico (Tarara et al., 2008). Por lo anterior, las diferencias en las temperaturas extremas entre Guadalupe y SAM podrían influir en la concentración de sólidos solubles y acidez titulable en las uvas, provocar diferencias en la composición polifenólica y aromática de las uvas de ambos valles.

Figura 6 Amplitud del intervalo de temperaturas diarias en Guadalupe y San Antonio de las Minas, Baja California, México.
La humedad relativa fue mayor (p≤0.01) en SAM que en Guadalupe durante el estudio (Figura 7). La humedad relativa promedio en SAM fue aproximadamente 70 % y menos de 60 % en Guadalupe. Además, el número de días con humedades relativas mayores de 80 % fue más de tres en SAM que en Guadalupe. Las humedades relativas mayores en SAM, respecto a Guadalupe, coinciden con las humedades mayores en toda la zona costera de California, en relación con la zona central del estado. Los niveles altos de humedad relativa en zonas cercanas a la costa es resultado de la evaporación del agua de mar y las brisas marinas hacia la costa. La humedad relativa tiene una función crítica en la traspiración foliar y de los frutos en especies numerosas, incluyendo las vides. La conductancia estomatal y la fotosíntesis aumentan con la humedad relativa (Mooney et al., 1983). Al contrario, la disminución de la humedad relativa aumenta las tasas de transpiración de las uvas, por lo que la concentración de sólidos solubles del mosto con la deshidratación (Rebucci et al., 1997). Por lo anterior, el aumento en las tasas de acumulación de sólidos solubles (maduración) de las uvas de Guadalupe, con relación a las de SAM, debe ser el resultado parcial de humedades relativas menores a lo largo del año.

Figura 7 Humedad relativa promedio diaria en Guadalupe y San Antonio de las Minas, Baja California, México.
Las lluvias durante el invierno contribuyeron con la mayor parte de la precipitación anual en el Valle de Guadalupe (p≤0.05, Figura 8). Además se observó variabilidad en la precipitación entre los años de estudio; las menores se registraron en ambas zonas durante el invierno de 2013-2014. Debido a que no hay ríos o arroyos con flujo perenne en la zona, la recarga del acuífero del valle de Guadalupe depende totalmente de la precipitación pluvial invernal (Campos-Gaytan et al., 2014). Las lluvias en el sur de California, EUA y el Norte de Baja California, México, son consecuencia del debilitamiento del sistema del Pacifico Norte en el invierno, lo que permite la entrada de sistemas convectivos y frentes de lluvia en esta región (Cavazos y Rivas, 2004). La variabilidad interanual de precipitación pluvial en el norte de Baja California en gran medida es el resultado del efecto de eventos de El Niño, como el observado en 2015 (Schonher y Nicholson, 1989; Cavazos y Rivas, 2004; Varotsos et al., 2016). Como resultado de la variabilidad interanual y porque la mayoría de las lluvias se presentan en invierno, es necesario aplicar riego a las vides para mitigar el incremento de la evapotranspiración y el aumento del estrés hídrico en estos cultivos durante el verano (Mendoza-Espinosa et al., 2008; Acosta-Zamorano et al., 2013a y 2013b).

Figura 8 Precipitación pluvial mensual en Guadalupe y San Antonio de las Minas, Baja California, México, y correlación de la precipitación pluvial mensual en ambas zonas.
La regresión de los datos de lluvia en ambas zonas de estudio indicó que la precipitación fue aproximadamente 30 % mayor (p≤0.05) en SAM que en Guadalupe. Esto es contrario al incremento ligero de la precipitación de la costa hacia tierra adentro, y el aumento en la altura topográfica en el norte de Baja California reportado por Minnich et al. (2000). SAM está cerca de la costa e inmediatamente después de un incremento abrupto en la topografía costera (Figura 1). Guadalupe está a la misma altura topográfica que SAM, pero a 20 km tierra adentro. Por lo tanto, es probable que las descargas mayores de agua, por los frentes de lluvia se presenten en SAM. Las precipitaciones mayores en SAM probablemente no impactan inmediatamente en la maduración de las uvas en ambas regiones. El abatimiento de más de 20 m del nivel del manto freático en la zona de Guadalupe, por la extracción de agua en los últimos años y a la sequía que se presenta en la región ha excedido a la recarga (Campos-Gaytan et al. 2014, Robeson 2015). Los descensos mayores en los niveles del manto freático se han observado en la zona interna del valle de Guadalupe, y los niveles se han mantenido relativamente constantes en la zona más cercana a la costa. La profundidad menor del nivel freático en los cultivos cercanos a la costa probablemente provee mayor humedad en la zona radicular y provoca tasas lentas de maduración de las uvas. Además, la precipitación mayor en SAM puede generar recarga mayor en la región más costera del valle.
Las diferencias significativas (p≤0.05) se observaron en temperatura, humedad relativa, velocidad y dirección de los vientos dominantes de Guadalupe y SAM durante el periodo de maduración de las uvas (Figura 9). Los vientos dominantes durante el día (10:00 a 14:00 h) en SAM presentaron dirección suroeste con intensidades generalmente menores a 4 m s-1 y en Guadalupe los vientos dominantes presentaron dirección suroeste con intensidades mayores (p≤0.05) a las de SAM. Al contrario, los vientos en la tarde y noche en SAM presentaron dirección norte, en Guadalupe la dirección fue este. Además, la intensidad de los vientos en la tarde-noche fue ligeramente más intensa en SAM que en Guadalupe. El proceso de evapotranspiración depende en gran medida de la velocidad del viento y la turbulencia en la capa límite foliar y los racimos de uva. Las velocidades mayores del viento reducen el grosor de la capa límite y aumentan la evapotranspiración de las plantas, lo que a su vez aumenta el estrés hídrico (Onoda y Anten, 2011). Por lo anterior, es probable que la mayor intensidad en la velocidad del viento ocasionara deshidratación y un estrés hídrico mayores en las uvas de Guadalupe con relación a las uvas de SAM.
Conclusiones
El valle de Guadalupe es una región vitivinícola extensa que presenta variaciones climatológicas a mesoescala. La zona de Guadalupe presenta velocidades del viento mayores, temperaturas promedio y temperaturas máximas más altas a las de San Antonio de las Minas. La humedad relativa y las precipitaciones pluviales fueron menores en Guadalupe que en SAM. La diferencia en las condiciones climáticas parece que aceleran la acumulación de sólidos solubles y la reducción de acidez titulable de la uva Nebbiolo de Guadalupe con respecto a SAM. Este efecto en la maduración probablemente está regulando similarmente a la maduración y las características fisiológicas de otras uvas en el valle. Las diferencias de maduración probablemente generen diferencias en la calidad de las uvas y a los vinos de la región.










texto en 




