Introducción
Un diseño adecuado del riego por gravedad es esencial para la aplicación eficiente del agua y los modelos de simulación desarrollados durante las cinco décadas recientes se han convertido en la herramienta principal para predecir el flujo del agua y la distribución final de la humedad sobre la longitud de un surco o una melga durante el proceso del riego (Bautista y Strelkoff, 2009). Strelkoff et al. (2009) señalaron que el factor más importante en el proceso del riego superficial y uno de los más difíciles de cuantificar es la infiltración, por lo que su caracterización apropiada es fundamental en el desempeño de los sistemas de riego. Para modelar la infiltración es posible resolver la ecuación de Richards (1931), del flujo del agua en suelos parcialmente saturados, pero las condiciones de heterogeneidad son un problema importante por la cantidad de parámetros requeridos. Tradicionalmente, la infiltración se mide en puntos discretos con infiltrómetros de doble cilindro o con instrumentos como el infiltrómetro de disco (Angulo-Jaramillo et al., 2000). Con ellos se obtienen mediciones representativas de un solo punto, en el mejor de los casos, y su variabilidad espacial puede ser de tal magnitud que la inferencia de valores promedio adecuados para la simulación no puede hacerse con facilidad. Para estimar los parámetros adecuados para la modelación se han implementado técnicas para instrumentar pruebas de riego, que pueden ser tan elaboradas como medir los perfiles superficiales del agua durante el riego. Los parámetros obtenidos con métodos de modelación inversa, con las fases de avance y recesión en el riego por gravedad, son populares porque los datos son relativamente fáciles de obtener y los resultados representan promedios de campo en algún sentido (Strelkoff et al., 2009).
De acuerdo con Jury et al. (2011), una propiedad efectiva es una relación funcional entre cantidades promediadas sobre un volumen, que dependen de la escala y el modelo. La conductividad hidráulica no saturada es un ejemplo de una propiedad efectiva, se define como el cociente del flujo entre el gradiente de potencial hidráulico medidos en la misma escala. Esta propiedad es monótona y única cuando el volumen se elige en una región con suelo homogéneo, pero no se garantiza que lo sea conforme se aumenta la escala y el suelo es heterogéneo.
El uso de propiedades hidrodinámicas efectivas se ha discutido en la literatura especializada. Zhu y Mohanty (2006) analizaron esquemas óptimos para obtener propiedades hidráulicas efectivas para infiltración transitoria; Mesgouez et al. (2014) evaluaron la incertidumbre y validación de la estimación de propiedades hidrodinámicas efectivas en simulaciones de evaporación dinámica; Durner et al. (2008) investigaron el movimiento del agua a la escala de un lisímetro para analizar la existencia y unicidad de propiedades hidrodinámicas efectivas en suelos estratificados por modelación inversa. La validez de utilizar propiedades hidrodinámicas efectivas en la mayoría de los casos depende del objetivo o las variables de interés de la modelación. La consideración de homogeneidad del medio porosos dependerá del fenómeno en estudio; en el caso del riego por gravedad será importante considerar la heterogeneidad de los suelos sobre los cuales transita la onda de avance de agua, desde su posición de entrada en la melga hasta el final.
Las condiciones generales para representar las propiedades hidrodinámicas del suelo con parámetros efectivos se analizaron en este estudio mediante parámetros generados con la información experimental que obtuvo Zataráin et al. (2003) para una parcela en Montecillo, Estado de México. Para analizar la variabilidad espacial de las propiedades hidrodinámicas se utilizó la teoría de similitud de Miller y Miller (1956) en medios porosos para escalar la infiltración.
Zataráin et al. (2003) señalan que si la media de la conductividad hidráulica saturada es una constante, la representación de la fase de avance por características hidrodinámicas efectivas es posible para caudales que aseguren la llegada del frente de avance al final de la melga. La hipótesis de este estudio fue que el uso de valores medios de las propiedades hidrodinámicas del suelo en el riego por gravedad es válido con estas dos condiciones. El objetivo fue analizarlas, modelando la fase de avance con dos procedimientos de caracterización de la variabilidad espacial, uno a través de la generación de campos correlacionados de la conductividad hidráulica con un método fundamentado en el análisis espectral y conservando la distribución de probabilidad y otro con la generación aleatoria conservando también la distribución de probabilidad.
Materiales y Métodos
El análisis de las condiciones para modelar la fase de avance en el riego por gravedad en melgas se realizó con el modelo hidrológico que resulta de una simplificación de las ecuaciones de Barré de Saint-Venant. En nuestro estudio se usó la ley de resistencia propuesta por Fuentes et al. (2004) y la hipótesis del tiempo de contacto Saucedo et al. (2006). Para describir la infiltración se utilizó sin pérdida de generalidad la ecuación de Green y Ampt (1911), que puede derivarse de la ecuación de Richards (1931) de acuerdo con Parlange et al. (1982, 1985). El estudio de la variabilidad espacial de la infiltración se simplifica con la teoría de los medios similares de Miller y Miller (1956) (medios fractales auto-similares).
La descripción del riego
El escurrimiento en el riego por melgas puede considerarse unidimensional por la relación entre la anchura y el tirante de agua. Con esta consideración, la modelación del riego puede hacerse con las ecuaciones de Barré de Saint-Venant, derivadas de los principios de conservación de la masa y de la cantidad de movimiento:
donde x es la dirección principal del movimiento [L]; t es el tiempo [T]; q(x, t)=U(x,t)h(x,t) es el gasto por unidad de ancho de melga o gasto unitario [L2T-1]; U=U(x,t) es la velocidad media en una sección transversal [LT-1]; h=h(x,t) es el tirante del agua sobre la superficie del suelo [L]; Jo=-∂Z/∂x, con Z la coordenada vertical orientada positivamente hacia arriba [L], es asimilada generalmente a la pendiente topográfica de la superficie del suelo cuando el ángulo de inclinación es pequeño [LL-1]; J=J(x,t) es la pendiente de fricción [LL-1]; g es la aceleración gravitacional [LT-2]; VI=VI(x,t)= ∂I(x,t)/ ∂t es la velocidad de infiltración [LT-1],I=I(x,t) es el volumen infiltrado por unidad de ancho y por unidad de longitud de la melga o lámina infiltrada [L]; el parámetro adimensional β está definido como β=VIX/U, donde VIX es la proyección en la dirección del movimiento de la velocidad de salida de la masa de agua debido a la infiltración, generalmente es despreciada.
En la fase de avance del riego las condiciones iniciales y de frontera son:
donde q0 es el gasto unitario constante impuesto a la entrada de la melga; xf (t) es la posición del frente de onda.
Para cerrar el sistema (1)-(4) es necesario proporcionar ecuaciones para la velocidad de infiltración y la pendiente de fricción a través de una ley de resistencia hidráulica. Para describir la infiltración puede utilizarse la ecuación de Richards (1931) o una simplificación, como el modelo de Green y Ampt (1911), que se deriva de la ecuación de Richards cuando la difusividad hidráulica se asimila a una densidad de Dirac y la conductividad hidráulica no saturada es continua (Parlange et al., 1982, 1985).
El modelo de Green y Ampt (1911) es representado por la siguiente ecuación diferencial:
donde I es la lámina infiltrada acumulada [L]; Ks es la conductividad hidráulica a saturación [LT-1]; θs y θo son el contenido de humedad a saturación e inicial, respectivamente [L3L-3] [L3L-3]; hf es la succión en el frente de humedecimiento (flujo en pistón) [L]; h es la lámina de agua sobre la superficie del suelo (presión positiva) [L].
La ley de resistencia hidráulica relaciona la pendiente de fricción con la velocidad media y el tirante de agua y se puede utilizar la ley propuesta por Fuentes et al. (2004), que resulta del análisis del acoplamiento de las ecuaciones de Barré de Saint-Venant y Richards en la singularidad presente a la entrada de la melga:
donde υ es el coeficiente de viscosidad cinemática [L2T-1]; k es una constante adimensional que depende principalmente de la rugosidad del suelo; la potencia d es tal que 1/2<d<1, el límite inferior corresponde al régimen de Chézy y el superior al régimen de Poiseuille.
Como formas simplificadas de las ecuaciones de Barré de Saint-Venant se identifican el modelo
de onda difusiva o inercia cero, que se obtiene al eliminar los términos
inerciales de la ecuación (2); el
modelo de onda cinemática, que resulta de eliminar la variación del tirante en
el espacio en el modelo de la onda difusiva; y el modelo hidrológico de Lewis y Milne (1938), que retiene la
ecuación de continuidad y asume un tirante medio constante en el tiempo y en el
espacio (
En un estudio de riego por gravedad, Saucedo et al. (2001) utilizaron las ecuaciones de Barré de Saint-Venant y de Richards y mostraron que considerar solamente la lámina infiltrada como una función del tiempo de contacto es suficiente para describirlo adecuadamente.
El modelo hidrológico de Lewis y Milne es una aproximación adecuada en la fase de avance del riego por gravedad, ya que conserva sus características principales (Rendón et al., 1997; Castanedo et al., 2013) y será retenido por su sencillez para el estudio de la variabilidad espacial de las propiedades hidrodinámicas del suelo y su impacto en la fase mencionada.
El tirante medio se puede estimar a partir del perfil de la onda en régimen permanente ∂h/ ∂t=0 y ∂q/ ∂t=0. De las ecuaciones (1) y (2) se deduce:
donde γ=1-1/2 β; Ks es el flujo de infiltración permanente igual a la conductividad hidráulica saturada que puede ser variable en el espacio [LT-1] y F es el número de Froude: F2=q2/gh3.
La ecuación (7) se integra en general de manera numérica, pero se obtiene una solución analítica aproximada si se considera que en la posición del frente de la onda (x=xf) el término predominante es la pendiente de fricción: dh/dx≃-J. La pendiente de fricción en términos del tirante y del gasto se deduce de la ecuación (6): J=(ʋ2/gh3)(q/kʋ)1/d
La variación del gasto con respecto a x en régimen permanente se obtiene de la ecuación de continuidad dq/dx+Ks=0 considerando la conductividad hidráulica saturada media, es decir q=q0(1-x/xmax) con xmax=q0/Ks. La integración conduce a h(x)=hr(1-x/xmax)δ, con δ=(1+d)/4d y hτ=(v2xmax/δg1/4, y para extrapolar este perfil hasta la entrada de la melga se reemplaza el tirante hr por el tirante normal h0. El tirante medio se obtiene del volumen sobre la superficie dividido por xmax:
donde:
La integración de la ecuación (5) con la condición I=0 en t=0, considerando el tirante de agua constante e igual al valor medio definido por la ecuación (8) conduce a:
donde
La ecuación (10) presenta dos parámetros desconocidos: hf y Ks. Los parámetros θs y θo pueden medirse y ̄h se estima con la ecuación (8) si se conoce el coeficiente adimensional de rugosidad.
La infiltración y la variabilidad espacial
Para el análisis de la variabilidad espacial de la infiltración se utilizaron los datos reportados por Zataráin et al. (2003). Los experimentos se realizaron en un suelo de textura arenosa en Montecillo, Estado de México. En una melga de 100 m de longitud, 5 m de anchura y pendiente longitudinal Jo=0.002 mm-1; se hicieron 21 pruebas de infiltración en un transecto al centro de la melga, la primera de ellas se realizó al inicio de la melga y el resto a 5 m con respecto a la prueba inmediata anterior. El método del doble cilindro (Angulo-Jaramillo et al., 2000) se utilizó con 0.35 m y 1.45 m de diámetro interior y exterior, respectivamente. La lámina infiltrada acumulada tuvo diferencias de hasta 70 cm en un día entre las pruebas de infiltración (Figura 1).

Figura 1 Datos experimentales de infiltración acumulada en 21 puntos en Montecillo, México, en (A) un día y (B) una hora (Fuente: Zataráin et al., 2003).
Si se cuenta con Ns pruebas de infiltración se deben identificar 2Ns parámetros de la ecuación (10). El análisis de la variabilidad espacial de estos parámetros se simplifica con la teoría de los medios similares de Miller y Miller (1956) (medios fractales auto-similares); que indica que los parámetros Ks y λ de la ecuación (10) de un suelo cualesquiera están relacionados con los parámetros respectivos del suelo de referencia por:
donde el subíndice j identifica a los suelos: j=1,2,...,N, donde Ns es el número de pruebas de infiltración; r son los factores de escala y los parámetros con asterisco corresponden al suelo de referencia.
De la ecuación (11) se infiere:
donde el parámetro Ωf [L3T-1] es una constante característica de la región estudiada. La ecuación permite reducir el número de parámetros desconocidos de 2Ns a Ns+1 (Zataráin et al., 2003). Puesto que la conductividad hidráulica a saturación es independiente de la carga de agua sobre la superficie del suelo y de la condición inicial, el escalamiento proporcionado por la ecuación (12) debe ser escrito como:
donde el nuevo parámetro regional Ω se estima considerando la definición del parámetro λ, a partir de:
Fuentes (1992)4 sugirió que el suelo de referencia sea construido de manera que la conductividad hidráulica a saturación del suelo de referencia sea igual a la media geométrica, es decir:
donde μτ es la media aritmética de los logaritmos de los factores de escala: τ=ln(r).
El ajuste de los datos experimentales escalados y la función de Green y Ampt con los parámetros del suelo de referencia mostraron la aplicabilidad de la teoría de los medios similares a la información experimental (Figura 2).

Figura 2 Datos experimentales escalados y función de Green y Ampt con parámetros del suelo de referencia (Zataráin et al., 2003).
Datos experimentales (Nielsen et al., 1973; Warrick y Amoozegard-Fard, 1979; Sharma et al., 1980; Vauclin, 1982) muestran que es válido considerar que la variable τ=ln(r) muestra distribución de Gauss. Considerando la normalización definida por la ecuación (14) la densidad de probabilidad p(τ) y la probabilidad acumulada F(τ) gaussianas se escriben como sigue:
donde στ es la desviación estándar del logaritmo de los factores de escala y erf(x) denota la función error.
En el escalamiento realizado por Zataráin et al. (2003) obtuvieron los siguientes parámetros del suelo de referencia: Ks*=2.33 cmh-1 y λ*=7.71 cm, y regional: Ω=5.84 cm3h-1. La variabilidad espacial se refleja en los valores de los factores de escala, con media ‹r›=1.0231 y desviación estándar ‹σr›=0.2217. Al suponer que efectivamente la variable τ=ln(r) sigue una distribución de Gauss, los autores determinaron στ=0.2207. La conductividad hidráulica saturada tuvo media ‹Ks›=2.55 cmh-1 y desviación estándar ‹σKs›=1.08 cmh-1, lo cual ilustra también la variabilidad espacial de las propiedades hidrodinámicas a lo largo de la melga. La desviación estándar de la conductividad hidráulica saturada en la melga aquí estudiada es del mismo orden de magnitud que los de la literatura (Kutilek y Nielsen, 1994).
Para analizar la estructura espacial del logaritmo de los factores de escala se introducen el autocorrelograma y el semivariograma. El autocorrelograma o función de autocorrelación de un proceso z(x), con estacionariedad de segundo orden y media μ, se define como:
donde h es la interdistancia entre dos puntos. El coeficiente de autocorrelación se define como ρ(h)=C(h)/ σ2, con σ2 =C(0) la varianza, y es tal que |ρ(h)|≤1. En el caso de este estudio z(x)= τ(x), σ2= σ2τ y μ=μτ=0.
El semivariograma es definido como:
De las ecuaciones (17) y (18) se infiere que el semivariograma dividido entre la varianza está relacionado con el coeficiente de autocorrelación:
Para calcular el semivariograma o autocorrelograma se utilizó el siguiente estimador insesgado:
donde N(h) es el número de pares de puntos separados por una distancia h.
Para modelar el semivariograma empírico se aplicó la hipótesis markoviana de primer orden que resulta del coeficiente de autocorrelación:
donde λm es la longitud de autocorrelación. Para los datos de la melga estudiada, Zataráin et al. (2003) supusieron ρ (0)=a=1, que permite estimar una longitud de autocorrelación λm=10.
Las propiedades efectivas
Para establecer las condiciones en las que la fase de avance puede describirse por características efectivas, Zataráin et al. (2003) consideraron: a) la infiltración tiene un régimen permanente en tiempos muy largos, el flujo de Darcy es igual a la conductividad hidráulica a saturación (Ks); b) la media (
Un régimen permanente de la infiltración permite establecer:
y en la entrada de la melga (x=0, q=q0) se tiene:
De acuerdo con el teorema del valor medio de las integrales se define la media sobre el intervalo [0, xmax], como:
es decir:
La ecuación (25) indica que para un gasto de riego dado existe un valor medio de la conductividad hidráulica que define una posición del frente de avance máximo. Para una melga de longitud L, el gasto mínimo que asegura la llegada del agua al extremo final se deduce de la ecuación (25):
Al considerar que la media de la conductividad es una constante sobre el intervalo [0, L],
Generación de campos correlacionados
La generación de un campo correlacionado de la conductividad hidráulica consiste en producir realizaciones de la misma que presenten ciertas características impuestas. Para el caso de la hipótesis de estacionareidad de segundo orden es suficiente mantener la media y el semivariograma (Journel y Huijbregts, 1978).
Los métodos fundamentados en el análisis espectral permiten generar una realización z(x) en cualquier punto del espacio (Rice, 1954; Shinozuka y Jan, 1972; Mejía y Rodríguez-Iturbe, 1974). El análisis espectral de una función aleatoria z(x) asocia a la función de autocovarianza C(h) su transformada de Fourier, llamada densidad espectral S(ω), donde ω es la frecuencia angular, a saber:
Por analogía con el caso de un fenómeno temporal aleatorio, en el caso de funciones aleatorias espaciales, se utiliza un generador espectral para la simulación de la función, es decir:
donde Nh es el número de armónicas; cn es un coeficiente de ponderación que permite la restitución de la función de densidad espectral de la señal y de su varianza; ωn son las frecuencias de la señal; φn son los ángulos de fase aleatorios distribuidos uniformemente entre 0 y 2π; cos(ωnx + φn) es un modelo aleatorio de fase, estacionario de orden dos, ergódico, de media nula y varianza igual a un medio.
La función de autocovarianza que resulta de la introducción de la ecuación (28) en la ecuación (17) es la siguiente:
donde ωn son las frecuencias de cada una de las armónicas.
De la ecuación (29) se obtiene la siguiente expresión de la varianza, C(0)= σ2:
Entre los métodos propuestos para estimar el coeficiente cn está el de Mejía y Rodríguez-Iturbe (1974), que suponen todos los coeficientes iguales y obtienen
En nuestro estudio se seleccionó el método de Shinozuka y Jan (1972) porque conserva la estructura espacial y la varianza. De la transformada inversa de Fourier de la densidad espectral, ecuación (27), se deduce (Falconer, 1990):
que se discretiza como sigue:
y como C(0)= σ2, se deduce:
donde Δω=2Ω/Nh de suerte que -Ω<ωn<Ω.
La comparación de las ecuaciones (30) y (33) conduce a la siguiente expresión para calcular los coeficientes:
Resultados y Discusión
Las condiciones generales para representar las propiedades hidrodinámicas del suelo con parámetros efectivos para simular el riego por gravedad se analizaron con la generación sintética de parámetros. Al inicio, se generaron campos correlacionados de la conductividad hidráulica, a través del logaritmo de los factores de escala y el método de Shinozuka y Jan (1972). Los valores se introdujeron en el modelo hidrológico de simulación del frente de avance. Después, los parámetros probabilísticos se utilizaron para generar los parámetros de la infiltración aleatoria en los suelos, considerando que la condición general para utilizar propiedades hidrodinámicas efectivas en el riego por gravedad implica que la distribución probabilística de las propiedades hidrodinámicas sea única en el espacio.
Las realizaciones conservaron la varianza y el semivariograma, para ejemplificar se obtuvieron los resultados con cinco campos correlacionados generados (Figura 3) y se observó la conservación de la distribución probabilística del logaritmo de los factores de escala. El comportamiento de los semivariogramas de los campos generados fue similar al semivariograma teórico dentro de la escala de correlación (Figura 4).

Figura 3 Probabilidad acumulada del logaritmo de los factores de escala en la melga Montecillo y en los campos correlacionados generados.

Figura 4 Semivariogramas teórico y de los campos correlacionados del logaritmo de los factores de escala.
Los valores de los factores de escala de los cinco campos correlacionados (Figura 5) se introdujeron en el modelo de simulación del avance del riego.
Los factores de escala de los campos correlacionados se introdujeron el modelo de simulación del avance del riego con los valores de referencia K*s=2.33 cmh-1 y λ*=7.71 cm, con los que se obtuvo h*f =27 cm; la pendiente de la melga fue J0=0.002 mm-1 y el contenido de humedad a saturación υs=0.4865 cm3cm-3; la humedad inicial θo=0.2479 cm3cm-3 y el gasto unitario q0=0.032 m3s-1m-1.
Para seleccionar los parámetros k y d de la ley de resistencia hidráulica proporcionada por la ecuación (6) se calculó el número de Reynolds: Re=Uh/υ=q/υ, para estimar el tipo de régimen de flujo; con υ=10-6 m2s-1 se obtuvo Re=3200, que permitió utilizar la ley de Poiseuille (d=1) del régimen laminar (Sotelo-Ávila, 1997). El valor medio medido del tirante en la cabecera de la melga fue ho=2.07 cm. Con las ecuaciones (8) y (9) se obtuvo
El frente de avance simulado con los cinco campos correlacionados fue semejante al de los datos experimentales (Figura 6).

Figura 6 Avance e infiltración en la melga Montecillo con campos correlacionados de la conductividad hidráulica a través del logaritmo de los factores de escala.
A pesar de que los campos correlacionados presentan variabilidad espacial, que se refleja en el perfil de las láminas infiltradas, las simulaciones mostraron prácticamente el mismo comportamiento del avance del riego. Así, la aplicación de los campos correlacionados permite contribuir al análisis de las condiciones para aplicar métodos inversos en la caracterización de suelos con eventos de riego.
Los parámetros probabilísticos también se utilizaron para estudiar la condición general para representar las propiedades hidrodinámicas por propiedades efectivas. Esta condición implica que la distribución probabilística de las propiedades hidrodinámicas sea única en el espacio. La modelación del avance se realiza variando el número de suelos desde dos hasta cien. Para cada valor del número de suelos se realizan al menos diez repeticiones de la modelación del avance. En cada repetición se generan aleatoriamente los factores de escala cuyo número corresponde al número de suelos, es decir, cada suelo está representado por su factor de escala.
Para obtener los factores de escala se generaron aleatoriamente los valores de probabilidad para los suelos y con la función de probabilidad acumulada se obtuvieron los valores del logaritmo de los factores de escala. El mismo suelo de referencia que en los casos anteriores fue utilizado. Los valores se ubicaron, conforme se generaron, sobre la melga de 100 m y discretizada para la modelación en 100 nodos. El gasto de riego fue 3.2 ls-1m-1. El número de nodos por suelo resultó de dividir el número total de nodos entre el número de suelos.
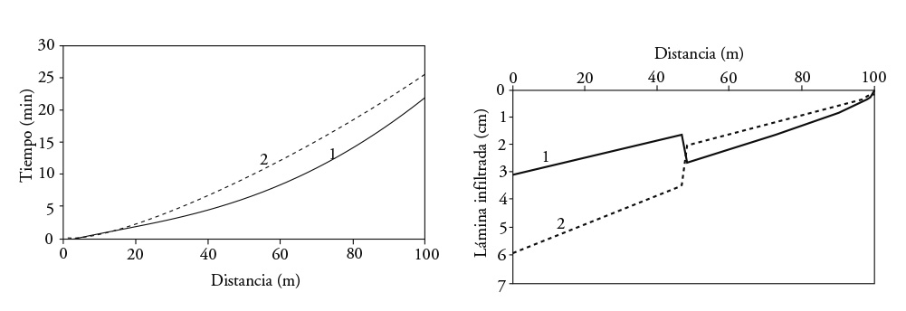
En una melga con dos suelos de características hidrodinámicas contrastantes, una mitad correspondió a un suelo arcilloso (r=1.434) y la otra mitad a un suelo arenoso (r=0.678). En el primer caso el suelo arcilloso se colocó al inicio de la melga y para el segundo el suelo arenoso se colocó al inicio. El tiempo de avance fue mayor en el segundo caso, debido a que el volumen infiltrado fue mayor (Figura 7).

Figura 7 Curva de avance y lámina infiltrada en una melga con dos combinaciones de suelos: 1) arcilloso-arenoso, y 2) arenoso-arcilloso.
En la modelación con números de suelos 20, 50 y 100, se observó que al aumentar el número de suelos las curvas de avance fueron más similares (Figuras 8, 9 y 10). Al incrementarse el número de suelos el tiempo total de avance osciló convergentemente a un valor único (Figura 11).

Figura 11 Tiempo total de avance de riego obtenido a partir de la modelación y generación sintética de suelos.
La modelación con dos suelos, intercambiando su posición mostró gran diferencia en los tiempos de avance, y con el incremento del número de suelos el tiempo de avance convergió a un valor único. Esto confirmó que para la modelación de la fase de avance en el riego por gravedad las propiedades hidrodinámicas efectivas existen cuando la distribución de probabilidad de las mismas es única.
Conclusiones
El análisis de las condiciones en las que la fase de avance en el riego por gravedad puede ser modelada con propiedades hidrodinámicas efectivas se abordó reproduciendo la variabilidad espacial de la conductividad hidráulica saturada en dos formas. Una con la creación de campos correlacionados que conservan la distribución de probabilidad y la estructura espacial a través de un método fundamentado en el análisis espectral; y dos, con la generación aleatoria mediante la misma distribución de probabilidad. Con ambos procedimientos fue posible confirmar que es válido utilizar parámetros equivalentes de las propiedades hidrodinámicas de los suelos cuando la distribución de probabilidad es única en el espacio. Esta conclusión es importante ya que aún en suelos con variabilidad espacial pueden determinarse parámetros equivalentes que permiten predecir el flujo y distribución del agua en un evento de riego. Para tal efecto, pueden utilizarse métodos inversos con modelos basados en las ecuaciones de Barré de Saint-Venant para el flujo superficial y de Richards para el flujo subsuperficial, o con formas simplificadas de las mismas, a través de pruebas hidrodinámicas de riego y considerando los aspectos inherentes a los métodos inversos, los cuales implican la estimación de los parámetros minimizando una función objetivo con un algoritmo de optimización sobre las desviaciones entre las variables de flujo observadas y simuladas.










texto en 









































